Sign in to use this feature.

Years

Between: -

Subjects

remove_circle_outline
remove_circle_outline
remove_circle_outline
remove_circle_outline
remove_circle_outline
remove_circle_outline
remove_circle_outline
remove_circle_outline
remove_circle_outline

Journals

remove_circle_outline
remove_circle_outline
remove_circle_outline
remove_circle_outline
remove_circle_outline
remove_circle_outline
remove_circle_outline
remove_circle_outline
remove_circle_outline
remove_circle_outline
remove_circle_outline

Article Types

Countries / Regions

remove_circle_outline
remove_circle_outline
remove_circle_outline
remove_circle_outline

Search Results (361)

Search Parameters:
Keywords = over-representation

Order results
Result details
Results per page
Select all
Export citation of selected articles as:
14 pages, 1776 KB  
Article
Diseases and Mortality in Confiscated Birds and Reptiles Housed in a Wildlife Rescue Center Under the CITES Directive
by Aurora Martín, Adrián Rabanal Soto, Víctor Hidalgo-Martínez, Adriana Rodríguez Luis, María del Carmen Aranda Vázquez, Paloma Jimena de Andrés Gamazo and María de los Ángeles Jiménez Martínez
Vet. Sci. 2026, 13(3), 306; https://doi.org/10.3390/vetsci13030306 - 23 Mar 2026
Abstract
The number of confiscated CITES-listed animals has increased dramatically worldwide, creating significant health, logistical, and resource challenges for responsible authorities. Rescue centers represent a scientific and humanitarian response to this challenge, providing solutions through rehabilitation, research, and environmental education. This postmortem survey provides [...] Read more.
The number of confiscated CITES-listed animals has increased dramatically worldwide, creating significant health, logistical, and resource challenges for responsible authorities. Rescue centers represent a scientific and humanitarian response to this challenge, providing solutions through rehabilitation, research, and environmental education. This postmortem survey provides information on disease and mortality during a four-year period, in confiscated CITES-listed birds and reptiles housed in an authorized rescue center. A total of 29 animals (17 birds and 12 reptiles) were examined by necropsy and histopathology. Infectious disease accounted for the mortality of 58.8% of birds and 49.8% of reptiles, with overrepresentation of bacterial disease in both groups. Lesions consisted mainly of granulomas in multiple organs. Suspected viral disease occurred in 23.3% of birds, and protozoal infections were found in 17.3% of birds. Systemic disease caused by an unknown haemosporozoan was the cause of death in a Lonchura oryzivora. An unknown infectious agent was associated with renal disease in a Ctenosaura sp. Gout secondary to dehydration was overrepresented in reptiles (33.3%). This study highlights the complexity of disease processes affecting confiscated birds and reptiles in CITES rescue settings and provides invaluable information for other rescue centers that may impact the success of conservation strategies. Full article
(This article belongs to the Special Issue Advances in Zoo, Aquatic, and Wild Animal Medicine)
Show Figures

Figure 1

21 pages, 1341 KB  
Article
Discovery of a Secretory Granule Lumen-Enriched Serum Protein Signature in Resectable Pancreatic Ductal Adenocarcinoma
by Septimiu Alex Moldovan, Maria Iacobescu, Emil Ioan Moiș, Florin Graur, Luminiţa Furcea, Florin Zaharie, Andra Ciocan, Maria-Andreea Soporan, Ioana-Ecaterina Pralea, Simona Mirel, Mihaela Ştefana Moldovan, Andrada Seicean, Vlad Ionuț Nechita, Cristina Adela Iuga and Nadim Al Hajjar
Medicina 2026, 62(3), 605; https://doi.org/10.3390/medicina62030605 - 23 Mar 2026
Abstract
Background and Objectives: Serum biomarker discovery in resectable pancreatic ductal adenocarcinoma (PDAC) remains a critical unmet need, as over 80% of patients present with unresectable disease. Serum proteomics offers a promising approach for identifying circulating biomarkers associated with early-stage disease; however, clinical [...] Read more.
Background and Objectives: Serum biomarker discovery in resectable pancreatic ductal adenocarcinoma (PDAC) remains a critical unmet need, as over 80% of patients present with unresectable disease. Serum proteomics offers a promising approach for identifying circulating biomarkers associated with early-stage disease; however, clinical translation has been limited by inconsistent validation and the absence of clinically relevant comparator populations. Materials and Methods: We performed a discovery-phase study using data-independent acquisition mass spectrometry-based serum proteomics in 35 patients with resectable, non-metastatic PDAC and 34 non-cancer controls without hepato-biliary-pancreatic disease. Following quality filtering (≥80% detection threshold), 407 proteins were retained for analysis. Differential abundance was assessed using Welch’s t-test with Benjamini–Hochberg correction (FDR < 0.01, |FC| ≥ 1.5). Diagnostic performance was evaluated using receiver operating characteristic (ROC) analysis and logistic regression with repeated stratified 5-fold cross-validation (100 repetitions) and bootstrap resampling (1000 iterations). Functional enrichment analysis was performed using g:Profiler. Results: Ninety proteins were significantly altered in PDAC (50 increased, 40 decreased). Inter-alpha-trypsin inhibitor heavy chain H3 (ITIH3) demonstrated the highest individual diagnostic performance (AUC = 0.90), followed by coagulation factor XIII A chain (F13A1; AUC = 0.89) and ferritin light chain (FTL; AUC = 0.86). Functional enrichment revealed significant overrepresentation of secretory granule lumen components (adjusted p = 0.001) and complement/coagulation pathways (adjusted p < 0.001). An enrichment-guided three-protein panel (ITIH3, F13A1, and FTL) achieved an AUC of 0.98 (95% CI: 0.95–1.00), with a cross-validated mean AUC of 0.96, sensitivity of 83% (95% CI: 66.4–93.4%), and specificity of 100% (95% CI: 89.7–100%) within the discovery cohort. Conclusions: This discovery-phase study identifies a biologically coherent serum protein signature enriched for secretory granule lumen components in resectable PDAC. The three-protein panel demonstrates strong internal validation performance; however, these estimates may be optimistic due to feature selection performed prior to cross-validation. External validation in independent cohorts—including chronic pancreatitis controls and parallel CA19-9 assessment—will be essential to determine clinical applicability. Full article
(This article belongs to the Section Gastroenterology & Hepatology)
Show Figures

Figure 1

18 pages, 2224 KB  
Article
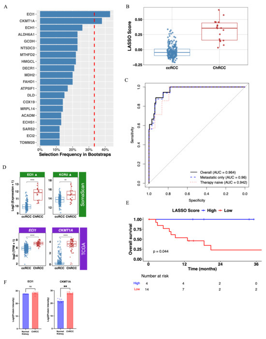
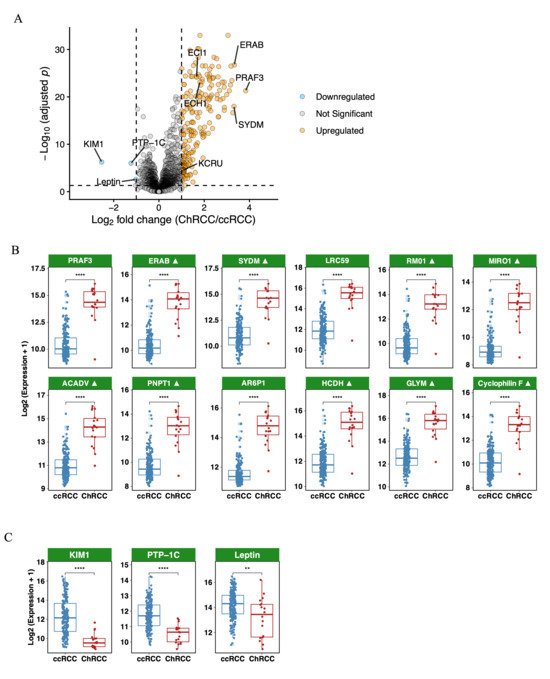
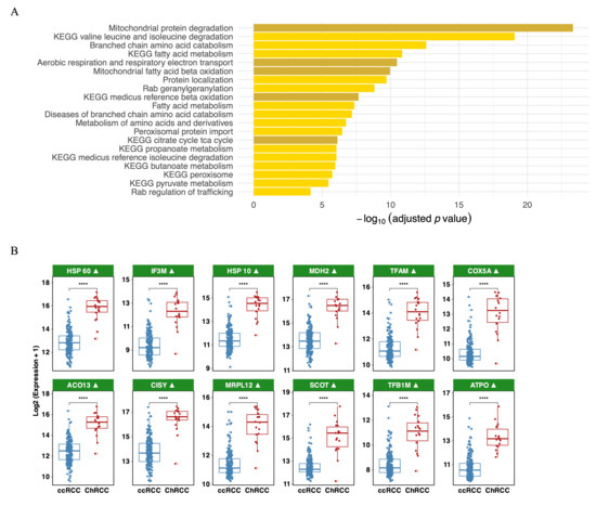
A Mitochondrial Plasma Proteomic Signature Identifies Metastatic Chromophobe Renal Cell Carcinoma
by Clara Steiner, Tiegang Han, Steven Safi, Wafaa Bzeih, Hadi Mansour, Eddy Saad, Jessica F. Williams, Michelle S. Hirsch, Vinay K. Giri, Liliana Ascione, Yehonatan Elon, Adam P. Dicker, Yan Tang, Toni K. Choueiri, Elizabeth P. Henske and Wenxin Xu
Cancers 2026, 18(6), 1032; https://doi.org/10.3390/cancers18061032 - 23 Mar 2026
Abstract
Background: Chromophobe renal cell carcinoma (ChRCC) is characterized by the accumulation of abnormal mitochondria, a high rate of mitochondrial DNA (mtDNA) mutations, and altered oxidative metabolism. There are no existing circulating biomarkers to distinguish metastatic ChRCC from clear cell renal cell carcinoma (ccRCC). [...] Read more.
Background: Chromophobe renal cell carcinoma (ChRCC) is characterized by the accumulation of abnormal mitochondria, a high rate of mitochondrial DNA (mtDNA) mutations, and altered oxidative metabolism. There are no existing circulating biomarkers to distinguish metastatic ChRCC from clear cell renal cell carcinoma (ccRCC). Methods: High-throughput plasma proteomic profiling using the SomaScan platform was performed in 18 ChRCC (including 16 metastatic ChRCC) and 197 metastatic ccRCC patients. Data were harmonized to generate a unified 7K-protein matrix. Results: Differential expression analysis was performed using limma (version 3.62.2). Of 7272 quantified human plasma proteins, 209 were differentially expressed between ChRCC and ccRCC. Upregulated proteins in ChRCC included essential β-oxidation enzymes such as ECH1 (enoyl-CoA hydratase 1) and ECI1 (enoyl-CoA delta-isomerase 1), suggesting increased long-chain fatty acid degradation. Creatine and energy-buffering pathways were also represented, with increased CKMT1A (Creatine Kinase, Mitochondrial 1A) in ChRCC. KIM-1 (Kidney Injury Molecule-1) and leptin were lower in ChRCC, consistent with the known upregulation of these proteins in ccRCC. Pathway enrichment analyses revealed an overrepresentation of mitochondrial protein degradation, fatty acid β-oxidation, and respiratory electron transport in ChRCC, suggesting that ChRCC sheds a unique mitochondrial signature into the peripheral circulation. A bootstrap-based LASSO logistic regression restricted to upregulated mitochondrial proteins in ChRCC vs. ccRCC consistently selected ECI1 and CKMT1A. The LASSO model achieved an AUROC of 0.964. Conclusions: Compared to ccRCC, the plasma proteome of metastatic ChRCC is dominated by mitochondrial metabolic enzymes, revealing a systemic metabolic phenotype strikingly aligned with the known histologic accumulation of abnormal mitochondria in ChRCC cells. Full article
(This article belongs to the Section Cancer Biomarkers)
Show Figures

Figure 1

20 pages, 1203 KB  
Article
Proteomics-Based Study of Potential Emphysema Biomarkers Reveals Systemic Redox System and Extracellular Matrix Component Dysregulation
by Grgur Salai, Ruđer Novak, Stela Hrkač, Václav Pustka, David Potěšil, Zbyněk Zdráhal, Divo Ljubicic and Lovorka Grgurević
Diagnostics 2026, 16(6), 931; https://doi.org/10.3390/diagnostics16060931 - 21 Mar 2026
Viewed by 68
Abstract
Objective: Emphysema is an important chronic obstructive pulmonary disease (COPD) phenotype characterized by the destruction of air spaces distal to the terminal bronchiole. Aiming to detect potential emphysema biomarkers and to assess the systemic effects of emphysema in blood plasma, we conducted a [...] Read more.
Objective: Emphysema is an important chronic obstructive pulmonary disease (COPD) phenotype characterized by the destruction of air spaces distal to the terminal bronchiole. Aiming to detect potential emphysema biomarkers and to assess the systemic effects of emphysema in blood plasma, we conducted a small cross-sectional shotgun proteomics study. Methods: This study included N = 40 participants divided into four subgroups (N = 10 per group): patients with emphysema and COPD (CE), patients with COPD but without emphysema (CN), healthy smokers (HS) and healthy never-smokers (HN). The participants were sampled non-probabilistically to be similar in terms of age, sex and comorbidities. Participants’ blood plasma was analyzed using liquid chromatography–mass spectrometry. Bioinformatic analysis included detection of differentially expressed proteins (DEPs) and overrepresentation analysis (ORA). Results: Across all groups, a total of 994 proteins were identified, with NADP-dependent malic enzyme (NADP-ME; encoded by ME1) being the only DEP in the CE vs. CN contrast. Proteins such as BMP1, ADAMTSL-2, -4 and IGFBP4, -5, 6 were identified to be upregulated in CE vs. HN. Fibulin-1, -3 and several immunoglobulin components were identified to be downregulated in the CE vs. HN contrast. ORA revealed several enriched processes, including serine-type endopeptidase activity, insulin-like growth factor I and II binding, and signaling receptor binding. Conclusion: We propose NADP-ME, an important enzyme of intermediary metabolism and redox homeostasis, as a potential biomarker candidate of emphysema. Notably, NADP-ME is also implicated in anoikis resistance. Additionally, changes in the expression levels of BMP1, ADAMTSL-2 and -4, and fibulin suggest potential major systemic effects of extracellular matrix perturbation. As all data was derived from LC-MS analysis, these findings need to be further evaluated with complementary methods. Full article
(This article belongs to the Special Issue Diagnosis and Management of Lung Diseases)
Show Figures

Figure 1

12 pages, 3527 KB  
Case Report
Dermatofibrosarcoma Protuberans in a Patient Living with Human Immunodeficiency Virus Infection
by Vincenzo Verdura, Pasquale Bisceglia, Luigi Annacontini, Luigi Cagiano, Francesca Sanguedolce, Martina Miracapillo, Fabrizia Fusco, Sergio Lo Caputo, Francesco Drago, Gaetano Serviddio, Aurelio Portincasa and Giulia Ciccarese
Microbiol. Res. 2026, 17(3), 61; https://doi.org/10.3390/microbiolres17030061 - 19 Mar 2026
Viewed by 48
Abstract
Dermatofibrosarcoma protuberans (DFSP) is a rare tumor presenting as a slow-growing, plaque-like or multinodular, brownish lesion on the trunk in adult patients. Diagnosis is established by histological examination and surgical excision is the primary treatment. Typically, DFSP has an indolent course and local [...] Read more.
Dermatofibrosarcoma protuberans (DFSP) is a rare tumor presenting as a slow-growing, plaque-like or multinodular, brownish lesion on the trunk in adult patients. Diagnosis is established by histological examination and surgical excision is the primary treatment. Typically, DFSP has an indolent course and local spread. In the present work, we describe the clinical–histologic features, surgical treatment and follow-up of a case of DFSP in a patient living with HIV infection (PLWH). A 40-year-old man was referred to us with confluent lesions on the left shoulder, present for about 3 years. His medical history was positive for HIV-1 infection, for which he was taking antiretroviral therapy. Microscopic examination showed dermal and hypodermic proliferation of spindle cells in a storiform pattern, confirming the clinical diagnosis of DFSP. A wide excision was performed with 3 cm clinically healthy tissue margins, and the defect was repaired using an artificial bilaminar dermal matrix. The histological examination revealed tumor-free margins, and a split-thickness skin graft was harvested from the same arm. After 10 months, the patient was free from the disease. As observed with other skin cancers, DFSP may have a higher incidence and greater aggressiveness in immunosuppressed than in immunocompetent patients. DFSP has been reported only twice in PLWH. Our case constitutes a third report, adding to the evidence that there may be an over-representation of this cancer in immunosuppressed individuals. Full article
(This article belongs to the Special Issue Host–Microbe Interactions in Health and Disease)
Show Figures

Figure 1

25 pages, 2001 KB  
Article
Transcriptomic Responses of Zebrafish Embryos to Environmentally Relevant, Low-Dose (2-Ethylhexyl) Phthalate Exposure at 96–120 hpf
by Mariagiovanna Pais, Kate McCafferty, Guillermo Lopez Campos and Gary Hardiman
Genes 2026, 17(3), 257; https://doi.org/10.3390/genes17030257 - 25 Feb 2026
Viewed by 260
Abstract
Background: Di(2-ethylhexyl) phthalate (DEHP) is a high-production-volume plasticizer and ubiquitous environ-mental contaminant with established endocrine-disrupting potential. While zebrafish transcriptomic studies have typically used high concentrations and long exposure windows, less is known about genome-wide responses during late embryogenesis/early larval maturation under environmentally relevant [...] Read more.
Background: Di(2-ethylhexyl) phthalate (DEHP) is a high-production-volume plasticizer and ubiquitous environ-mental contaminant with established endocrine-disrupting potential. While zebrafish transcriptomic studies have typically used high concentrations and long exposure windows, less is known about genome-wide responses during late embryogenesis/early larval maturation under environmentally relevant exposures. Here we profiled whole-organism transcriptomic responses to a short DEHP exposure during a developmentally sensitive transition (96–120) hours post-fertilization, hpf) and interpreted responses using differential expression, enrichment analyses, and endocrine-focused protein–protein interaction (PPI) network modeling. Methods: Wild-type AB zebrafish lar-vae (96 hpf) were exposed to DEHP at [10−9 M] or solvent control for 24 h. Larvae were pooled per replicate (25 lar-vae/pool) and processed for poly(A)-selected RNA-seq. Reads were quality-controlled, aligned to the Danio rerio reference genome, and quantified at gene- level. Differential expression was performed using DESeq2. Functional enrichment used KEGG over-representation analysis (ORA) and gene set enrichment analysis (GSEA). Zebrafish genes were mapped to human orthologs for GO/KEGG and STRING-based endocrine subnetworks, which were visualized and interrogated using STRINGdb and visNetwork. Results: Low-dose, short-term exposure does not produce large gene-level effects but induces coordinated, pathway-level transcriptional remodeling. KEGG ORA showed significant enrichment of MAPK signaling and regulation of actin cytoskeleton with additional enrichment of axon guidance and neuroactive ligand–receptor interaction. GSEA detected coordinated downregulation of KEGG neurodegeneration collections with negative normalized enrichment scores reflecting shared gene sets re-lated to mitochondrial function, proteostasis, cytoskeletal organization, and stress-response pathways. Endo-crine-focused STRING subnetworks indicated consistent downregulation of CYP19A1 within estrogen metabo-lism/biosynthesis modules and downregulation of upstream androgen biosynthetic enzymes HSD3B2 and CYP17A1, alongside upregulation of HSD17B3 and proteostasis-associated factors including DNAJA1. Endocrine network to-pology highlighted regulatory and cofactor nodes affecting receptor-linked transcription, consistent with indirect endocrine modulation rather than large receptor-transcript changes. Conclusions: In summary, this study demon-strates that exposure to low-dose DEHP during a critical period of zebrafish embryonic development is associated with modest but coordinated transcriptomic changes across multiple biological pathways. Pathway enrichment and network-based analyses highlight estrogen- and androgen-associated processes, along with broader signaling, met-abolic, and structural pathways, as transcriptionally responsive during this window. Importantly, these findings reflect molecular-level associations rather than direct evidence of functional or physiological endocrine disruption. Instead, they identify candidate pathways and regulatory networks that may be sensitive to low-level environmen-tal exposure and warrant further investigation. Collectively, this work underscores the value of systems-level tran-scriptomic approaches for detecting subtle, pathway-wide responses to environmentally relevant exposures during development. Full article
(This article belongs to the Section Toxicogenomics)
Show Figures

Figure 1

41 pages, 4411 KB  
Tutorial
Biological Functional Class Enrichment Analysis with R, an Annotated Tutorial for Bench Scientists
by Kejin Hu
Methods Protoc. 2026, 9(1), 28; https://doi.org/10.3390/mps9010028 - 19 Feb 2026
Viewed by 433
Abstract
High-throughput sequencing generally results in a list of genes. Which functional groups of genes among the DEGs are meaningful underlying factors to the differential biological/biomedical conditions under investigation? The process to find answers to this question can be called biological functional class enrichment [...] Read more.
High-throughput sequencing generally results in a list of genes. Which functional groups of genes among the DEGs are meaningful underlying factors to the differential biological/biomedical conditions under investigation? The process to find answers to this question can be called biological functional class enrichment analysis (FunCEA). R is a robust platform for FunCEA due to its accessibility by general users and availability of well-developed R packages for enrichment analysis and visualization, as well as for knowledge databases. Bench scientists in biomedical sciences need accessible and easy-to-understand protocols for FunCEA. This R tutorial provides detailed R scripts or command lines for FunCEA, as well as for data processing and visualization of the enrichment results. It keeps bench scientists in mind and provides supportive and apprehensible descriptions of the R scripts for each task (enrichment analysis, enrichment data processing, and visualization). It describes detailed procedures for the two popular FunCEA methods, the so-called over-representation analysis (ORA) and functional class scoring (FCS). The introduced FunCEA here uses three basic knowledge databases: gene ontology (GO), Kyoto Encyclopedia of Genes and Genomes (KEGG), and reactome. R codes for various visualizations (dot plot, term-gene network plot, enrichment map plot, ridge plot, and GSEA plot) are presented and annotated. Since all analyses are conducted in R, no commercial software is needed, yet clusterProfiler can directly access the latest KEGG knowledge database. Full article
(This article belongs to the Section Synthetic and Systems Biology)
Show Figures

Figure 1

18 pages, 1044 KB  
Article
Inflammation and Oxidative-Stress Pathways Are Associated with Idiopathic Sudden Hearing Loss: A Genome-Wide Association Study in 15,494 Japanese Individuals
by Ryosuke Kitoh, Shin-Ya Nishio, Yutaka Takumi and Shin-ichi Usami
Int. J. Mol. Sci. 2026, 27(4), 1836; https://doi.org/10.3390/ijms27041836 - 14 Feb 2026
Viewed by 342
Abstract
The etiology of idiopathic sudden sensorineural hearing loss (iSSNHL) remains unclear, and genome-wide genetic evidence is limited. We conducted a multicenter Japanese case–control genome-wide association study including 192 clinically defined iSSNHL cases and 15,302 controls aged ≥80 years without a history of hearing [...] Read more.
The etiology of idiopathic sudden sensorineural hearing loss (iSSNHL) remains unclear, and genome-wide genetic evidence is limited. We conducted a multicenter Japanese case–control genome-wide association study including 192 clinically defined iSSNHL cases and 15,302 controls aged ≥80 years without a history of hearing loss. After cross-platform SNP harmonization and imputation (Eagle/Minimac4), association testing was performed using dosage-based logistic regression in PLINK 2.0, adjusting for sex and principal components (PC1–PC10). Gene- and pathway-level analyses were conducted using MAGMA and the PANTHER overrepresentation test. Genomic inflation was modest (λ_GC = 1.04). Eight loci reached genome-wide significance (p < 5 × 10−8), led by FHIT, with additional loci near LHX2, TRMT1L, MEGF10, SPATS1, SAMD5, MYT1L, and ID4; 21 loci met the suggestive threshold (p < 1 × 10−6). MAGMA identified eight genes at FDR < 0.05 (FHIT, TRMT1L, MEGF10, RNF2, SWT1, VAMP1, TAPBPL, and C9orf3). These findings suggest that immune-inflammatory and cellular stress–homeostasis mechanisms may contribute to iSSNHL susceptibility and provide candidate loci for future replication and functional studies. Full article
(This article belongs to the Section Molecular Genetics and Genomics)
Show Figures

Figure 1

20 pages, 8329 KB  
Article
Size-Dependent Disruption of Lipid Metabolism by Polystyrene Micro- and Nanoplastics in Caenorhabditis elegans Revealed Through Multi-Omics and Functional Genetic Validation
by Zhi Qu, Xihua Feng, Yalu Wang, Rui Wang and Nan Liu
Toxics 2026, 14(2), 170; https://doi.org/10.3390/toxics14020170 - 13 Feb 2026
Viewed by 693
Abstract
Microplastics (MPs) are pervasive contaminants that enter the food chain and cause health issues. However, the size-dependent effects of MPs on lipid metabolism remain inadequately characterized. Using Caenorhabditis elegans (C. elegans), we investigated the size-dependent toxicity of polystyrene (PS)-MPs as model [...] Read more.
Microplastics (MPs) are pervasive contaminants that enter the food chain and cause health issues. However, the size-dependent effects of MPs on lipid metabolism remain inadequately characterized. Using Caenorhabditis elegans (C. elegans), we investigated the size-dependent toxicity of polystyrene (PS)-MPs as model contaminants with sizes of 100 nm and 1 μm, respectively. We evaluated multiple phenotypic endpoints, including lifespan, growth (body length and width), locomotion (head thrashes and body bends), reproduction, and intestinal lipofuscin. The expression of representative lipid metabolism-related transcripts was validated by quantitative PCR. Untargeted metabolomics profiling detected 831 differential metabolites (451down-regulated and 380 up-regulated) across both PS particle exposure groups, with over-representation of lipid metabolic pathways. Integration of multi-omics (transcriptomics and metabolomics) highlighted acdh-1, ech-6, hach-1, and sur-5 as core lipid-metabolism genes; RNA interference confirmed that knockdown of these target genes abolished the size-dependent differences in fat accumulation induced by MPs. Notably, it revealed elevated linoleic acid and taurocholic acid, signature metabolites indicative of disrupted lipid turnover by our metabolomic profiling. Collectively, our findings demonstrate that exposure to PS-MPs disrupts lipid homeostasis in C. elegans by perturbing mitochondrial function and key metabolic pathways, which in turn impairs growth, development, feeding, and reproductive capacity. Critically, these disruptive effects exhibit a strong size dependency, with 100 nm PS particles inducing more severe perturbations than the 1 μm particles, and provide novel mechanistic insight into MP-induced metabolic abnormalities, underscoring the importance of considering particle size in assessing the environmental and health risks of MP contamination. Full article
Show Figures

Graphical abstract

15 pages, 2667 KB  
Article
Disorganization of Transcriptional Regulation and Alteration of Keratin Family Gene Expression in Hairy Ear Mice
by Byeongyong Ahn, Hojun Choi, Joori Yum, Dayoung Kim, Harris Lewin and Chankyu Park
Genes 2026, 17(2), 182; https://doi.org/10.3390/genes17020182 - 31 Jan 2026
Viewed by 343
Abstract
Background: The hairy ear (Eh) mutation in heterozygous mice (Eh/+) results in elongated and additional ear hairs, along with altered pinna morphology compared to wild-type (+/+) mice. Previous studies suggest that disruption of the Hoxc gene cluster caused by [...] Read more.
Background: The hairy ear (Eh) mutation in heterozygous mice (Eh/+) results in elongated and additional ear hairs, along with altered pinna morphology compared to wild-type (+/+) mice. Previous studies suggest that disruption of the Hoxc gene cluster caused by the Eh inversion influences the hair growth cycle. Methods: To elucidate the molecular basis of this phenotype, we performed RNA-seq analysis on ear tissues from four-week-old Eh/+ and +/+ mice and compared their transcriptomic profiles. Results: Differential expression analysis identified 2092 genes, and subsequent Gene Ontology (GO) and overrepresentation analysis revealed significant alterations in hair growth-related processes, including the hair cycle and canonical keratinization in Eh/+ ears. Notably, numerous hair keratin and keratin-associated protein (Krtap) genes were markedly upregulated in Eh/+ mice. Validation by quantitative real-time PCR confirmed increased expression of randomly selected keratin genes (Krt34, Krt39, Krt71, Krt81, Krt84) and keratin-associated proteins (Krtap4-16 and Krtap22-2). In contrast, epithelial keratin genes such as Krt2 and Krt14 were downregulated in Eh/+ ears. In addition, genes associated with hair follicle growth, Car6 and Gprc5d, showed elevated expression, while Dab2, a telogen–anagen transition marker linked to hair follicle stem cell activation, was slightly increased at the telogen stage in Eh/+ compared with +/+ mice. Conclusions: These findings provide new insights into the role of Hoxc cluster genes in orchestrating the expression of hair keratin and Krtap genes and highlight potential regulatory mechanisms underlying the hairy ear phenotype. Full article
(This article belongs to the Section Molecular Genetics and Genomics)
Show Figures

Graphical abstract

27 pages, 10800 KB  
Article
Integrative RNA-Seq and TCGA-BRCA Analyses Highlight the Role of LINC01133 in Triple-Negative Breast Cancer
by Leandro Teodoro Júnior, Henrique César de Jesus-Ferreira, Mari Cleide Sogayar and Milton Yutaka Nishiyama-Jr.
Biomedicines 2026, 14(2), 268; https://doi.org/10.3390/biomedicines14020268 - 24 Jan 2026
Viewed by 602
Abstract
Background: Triple-negative breast cancers (TNBCs) are among the most aggressive breast tumors, due not only to the absence of clinically functional biomarkers used in other molecular subtypes, but also their marked heterogeneity and pronounced migratory and invasive behavior. The search for new molecules [...] Read more.
Background: Triple-negative breast cancers (TNBCs) are among the most aggressive breast tumors, due not only to the absence of clinically functional biomarkers used in other molecular subtypes, but also their marked heterogeneity and pronounced migratory and invasive behavior. The search for new molecules of interest for risk prediction, diagnosis and therapy stems from the class of long non-coding RNAs (lncRNAs), which often display context-dependent (“dual”) functions and tissue specificity. Among them, lncRNA LINC01133 stands out for its dysregulation across cancer, although its molecular role in TNBC remains unclear. Methods: In the present study, we used the human TNBC cell line Hs578T to generate a cell panel comprising the parental line (Hs578T_wt), the control line (Hs578T_ctr), and the LINC01133 knockout line (Hs578T_ko). Subsequently, we performed bulk RNA-Seq to identify KO-associated Differentially Expressed Genes (DEGs) using ko_vs_ctr as the primary contrast. Functional interpretation was achieved by Over-Representation Analysis (ORA) using Gene Ontology. We then conducted a comparative patient-cohort analysis using TCGA-BRCA Basal-like/TNBC cases (TCGA/BRCA n = 1098; Basal-like/TNBC n = 199), classified with the AIMS algorithm, and evaluated concordance between KO-associated signatures and patient tumor expression patterns via trend-based analyses across the LINC01133 expression levels and associated genes. Results: A total of 265 KO-dominant DEGs were identified in Hs578T_ko, reflecting transcriptional changes consistent with tumor progression, with enrichment of pathways associated with LINC01133 knockout including cell adhesion, cell–cell interactions, epithelial–mesenchymal transition (EMT), and extracellular matrix (ECM) remodeling. The main DEGs included ITIH5, GLUL, CACNB2, PDX1, ASPN, PTGER3, MFAP4, PI15, EPHB6, and CPA3 with additional candidates, such as KAZN and the lncRNA gene SSC4D, which have been implicated in migration/invasion, ECM remodeling, or signaling across multiple tumor contexts. Translational analyses in TCGA-BRCA basal-like tumors suggested a descriptive association in which lower LINC01133 levels were accompanied by shifts in the expression trends of genes linked to ECM/EMT programs and modulation of genes related to cell adhesion and protease inhibition. Conclusions: These results suggest a transcriptional model in which LINC01133 is associated with TNBC-related gene expression programs in a concentration-dependent manner, with loss of LINC01133 being associated with a transcriptomic shift toward pro-migratory/ECM remodeling signatures. While functional validation is required to establish causality, these data support LINC01133 as a molecule of interest in breast cancer research. Full article
(This article belongs to the Special Issue Bioinformatics Analysis of RNA for Human Health and Disease)
Show Figures

Figure 1

20 pages, 965 KB  
Article
Sequence-Based Models for RNA–Protein Interactions Imputation Might Be Insufficient for Novel Signal Prediction in eCLIP Data
by Arsenii K. Rybakov, Daniil A. Khlebnikov, Daria Y. Ovchinnikova, Arina I. Nikolskaya, Arsenii O. Zinkevich and Andrey A. Mironov
Int. J. Mol. Sci. 2026, 27(3), 1192; https://doi.org/10.3390/ijms27031192 - 24 Jan 2026
Viewed by 455
Abstract
Predicting specific RNA–protein interactions remains a challenging task. Despite the existence of numerous methods, a unified approach has yet to emerge. Additional difficulties emerge from the properties of in vivo IP experiments and their systematic biases, such as the overrepresentation of highly expressed [...] Read more.
Predicting specific RNA–protein interactions remains a challenging task. Despite the existence of numerous methods, a unified approach has yet to emerge. Additional difficulties emerge from the properties of in vivo IP experiments and their systematic biases, such as the overrepresentation of highly expressed RNAs. Here, we present the PLERIO machine learning framework, which utilizes eCLIP data for a single protein to reconstruct the full spectrum of its potential interactions with the cellular transcriptome (i.e., both highly expressed and lowly expressed RNAs). In an effort to extrapolate our methodology to a multi-protein paradigm for de novo prediction of RNA–protein interactions on proteins lacking available eCLIP data, we extended our approach to 220 cellular proteins. We then demonstrate that this approach might not be well tailored to the limitations of current in vivo immunoprecipitation data, and may only be meaningful for in vitro experiments such as RNAcompete. Full article
Show Figures

Figure 1

21 pages, 3234 KB  
Article
OmicIntegrator: A Simple and Versatile Tool for Meta-Analysis
by Iván Federico Berco Gitman, Cecilia Eugenia María Grossi, Denise Soledad Arico, María Agustina Mazzella and Rita María Ulloa
Plants 2026, 15(2), 334; https://doi.org/10.3390/plants15020334 - 22 Jan 2026
Viewed by 338
Abstract
We developed OmicIntegrator, a broadly adaptable pipeline designed to standardize and integrate publicly available transcriptomic, proteomic, and phosphoproteomic datasets. We applied this workflow to Arabidopsis thaliana etiolated seedlings to identify protein kinases and phosphatases relevant to skotomorphogenic development, a phase during which seedlings [...] Read more.
We developed OmicIntegrator, a broadly adaptable pipeline designed to standardize and integrate publicly available transcriptomic, proteomic, and phosphoproteomic datasets. We applied this workflow to Arabidopsis thaliana etiolated seedlings to identify protein kinases and phosphatases relevant to skotomorphogenic development, a phase during which seedlings rely on tightly regulated signaling networks to ensure survival in darkness. This meta-analysis provided a comprehensive view of gene and protein expression, revealing discrepancies between transcript and protein abundance, suggesting post-transcriptional and post-translational regulation. By integrating multiple datasets, OmicIntegrator reduces experimental bias and enables the detection of phosphorylation events that may be missed in single-condition studies. Distinct phosphorylation patterns were detected across different protein kinase families. Motif enrichment analysis showed a strong overrepresentation of RxxS motifs among phosphosites in protein phosphatases and microtubule-associated proteins, consistent with potential regulation by calcium-dependent protein kinases (CPKs). Across omics layers, CPK3 and CPK9 repeatedly emerged as prominent candidates, highlighting them as priorities for future functional studies in skotomorphogenesis. Overall, our results demonstrate the power of OmicIntegrator as a flexible framework to contextualize signaling landscapes and identify robust patterns and candidate genes and for generating testable hypotheses from integrated multi-omics data in plant developmental biology. Full article
(This article belongs to the Special Issue Technologies, Applications and Innovations in Plant Genetics Research)
Show Figures

Figure 1

18 pages, 3327 KB  
Article
Non-Coding RNA Biomarkers in Prostate Cancer: Evidence Mapping and In Silico Characterization
by Lorena Albarracín-Navas, Nicolás I. Lara-Salas, Javier H. Alarcon-Roa, Maylin Almonte-Becerril, Enmanuel Guerrero and Ángela L. Riffo-Campos
Life 2026, 16(1), 95; https://doi.org/10.3390/life16010095 - 8 Jan 2026
Viewed by 640
Abstract
Non-coding RNAs (ncRNAs) have emerged as promising biomarkers for prostate cancer (PCa), yet evidence remains dispersed across heterogeneous studies and their regulatory context is seldom analyzed in an integrated manner. This study systematically maps ncRNAs reported as diagnostic biomarkers for PCa and characterizes [...] Read more.
Non-coding RNAs (ncRNAs) have emerged as promising biomarkers for prostate cancer (PCa), yet evidence remains dispersed across heterogeneous studies and their regulatory context is seldom analyzed in an integrated manner. This study systematically maps ncRNAs reported as diagnostic biomarkers for PCa and characterizes their molecular interactions through in silico analyses. A comprehensive evidence-mapping strategy across major bibliographic databases identified 693 studies, of which 58 met eligibility criteria. Differentially expressed ncRNAs were extracted and classified by RNA type. Subsequently, miRNA–target prediction, miRNA–protein interaction network construction, and functional enrichment analyses were performed to explore the regulatory landscape of miRNA-associated proteins. Results: The final dataset included 4500 participants (2871 PCa cases and 2093 controls) and reported 94 differentially expressed miRNAs, eight lncRNAs, and several circRNAs, snoRNAs, snRNAs, and piRNAs. In silico analyses predicted 13,493 miRNA–mRNA interactions converging on 4916 unique target genes, with an additional 2481 prostate tissue-specific targets. The miRNA–protein network comprised 845 nodes and 2335 edges, revealing highly connected miRNAs (e.g., hsa-miR-16-5p, hsa-miR-20a-5p) and protein hubs (QKI, YOD1, TBL1XR1; prostate-specific CDK6, ACVR2B). Enrichment analysis showed strong overrepresentation of metabolic process-related GO terms and cancer-associated KEGG pathways. Conclusions: These findings refine the list of promising ncRNA biomarkers and highlight candidates for future clinical validation. Full article
(This article belongs to the Special Issue Prostate Cancer: 4th Edition)
Show Figures

Figure 1

20 pages, 1450 KB  
Article
Sovereign Childhoods and the Colonial Care System: Structural Drivers, Cultural Rights and Pathways to Transformation in First Nations OOHC
by James C. Beaufils
Genealogy 2026, 10(1), 4; https://doi.org/10.3390/genealogy10010004 - 1 Jan 2026
Viewed by 605
Abstract
First Nations children remain dramatically over-represented in Australia’s Out-of-Home Care (OOHC) system, particularly in New South Wales (NSW), which continues to report the highest numbers nationally. This narrative review, grounded in a relational First Nations Standpoint Theory and decolonising research paradigms, to critically [...] Read more.
First Nations children remain dramatically over-represented in Australia’s Out-of-Home Care (OOHC) system, particularly in New South Wales (NSW), which continues to report the highest numbers nationally. This narrative review, grounded in a relational First Nations Standpoint Theory and decolonising research paradigms, to critically examine the systemic, structural, and historical factors contributing to these disproportionalities. Drawing on interdisciplinary evidence across law, criminology, education, health, governance studies, and public policy, the analysis centres Indigenous-authored scholarship and contemporary empirical literature, including grey literature, inquiries, and community-led reports. Findings reveal that the OOHC system reproduces the colonial logics that historically drove the Stolen Generations. Macro-level structural drivers—including systemic racism, Indigenous data injustice, entrenched poverty and deprivation, intergenerational trauma, and Westernised governance frameworks—continue to shape child protection policies and practices. Micro-level drivers such as parental supports, mental health distress, substance misuse, family violence, and the criminalisation of children in care (“crossover children”) must be understood as direct consequences of structural inequality rather than as isolated individual risk factors. Current placement and permanency orders in NSW further compound cultural disconnection, with ongoing failures to implement the Aboriginal and Torres Strait Islander Child Placement Principle (ATSICPP). Contemporary cultural rights and Indigenous Cultural and Intellectual Property (ICIP) frameworks highlight the urgency of restoring Indigenous authority in decision-making processes. The literature consistently demonstrates that cultural continuity, kinship networks, and ACCO-led models are sort to produce stronger long-term outcomes for children. The review concludes that genuine transformation requires a systemic shift toward Indigenous-led governance, community-controlled service delivery, data sovereignty, and legislative reform that embeds cultural rights and self-determination. Without acknowledging the structural drivers and redistributing genuine power and authority, the state risks perpetuating a cycle of removal that mirrors earlier assimilationist policies. Strengthening First Peoples governance and cultural authority is therefore essential to creating pathways for First Nations children to live safely, remain connected to family and kin, and thrive in culture. Full article
Show Figures

Figure 1

Back to TopTop