Sign in to use this feature.

Years

Between: -

Subjects

remove_circle_outline
remove_circle_outline
remove_circle_outline
remove_circle_outline
remove_circle_outline

Journals

Article Types

Countries / Regions

Search Results (28)

Search Parameters:
Keywords = overactuated system

Order results
Result details
Results per page
Select all
Export citation of selected articles as:
26 pages, 5247 KB  
Article
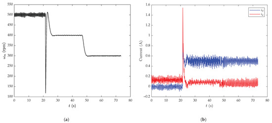
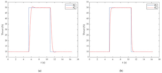
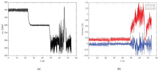
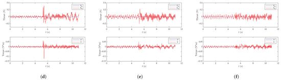
A Control-Oriented Thruster Management Framework for Fault-Tolerant Propulsion of Remotely Operated Vehicles
by Lu Wang, Yi Wu, Chao Fang, Jie Gao, Yonggang Gu, Chao Zhai and Zhen Zhang
J. Mar. Sci. Eng. 2026, 14(4), 352; https://doi.org/10.3390/jmse14040352 - 12 Feb 2026
Viewed by 186
Abstract
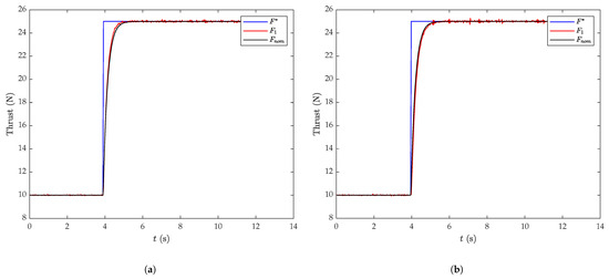
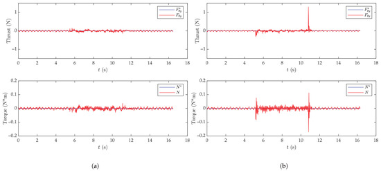
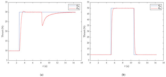
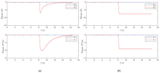
Remotely operated vehicles (ROVs) typically rely on over-actuated propulsion systems to achieve precise dynamic positioning and maneuvering in complex underwater environments. In practice, however, conventional propulsion management based on thrust allocation is often challenged by non-ideal actuator behaviors, such as cavitation-induced thrust degradation, [...] Read more.
Remotely operated vehicles (ROVs) typically rely on over-actuated propulsion systems to achieve precise dynamic positioning and maneuvering in complex underwater environments. In practice, however, conventional propulsion management based on thrust allocation is often challenged by non-ideal actuator behaviors, such as cavitation-induced thrust degradation, low-speed dead-zone effects, inter-thruster coupling, and partial actuator failures. Most existing approaches treat propulsion management as a static force distribution problem and implicitly assume ideal or fast thrust execution, which limits performance when actuator dynamics and execution uncertainty become significant. To address these limitations, this paper proposes a control-oriented thruster management framework that reformulates propulsion management as a feedback regulation problem rather than a static allocation task. In the proposed framework, actuator dynamics and thrust execution uncertainty are explicitly incorporated into the control loop. At the actuator level, thrust degradation and low-speed operation are compensated through disturbance-aware feedback control, while at the system level an LQI-based controller with thrust response compensation is employed to coordinate multi-degree-of-freedom (DOF) force and moment regulation and suppress cross-axis coupling. Fault tolerance is achieved inherently through feedback regulation without relying on explicit fault detection or reallocation. Experimental results obtained from an ROV propulsion platform, including single-thruster tests, coupled multi-DOF control, and a thruster shutdown scenario, demonstrate improved thrust executability, reduced coupling-induced disturbances, and enhanced fault-tolerant performance compared with conventional direct thrust allocation strategies. Full article
(This article belongs to the Section Ocean Engineering)
Show Figures

Figure 1

28 pages, 5671 KB  
Article
Analysis of Kinematic Crosstalk in a Four-Legged Parallel Kinematic Machine
by Giuseppe Mangano, Marco Carnevale and Hermes Giberti
Machines 2026, 14(2), 152; https://doi.org/10.3390/machines14020152 - 29 Jan 2026
Viewed by 189
Abstract
Human-in-the-loop (HIL) immersive simulators integrate a human operator into the simulation loop, enabling real-time interaction with virtual environments. To expose users to controlled acceleration fields, they employ parallel kinematic machines (PKMs), including reduced-degree-of-freedom (DoF) configurations when compact and cost-effective systems are required. These [...] Read more.
Human-in-the-loop (HIL) immersive simulators integrate a human operator into the simulation loop, enabling real-time interaction with virtual environments. To expose users to controlled acceleration fields, they employ parallel kinematic machines (PKMs), including reduced-degree-of-freedom (DoF) configurations when compact and cost-effective systems are required. These reduced-DoF platforms frequently exhibit kinematic crosstalk, whereby motion along one axis causes unintended displacements or rotations along others. Among compact PKMs, the four-legged, three-DoF platform is widely used, particularly in driving simulators. However, to the best of the authors’ knowledge, its kinematics have never been systematically analyzed in the literature. It is an over-actuated system with specific constraint conditions characterized by actuators that are not fully grounded. As a result, kinematic crosstalk accelerations are not fully determined by kinematic relationships. They also depend on friction at the constraints; thus, they are also determined by the dynamic behavior of the machine, which is difficult to predict during operation. To address this issue, this paper introduces a simplified modeling approach to estimate kinematic crosstalk whose usability is evaluated experimentally both with mono-harmonic, combined DoF tests and in a real-world engineering application on an actual driving simulator. Results show that kinematic crosstalk on the platform is likely to generate acceleration levels up to 4 m/s2, exceeding the vestibular perception threshold of 0.17 m/s2 defined by Reid and Nahon. This result is relevant with respect to enabling a comprehensive assessment of the acceleration field to which the user is actually subjected, which determines the actual quality and immersiveness of the simulation. Full article
(This article belongs to the Section Robotics, Mechatronics and Intelligent Machines)
Show Figures

Figure 1

50 pages, 5035 KB  
Review
Chassis Control Methodologies for Steering-Braking Maneuvers in Distributed-Drive Electric Vehicles
by Kang Xiangli, Zhipeng Qiu, Xuan Zhao and Weiyu Liu
Appl. Sci. 2026, 16(3), 1150; https://doi.org/10.3390/app16031150 - 23 Jan 2026
Viewed by 238
Abstract
This review addresses the pivotal challenge in distributed-drive electric vehicle (DDEV) dynamics control: how to optimally distribute braking and steering forces during combined maneuvers to simultaneously enhance lateral stability, safety, and energy efficiency. The over-actuated nature of DDEVs presents a unique opportunity for [...] Read more.
This review addresses the pivotal challenge in distributed-drive electric vehicle (DDEV) dynamics control: how to optimally distribute braking and steering forces during combined maneuvers to simultaneously enhance lateral stability, safety, and energy efficiency. The over-actuated nature of DDEVs presents a unique opportunity for precise torque vectoring but also introduces complex coupled dynamics, making vehicles prone to instability such as rollover during aggressive steering–braking scenarios. Moving beyond a simple catalog of methods, this work provides a structured synthesis and evolutionary analysis of chassis control methodologies. The problem is first deconstructed into two core control objectives: lateral stability and longitudinal braking performance. This is followed by a critical analysis of how integrated control architectures resolve the inherent conflicts between them. The analysis reveals a clear trajectory from independent control loops to intelligent, context-aware coordination. It further identifies a paradigm shift from the conventional goal of merely maintaining stability toward proactively managing stability boundaries to enhance system resilience. Furthermore, this review highlights the growing integration with high-level motion planning in automated driving. By synthesizing the current knowledge and mapping future directions toward deeply integrated, intelligent control systems, it serves as both a reference for researchers and a design guide for engineers aiming to unlock the full potential of the distributed drive paradigm. Full article
Show Figures

Figure 1

29 pages, 5929 KB  
Review
A Review of Coordinated Control Technology for Chassis of Distributed Drive Electric Vehicles
by Yuhang Zhang, Yingfeng Cai, Xiaoqiang Sun, Hai Wang, Long Chen, Te Chen and Chaochun Yuan
Appl. Sci. 2025, 15(13), 7175; https://doi.org/10.3390/app15137175 - 26 Jun 2025
Cited by 3 | Viewed by 2860
Abstract
Distributed-drive electric vehicles (DDEVs), through independent, rapid, and precise control of the driving/braking torque of each wheel, offer unprecedented opportunities to enhance their handling stability, ride comfort, energy economy, and safety. However, their inherent over-actuation characteristics and multi-degree-of-freedom motion coupling pose significant challenges [...] Read more.
Distributed-drive electric vehicles (DDEVs), through independent, rapid, and precise control of the driving/braking torque of each wheel, offer unprecedented opportunities to enhance their handling stability, ride comfort, energy economy, and safety. However, their inherent over-actuation characteristics and multi-degree-of-freedom motion coupling pose significant challenges to the vehicle chassis control system. Chassis coordinated control, by coordinating multiple subsystems such as drive, braking, steering, and suspension, has become a key technology to fully leverage the advantages of distributed drive and address its challenges. This paper reviews the core issues in chassis coordinated control for DDEVs, comparatively analyzes several distributed electric drive coordinated control architectures, and systematically outlines recent research progress in lateral–longitudinal, lateral–vertical, longitudinal–vertical, and combined three-dimensional (lateral–longitudinal–vertical) coordinated control, including control architectures, key technologies, commonly used algorithms, and control allocation strategies. By analyzing and comparing the advantages, disadvantages, and application scenarios of different coordinated control schemes, this paper summarizes the key scientific problems and technical bottlenecks in this field and looks forward to development trends in intelligence, integration, and scenario-based fusion, aiming to provide a reference for the development of high-performance chassis control technology for DDEVs. Full article
Show Figures

Figure 1

23 pages, 5580 KB  
Article
Fixed-Time Disturbance Rejection Attitude Control for a Dual-System Hybrid UAV
by Wenyu Chen, Lulu Chen, Zhenbao Liu, Qingqing Dang, Wen Zhao, Tao Zhang and Chao Ma
Drones 2025, 9(4), 232; https://doi.org/10.3390/drones9040232 - 21 Mar 2025
Cited by 1 | Viewed by 1365
Abstract
The hybrid unmanned aerial vehicle combines the vertical take-off and landing and hover abilities of rotary-wing UAVs with the high-speed cruise and long-endurance capabilities of fixed-wing UAVs, expanding the flight envelope and application areas. The designed controller must handle the highly nonlinear dynamics [...] Read more.
The hybrid unmanned aerial vehicle combines the vertical take-off and landing and hover abilities of rotary-wing UAVs with the high-speed cruise and long-endurance capabilities of fixed-wing UAVs, expanding the flight envelope and application areas. The designed controller must handle the highly nonlinear dynamics and variable actuators resulting from this combination. Furthermore, the performance of the controller is also influenced by uncertainties in model parameters and external disturbances. To address these issues, a unified robust disturbance rejection control based on fixed-time stability theory is proposed for attitude control. A fixed-time disturbance observer is utilized to estimate composite disturbances without some strict assumptions. Based on this observer, a nonsingular chattering-free fixed-time integral sliding mode control law is introduced to ensure that tracking errors converge to the origin within a fixed time. In addition, an optimized control allocator based on the weighted least squares method is designed to handle the overactuation of a dual-system hybrid UAV. Finally, numerical simulations and hardware-in-the-loop experiments under different flight modes and disturbance conditions are carried out, and compared with nonlinear dynamic inverse and the nonsingular terminal sliding mode control based on a finite-time observer, the developed controller enhances attitude angle tracking accuracy and disturbance rejection performance. Full article
Show Figures

Figure 1

19 pages, 6663 KB  
Article
The Fault-Tolerant Control Strategy for the Steering System Failure of Four-Wheel Independent By-Wire Steering Electric Vehicles
by Qianlong Han, Chengye Liu, Jingbo Zhao and Haimei Liu
World Electr. Veh. J. 2025, 16(3), 183; https://doi.org/10.3390/wevj16030183 - 18 Mar 2025
Cited by 3 | Viewed by 2264
Abstract
The drive torque of each wheel hub motor of a four-wheel independent wire-controlled steering electric vehicle is independently controllable, representing a typical over-actuated system. Through optimizing the distribution of the drive torque of each wheel, fault-tolerant control can be realized. In this paper, [...] Read more.
The drive torque of each wheel hub motor of a four-wheel independent wire-controlled steering electric vehicle is independently controllable, representing a typical over-actuated system. Through optimizing the distribution of the drive torque of each wheel, fault-tolerant control can be realized. In this paper, the four-wheel independent wire-controlled steering electric vehicle is taken as the research object, aiming at the collaborative control problem of trajectory tracking and yaw stability when the actuator of the by-wire steering system fails, a fault-tolerant control method based on the synergy of differential steering and direct yaw moment is proposed. This approach adopts a hierarchical control system. The front wheel controller predicts the necessary steering angle in accordance with a linear model and addresses the requirements of the front wheels and additional torque. Subsequently, considering the uncertainties in the drive control system and the complexities of the road obstacle model, the differential steering torque is computed via the sliding mode control method; the lower-level controller implements the torque optimization distribution strategy based on the quadratic programming algorithm. Finally, the validity of this approach under multiple working conditions was verified via CarSim 2019 and MATLAB R2023b/Simulink simulation experiments. Full article
Show Figures

Figure 1

28 pages, 4999 KB  
Article
Three-Dimensional Path Tracking of Over-Actuated AUVs Based on MPC and Variable Universe S-Plane Algorithms
by Feng Xu, Lei Zhang and Jibin Zhong
J. Mar. Sci. Eng. 2024, 12(3), 418; https://doi.org/10.3390/jmse12030418 - 27 Feb 2024
Cited by 8 | Viewed by 2899
Abstract
Autonomous Underwater Vehicles (AUVs) are widely used for the inspection of seabed pipelines. To address the issues of low trajectory tracking accuracy in AUV inspection processes due to uncertain ocean current disturbances, this paper designs a new dual-loop controller based on Model Predictive [...] Read more.
Autonomous Underwater Vehicles (AUVs) are widely used for the inspection of seabed pipelines. To address the issues of low trajectory tracking accuracy in AUV inspection processes due to uncertain ocean current disturbances, this paper designs a new dual-loop controller based on Model Predictive Control (MPC) and Variable Universe S-plane algorithms (S-VUD FLC, where VUD represents Variable Universe Discourse and FLC represents Fuzzy Logic Control) to achieve three-dimensional (3-D) trajectory tracking of an over-actuated AUV under uncertain ocean current disturbances. This paper uses MPC as the outer-loop position controller and S-VUD FLC as the inner-loop speed controller. The outer-loop controller generates desired speed instructions that are passed to the inner-loop speed controller, while the inner-loop speed controller generates control input and uses a direct logic thrust distribution method that approaches optimal energy consumption to distribute the thrust generated by the propellers to the over-actuated AUV, achieving closed-loop tracking of the entire trajectory. When designing the outer-loop MPC controller, the actual control input constraints of the system are considered, and control increments are introduced to reduce control model errors and the impact of uncertain external disturbances on the actual AUV model parameters. When designing the inner-loop S-VUD FLC, the strong robustness of the variable universe fuzzy controller and the easy construction characteristics of the S-plane algorithm are combined, and integral action is introduced to improve the system’s tracking accuracy. The stability of the outer loop controller is proven by the Lyapunov method, and the stability of the inner loop controller is verified by simulation. Finally, simulations show that the over-actuated AUV has fast tracking processes and high tracking result accuracy under uncertain ocean current disturbances, demonstrating the effectiveness of the designed dual-loop controller. Full article
(This article belongs to the Special Issue Control and Navigation of Underwater Robot Systems)
Show Figures

Figure 1

43 pages, 3010 KB  
Review
Review of Integrated Chassis Control Techniques for Automated Ground Vehicles
by Viktor Skrickij, Paulius Kojis, Eldar Šabanovič, Barys Shyrokau and Valentin Ivanov
Sensors 2024, 24(2), 600; https://doi.org/10.3390/s24020600 - 17 Jan 2024
Cited by 36 | Viewed by 12009
Abstract
Integrated chassis control systems represent a significant advancement in the dynamics of ground vehicles, aimed at enhancing overall performance, comfort, handling, and stability. As vehicles transition from internal combustion to electric platforms, integrated chassis control systems have evolved to meet the demands of [...] Read more.
Integrated chassis control systems represent a significant advancement in the dynamics of ground vehicles, aimed at enhancing overall performance, comfort, handling, and stability. As vehicles transition from internal combustion to electric platforms, integrated chassis control systems have evolved to meet the demands of electrification and automation. This paper analyses the overall control structure of automated vehicles with integrated chassis control systems. Integration of longitudinal, lateral, and vertical systems presents complexities due to the overlapping control regions of various subsystems. The presented methodology includes a comprehensive examination of state-of-the-art technologies, focusing on algorithms to manage control actions and prevent interference between subsystems. The results underscore the importance of control allocation to exploit the additional degrees of freedom offered by over-actuated systems. This paper systematically overviews the various control methods applied in integrated chassis control and path tracking. This includes a detailed examination of perception and decision-making, parameter estimation techniques, reference generation strategies, and the hierarchy of controllers, encompassing high-level, middle-level, and low-level control components. By offering this systematic overview, this paper aims to facilitate a deeper understanding of the diverse control methods employed in automated driving with integrated chassis control, providing insights into their applications, strengths, and limitations. Full article
(This article belongs to the Special Issue Research Progress on Intelligent Electric Vehicles-2nd Edition)
Show Figures

Figure 1

24 pages, 1506 KB  
Article
Improved PVTOL Test Bench for the Study of Over-Actuated Tilt-Rotor Propulsion Systems
by Luis Amezquita-Brooks, Eber Maciel-Martínez and Diana Hernandez-Alcantara
Machines 2024, 12(1), 46; https://doi.org/10.3390/machines12010046 - 10 Jan 2024
Cited by 1 | Viewed by 2325
Abstract
In recent years, applications exploiting the advantages of tilt-rotors and other vectored thrust propulsion systems have become widespread, particularly in many novel Vertical Takeoff and Landing (VTOL) configurations. These propulsion systems can provide additional control authority, enabling more complex flight modes, but the [...] Read more.
In recent years, applications exploiting the advantages of tilt-rotors and other vectored thrust propulsion systems have become widespread, particularly in many novel Vertical Takeoff and Landing (VTOL) configurations. These propulsion systems can provide additional control authority, enabling more complex flight modes, but the resulting control systems can be challenging to design due to the mismatch between the vehicle degrees of freedom and physical input variables. These propulsion systems present both advantages and difficulties because they can exert the same overall forces and moments in many different propulsive configurations. This leads to the traditional non-uniqueness problem when using the inverse dynamics control allocation approach, which is the basis of many popular VTOL control algorithms. In this article, a modified Planar VTOL (PVTOL) test bench configuration, which considers an arbitrary number of co-linear tilting rotors, is introduced as a benchmark for the study of the control allocation problem. The resulting propulsion system is then modeled and linearized in a closed and compact form. This allows a simple and systematic derivation of many of the currently used control allocation approaches. According to the proposed PVTOL configuration, a two-rotor test bench is implemented experimentally and a decoupling control allocation strategy based on Singular Value Decomposition (SVD) analysis is developed. The proposed approach is compared with a traditional input mixer algorithm based on physical intuition. The results show that the SVD-based solution achieves better cross-coupling reduction and preserves the main properties of the physically derived approach. Finally, it is shown that the proposed PVTOL configuration is effective for studying the control allocation problem experimentally in a controlled environment and could serve as a benchmark for comparing different approaches. Full article
(This article belongs to the Special Issue Advances and Applications in Unmanned Aerial Vehicles)
Show Figures

Figure 1

23 pages, 1260 KB  
Article
Integrated Control of Motion Actuators for Enhancing Path Following and Yaw Stability of Over-Actuated Autonomous Vehicles
by Wenliang Zhang, Lars Drugge, Mikael Nybacka and Jenny Jerrelind
Energies 2023, 16(12), 4776; https://doi.org/10.3390/en16124776 - 17 Jun 2023
Cited by 2 | Viewed by 1829
Abstract
Advanced active safety systems play a crucial role in ensuring the safe driving of vehicles in critical conditions such as an obstacle avoidance manoeuvre. However, conventional techniques relying mainly on braking interventions may not result in the desired vehicle response in such situations. [...] Read more.
Advanced active safety systems play a crucial role in ensuring the safe driving of vehicles in critical conditions such as an obstacle avoidance manoeuvre. However, conventional techniques relying mainly on braking interventions may not result in the desired vehicle response in such situations. Over-actuation through the control of individual motion actuators could potentially improve the safety performance of vehicles. This study evaluates various configurations of motion actuators for path following and yaw stability control of vehicles in critical driving scenarios. The configurations include active front steering (S), active front steering + torque vectoring (ST), active front steering + active camber (SC) and active front steering + torque vectoring + active camber (STC). The evaluation is achieved based on a nonlinear model predictive control formulation, which considers yaw stability and the physical limits of motion actuators. This problem formulation uses a double-track vehicle model, combined with the Dugoff tyre model and its variant with the camber effect, to model the vehicle dynamics. The actuator configurations are evaluated regarding the passing velocity, tracking accuracy, safety distance and robustness to reference trajectory variation. The results indicate that the integrated control of STC performs the best among all the four configurations while S performs the worst. Furthermore, SC is generally superior to ST. Full article
Show Figures

Figure 1

26 pages, 2638 KB  
Article
Design of an Over-Actuated Hexacopter Tilt-Rotor for Landing and Coupling in Power Transmission Lines
by Vitor Mainenti Leal Lopes, Leonardo M. Honório, Murillo F. Santos, Antônio A. N. Pancoti, Mathaus F. Silva, Lucas F. Diniz and Paolo Mercorelli
Drones 2023, 7(6), 341; https://doi.org/10.3390/drones7060341 - 25 May 2023
Cited by 7 | Viewed by 4109
Abstract
It is known that new power transmission line inspection techniques have been developed over the last few years with great potential to improve and, in some cases, even replace traditional inspection procedures such as using helicopters and cars. A series of Unmanned Aerial [...] Read more.
It is known that new power transmission line inspection techniques have been developed over the last few years with great potential to improve and, in some cases, even replace traditional inspection procedures such as using helicopters and cars. A series of Unmanned Aerial Vehicles (UAVs) such as fixed-wing or rotary-wing UAVs, and vehicles that climb on the power transmission line, promise to revolutionize the inspection market. In this light, at least 39 new research studies and/or products have been conducted and/or introduced to the market, respectively. However, in an incipient way, some works point to the fusion of some technologies: the development of multi-rotor UAVs and the ability to connect and move over the power transmission line. In line with this, the current work was proposed, with significant unprecedented advances (such as an over-actuated control capacity with tilt rotors, the capability of a displacement in the angle, and the maintenance of active motors on the power transmission line), and the design, modeling, and control of an over-actuated UAV able to move over the conductor cable without the need for a new locomotion system is presented. The aircraft allows for a greater response and the indispensable ability to approximate landing in a power transmission line arbitrary position rather than the catenary lowest point (due to its ability to forward/backward move using the tilting rotors). Its design is detailed, its subsystems are described, and its normal and coupled flight mode dynamics are modeled. The results show good stability and reliable maneuvers for the coupling-to-power-transmission-line flight mode, without any overshoots, and the ability to follow the entire catenary through different Real Control Action (RCA) sets. Full article
Show Figures

Figure 1

27 pages, 3085 KB  
Article
Attitude-Tracking Control for Over-Actuated Tailless UAVs at Cruise Using Adaptive Dynamic Programming
by Zihou He, Jianbo Hu, Yingyang Wang, Jiping Cong, Yuan Bian and Linxiao Han
Drones 2023, 7(5), 294; https://doi.org/10.3390/drones7050294 - 27 Apr 2023
Cited by 10 | Viewed by 2501
Abstract
Using adaptive dynamic programming (ADP), this paper presents a novel attitude-tracking scheme for over-actuated tailless unmanned aerial vehicles (UAVs) that integrates control and control allocation while accounting for nonlinearity and nonaffine control inputs. The proposed method uses the idea of nonlinear dynamic inversion [...] Read more.
Using adaptive dynamic programming (ADP), this paper presents a novel attitude-tracking scheme for over-actuated tailless unmanned aerial vehicles (UAVs) that integrates control and control allocation while accounting for nonlinearity and nonaffine control inputs. The proposed method uses the idea of nonlinear dynamic inversion to create an augmented system and converts the optimal tracking problem into an optimal regulation problem using a discounted performance function. Drawing inspiration from incremental control, this method achieves optimal tracking control for the nonaffine system by simply using a critic-only structure. Moreover, the unique design of the performance function ensures robustness against model uncertainties and external disturbances. The ADP method was found to outperform traditional control architectures that separate control and control allocation, achieving the same level of attitude-tracking performance through a more optimized approach. Furthermore, unlike many recent optimal controllers for nonaffine systems, our method does not require any model identifiers and demonstrates robustness. The superiority of the ADP-based approach is verified through two simulated scenarios, and its internal mechanism is further discussed. The theoretical analysis of robustness and stability is also provided. Full article
(This article belongs to the Special Issue Flight Control System Simulation)
Show Figures

Figure 1

18 pages, 12319 KB  
Article
Overview of the SmartX Wing Technology Integrator
by Roeland De Breuker, Tigran Mkhoyan, Nakash Nazeer, Vincent Stuber, Xuerui Wang, Iren Mkhoyan, Roger Groves, Sybrand van der Zwaag and Jurij Sodja
Actuators 2022, 11(10), 302; https://doi.org/10.3390/act11100302 - 20 Oct 2022
Cited by 9 | Viewed by 5218
Abstract
This article describes the challenges of integrating smart sensing, actuation, and control concepts into an over-sensed and over-actuated technology integrator. This technology integrator has more control inputs than the expected responses or outputs (over-actuated), and its every state is measured using more than [...] Read more.
This article describes the challenges of integrating smart sensing, actuation, and control concepts into an over-sensed and over-actuated technology integrator. This technology integrator has more control inputs than the expected responses or outputs (over-actuated), and its every state is measured using more than one sensor system (over-sensed). The hardware integration platform is chosen to be a wind tunnel model of a low-speed aircraft wing such that it can be tested in a large university-level wind tunnel. This hardware technology integrator is designed for multiple objectives. The nature of these objectives is aerodynamic, structural, and aeroelastic, or, more specifically; drag reduction, static and dynamics loads control, aeroelastic stability control, and lift control. Enabling technologies, such as morphing, piezoelectric actuation and sensing, and fibre-optic sensing are selected to fulfil the mentioned objectives. The technology integration challenges are morphing, actuation integration, sensor integration, software and data integration, and control system integration. The built demonstrator shows the intended level of technology integration. Full article
(This article belongs to the Special Issue Advanced Actuators for Aerospace Systems)
Show Figures

Figure 1

17 pages, 30663 KB  
Article
Algorithms and Methods for the Fault-Tolerant Design of an Automated Guided Vehicle
by Ralf Stetter
Sensors 2022, 22(12), 4648; https://doi.org/10.3390/s22124648 - 20 Jun 2022
Cited by 6 | Viewed by 4145
Abstract
Researchers around the globe have contributed for many years to the research field of fault-tolerant control; the importance of this field is ever increasing as a consequence of the rising complexity of technical systems, the enlarging importance of electronics and software as well [...] Read more.
Researchers around the globe have contributed for many years to the research field of fault-tolerant control; the importance of this field is ever increasing as a consequence of the rising complexity of technical systems, the enlarging importance of electronics and software as well as the widening share of interconnected and cloud solutions. This field was supplemented in recent years by fault-tolerant design. Two main goals of fault-tolerant design can be distinguished. The first main goal is the improvement of the controllability and diagnosability of technical systems through intelligent design. The second goal is the enhancement of the fault-tolerance of technical systems by means of inherently fault-tolerant design characteristics. Inherently fault-tolerant design characteristics are, for instance, redundancy or over-actuation. This paper describes algorithms, methods and tools of fault-tolerant design and an application of the concept to an automated guided vehicle (AGV). This application took place on different levels ranging from conscious requirements management to redundant elements, which were consciously chosen, on the most concrete level of a technical system, i.e., the product geometry. The main scientific contribution of the paper is a methodical framework for fault-tolerant design, as well as certain algorithms and methods within this framework. The underlying motivation is to support engineers in design and control trough product development process transparency and appropriate algorithms and methods. Full article
(This article belongs to the Special Issue Sensors and Fault-Tolerant Systems for Automated Guided Vehicles)
Show Figures

Figure 1

19 pages, 3426 KB  
Article
Multiple-Actuator Fault Isolation Using a Minimal 1-Norm Solution with Applications in Overactuated Electric Vehicles
by Jinseong Park and Youngjin Park
Sensors 2022, 22(6), 2144; https://doi.org/10.3390/s22062144 - 10 Mar 2022
Cited by 3 | Viewed by 2449
Abstract
A multiple-actuator fault isolation approach for overactuated electric vehicles (EVs) is designed with a minimal 1-norm solution. As the numbers of driving motors and steering actuators increase beyond the number of controlled variables, an EV becomes an overactuated system, which exhibits [...] Read more.
A multiple-actuator fault isolation approach for overactuated electric vehicles (EVs) is designed with a minimal 1-norm solution. As the numbers of driving motors and steering actuators increase beyond the number of controlled variables, an EV becomes an overactuated system, which exhibits actuator redundancy and enables the possibility of fault-tolerant control (FTC). On the other hand, an increase in the number of actuators also increases the possibility of simultaneously occurring multiple faults. To ensure EV reliability while driving, exact and fast fault isolation is required; however, the existing fault isolation methods demand high computational power or complicated procedures because the overactuated systems have many actuators, and the number of simultaneous fault occurrences is increased. The method proposed in this paper exploits the concept of sparsity. The underdetermined linear system is defined from the parity equation, and fault isolation is achieved by obtaining the sparsest nonzero component of the residuals from the minimal 1-norm solution. Therefore, the locations of the faults can be obtained in a sequence, and only a consistently low computational load is required regardless of the isolated number of faults. The experimental results obtained with a scaled-down overactuated EV support the effectiveness of the proposed method, and a quantitative index of the sparsity condition for the target EV is discussed with a CarSim-connected MATLAB/Simulink simulation. Full article
Show Figures

Figure 1

Back to TopTop