Sign in to use this feature.

Years

Between: -

Subjects

remove_circle_outline
remove_circle_outline
remove_circle_outline
remove_circle_outline
remove_circle_outline
remove_circle_outline
remove_circle_outline
remove_circle_outline

Journals

Article Types

Countries / Regions

Search Results (18)

Search Parameters:
Keywords = pandemic response box

Order results
Result details
Results per page
Select all
Export citation of selected articles as:
15 pages, 2762 KB  
Article
Investigating the Antimicrobial Potential of 560 Compounds from the Pandemic Response Box and COVID Box against Resistant Gram-Negative Bacteria
by Rita de Cássia Cerqueira Melo, Aline Andrade Martins, Andressa Leite Ferraz Melo, Jean Carlos Pael Vicente, Mariana Carvalho Sturaro, Julia Pimentel Arantes, Luana Rossato, Gleyce Hellen de Almeida de Souza and Simone Simionatto
Antibiotics 2024, 13(8), 723; https://doi.org/10.3390/antibiotics13080723 - 1 Aug 2024
Cited by 1 | Viewed by 1834
Abstract
Antimicrobial resistance (AMR) has emerged as a significant threat to public health, particularly in infections caused by critically important Gram-negative bacteria. The development of novel antibiotics has its limitations, and therefore it is crucial to explore alternative strategies to effectively combat infections with [...] Read more.
Antimicrobial resistance (AMR) has emerged as a significant threat to public health, particularly in infections caused by critically important Gram-negative bacteria. The development of novel antibiotics has its limitations, and therefore it is crucial to explore alternative strategies to effectively combat infections with resistant pathogens. In this context, the present study investigated the antibacterial potency of 560 compounds against the multidrug-resistant (MDR) strains of Klebsiella pneumoniae and Serratia marcescens. The evaluated compounds were selected from the Pandemic Response Box (PRB) and COVID Box (CB) and subjected to assays to determine the inhibitory concentration (IC), minimum bactericidal concentration (MBC), and biofilm formation. Further, the effects of these compounds on membrane integrity were assessed through protein quantification. Several of the evaluated compounds, including fusidic acid, MMV1580853, and MMV1634399, exhibited a significant reduction in biofilm formation and growth in K. pneumoniae. Trimethoprim exhibited potential against S. marcescens. The IC values of the compounds indicated significant microbial growth inhibition at various concentrations. These findings underscore the potency of the existing antibiotics and novel compounds in combating the MDR strains of bacteria. The importance of reconsidering the known antibiotics and utilizing drug repositioning strategies to address the increasing risk of AMR is highlighted. Full article
(This article belongs to the Special Issue Antibiotics Resistance in Gram-Negative Bacteria, 2nd Edition)
Show Figures

Graphical abstract

15 pages, 2205 KB  
Article
Novel Anti-Enterovirus A71 Compounds Discovered by Repositioning Antivirals from the Open-Source MMV Pandemic Response Box
by Nattinee Lochaiyakun, Potjanee Srimanote, Onruedee Khantisitthiporn and Jeeraphong Thanongsaksrikul
Pharmaceuticals 2024, 17(6), 785; https://doi.org/10.3390/ph17060785 - 14 Jun 2024
Viewed by 2193
Abstract
The open-source drug library, namely, MMV Pandemic Response Box, contains 153 antiviral agents, a chemically and pharmacologically diverse mixture of early-stage, emerging anti-infective scaffolds, and mature compounds currently undergoing clinical development. Hence, the Pandemic Response Box might contain compounds that bind and interfere [...] Read more.
The open-source drug library, namely, MMV Pandemic Response Box, contains 153 antiviral agents, a chemically and pharmacologically diverse mixture of early-stage, emerging anti-infective scaffolds, and mature compounds currently undergoing clinical development. Hence, the Pandemic Response Box might contain compounds that bind and interfere with target molecules or cellular pathways that are conserved or shared among the closely related viruses with enterovirus A71 (EV-A71). This study aimed to screen antiviral agents included in the Pandemic Response Box for repurposing to anti-EV-A71 activity and investigate the inhibitory effects of the compounds on viral replication. The compounds’ cytotoxicity and ability to rescue infected cells were determined by % cell survival using an SRB assay. The hit compounds were verified for anti-EV-A71 activity by virus reduction assays for viral RNA copy numbers, viral protein synthesis, and mature particle production using qRT-PCR, Western blot analysis, and CCID50 assay, respectively. It was found that some of the hit compounds could reduce EV-A71 genome replication and protein synthesis. D-D7 (2-pyridone-containing human rhinovirus 3C protease inhibitor) exhibited the highest anti-EV-A71 activity. Even though D-D7 has been originally indicated as a polyprotein processing inhibitor of human rhinovirus 3C protease, it could be repurposed as an anti-EV-A71 agent. Full article
(This article belongs to the Section Pharmacology)
Show Figures

Figure 1

7 pages, 1306 KB  
Proceeding Paper
Molecular Docking for the Development of Alternative Therapies against Leishmaniasis
by Juan Diego Guarimata, Christian Alcívar, Martin Lavecchia and Ana Poveda
Chem. Proc. 2023, 14(1), 82; https://doi.org/10.3390/ecsoc-27-16050 - 15 Nov 2023
Cited by 4 | Viewed by 1681
Abstract
Topoisomerases play a pivotal role in regulating the topological structure of DNA during fundamental processes such as transcription, DNA repair, or DNA replication; because of this, topoisomerases are biological targets in pathogenic microorganisms or malignant cells. In this study, we aimed to identify [...] Read more.
Topoisomerases play a pivotal role in regulating the topological structure of DNA during fundamental processes such as transcription, DNA repair, or DNA replication; because of this, topoisomerases are biological targets in pathogenic microorganisms or malignant cells. In this study, we aimed to identify potential inhibitory compounds against topoisomerases type II of Leishmania mexicana via homology model and molecular docking. A comprehensive screening of 400 compounds provided by Medicines for Malaria Venture (MMV) in the Pandemic Response Box. Here, we identify the 20 best compounds against each topoisomerase type II of L. mexicana to identify new alternatives to treat a neglected tropical disease such as leishmaniasis. Full article
Show Figures

Figure 1

16 pages, 4251 KB  
Article
Antibacterial and Antibiofilm Properties of the Alexidine Dihydrochloride (MMV396785) against Acinetobacter baumannii
by Kirti Upmanyu, Qazi Mohd. Rizwanul Haq and Ruchi Singh
Antibiotics 2023, 12(7), 1155; https://doi.org/10.3390/antibiotics12071155 - 6 Jul 2023
Cited by 3 | Viewed by 2551
Abstract
Antibiotic-resistant Acinetobacter baumannii infections among patients in hospital settings are rising at an alarming rate. The World Health Organization has designated carbapenem-resistant A. baumannii as a priority pathogen for drug discovery. Based on the open drug discovery approach, we screened 400 compounds provided [...] Read more.
Antibiotic-resistant Acinetobacter baumannii infections among patients in hospital settings are rising at an alarming rate. The World Health Organization has designated carbapenem-resistant A. baumannii as a priority pathogen for drug discovery. Based on the open drug discovery approach, we screened 400 compounds provided as a Pandemic Response Box by MMV and DNDi to identify compounds with antibacterial and antibiofilm activity against two A. baumannii reference strains using a highly robust resazurin assay. In vitro screening identified thirty compounds with MIC ≤ 50μM having growth inhibitory properties against the planktonic state. Five compounds, with MMV IDs MMV396785, MMV1578568, MMV1578574, MMV1578564, and MMV1579850, were able to reduce metabolically active cells in the biofilm state. Of these five compounds, MMV396785 showed potential antibacterial and antibiofilm activity with MIC, MBIC, and MBEC of 3.125 μM, 12.5, and 25–100 µM against tested A. baumannii strains, respectively, showing biofilm formation inhibition by 93% and eradication of pre-formed biofilms by 60–77.4%. In addition, MMV396785 showed a drastic reduction in the surface area and thickness of biofilms. Further investigations at the molecular level by qRT-PCR revealed the downregulation of biofilm-associated genes when exposed to 50 µM MMV396785 in all tested strains. This study identified the novel compound MMV396785 as showing potential in vitro antibacterial and antibiofilm efficacy against A. baumannii. Full article
(This article belongs to the Section Antibiofilm Strategies)
Show Figures

Figure 1

20 pages, 3976 KB  
Article
Promising Antifungal Molecules against Mucormycosis Agents Identified from Pandemic Response Box®: In Vitro and In Silico Analyses
by Mariana Ingrid Dutra da Silva Xisto, Rodrigo Rollin-Pinheiro, Yuri de Castro-Almeida, Giulia Maria Pires dos Santos-Freitas, Victor Pereira Rochetti, Luana Pereira Borba-Santos, Yasmin da Silva Fontes, Antonio Ferreira-Pereira, Sonia Rozental and Eliana Barreto-Bergter
J. Fungi 2023, 9(2), 187; https://doi.org/10.3390/jof9020187 - 31 Jan 2023
Cited by 7 | Viewed by 3198
Abstract
Mucormycosis is considered concerning invasive fungal infections due to its high mortality rates, difficult diagnosis and limited treatment approaches. Mucorales species are highly resistant to many antifungal agents and the search for alternatives is an urgent need. In the present study, a library [...] Read more.
Mucormycosis is considered concerning invasive fungal infections due to its high mortality rates, difficult diagnosis and limited treatment approaches. Mucorales species are highly resistant to many antifungal agents and the search for alternatives is an urgent need. In the present study, a library with 400 compounds called the Pandemic Response Box® was used and four compounds were identified: alexidine and three non-commercial molecules. These compounds showed anti-biofilm activity, as well as alterations in fungal morphology and cell wall and plasma membrane structure. They also induced oxidative stress and mitochondrial membrane depolarization. In silico analysis revealed promising pharmacological parameters. These results suggest that these four compounds are potent candidates to be considered in future studies for the development of new approaches to treat mucormycosis. Full article
(This article belongs to the Special Issue New Strategies to Combat Human Fungal Infections)
Show Figures

Figure 1

14 pages, 2497 KB  
Article
Screening of Pandemic Response Box Library Reveals the High Activity of Olorofim against Pathogenic Sporothrix Species
by Luana Pereira Borba-Santos, Rodrigo Rollin-Pinheiro, Yasmin da Silva Fontes, Giulia Maria Pires dos Santos, Glauber Ribeiro de Sousa Araújo, Anderson Messias Rodrigues, Allan J. Guimarães, Wanderley de Souza, Susana Frases, Antonio Ferreira-Pereira, Eliana Barreto-Bergter and Sonia Rozental
J. Fungi 2022, 8(10), 1004; https://doi.org/10.3390/jof8101004 - 25 Sep 2022
Cited by 16 | Viewed by 3570
Abstract
The increase in the prevalence and severity of fungal infections and the resistance to available antifungals highlights the imperative need for novel therapeutics and the search for new targets. High-content screening of libraries containing hundreds of compounds is a powerful strategy for searching [...] Read more.
The increase in the prevalence and severity of fungal infections and the resistance to available antifungals highlights the imperative need for novel therapeutics and the search for new targets. High-content screening of libraries containing hundreds of compounds is a powerful strategy for searching for new drug candidates. In this study, we screened the Pandemic Response Box library (Medicines for Malaria Venture) of 400 diverse molecules against the Sporothrix pathogenic species. The initial screen identified twenty-four candidates that inhibited the growth of Sporothrix brasiliensis by more than 80%. Some of these compounds are known to display antifungal activity, including olorofim (MMV1782354), a new antifungal drug. Olorofim inhibited and killed the yeasts of S. brasiliensis, S. schenckii, and S. globosa at concentrations lower than itraconazole, and it also showed antibiofilm activity. According to the results obtained by fluorimetry, electron microscopy, and particle characterization analyses, we observed that olorofim induced profound alterations on the cell surface and cell cycle arrest in S. brasiliensis yeasts. We also verified that these morphophysiological alterations impaired their ability to adhere to keratinocytes in vitro. Our results indicate that olorofim is a promising new antifungal against sporotrichosis agents. Full article
(This article belongs to the Special Issue Sporothrix Emerging Investigators)
Show Figures

Figure 1

12 pages, 3115 KB  
Article
Addressing Food Insecurity during the COVID-19 Pandemic: Intervention Outcomes and Lessons Learned from a Collaborative Food Delivery Response in South Florida’s Underserved Households
by Nana Aisha Garba, Lea Sacca, Rachel D. Clarke, Prasad Bhoite, John Buschman, Virama Oller, Nancy Napolitano, Samuel Hyppolite, Sophia Lacroix, Al Archibald, Ocean Hamilton, Tobi Ash and David R. Brown
Int. J. Environ. Res. Public Health 2022, 19(13), 8130; https://doi.org/10.3390/ijerph19138130 - 2 Jul 2022
Cited by 6 | Viewed by 4479
Abstract
Background: The COVID-19 pandemic highlighted underlying disparities in health, healthcare access, and other social factors that have been documented for racial/ethnic minorities. The social-distancing mandate exacerbated the impact of social determinants of health, such as unemployment and food insecurity, particularly among underserved minority [...] Read more.
Background: The COVID-19 pandemic highlighted underlying disparities in health, healthcare access, and other social factors that have been documented for racial/ethnic minorities. The social-distancing mandate exacerbated the impact of social determinants of health, such as unemployment and food insecurity, particularly among underserved minority populations. We highlight intervention outcomes and lessons learned from the Florida International University (FIU) Herbert Wertheim College of Medicine (HWCOM) NeighborhoodHELP’s response to pandemic-related food insecurity among Miami Dade County’s underserved population. Methods: Following the stay-at-home mandate, a weekly needs assessment of program households was conducted by the NeighborhoodHELP team, during which food insecurity emerged as a pandemic-related urgent need, rising from three percent of program Households in March 2020 to 36.9 percent six months later. Consequently, the program staff collaborated with another FIU department, community partners, and a benefactor to develop a food donation and delivery project. Results: Fifteen hundred and forty-three culturally appropriate food boxes were delivered to 289 participating households, comprising 898 household members, over a 14-month period. Conclusion: This project underscores the importance of leveraging community assets to address their needs during a crisis and the significance of sustained community engagement for researchers and service providers who work in underserved communities. Full article
Show Figures

Figure 1

20 pages, 2194 KB  
Article
Repurposing an In Vitro Measles Virus Dissemination Assay for Screening of Antiviral Compounds
by Katharina S. Schmitz, Mona V. Lange, Lennert Gommers, Kim Handrejk, Danielle P. Porter, Christopher A. Alabi, Anne Moscona, Matteo Porotto, Rory D. de Vries and Rik L. de Swart
Viruses 2022, 14(6), 1186; https://doi.org/10.3390/v14061186 - 29 May 2022
Cited by 6 | Viewed by 4415
Abstract
Measles virus (MV) is a highly contagious respiratory virus responsible for outbreaks associated with significant morbidity and mortality among children and young adults. Although safe and effective measles vaccines are available, the COVID-19 pandemic has resulted in vaccination coverage gaps that may lead [...] Read more.
Measles virus (MV) is a highly contagious respiratory virus responsible for outbreaks associated with significant morbidity and mortality among children and young adults. Although safe and effective measles vaccines are available, the COVID-19 pandemic has resulted in vaccination coverage gaps that may lead to the resurgence of measles when restrictions are lifted. This puts individuals who cannot be vaccinated, such as young infants and immunocompromised individuals, at risk. Therapeutic interventions are complicated by the long incubation time of measles, resulting in a narrow treatment window. At present, the only available WHO-advised option is treatment with intravenous immunoglobulins, although this is not approved as standard of care. Antivirals against measles may contribute to intervention strategies to limit the impact of future outbreaks. Here, we review previously described antivirals and antiviral assays, evaluate the antiviral efficacy of a number of compounds to inhibit MV dissemination in vitro, and discuss potential application in specific target populations. We conclude that broadly reactive antivirals could strengthen existing intervention strategies to limit the impact of measles outbreaks. Full article
(This article belongs to the Special Issue Measles)
Show Figures

Figure 1

22 pages, 6306 KB  
Article
The Study of Alternative Fire Commanders’ Training Program during the COVID-19 Pandemic Situation in New Taipei City, Taiwan
by Sheng-Chieh Lee, Ching-Yuan Lin and Ying-Ji Chuang
Int. J. Environ. Res. Public Health 2022, 19(11), 6633; https://doi.org/10.3390/ijerph19116633 - 29 May 2022
Cited by 4 | Viewed by 3135
Abstract
In Taiwan, firefighters are responsible for transporting confirmed coronavirus cases to hospitals or epidemic prevention hotels. During the epidemic, in order to reduce the chance of cross-infection between the general public and the fire brigade, traditional collective mobilization training was limited. As a [...] Read more.
In Taiwan, firefighters are responsible for transporting confirmed coronavirus cases to hospitals or epidemic prevention hotels. During the epidemic, in order to reduce the chance of cross-infection between the general public and the fire brigade, traditional collective mobilization training was limited. As a solution, this study combines a fire command course (C1) and a VR simulation for training fire station captains (VRST) and then applies the pre- and post-test evaluation approaches and the after-class questionnaire to summarize the learning effectiveness. The results show that, from a total of 244 captains that were trained, the after-training scores are significantly better when compared with the scores before training (p < 0.05, Cohen’s d > 0.8). Additionally, the post-test scores collected during the epidemic (n = 158) have no significant difference compared to the ones taken before the outbreak (2019, n = 86) in terms of sizing up, decision making, and safety management. The training results are still improving. The after-class questionnaire showed that most trainees believed that VRST helped to improve their confidence as incident commanders (ICs) (mean = 4.63, top box = 66.98%), with the novice and suburban groups exhibiting more significant improvements in command ability after the training. After the pandemic, VRST can continue as a regular training method for ICs. Because of the intervention of VRST, the differences in the command experience between different IC groups can be compensated for. Full article
Show Figures

Figure 1

15 pages, 1524 KB  
Article
A High-Throughput Phenotypic Screen of the ‘Pandemic Response Box’ Identifies a Quinoline Derivative with Significant Anthelmintic Activity
by Harrison T. Shanley, Aya C. Taki, Joseph J. Byrne, Abdul Jabbar, Tim N. C. Wells, Kirandeep Samby, Peter R. Boag, Nghi Nguyen, Brad E. Sleebs and Robin B. Gasser
Pharmaceuticals 2022, 15(2), 257; https://doi.org/10.3390/ph15020257 - 21 Feb 2022
Cited by 18 | Viewed by 3921
Abstract
Parasitic nematodes cause diseases in livestock animals and major economic losses to the agricultural industry worldwide. Nematodes of the order Strongylida, including Haemonchus contortus, are particularly important. The excessive use of anthelmintic compounds to treat infections and disease has led to widespread [...] Read more.
Parasitic nematodes cause diseases in livestock animals and major economic losses to the agricultural industry worldwide. Nematodes of the order Strongylida, including Haemonchus contortus, are particularly important. The excessive use of anthelmintic compounds to treat infections and disease has led to widespread resistance to these compounds in nematodes, such that there is a need for new anthelmintics with distinctive mechanisms of action. With a focus on discovering new anthelmintic entities, we screened 400 chemically diverse compounds within the ‘Pandemic Response Box’ (from Medicines for Malaria Venture, MMV) for activity against H. contortus and its free-living relative, Caenorhabditis elegans—a model organism. Using established phenotypic assays, test compounds were evaluated in vitro for their ability to inhibit the motility and/or development of H. contortus and C. elegans. Dose-response evaluations identified a compound, MMV1581032, that significantly the motility of H. contortus larvae (IC50 = 3.4 ± 1.1 μM) and young adults of C. elegans (IC50 = 7.1 ± 4.6 μM), and the development of H. contortus larvae (IC50 = 2.2 ± 0.7 μM). The favourable characteristics of MMV1581032, such as suitable physicochemical properties and an efficient, cost-effective pathway to analogue synthesis, indicates a promising candidate for further evaluation as a nematocide. Future work will focus on a structure-activity relationship investigation of this chemical scaffold, a toxicity assessment of potent analogues and a mechanism/mode of action investigation. Full article
(This article belongs to the Special Issue Drug Candidates for the Treatment of Infectious Diseases)
Show Figures

Figure 1

19 pages, 860 KB  
Article
Ecologically Responsible Entrepreneurship and Its Contribution to the Green Economy’s Sustainable Development: Financial Risk Management Prospects
by Vladimir S. Osipov, Yuriy A. Krupnov, Galina N. Semenova and Maria V. Tkacheva
Risks 2022, 10(2), 44; https://doi.org/10.3390/risks10020044 - 18 Feb 2022
Cited by 11 | Viewed by 4082
Abstract
This paper’s goal is to develop a scientific methodology of financial risk management of ecologically responsible entrepreneurship for the sustainable development of the green economy. The originality of this paper is due to the fact that, for the first time, the financial risks [...] Read more.
This paper’s goal is to develop a scientific methodology of financial risk management of ecologically responsible entrepreneurship for the sustainable development of the green economy. The originality of this paper is due to the fact that, for the first time, the financial risks of the green economy are considered through the prism of its sustainability. The paper’s novelty is due to the modelling and quantitative measuring of the impact of the COVID-19 pandemic and the financial and economic crisis on the financial risks to the green economy’s sustainability, in addition to the development of precise quantitative recommendations for financial risk management of the green economy. This enables an increase in its sustainability and reduces ecological disproportion in regions of the world (reducing the differences in the green economy’s sustainability among regions of the world through the management of green investments). The paper’s contribution to the literature consists of specifying the theory of financial risks to the green economy. According to the specified fundamental provisions of this theory, the essence of the process of green economy development is clarified (the “black box” is opened) as the increase in its contribution to sustainable development. As the indicator of achieving this development, an increase in the green economy’s sustainability is offered. A new source of achieving the goal is proposed, consisting of a financial risk management of ecologically responsible entrepreneurship based on (private) green investments. Full article
Show Figures

Figure 1

12 pages, 2396 KB  
Article
Actions of Camptothecin Derivatives on Larvae and Adults of the Arboviral Vector Aedes aegypti
by Frederick A. Partridge, Beth C. Poulton, Milly A. I. Lake, Rebecca A. Lees, Harry-Jack Mann, Gareth J. Lycett and David B. Sattelle
Molecules 2021, 26(20), 6226; https://doi.org/10.3390/molecules26206226 - 15 Oct 2021
Cited by 5 | Viewed by 2741
Abstract
Mosquito-borne viruses including dengue, Zika, and Chikungunya viruses, and parasites such as malaria and Onchocerca volvulus endanger health and economic security around the globe, and emerging mosquito-borne pathogens have pandemic potential. However, the rapid spread of insecticide resistance threatens our ability to control [...] Read more.
Mosquito-borne viruses including dengue, Zika, and Chikungunya viruses, and parasites such as malaria and Onchocerca volvulus endanger health and economic security around the globe, and emerging mosquito-borne pathogens have pandemic potential. However, the rapid spread of insecticide resistance threatens our ability to control mosquito vectors. Larvae of Aedes aegypti were screened with the Medicines for Malaria Venture Pandemic Response Box, an open-source compound library, using INVAPP, an invertebrate automated phenotyping platform suited to high-throughput chemical screening of larval motility. We identified rubitecan (a synthetic derivative of camptothecin) as a hit compound that reduced A. aegypti larval motility. Both rubitecan and camptothecin displayed concentration dependent reduction in larval motility with estimated EC50 of 25.5 ± 5.0 µM and 22.3 ± 5.4 µM, respectively. We extended our investigation to adult mosquitoes and found that camptothecin increased lethality when delivered in a blood meal to A. aegypti adults at 100 µM and 10 µM, and completely blocked egg laying when fed at 100 µM. Camptothecin and its derivatives are inhibitors of topoisomerase I, have known activity against several agricultural pests, and are also approved for the treatment of several cancers. Crucially, they can inhibit Zika virus replication in human cells, so there is potential for dual targeting of both the vector and an important arbovirus that it carries. Full article
(This article belongs to the Special Issue Phenotypic Screening)
Show Figures

Figure 1

17 pages, 12077 KB  
Article
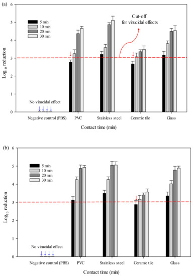
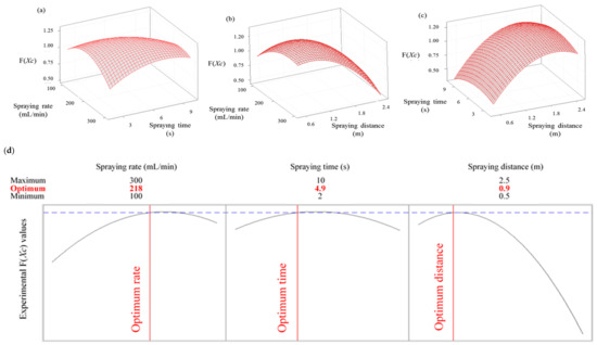
Optimizing Operating Parameters of Electric Ultra-Low Volume Sprayer with Slightly Acidic Electrolyzed Solution for Efficient Virucidal Activity on Environmental Surfaces
by Hae-Won Lee, So-Ra Yoon, Hyeyeon Song, Boyeon Park and Ji-Hyoung Ha
Int. J. Environ. Res. Public Health 2021, 18(19), 10183; https://doi.org/10.3390/ijerph181910183 - 28 Sep 2021
Cited by 4 | Viewed by 2062
Abstract
Recently, and considering the COVID-19 pandemic, there has been a growing consensus that the disinfection of surfaces contaminated with pathogenic viral particles is essential. Chemical disinfectant sprays are effective at preventing the spread of infectious human noroviruses (Hu-NoVs) in healthcare and public areas. [...] Read more.
Recently, and considering the COVID-19 pandemic, there has been a growing consensus that the disinfection of surfaces contaminated with pathogenic viral particles is essential. Chemical disinfectant sprays are effective at preventing the spread of infectious human noroviruses (Hu-NoVs) in healthcare and public areas. We assessed the virucidal activity of slightly acidic electrolyzed water (SAEW) spray on fomite surfaces. A multivariate statistical assessment that combined a response surface methodology (RSM) and a Box–Behnken design (BBD) was performed to define the optimal parameters of, and correlations among, experimental conditions. Spraying SAEW disinfectant (oxidation-reduction potential: 1123 mV, pH range: 5.12, available chlorine concentration: 33.22 ppm) resulted in the successful decontamination of Hu-NoV, with a 4-log reduction in viral particles on polyvinyl chloride, stainless steel, ceramic tile, and glass surfaces. Our experimental data revealed optimized treatment conditions for decontaminating Hu-NoV GI.6 and GII.4, using the numerical multiple optimized method (spraying rate: 218 mL/min, spraying time: 4.9 s, spraying distance: 0.9 m). These findings offer significant insights for designing optimal strategic control practices to prevent infectious disease, particularly Hu-NoV, transmission. Full article
(This article belongs to the Section Infectious Disease Epidemiology)
Show Figures

Graphical abstract

13 pages, 263 KB  
Article
Connecting Families to Food Resources amid the COVID-19 Pandemic: A Cross-Sectional Survey of Early Care and Education Providers in Two U.S. States
by Lacy Stephens, Caroline Rains and Sara E. Benjamin-Neelon
Nutrients 2021, 13(9), 3137; https://doi.org/10.3390/nu13093137 - 9 Sep 2021
Cited by 14 | Viewed by 2966
Abstract
Early care and education (ECE) settings are important avenues for reaching young children and their families with food and nutrition resources, including through the U.S. federally funded Child and Adult Care Food Program (CACFP). Researchers conducted a cross-sectional survey of ECE providers in [...] Read more.
Early care and education (ECE) settings are important avenues for reaching young children and their families with food and nutrition resources, including through the U.S. federally funded Child and Adult Care Food Program (CACFP). Researchers conducted a cross-sectional survey of ECE providers in two U.S. states in November 2020 to identify approaches used to connect families with food and nutrition resources amid the COVID-19 pandemic. Logistic regression models were used to estimate odds of sites reporting no approaches and adjusted Poisson models were used to estimate the incidence rate ratio of the mean number of approaches, comparing sites that participate in CACFP to those that did not. A total of 589 ECE sites provided responses. Of those, 43% (n = 255) participated in CACFP. CACFP participating sites were more likely to report using any approaches to connecting families to food resources and significantly more likely to report offering “grab and go” meals, providing meal delivery, distributing food boxes to families, and recommending community food resources than non-CACFP sites. This study suggests that CACFP sites may have greater capacity to connect families to food resources amid emergencies than non-CACFP participating sites. Full article
14 pages, 3592 KB  
Article
A Screening of the MMV Pandemic Response Box Reveals Epetraborole as A New Potent Inhibitor against Mycobacterium abscessus
by Taeho Kim, Bui-Thi-Bich Hanh, Boeun Heo, Nguyenthanh Quang, Yujin Park, Jihyeon Shin, Seunghyeon Jeon, June-Woo Park, Kirandeep Samby and Jichan Jang
Int. J. Mol. Sci. 2021, 22(11), 5936; https://doi.org/10.3390/ijms22115936 - 31 May 2021
Cited by 25 | Viewed by 3866
Abstract
Mycobacterium abscessus is the one of the most feared bacterial respiratory pathogens in the world. Unfortunately, there are many problems with the current M. abscessus therapies available. These problems include misdiagnoses, high drug resistance, poor long-term treatment outcomes, and high costs. Until now, [...] Read more.
Mycobacterium abscessus is the one of the most feared bacterial respiratory pathogens in the world. Unfortunately, there are many problems with the current M. abscessus therapies available. These problems include misdiagnoses, high drug resistance, poor long-term treatment outcomes, and high costs. Until now, there have only been a few new compounds or drug formulations which are active against M. abscessus, and these are present in preclinical and clinical development only. With that in mind, new and more powerful anti-M. abscessus medicines need to be discovered and developed. In this study, we conducted an in vitro-dual screen against M. abscessus rough (R) and smooth (S) variants using a Pandemic Response Box and identified epetraborole as a new effective candidate for M. abscessus therapy. For further validation, epetraborole showed significant activity against the growth of the M. abscessus wild-type strain, three subspecies, drug-resistant strains and clinical isolates in vitro, while also inhibiting the growth of M. abscessus that reside in macrophages without cytotoxicity. Furthermore, the in vivo efficacy of epetraborole in the zebrafish infection model was greater than that of tigecycline. Thus, we concluded that epetraborole is a potential anti-M. abscessus candidate in the M. abscessus drug search. Full article
(This article belongs to the Special Issue Cellular and Molecular Mechanisms in Mycobacterial Infection)
Show Figures

Figure 1

Back to TopTop