Investigating the Antimicrobial Potential of 560 Compounds from the Pandemic Response Box and COVID Box against Resistant Gram-Negative Bacteria
Abstract
1. Introduction
2. Results
2.1. Antimicrobial Susceptibility Evaluation
2.2. Survival Curves
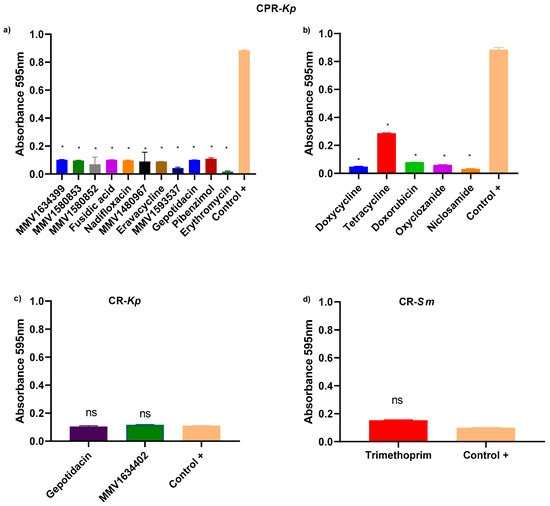
2.3. Anti-Biofilm Assay
2.4. Membrane Integrity Assay
3. Discussion
4. Materials and Methods
4.1. Bacterial Isolates
4.2. Screening the Antibacterial Compounds
4.3. Determining the IC and MBC Values of Compounds
4.4. Survival Curve
4.5. Biofilm Formation Inhibition Analysis
4.6. Membrane Integrity Assay: Protein Quantification
4.7. Statistical Analysis
Author Contributions
Funding
Data Availability Statement
Acknowledgments
Conflicts of Interest
References
- Murray, C.J.; Ikuta, K.S.; Sharara, F.; Swetschinski, L.; Robles Aguilar, G.; Gray, A.; Han, C.; Bisignano, C.; Rao, P.; Wool, E.; et al. Global burden of bacterial antimicrobial resistance in 2019: A systematic analysis. Lancet 2022, 399, 629–655. [Google Scholar] [CrossRef] [PubMed]
- Wise, M.G.; Karlowsky, J.A.; Mohamed, N.; Hermsen, E.D.; Kamat, S.; Townsend, A.; Brink, A.; Soriano, A.; Paterson, D.L.; Moore, L.S.P.; et al. Global trends in carbapenem- and difficult-to-treat-resistance among World Health Organization priority bacterial pathogens: ATLAS surveillance program 2018–2022. J. Glob. Antimicrob. Resist. 2024, 37, 168–175. [Google Scholar] [CrossRef] [PubMed]
- World Health Organization. Bacterial Priority Pathogens List, 2024; World Health Organization: Gevena, Switzerland, 2024; ISBN 9789240093461. [Google Scholar]
- World Health Organization. Global Antimicrobial Resistance Surveillance System (GLASS); World Health Organization: Gevena, Switzerland, 2022; p. 80. [Google Scholar]
- Wei, X.L.; Zeng, Q.L.; Xie, M.; Bao, Y. Pathogen Distribution, Drug Resistance Risk Factors, and Construction of Risk Prediction Model for Drug-Resistant Bacterial Infection in Hospitalized Patients at the Respiratory Department during the COVID-19 Pandemic. Infect. Drug Resist. 2023, 16, 1107–1121. [Google Scholar] [CrossRef] [PubMed]
- Mohapatra, S.S.; Dwibedy, S.K.; Padhy, I. Polymyxins, the last-resort antibiotics: Mode of action, resistance emergence, and potential solutions. J. Biosci. 2021, 46, 85. [Google Scholar] [CrossRef] [PubMed]
- Spera, A.M.; Esposito, S.; Pagliano, P. Emerging antibiotic resistance: Carbapenemase-producing enterobacteria. New bad bugs, still no new drugs. Infez. Med. 2019, 27, 357–364. [Google Scholar] [PubMed]
- Laxminarayan, R. The overlooked pandemic of antimicrobial resistance. Lancet 2022, 399, 606–607. [Google Scholar] [CrossRef] [PubMed]
- Samby, K.; Besson, D.; Dutta, A.; Patra, B.; Doy, A.; Glossop, P.; Mills, J.; Whitlock, G.; Hooft Van Huijsduijnen, R.; Monaco, A.; et al. The Pandemic Response Box-Accelerating Drug Discovery Efforts after Disease Outbreaks. ACS Infect. Dis. 2022, 8, 713–720. [Google Scholar] [CrossRef] [PubMed]
- Van Voorhis, W.C.; Adams, J.H.; Adelfio, R.; Ahyong, V.; Akabas, M.H.; Alano, P.; Alday, A.; Alemán Resto, Y.; Alsibaee, A.; Alzualde, A.; et al. Open Source Drug Discovery with the Malaria Box Compound Collection for Neglected Diseases and Beyond. PLoS Pathog. 2016, 12, e1005763. [Google Scholar] [CrossRef]
- da Silva, K.E.; Maciel, W.G.; Correia Sacchi, F.P.; Carvalhaes, C.G.; Rodrigues-Costa, F.; da Silva, A.C.R.; Croda, M.G.; Negrão, F.J.; Croda, J.; Gales, A.C.; et al. Risk factors for KPC-producing Klebsiella pneumoniae: Watch out for surgery. J. Med. Microbiol. 2016, 65, 547–553. [Google Scholar] [CrossRef] [PubMed]
- Mancuso, G.; Midiri, A.; Gerace, E.; Biondo, C. Bacterial Antibiotic Resistance: The Most Critical Pathogens. Pathogens 2021, 10, 1310. [Google Scholar] [CrossRef] [PubMed]
- Curbete, M.M.; Salgado, H.R.N. A Critical Review of the Properties of Fusidic Acid and Analytical Methods for Its Determination. Crit. Rev. Anal. Chem. 2016, 46, 352–360. [Google Scholar] [CrossRef]
- Musmade, P.B.; Tumkur, A.; Trilok, M.; Bairy, K.L. Fusidic Acid—Topical Antimicrobial in the Management of Staphylococcus aureus. Cold Spring Harb. Perspect. Med. 2013, 5, 381–390. [Google Scholar]
- Fernandes, P. Fusidic acid: A bacterial elongation factor inhibitor for the oral treatment of acute and chronic staphylococcal infections. Cold Spring Harb. Perspect. Med. 2016, 6, a025437. [Google Scholar] [CrossRef] [PubMed]
- Wilkinson, J.D. Fusidic acid in dermatology. Br. J. Dermatol. 1998, 139, 37–40. [Google Scholar] [CrossRef] [PubMed]
- Sharma, A.; Dhiman, K.; Goyal, K.; Pandit, V.R.; Ashawat, M.S.; Jindal, S. Fusidic Acid: A Therapeutic Review. Asian J. Res. Chem. 2022, 46, 352–360. [Google Scholar] [CrossRef]
- Lindert, S.; Zhu, W.; Liu, Y.L.; Pang, R.; Oldfield, E.; Mccammon, J.A. Farnesyl diphosphate synthase inhibitors from in silico screening. Chem. Biol. Drug Des. 2013, 81, 742–748. [Google Scholar] [CrossRef] [PubMed]
- Zhang, G.; Zhu, M.; Liao, Y.; Gong, D.; Hu, X. Action mechanisms of two key xanthine oxidase inhibitors in tea polyphenols and their combined effect with allopurinol. J. Sci. Food Agric. 2022, 102, 7195–7208. [Google Scholar] [CrossRef] [PubMed]
- Zhu, W.; Wang, Y.; Li, K.; Gao, J.; Huang, C.-H.; Chen, C.-C.; Ko, T.-P.; Zhang, Y.; Guo, R.-T.; Oldfield, E. Antibacterial Drug Leads: DNA and Enzyme Multitargeting. J. Med. Chem. 2015, 58, 1215–1227. [Google Scholar] [CrossRef] [PubMed]
- Zhu, W.; Zhang, Y.; Sinko, W.; Hensler, M.E.; Olson, J.; Molohon, K.J.; Lindert, S.; Cao, R.; Li, K.; Wang, K.; et al. Antibacterial drug leads targeting isoprenoid biosynthesis. Proc. Natl. Acad. Sci. USA 2013, 110, 123–128. [Google Scholar] [CrossRef] [PubMed]
- Yang, G.; Zhu, W.; Wang, Y.; Huang, G.; Byun, S.Y.; Choi, G.; Li, K.; Huang, Z.; Docampo, R.; Oldfield, E.; et al. In Vitro and In Vivo Activity of Multitarget Inhibitors against Trypanosoma brucei. ACS Infect. Dis. 2015, 1, 388–398. [Google Scholar] [CrossRef] [PubMed]
- Hu, Y.; Shamaei-Tousi, A.; Liu, Y.; Coates, A. A new approach for the discovery of antibiotics by targeting non-multiplying bacteria: A novel topical antibiotic for Staphylococcal infections. PLoS ONE 2010, 5, e11818. [Google Scholar] [CrossRef] [PubMed]
- Hubbard, A.T.M.; Coates, A.R.M.; Harvey, R.D. Comparing the action of HT61 and chlorhexidine on natural and model Staphylococcus aureus membranes. J. Antibiot. 2017, 70, 1020–1025. [Google Scholar] [CrossRef]
- Hu, Y.; Coates, A.R.M. Enhancement by novel anti-methicillin-resistant Staphylococcus aureus compound HT61 of the activity of neomycin, gentamicin, mupirocin and chlorhexidine: In vitro and in vivo studies. J. Antimicrob. Chemother. 2013, 68, 374–384. [Google Scholar] [CrossRef] [PubMed][Green Version]
- Amison, R.T.; Faure, M.E.; O’Shaughnessy, B.G.; Bruce, K.D.; Hu, Y.; Coates, A.; Page, C.P. The small quinolone derived compound HT61 enhances the effect of tobramycin against Pseudomonas aeruginosa in vitro and in vivo. Pulm. Pharmacol. Ther. 2020, 61, 101884. [Google Scholar] [CrossRef] [PubMed]
- dos Reis, T.F.; de Castro, P.A.; Bastos, R.W.; Pinzan, C.F.; Souza, P.F.N.; Ackloo, S.; Hossain, M.A.; Drewry, D.H.; Alkhazraji, S.; Ibrahim, A.S.; et al. A host defense peptide mimetic, brilacidin, potentiates caspofungin antifungal activity against human pathogenic fungi. Nat. Commun. 2023, 14, 2052. [Google Scholar] [CrossRef] [PubMed]
- Drevon-Gaillot, E.; Blair, T.; Clermont, G. Optimizing the design of preclinical safety and performance studies—Examples in soft tissues and cardio-vascular implants. Biocompat. Perform. Med. Devices 2020, 371–392. [Google Scholar] [CrossRef]
- Shegokar, R. Preclinical testing—Understanding the basics first. In Drug Delivery Aspects; Volume 4: Expectations and Realities of Multifunctional Drug Delivery Systems; Elsevier: Amsterdam, The Netherlands, 2020; pp. 19–32. [Google Scholar] [CrossRef]
- Belov, M.V.; Shakhmuradyan, M.A. Improvement of a pharmaceutical enterprise’s business processes at the stage of preclinical development of new drugs. Bus. Inform. 2019, 13, 17–27. [Google Scholar] [CrossRef]
- Kapetanovic, I.M. We are IntechOpen, the world’s leading publisher of Open Access books Built by scientists, for scientists TOP 1%. In Advanced Biometric Technologies; IntechOpen: London, UK, 2016; Volume 11, p. 13. ISBN 0000957720. [Google Scholar]
- Bassetti, M.; Garau, J. Current and future perspectives in the treatment of multidrug-resistant Gram-negative infections. J. Antimicrob. Chemother. 2021, 76, IV23–IV37. [Google Scholar] [CrossRef] [PubMed]
- Zivkovic Zaric, R.; Zaric, M.; Sekulic, M.; Zornic, N.; Nesic, J.; Rosic, V.; Vulovic, T.; Spasic, M.; Vuleta, M.; Jovanovic, J.; et al. Antimicrobial Treatment of Serratia marcescens Invasive Infections: Systematic Review. Antibiotics 2023, 12, 367. [Google Scholar] [CrossRef] [PubMed]
- Raz-Pasteur, A.; Liron, Y.; Amir-Ronen, R.; Abdelgani, S.; Ohanyan, A.; Geffen, Y.; Paul, M. Trimethoprim-sulfamethoxazole vs. colistin or ampicillin-sulbactam for the treatment of carbapenem-resistant Acinetobacter baumannii: A retrospective matched cohort study. J. Glob. Antimicrob. Resist. 2019, 17, 168–172. [Google Scholar] [CrossRef] [PubMed]
- Vázquez-Laslop, N.; Lee, H.; Hu, R.; Neyfakh, A.A. Molecular sieve mechanism of selective release of cytoplasmic proteins by osmotically shocked Escherichia coli. J. Bacteriol. 2001, 183, 2399–2404. [Google Scholar] [CrossRef] [PubMed]
- Barisch, C.; Holthuis, J.C.M.; Cosentino, K. Membrane damage and repair: A thin line between life and death. Biol. Chem. 2023, 404, 467–490. [Google Scholar] [CrossRef] [PubMed]
- da Silva, K.E.; Rossato, L.; Jorge, S.; de Oliveira, N.R.; Kremer, F.S.; Campos, V.F.; da Silva Pinto, L.; Dellagostin, O.A.; Simionatto, S. Three challenging cases of infections by multidrug-resistant Serratia marcescens in patients admitted to intensive care units. Braz. J. Microbiol. 2021, 52, 1341–1345. [Google Scholar] [CrossRef] [PubMed]
- Weinstein, M.P.; Lewis, J.S. The clinical and laboratory standards institute subcommittee on Antimicrobial susceptibility testing: Background, organization, functions, and processes. J. Clin. Microbiol. 2020, 58, e01864-19. [Google Scholar] [CrossRef] [PubMed]
- Medicines for Malaria Venture about the Pandemic Response Box and COVID Box. Available online: https://www.mmv.org/mmv-open/pandemic-response-box/about-pandemic-response-box (accessed on 1 September 2023).
- Sivasankar, S.; Premnath, M.A.; Boppe, A.; Grobusch, M.P.; Jeyaraj, S. Screening of MMV pandemic response and pathogen box compounds against pan-drug-resistant Klebsiella pneumoniae to identify potent inhibitory compounds. New Microbes New Infect. 2023, 55, 101193. [Google Scholar] [CrossRef] [PubMed]
- Kim, T.; Hanh, B.T.B.; Heo, B.; Quang, N.; Park, Y.; Shin, J.; Jeon, S.; Park, J.W.; Samby, K.; Jang, J. A screening of the mmv pandemic response box reveals epetraborole as a new potent inhibitor against mycobacterium abscessus. Int. J. Mol. Sci. 2021, 22, 5936. [Google Scholar] [CrossRef] [PubMed]
- Rossato, L.; Arantes, J.P.; Ribeiro, S.M.; Simionatto, S. Antibacterial activity of gallium nitrate against polymyxin-resistant Klebsiella pneumoniae strains. Diagn. Microbiol. Infect. Dis. 2022, 102, 115569. [Google Scholar] [CrossRef] [PubMed]





| Antibiotics | Minimum Inhibitory Concentration (μg/mL) | ||
|---|---|---|---|
| CPR-Kp | CR-Kp | CR-Sm | |
| Cefepime | >256 | Not tested | 32 |
| Cefotaxime | >256 | Not tested | >256 |
| Ceftazidime | >256 | >256 | >2 |
| Aztreonam | >32 | >32 | >32 |
| Imipenem | >16 | >16 | >16 |
| Meropenem | >16 | >16 | >8 |
| Ertapenem | >32 | >32 | >32 |
| Amikacin | 64 | <8 | 32 |
| Polymyxin | 4 | 0.5 | >64 |
| Tigecycline | <0.5 | <0.5 | 0.5 |
| Strains | Compounds | Inhibition (%) | IC (µM) | Disease Set | Chemical Structure |
|---|---|---|---|---|---|
| CPR-Kp | Fusidic acid | 91.28 | 1.25 | Antibacterials | ![]() |
| CPR-Kp | MMV1580853 | 90.00 | 2.5 | Antibacterials | ![]() |
| CPR-Kp | MMV1634399 | 90.00 | 20 | Antibacterials | ![]() |
| CPR-Kp | Nadifloxacin | 89.72 | 0.625 | Antibacterials | ![]() |
| CPR-Kp | Pibenzimol | 88.75 | 20 | Antibacterials | ![]() |
| CPR-Kp | Erythromycin | 89.72 | 2.5 | Antibacterials | ![]() |
| CPR-Kp | Doxorubicin | 91.74 | 2.5 | Antibacterials | ![]() |
| CPR-Kp | Niclosamide | 89.00 | 5 | Antiparasitic | ![]() |
| CR-Kp | Gepotidacin | 91.84 | 0.625 | Antibacterials | ![]() |
| CR-Kp | MMV1634402 | 90.78 | 10 | Antibacterials | ![]() |
| CR-Sm | Trimethoprim | 82.14 | 10 | Antibacterials | ![]() |
Disclaimer/Publisher’s Note: The statements, opinions and data contained in all publications are solely those of the individual author(s) and contributor(s) and not of MDPI and/or the editor(s). MDPI and/or the editor(s) disclaim responsibility for any injury to people or property resulting from any ideas, methods, instructions or products referred to in the content. |
© 2024 by the authors. Licensee MDPI, Basel, Switzerland. This article is an open access article distributed under the terms and conditions of the Creative Commons Attribution (CC BY) license (https://creativecommons.org/licenses/by/4.0/).
Share and Cite
Cerqueira Melo, R.d.C.; Martins, A.A.; Melo, A.L.F.; Vicente, J.C.P.; Sturaro, M.C.; Arantes, J.P.; Rossato, L.; de Souza, G.H.d.A.; Simionatto, S. Investigating the Antimicrobial Potential of 560 Compounds from the Pandemic Response Box and COVID Box against Resistant Gram-Negative Bacteria. Antibiotics 2024, 13, 723. https://doi.org/10.3390/antibiotics13080723
Cerqueira Melo RdC, Martins AA, Melo ALF, Vicente JCP, Sturaro MC, Arantes JP, Rossato L, de Souza GHdA, Simionatto S. Investigating the Antimicrobial Potential of 560 Compounds from the Pandemic Response Box and COVID Box against Resistant Gram-Negative Bacteria. Antibiotics. 2024; 13(8):723. https://doi.org/10.3390/antibiotics13080723
Chicago/Turabian StyleCerqueira Melo, Rita de Cássia, Aline Andrade Martins, Andressa Leite Ferraz Melo, Jean Carlos Pael Vicente, Mariana Carvalho Sturaro, Julia Pimentel Arantes, Luana Rossato, Gleyce Hellen de Almeida de Souza, and Simone Simionatto. 2024. "Investigating the Antimicrobial Potential of 560 Compounds from the Pandemic Response Box and COVID Box against Resistant Gram-Negative Bacteria" Antibiotics 13, no. 8: 723. https://doi.org/10.3390/antibiotics13080723
APA StyleCerqueira Melo, R. d. C., Martins, A. A., Melo, A. L. F., Vicente, J. C. P., Sturaro, M. C., Arantes, J. P., Rossato, L., de Souza, G. H. d. A., & Simionatto, S. (2024). Investigating the Antimicrobial Potential of 560 Compounds from the Pandemic Response Box and COVID Box against Resistant Gram-Negative Bacteria. Antibiotics, 13(8), 723. https://doi.org/10.3390/antibiotics13080723












