Sign in to use this feature.

Years

Between: -

Subjects

remove_circle_outline
remove_circle_outline
remove_circle_outline

Journals

Article Types

Countries / Regions

Search Results (12)

Search Parameters:
Keywords = pannexin 2

Order results
Result details
Results per page
Select all
Export citation of selected articles as:
25 pages, 8398 KB  
Article
Anti-Inflammatory Properties of Eugenol in Lipopolysaccharide-Induced Macrophages and Its Role in Preventing β-Cell Dedifferentiation and Loss Induced by High Glucose-High Lipid Conditions
by Esmaeel Ghasemi Gojani, Bo Wang, Dong-Ping Li, Olga Kovalchuk and Igor Kovalchuk
Molecules 2023, 28(22), 7619; https://doi.org/10.3390/molecules28227619 - 16 Nov 2023
Cited by 10 | Viewed by 3319
Abstract
Inflammation is a natural immune response to injury, infection, or tissue damage. It plays a crucial role in maintaining overall health and promoting healing. However, when inflammation becomes chronic and uncontrolled, it can contribute to the development of various inflammatory conditions, including type [...] Read more.
Inflammation is a natural immune response to injury, infection, or tissue damage. It plays a crucial role in maintaining overall health and promoting healing. However, when inflammation becomes chronic and uncontrolled, it can contribute to the development of various inflammatory conditions, including type 2 diabetes. In type 2 diabetes, pancreatic β-cells have to overwork and the continuous impact of a high glucose, high lipid (HG-HL) diet contributes to their loss and dedifferentiation. This study aimed to investigate the anti-inflammatory effects of eugenol and its impact on the loss and dedifferentiation of β-cells. THP-1 macrophages were pretreated with eugenol for one hour and then exposed to lipopolysaccharide (LPS) for three hours to induce inflammation. Additionally, the second phase of NLRP3 inflammasome activation was induced by incubating the LPS-stimulated cells with adenosine triphosphate (ATP) for 30 min. The results showed that eugenol reduced the expression of proinflammatory genes, such as IL-1β, IL-6 and cyclooxygenase-2 (COX-2), potentially by inhibiting the activation of transcription factors NF-κB and TYK2. Eugenol also demonstrated inhibitory effects on the levels of NLRP3 mRNA and protein and Pannexin-1 (PANX-1) activation, eventually impacting the assembly of the NLRP3 inflammasome and the production of mature IL-1β. Additionally, eugenol reduced the elevated levels of adenosine deaminase acting on RNA 1 (ADAR1) transcript, suggesting its role in post-transcriptional mechanisms that regulate inflammatory responses. Furthermore, eugenol effectively decreased the loss of β-cells in response to HG-HL, likely by mitigating apoptosis. It also showed promise in suppressing HG-HL-induced β-cell dedifferentiation by restoring β-cell-specific biomarkers. Further research on eugenol and its mechanisms of action could lead to the development of therapeutic interventions for inflammatory disorders and the preservation of β-cell function in the context of type 2 diabetes. Full article
(This article belongs to the Special Issue Natural Products and Analogues with Promising Biological Profiles)
Show Figures

Figure 1

15 pages, 1538 KB  
Article
TRPC3-Nox2 Protein Complex Formation Increases the Risk of SARS-CoV-2 Spike Protein-Induced Cardiomyocyte Dysfunction through ACE2 Upregulation
by Yuri Kato, Kazuhiro Nishiyama, Jae Man Lee, Yuko Ibuki, Yumiko Imai, Takamasa Noda, Noriho Kamiya, Takahiro Kusakabe, Yasunari Kanda and Motohiro Nishida
Int. J. Mol. Sci. 2023, 24(1), 102; https://doi.org/10.3390/ijms24010102 - 21 Dec 2022
Cited by 10 | Viewed by 3728
Abstract
Myocardial damage caused by the newly emerged coronavirus (SARS-CoV-2) infection is one of the key determinants of COVID-19 severity and mortality. SARS-CoV-2 entry to host cells is initiated by binding with its receptor, angiotensin-converting enzyme (ACE) 2, and the ACE2 abundance is thought [...] Read more.
Myocardial damage caused by the newly emerged coronavirus (SARS-CoV-2) infection is one of the key determinants of COVID-19 severity and mortality. SARS-CoV-2 entry to host cells is initiated by binding with its receptor, angiotensin-converting enzyme (ACE) 2, and the ACE2 abundance is thought to reflect the susceptibility to infection. Here, we report that ibudilast, which we previously identified as a potent inhibitor of protein complex between transient receptor potential canonical (TRPC) 3 and NADPH oxidase (Nox) 2, attenuates the SARS-CoV-2 spike glycoprotein pseudovirus-evoked contractile and metabolic dysfunctions of neonatal rat cardiomyocytes (NRCMs). Epidemiologically reported risk factors of severe COVID-19, including cigarette sidestream smoke (CSS) and anti-cancer drug treatment, commonly upregulate ACE2 expression level, and these were suppressed by inhibiting TRPC3-Nox2 complex formation. Exposure of NRCMs to SARS-CoV-2 pseudovirus, as well as CSS and doxorubicin (Dox), induces ATP release through pannexin-1 hemi-channels, and this ATP release potentiates pseudovirus entry to NRCMs and human iPS cell-derived cardiomyocytes (hiPS-CMs). As the pseudovirus entry followed by production of reactive oxygen species was attenuated by inhibiting TRPC3-Nox2 complex in hiPS-CMs, we suggest that TRPC3-Nox2 complex formation triggered by panexin1-mediated ATP release participates in exacerbation of myocardial damage by amplifying ACE2-dependent SARS-CoV-2 entry. Full article
Show Figures

Figure 1

17 pages, 2112 KB  
Article
NMDA and P2X7 Receptors Require Pannexin 1 Activation to Initiate and Maintain Nociceptive Signaling in the Spinal Cord of Neuropathic Rats
by David Bravo, Katherine Zepeda-Morales, Carola J. Maturana, Jeffri S. Retamal, Alejandro Hernández, Teresa Pelissier, Rafael Barra, Patricio Sáez-Briones, Héctor Burgos and Luis Constandil
Int. J. Mol. Sci. 2022, 23(12), 6705; https://doi.org/10.3390/ijms23126705 - 16 Jun 2022
Cited by 11 | Viewed by 3121
Abstract
Pannexin 1 (Panx1) is involved in the spinal central sensitization process in rats with neuropathic pain, but its interaction with well-known, pain-related, ligand-dependent receptors, such as NMDA receptors (NMDAR) and P2X7 purinoceptors (P2X7R), remains largely unexplored. Here, we studied whether NMDAR- and P2X7R-dependent [...] Read more.
Pannexin 1 (Panx1) is involved in the spinal central sensitization process in rats with neuropathic pain, but its interaction with well-known, pain-related, ligand-dependent receptors, such as NMDA receptors (NMDAR) and P2X7 purinoceptors (P2X7R), remains largely unexplored. Here, we studied whether NMDAR- and P2X7R-dependent nociceptive signaling in neuropathic rats require the activation of Panx1 channels to generate spinal central sensitization, as assessed by behavioral (mechanical hyperalgesia) and electrophysiological (C-reflex wind-up potentiation) indexes. Administration of either a selective NMDAR agonist i.t. (NMDA, 2 mM) or a P2X7R agonist (BzATP, 150 μM) significantly increased both the mechanical hyperalgesia and the C-reflex wind-up potentiation, effects that were rapidly reversed (minutes) by i.t. administration of a selective pannexin 1 antagonist (10panx peptide, 300 μM), with the scores even reaching values of rats without neuropathy. Accordingly, 300 μM 10panx completely prevented the effects of NMDA and BzATP administered 1 h later, on mechanical hyperalgesia and C-reflex wind-up potentiation. Confocal immunofluorescence imaging revealed coexpression of Panx1 with NeuN protein in intrinsic dorsal horn neurons of neuropathic rats. The results indicate that both NMDAR- and P2X7R-mediated increases in mechanical hyperalgesia and C-reflex wind-up potentiation require neuronal Panx1 channel activation to initiate and maintain nociceptive signaling in neuropathic rats. Full article
(This article belongs to the Special Issue State-of-the-Art Molecular Neurobiology in Chile)
Show Figures

Figure 1

20 pages, 3866 KB  
Article
Expression of Pannexin 1 in the Human Kidney during Embryonal, Early Fetal and Postnatal Development and Its Prognostic Significance in Diabetic Nephropathy
by Ivo Jeličić, Katarina Vukojević, Anita Racetin, Davor Čarić, Merica Glavina Durdov, Mirna Saraga-Babić and Natalija Filipović
Biomedicines 2022, 10(5), 944; https://doi.org/10.3390/biomedicines10050944 - 20 Apr 2022
Cited by 5 | Viewed by 2779
Abstract
Pannexins are transmembrane glycoproteins that constitute channels involved in purinergic signaling through ATP release from cells in various physiological and pathological processes. In this study, the distribution of Panx1 expression in different cell populations of healthy postnatal human kidneys and during human embryonic [...] Read more.
Pannexins are transmembrane glycoproteins that constitute channels involved in purinergic signaling through ATP release from cells in various physiological and pathological processes. In this study, the distribution of Panx1 expression in different cell populations of healthy postnatal human kidneys and during human embryonic and early fetal development was investigated by double immunohistochemistry. In addition, the glomerular and tubular expression of Panx1 was examined in patients with type 2 diabetes mellitus (DM2) and the control group, and renal Panx1 expression was correlated with serum creatinine. In the 6th week of embryonic development (DW), Panx1 expression was found in mesonephric glomeruli and mesonephric tubules. At the transition from 6th to 7th DW, Panx1 immunoreactivity was found in the mesonephric tubules and mesonephric duct, as well as in the metanephric ureteric bud and ampullae. In the 7th DW, strong Panx1 immunoreactivity was observed in the developing ureteric bud in the metanephros, whereas no Panx1 immunoreactivity was found in the metanephric cup. In the 8th DW, Panx1 expression was also found in the ureteric bud of the metanephros, the renal vesicle and comma-shaped nephron, and the epithelial cells of Bowman’s capsule. Expression of Panx1 was found at an early stage in both the paramesonephric duct and the mesonephric duct and diminished toward the 8th DW. During the 6th–10th DW, colocalization of Panx1 with alpha smooth actin (aSMA) was found in developing blood vessels. In the postnatal kidney, strong Panx1 immunoreactivity was present in medullary and cortical collecting duct cells, renin-producing cells, and proximal tubules. Very weak Panx1 immunoreactivity was found in certain distal tubule cells and the thin descending limbs of the loop of Henle. Panx1 immunoreactivity was also found in nephrin-immunoreactive podocytes. Panx1 was not colocalized with aSMA immunoreactivity in the vessels of the postnatal human kidney, but it was present in the endothelium. A significant positive correlation was found between Panx1 expression in glomeruli and serum creatinine only in diabetic patients and was not found in the nondiabetic group. The spatiotemporal expression of Panx1 during the early stages of human kidney development supports its possible role in cellular differentiation, migration, and positioning in the developing human kidney. In addition, our data suggest that glomerular Panx1 expression is a potential indicator of worsening renal function in patients with type 2 diabetes. Full article
(This article belongs to the Special Issue Connexins and Pannexins in Embryonic and Fetal Development)
Show Figures

Figure 1

11 pages, 1412 KB  
Review
Gap Junctions and Hemichannels Composed of Connexins and Pannexins Mediate the Secondary Brain Injury Following Intracerebral Hemorrhage
by Yan Zhang, Suliman Khan, Yang Liu, Rabeea Siddique, Ruiyi Zhang, Voon Wee Yong and Mengzhou Xue
Biology 2022, 11(1), 27; https://doi.org/10.3390/biology11010027 - 25 Dec 2021
Cited by 29 | Viewed by 4994
Abstract
Intracerebral hemorrhage (ICH) is a devastating disease with high mortality and morbidity; the mortality rate ranges from 40% at 1 month to 54% at 1 year; only 12–39% achieve good outcomes and functional independence. ICH affects nearly 2 million patients worldwide annually. In [...] Read more.
Intracerebral hemorrhage (ICH) is a devastating disease with high mortality and morbidity; the mortality rate ranges from 40% at 1 month to 54% at 1 year; only 12–39% achieve good outcomes and functional independence. ICH affects nearly 2 million patients worldwide annually. In ICH development, the blood leakage from ruptured vessels generates sequelae of secondary brain injury (SBI). This mechanism involves activated astrocytes and microglia, generation of reactive oxygen species (ROS), the release of reactive nitrogen species (RNS), and disrupted blood brain barrier (BBB). In addition, inflammatory cytokines and chemokines, heme compounds, and products of hematoma are accumulated in the extracellular spaces, thereby resulting in the death of brain cells. Recent evidence indicates that connexins regulate microglial activation and their phenotypic transformation. Moreover, communications between neurons and glia via gap junctions have crucial roles in neuroinflammation and cell death. A growing body of evidence suggests that, in addition to gap junctions, hemichannels (composed of connexins and pannexins) play a key role in ICH pathogenesis. However, the precise connection between connexin and pannexin channels and ICH remains to be resolved. This review discusses the pathological roles of gap junctions and hemichannels in SBI following ICH, with the intent of discovering effective therapeutic options of strategies to treat ICH. Full article
Show Figures

Figure 1

14 pages, 1748 KB  
Article
Role of Pannexin 1 ATP-Permeable Channels in the Regulation of Signaling Pathways during Skeletal Muscle Unloading
by Ksenia A. Zaripova, Ekaterina P. Kalashnikova, Svetlana P. Belova, Tatiana Y. Kostrominova, Boris S. Shenkman and Tatiana L. Nemirovskaya
Int. J. Mol. Sci. 2021, 22(19), 10444; https://doi.org/10.3390/ijms221910444 - 28 Sep 2021
Cited by 26 | Viewed by 3118
Abstract
Skeletal muscle unloading results in atrophy. We hypothesized that pannexin 1 ATP-permeable channel (PANX1) is involved in the response of muscle to unloading. We tested this hypothesis by blocking PANX1, which regulates efflux of ATP from the cytoplasm. Rats were divided into six [...] Read more.
Skeletal muscle unloading results in atrophy. We hypothesized that pannexin 1 ATP-permeable channel (PANX1) is involved in the response of muscle to unloading. We tested this hypothesis by blocking PANX1, which regulates efflux of ATP from the cytoplasm. Rats were divided into six groups (eight rats each): non-treated control for 1 and 3 days of the experiments (1C and 3C, respectively), 1 and 3 days of hindlimb suspension (HS) with placebo (1H and 3H, respectively), and 1 and 3 days of HS with PANX1 inhibitor probenecid (PRB; 1HP and 3HP, respectively). When compared with 3C group there was a significant increase in ATP in soleus muscle of 3H and 3HP groups (32 and 51%, respectively, p < 0.05). When compared with 3H group, 3HP group had: (1) lower mRNA expression of E3 ligases MuRF1 and MAFbx (by 50 and 38% respectively, p < 0.05) and MYOG (by 34%, p < 0.05); (2) higher phosphorylation of p70S6k and p90RSK (by 51 and 35% respectively, p < 0.05); (3) lower levels of phosphorylated eEF2 (by 157%, p < 0.05); (4) higher level of phosphorylated GSK3β (by 189%, p < 0.05). In conclusion, PANX1 ATP-permeable channels are involved in the regulation of muscle atrophic processes by modulating expression of E3 ligases, and protein translation and elongation processes during unloading. Full article
Show Figures

Figure 1

18 pages, 2837 KB  
Article
Airway Exposure to Polyethyleneimine Nanoparticles Induces Type 2 Immunity by a Mechanism Involving Oxidative Stress and ATP Release
by Yotesawee Srisomboon, Noriyuki Ohkura, Koji Iijima, Takao Kobayashi, Peter J. Maniak, Hirohito Kita and Scott M. O’Grady
Int. J. Mol. Sci. 2021, 22(16), 9071; https://doi.org/10.3390/ijms22169071 - 23 Aug 2021
Cited by 17 | Viewed by 3456
Abstract
Polyethyleneimine (PEI) induced immune responses were investigated in human bronchial epithelial (hBE) cells and mice. PEI rapidly induced ATP release from hBE cells and pretreatment with glutathione (GSH) blocked the response. PEI activated two conductive pathways, VDAC-1 and pannexin 1, which completely accounted [...] Read more.
Polyethyleneimine (PEI) induced immune responses were investigated in human bronchial epithelial (hBE) cells and mice. PEI rapidly induced ATP release from hBE cells and pretreatment with glutathione (GSH) blocked the response. PEI activated two conductive pathways, VDAC-1 and pannexin 1, which completely accounted for ATP efflux across the plasma membrane. Moreover, PEI increased intracellular Ca2+ concentration ([Ca2+]i), which was reduced by the pannexin 1 inhibitor, 10Panx (50 μM), the VDAC-1 inhibitor, DIDS (100 μM), and was nearly abolished by pretreatment with GSH (5 mM). The increase in [Ca2+]i involved Ca2+ uptake through two pathways, one blocked by oxidized ATP (oATP, 300 μM) and another that was blocked by the TRPV-1 antagonist A784168 (100 nM). PEI stimulation also increased IL-33 mRNA expression and protein secretion. In vivo experiments showed that acute (4.5 h) PEI exposure stimulated secretion of Th2 cytokines (IL-5 and IL-13) into bronchoalveolar lavage (BAL) fluid. Conjugation of PEI with ovalbumin also induced eosinophil recruitment and secretion of IL-5 and IL-13 into BAL fluid, which was inhibited in IL-33 receptor (ST2) deficient mice. In conclusion, PEI-induced oxidative stress stimulated type 2 immune responses by activating ATP-dependent Ca2+ uptake leading to IL-33 secretion, similar to allergens derived from Alternaria. Full article
Show Figures

Figure 1

14 pages, 3064 KB  
Article
Pannexin-1 Deficiency Decreases Epileptic Activity in Mice
by Mark S. Aquilino, Paige Whyte-Fagundes, Mark K. Lukewich, Liang Zhang, Berj L. Bardakjian, Georg R. Zoidl and Peter L. Carlen
Int. J. Mol. Sci. 2020, 21(20), 7510; https://doi.org/10.3390/ijms21207510 - 12 Oct 2020
Cited by 23 | Viewed by 4095
Abstract
Objective: Pannexin-1 (Panx1) is suspected of having a critical role in modulating neuronal excitability and acute neurological insults. Herein, we assess the changes in behavioral and electrophysiological markers of excitability associated with Panx1 via three distinct models of epilepsy. Methods Control and Panx1 [...] Read more.
Objective: Pannexin-1 (Panx1) is suspected of having a critical role in modulating neuronal excitability and acute neurological insults. Herein, we assess the changes in behavioral and electrophysiological markers of excitability associated with Panx1 via three distinct models of epilepsy. Methods Control and Panx1 knockout C57Bl/6 mice of both sexes were monitored for their behavioral and electrographic responses to seizure-generating stimuli in three epilepsy models—(1) systemic injection of pentylenetetrazol, (2) acute electrical kindling of the hippocampus and (3) neocortical slice exposure to 4-aminopyridine. Phase-amplitude cross-frequency coupling was used to assess changes in an epileptogenic state resulting from Panx1 deletion. Results: Seizure activity was suppressed in Panx1 knockouts and by application of Panx1 channel blockers, Brilliant Blue-FCF and probenecid, across all epilepsy models. In response to pentylenetetrazol, WT mice spent a greater proportion of time experiencing severe (stage 6) seizures as compared to Panx1-deficient mice. Following electrical stimulation of the hippocampal CA3 region, Panx1 knockouts had significantly shorter evoked afterdischarges and were resistant to kindling. In response to 4-aminopyridine, neocortical field recordings in slices of Panx1 knockout mice showed reduced instances of electrographic seizure-like events. Cross-frequency coupling analysis of these field potentials highlighted a reduced coupling of excitatory delta–gamma and delta-HF rhythms in the Panx1 knockout. Significance: These results suggest that Panx1 plays a pivotal role in maintaining neuronal hyperexcitability in epilepsy models and that genetic or pharmacological targeting of Panx1 has anti-convulsant effects. Full article
(This article belongs to the Special Issue Connexin and Pannexin Signaling in Health and Disease)
Show Figures

Figure 1

15 pages, 2358 KB  
Article
Role of an Aromatic–Aromatic Interaction in the Assembly and Trafficking of the Zebrafish Panx1a Membrane Channel
by Ksenia Timonina, Anna Kotova and Georg Zoidl
Biomolecules 2020, 10(2), 272; https://doi.org/10.3390/biom10020272 - 11 Feb 2020
Cited by 5 | Viewed by 3569
Abstract
Pannexin 1 (Panx1) is a ubiquitously expressed hexameric integral membrane protein known to function as an adenosine triphosphate (ATP) release channel. Panx1 proteins exist in unglycosylated core form (Gly0). They undergo critical post-translational modifications forming the high mannose glycosylation state (Gly1) in the [...] Read more.
Pannexin 1 (Panx1) is a ubiquitously expressed hexameric integral membrane protein known to function as an adenosine triphosphate (ATP) release channel. Panx1 proteins exist in unglycosylated core form (Gly0). They undergo critical post-translational modifications forming the high mannose glycosylation state (Gly1) in the endoplasmic reticulum (ER) and the complex glycosylation state (Gly2) in the Golgi apparatus. The regulation of transition from the ER to the cell membrane is not fully understood. Using site-specific mutagenesis, dye uptake assays, and interaction testing, we identified two conserved aromatic residues, Trp123 and Tyr205, in the transmembrane domains 2 and 3 of the zebrafish panx1a protein. Results suggest that both residues primarily govern the assembly of panx1a subunits into channels, with mutant proteins failing to interact. The results provide insight into a mechanism enabling regulation of Panx1 oligomerization, glycosylation, and trafficking. Full article
(This article belongs to the Special Issue Connexins, Innexins, and Pannexins: From Biology to Clinical Targets)
Show Figures

Figure 1

19 pages, 1897 KB  
Article
Dietary Fatty Acids Affect Red Blood Cell Membrane Composition and Red Blood Cell ATP Release in Dairy Cows
by Denis Revskij, Susanne Haubold, Torsten Viergutz, Claudia Kröger-Koch, Armin Tuchscherer, Hermine Kienberger, Michael Rychlik, Arnulf Tröscher, Harald M. Hammon, Hans-Joachim Schuberth and Manfred Mielenz
Int. J. Mol. Sci. 2019, 20(11), 2769; https://doi.org/10.3390/ijms20112769 - 5 Jun 2019
Cited by 12 | Viewed by 4581
Abstract
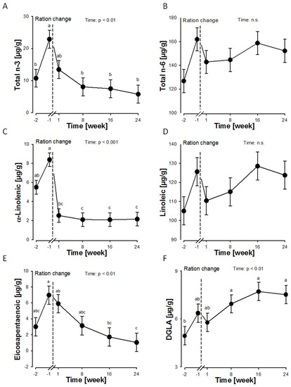
Diets of dairy cows are often based on maize silage (MS), delivering lower amounts of n-3 fatty acids (FA) compared to grass silage-based diets. The fatty acid composition of the cell membrane can affect the cell function. We evaluated the effects of an [...] Read more.
Diets of dairy cows are often based on maize silage (MS), delivering lower amounts of n-3 fatty acids (FA) compared to grass silage-based diets. The fatty acid composition of the cell membrane can affect the cell function. We evaluated the effects of an MS-based diet on bovine red blood cell (RBC) membrane FA composition and dietary effects on controlled ATP release of RBC. In trial 1, German Holstein cows were fed an MS-based total mixed ration for 24 weeks. The FA composition of RBC membranes from repeatedly taken blood samples was analysed in addition to the abundance of the RBC membrane protein flotillin-1, which is involved in, for example, cell signalling. In trial 2, four rumen fistulated MS-fed cows were abomasally infused in a 4 × 4 Latin square model with three successively increasing lipid dosages (coconut oil, linseed–safflower oil mix (EFA; rich in n-3 FA), Lutalin®, providing conjugated linoleic acids (CLA) or the combination of the supplements, EFA + CLA) for six weeks, followed by a three-week washout period. In trial 2, we analysed RBC ATP release, flotillin-1, and the membrane protein abundance of pannexin-1, which is involved in ATP release as the last part of a signalling cascade. In trial 1, the total amount of n-3 FA in RBC membranes decreased and the flotillin-1 abundance increased over time. In trial 2, the RBC n-3 FA amount was higher after the six-week infusion period of EFA or EFA + CLA. Furthermore, depending on the dosage of FA, the ATP release from RBC increased. The abundance of flotillin-1 and pannexin-1 was not affected in trial 2. It is concluded that changes of the membrane FA composition influence the RBC function, leading to altered ATP release from intact bovine RBC. Full article
(This article belongs to the Section Bioactives and Nutraceuticals)
Show Figures

Figure 1

19 pages, 14074 KB  
Article
Pannexin 2 Localizes at ER-Mitochondria Contact Sites
by Maxence Le Vasseur, Vincent C. Chen, Kate Huang, Wayne A. Vogl and Christian C. Naus
Cancers 2019, 11(3), 343; https://doi.org/10.3390/cancers11030343 - 11 Mar 2019
Cited by 25 | Viewed by 6811
Abstract
Endomembrane specialization allows functional compartmentalization but imposes physical constraints to information flow within the cell. However, the evolution of an endomembrane system was associated with the emergence of contact sites facilitating communication between membrane-bound organelles. Contact sites between the endoplasmic reticulum (ER) and [...] Read more.
Endomembrane specialization allows functional compartmentalization but imposes physical constraints to information flow within the cell. However, the evolution of an endomembrane system was associated with the emergence of contact sites facilitating communication between membrane-bound organelles. Contact sites between the endoplasmic reticulum (ER) and mitochondria are highly conserved in terms of their morphological features but show surprising molecular diversity within and across eukaryote species. ER-mitochondria contact sites are thought to regulate key processes in oncogenesis but their molecular composition remains poorly characterized in mammalian cells. In this study, we investigate the localization of pannexin 2 (Panx2), a membrane channel protein showing tumor-suppressing properties in cancer cells. Using a combination of subcellular fractionation, particle tracking in live-cell, and immunogold electron microscopy, we show that Panx2 localizes at ER-mitochondria contact sites in mammalian cells and sensitizes cells to apoptotic stimuli. Full article
Show Figures

Figure 1

18 pages, 2637 KB  
Article
N-Glycosylation Regulates Pannexin 2 Localization but Is Not Required for Interacting with Pannexin 1
by Rafael E. Sanchez-Pupo, Danielle Johnston and Silvia Penuela
Int. J. Mol. Sci. 2018, 19(7), 1837; https://doi.org/10.3390/ijms19071837 - 22 Jun 2018
Cited by 18 | Viewed by 4333
Abstract
Pannexins (Panx1, 2, 3) are channel-forming glycoproteins expressed in mammalian tissues. We previously reported that N-glycosylation acts as a regulator of the localization and intermixing of Panx1 and Panx3, but its effects on Panx2 are currently unknown. Panx1 and Panx2 intermixing can regulate [...] Read more.
Pannexins (Panx1, 2, 3) are channel-forming glycoproteins expressed in mammalian tissues. We previously reported that N-glycosylation acts as a regulator of the localization and intermixing of Panx1 and Panx3, but its effects on Panx2 are currently unknown. Panx1 and Panx2 intermixing can regulate channel properties, and both pannexins have been implicated in neuronal cell death after ischemia. Our objectives were to validate the predicted N-glycosylation site of Panx2 and to study the effects of Panx2 glycosylation on localization and its capacity to interact with Panx1. We used site-directed mutagenesis, enzymatic de-glycosylation, cell-surface biotinylation, co-immunoprecipitation, and confocal microscopy. Our results showed that N86 is the only N-glycosylation site of Panx2. Panx2 and the N86Q mutant are predominantly localized to the endoplasmic reticulum (ER) and cis-Golgi matrix with limited cell surface localization was seen only in the presence of Panx1. The Panx2 N86Q mutant is glycosylation-deficient and tends to aggregate in the ER reducing its cell surface trafficking but it can still interact with Panx1. Our study indicates that N-glycosylation may be important for folding and trafficking of Panx2. We found that the un-glycosylated forms of Panx1 and 2 can readily interact, regulating their localization and potentially their channel function in cells where they are co-expressed. Full article
(This article belongs to the Special Issue Interplay of Connexins and Pannexins in Tissue Function and Disease)
Show Figures

Figure 1

Back to TopTop