Sign in to use this feature.

Years

Between: -

Subjects

remove_circle_outline
remove_circle_outline
remove_circle_outline
remove_circle_outline
remove_circle_outline
remove_circle_outline
remove_circle_outline
remove_circle_outline
remove_circle_outline

Journals

remove_circle_outline
remove_circle_outline
remove_circle_outline
remove_circle_outline
remove_circle_outline
remove_circle_outline
remove_circle_outline
remove_circle_outline
remove_circle_outline
remove_circle_outline
remove_circle_outline
remove_circle_outline
remove_circle_outline
remove_circle_outline
remove_circle_outline
remove_circle_outline
remove_circle_outline
remove_circle_outline
remove_circle_outline
remove_circle_outline
remove_circle_outline
remove_circle_outline
remove_circle_outline
remove_circle_outline
remove_circle_outline
remove_circle_outline
remove_circle_outline

Article Types

Countries / Regions

remove_circle_outline
remove_circle_outline
remove_circle_outline
remove_circle_outline
remove_circle_outline
remove_circle_outline
remove_circle_outline
remove_circle_outline
remove_circle_outline
remove_circle_outline
remove_circle_outline

Search Results (6,513)

Search Parameters:
Keywords = nutrient impacts

Order results
Result details
Results per page
Select all
Export citation of selected articles as:
16 pages, 3960 KB  
Article
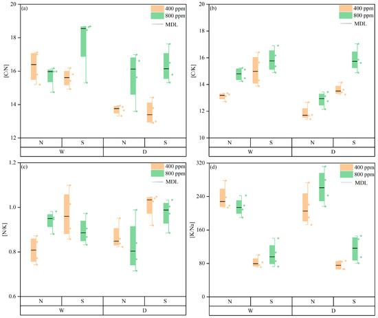
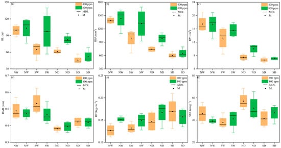
Doubling CO2 Modulates Root Morphology to Enhance Maize Elemental Stoichiometry and Water Use Efficiency Under Soil Drought and Salinity
by Changtong Xu, Haoran Tong, Zesen Gao, Wentong Zhao, Chunshuo Liu, Manyi Zhang and Zhenhua Wei
Agronomy 2026, 16(3), 326; https://doi.org/10.3390/agronomy16030326 (registering DOI) - 28 Jan 2026
Abstract
This study aimed to explore the effect of doubled CO2 concentration (d[CO2]) on the modulation of root morphological structure, leaf potassium (K)/sodium (Na) ratio, and nutrient stoichiometry, as well as water use efficiency (WUE) of a C4 [...] Read more.
This study aimed to explore the effect of doubled CO2 concentration (d[CO2]) on the modulation of root morphological structure, leaf potassium (K)/sodium (Na) ratio, and nutrient stoichiometry, as well as water use efficiency (WUE) of a C4 maize (Zea mays L.) in response to soil drought and salinity. C4 maize was grown in two atmospheric CO2 concentrations of 400 and 800 ppm (a[CO2] and d[CO2]), subjected to two soil water regimes (well-watered and drought stress) and two soil salinity levels (0 and 100 mM NaCl pot−1 (non-salt and salt stress)). The results indicated that soil drought increased maize root tissue density and specific root length. Both d[CO2] and salt stress reduced leaf phosphorus (P) and K concentrations; conversely, drought stress enhanced leaf nitrogen (N) and K concentrations. The lower specific leaf area, but greater specific leaf N and N/K under soil drought, was amplified by salt stress. In contrast, d[CO2] promoted leaf carbon (C)/N and C/K. Notably, d[CO2] combined with soil drought enhanced leaf K/Na under salt stress. Moreover, d[CO2] ameliorated the adverse impacts of soil drought and salinity on root morphology in terms of enlarged root length and root surface area, contributing to superior leaf C, N, and K use efficiency and consequently improved C4 maize plant dry mass and WUE. These findings would provide essential knowledge to elevate salt tolerance and achieve optimal nutrient homeostasis and WUE in C4 maize, adapting to future drier and more saline soils under a CO2-enriched scenario. Full article
Show Figures

Figure 1

21 pages, 979 KB  
Review
Microalgae Applications in the Agricultural and Food Sector: Towards a Sustainable Future
by Emily Radican, Yangchao Luo and Zhenlei Xiao
Molecules 2026, 31(3), 457; https://doi.org/10.3390/molecules31030457 (registering DOI) - 28 Jan 2026
Abstract
The global population faces increasing demands for sustainable initiatives due to industrialized agriculture. To meet the demand for protein-rich foods, innovative practices must be implemented. Conventional agricultural systems face significant challenges, including soil degradation, biodiversity loss, nutrient depletion, air pollution, and degraded water [...] Read more.
The global population faces increasing demands for sustainable initiatives due to industrialized agriculture. To meet the demand for protein-rich foods, innovative practices must be implemented. Conventional agricultural systems face significant challenges, including soil degradation, biodiversity loss, nutrient depletion, air pollution, and degraded water quality. Additionally, conventional agriculture affects the environment due to unsustainable farming practices utilizing chemical fertilizers, pesticides, and herbicides. These practices contribute to the accumulation of greenhouse gases and carbon emissions, which negatively affect air and water quality. Agricultural yield is declining, reducing the availability of foods, and further increasing food insecurity through increased costs. Microalgae, a unicellular organism with adaptive capabilities for carbon sequestration, offers a beneficial shift from conventional agriculture. Microalgae provide low-impact environmental alternatives to the agricultural sector, promote energy conservation, and synthesize health-promoting biomolecules, such as antioxidants, pigments, essential fatty acids, polysaccharides, and protein. This review evaluates the potentials of microalgal biomass for sustainable food applications, highlighting its role in strengthening microalgae as a biorefinery and alleviating the environmental and ecological burdens of traditional farming. Full article
(This article belongs to the Section Cross-Field Chemistry)
Show Figures

Figure 1

15 pages, 1846 KB  
Article
Effects of Bamboo (Bambusa emeiensis) Expansion on Soil Microbial Communities in a Subtropical Evergreen Broad-Leaved Forest
by Wentao Xie, Shaolong Li and Liang Zhao
Sustainability 2026, 18(3), 1304; https://doi.org/10.3390/su18031304 (registering DOI) - 28 Jan 2026
Abstract
Soil microorganisms are important components of forest ecosystems and play a key role in biogeochemical cycling. Bamboo is invasive due to its strong clonal expansion ability, which often leads to changes in plant communities and soil environments, thus affecting soil microorganisms. However, the [...] Read more.
Soil microorganisms are important components of forest ecosystems and play a key role in biogeochemical cycling. Bamboo is invasive due to its strong clonal expansion ability, which often leads to changes in plant communities and soil environments, thus affecting soil microorganisms. However, the existing research focuses on the response of moso bamboo (Phyllostachys edulis) and soil fungi and bacteria, and little attention is paid to other bamboo species and their impact on soil protists. In this study, we examined the effects of Bambusa emeiensis expansion on the soil microbial communities in subtropical evergreen broad-leaved forests. B. emeiensis expansion significantly reduced plant diversity and soil pH (p < 0.05). The expansion of B. emeiensis did not significantly change the relative abundance of dominant bacteria and fungi groups in the soil, but significantly changed the community composition of protists, including a significant increase in the relative abundance of Cercozoa, while the Evosea_X group and Ciliophora decreased significantly (p < 0.05). While α-diversity remained unchanged across all microbial groups, only protist community structure differed significantly (p = 0.026). The main driver of protist variation was identified as plant diversity decline by redundancy analysis (R2 = 0.760, p = 0.032). These results can be interpreted within a bottom-up regulatory framework, in which plant diversity is linked to changes in protist community composition. Overall, protists are an important group of organisms that help us understand the impact of bamboo growth on the environment. Their role in nutrient cycling and soil fertility suggests that changes in protist communities may have broader implications for ecosystem sustainability. This study provides a scientific reference for the ecological management of regional B. emeiensis and highlights the potential impact of protist community shifts on soil health and ecosystem resilience. Full article
Show Figures

Figure 1

26 pages, 946 KB  
Review
Umbilical Cord Biomarkers of Nutritional and Metabolic Status in Neonates with Intrauterine Growth Restriction
by Ioana Hermina Toth, Manuela Marina Pantea, Ileana Enatescu, Angelica Teodora Filimon, Flavia Yasmina Kali and Oana Belei
J. Clin. Med. 2026, 15(3), 1043; https://doi.org/10.3390/jcm15031043 (registering DOI) - 28 Jan 2026
Abstract
Background: Intrauterine Growth Restriction (IUGR) is associated with a distinct neonatal metabolic profile, attributable to chronic intrauterine nutritional deprivation and suboptimal placental nutrient exchange. Upon delivery, IUGR neonates typically present with depleted nutrient stores, dysregulated endocrine activity, and a spectrum of micronutrient deficiencies, [...] Read more.
Background: Intrauterine Growth Restriction (IUGR) is associated with a distinct neonatal metabolic profile, attributable to chronic intrauterine nutritional deprivation and suboptimal placental nutrient exchange. Upon delivery, IUGR neonates typically present with depleted nutrient stores, dysregulated endocrine activity, and a spectrum of micronutrient deficiencies, factors that collectively compromise metabolic homeostasis and significantly influence subsequent health trajectories. Methods: This narrative review systematically synthesizes the current body of evidence from clinical, biochemical, and translational investigations pertaining to the micronutrient status and pivotal endocrine markers in neonates affected by intrauterine growth restriction. The collected findings were integrated to elucidate metabolic adaptation mechanisms, immediate clinical ramifications, and the potential pathways linking neonatal biochemical patterns to long-term metabolic programming. Results: IUGR neonates consistently exhibit reduced cord-blood concentrations of essential micronutrients, including vitamin D, iron (Fe), zinc (Zn), magnesium (Mg), folate (vitamin B9), and cobalamin (vitamin B12), reflecting compromised placental nutrient transfer and limited fetal reserves. Concomitantly, endocrine alterations—most notably reduced insulin (INS) and C-peptide (C-pep) levels—indicate suppressed pancreatic β-cell activity and a prevailing hypoanabolic adaptive state. In parallel, disturbances in mineral metabolism, characterized by lower calcium (Ca) concentrations and increased alkaline phosphatase (ALP) activity, suggest impaired bone mineralization during the critical phase of early postnatal adaptation. Collectively, these biochemical patterns increase vulnerability to early clinical complications such as neonatal hypoglycemia and bone demineralization, disrupt early growth trajectories, and are associated with an elevated long-term risk of insulin resistance and adverse cardiometabolic programming. Conclusions: IUGR neonates consistently demonstrate a synergistic interplay of micronutrient deficiencies and adaptive endocrine responses, profoundly impacting immediate postnatal metabolic stability and predisposing them to long-term health challenges. Therefore, early biochemical screening, followed by tailored nutritional and hormonal interventions, may assist restore metabolic balance, promote growth and decrease long term risk for metabolic diseases. Full article
(This article belongs to the Special Issue Risk Factors in Neonatal Intensive Care)
Show Figures

Figure 1

21 pages, 2930 KB  
Article
Residual Effects of Wood Ash, Biochar, and Paper Mill Sludge on Crop Yield and Soil Physico-Chemical Properties
by Bernard Gagnon and Noura Ziadi
Soil Syst. 2026, 10(2), 22; https://doi.org/10.3390/soilsystems10020022 - 26 Jan 2026
Viewed by 30
Abstract
The application of forest byproducts to cropland provides significant benefits, mitigating soil degradation, supplying essential nutrients, and increasing yields. Their impact is well known in the first years, but few studies have examined the effects several years after an application. A field study [...] Read more.
The application of forest byproducts to cropland provides significant benefits, mitigating soil degradation, supplying essential nutrients, and increasing yields. Their impact is well known in the first years, but few studies have examined the effects several years after an application. A field study was initiated in Québec, QC, Canada, to assess the effects of wood ash (10 and 20 Mg dry wt. ha−1), pine biochar (10 Mg dry wt. ha−1), paper mill sludge (PS) (12 Mg dry wt. ha−1), and a combination of wood ash and PS, relative to an untreated control and a mineral treatment, on crop yield and soil properties three to seven years after application in a temperate circumneutral loamy soil. The site was cropped to a maize (Zea mays L.)–soybean [Glycine max (L.) Merr.]–spring wheat (Triticum aestivum L.) rotation. Each crop received supplemental N and P from mineral fertilizers, when needed, according to local agronomic recommendations. Applying wood ash increased wheat yield by 0.25–0.44 Mg ha−1 three years after the addition, but no effect was detected in other cases and for the other amendments. Wood ash also resulted in the largest increases (p < 0.05) in soil pH and Mehlich-3 P, K, Ca, Mg, Zn, and Cd, alone or in combination with PS. Pine biochar promoted soil C sequestration after seven years, but did not affect other soil properties owing to its high stability and low nutrient content. This study revealed that wood ash was more advantageous than pine biochar for improving soil quality and crop productivity. Full article
Show Figures

Figure 1

8 pages, 185 KB  
Opinion
Parenteral Nutrition Management from the Clinical Pharmacy Perspective: Insights and Recommendations from the Saudi Society of Clinical Pharmacy
by Nora Albanyan, Dana Altannir, Osama Tabbara, Abdullah M. Alrajhi, Ahmed Aldemerdash, Razan Orfali and Ahmed Aljedai
Pharmacy 2026, 14(1), 16; https://doi.org/10.3390/pharmacy14010016 - 26 Jan 2026
Viewed by 40
Abstract
Parenteral nutrition (PN) is essential for patients who are unable to tolerate oral or enteral feeding, providing them with necessary nutrients intravenously, including dextrose, amino acids, electrolytes, vitamins, trace elements, and lipid emulsions. Clinical pharmacists (CPs) play a critical role in PN management [...] Read more.
Parenteral nutrition (PN) is essential for patients who are unable to tolerate oral or enteral feeding, providing them with necessary nutrients intravenously, including dextrose, amino acids, electrolytes, vitamins, trace elements, and lipid emulsions. Clinical pharmacists (CPs) play a critical role in PN management by ensuring proper formulation, monitoring therapy, preventing complications, and optimizing patient outcomes. In Saudi Arabia, limited literature exists on CPs’ involvement in total parenteral nutrition (TPN) administration, health information management (HIM) systems, and pharmacist staffing ratios. This paper examines the evolving role of CPs in PN management, addressing key challenges such as the optimal patient-to-CP ratio, the impact of HIM systems on PN prescribing, and the advantages and limitations of centralized versus decentralized PN prescription models. It highlights the need for standardized staffing levels, structured pharmacist training, and improved HIM integration to enhance workflow efficiency and prescribing accuracy. Additionally, the study examines how the adoption of advanced HIM systems can streamline documentation, reduce prescribing errors, and enhance interdisciplinary collaboration. This paper provides a framework for optimizing PN delivery, enhancing healthcare quality, and strengthening CPs’ contributions to nutrition support by addressing these factors. Implementing these recommendations will improve patient outcomes and establish a more efficient PN management system in Saudi Arabia, reinforcing the vital role of CPs in multidisciplinary care. Full article
(This article belongs to the Section Pharmacy Practice and Practice-Based Research)
19 pages, 10270 KB  
Article
Functional Biofertilizer with Microbial and Enzyme Complex Improves Nutrients, Microbial Characteristics, and Crop Yield in Albic Soil of Heilongjiang Province, China
by Zhuoran Chen, Yue Wang, Xianying Zhang, Mingyi Zhao, Yuan Li, Shuqiang Wang, Lingli Wang, Yulan Zhang, Zhenhua Chen, Nan Jiang, Libin Tian, Yongjie Piao and Rui Jiang
Agronomy 2026, 16(3), 307; https://doi.org/10.3390/agronomy16030307 - 26 Jan 2026
Viewed by 72
Abstract
Soils with an albic horizon (characterized by a bleached, nutrient-poor eluvial layer), classified primarily as Albic Planosols and associated groups (e.g., Albic Luvisols and Retisols) in the World Reference Base for Soil Resources (WRB), are widespread in Northeast China and suffer from inherent [...] Read more.
Soils with an albic horizon (characterized by a bleached, nutrient-poor eluvial layer), classified primarily as Albic Planosols and associated groups (e.g., Albic Luvisols and Retisols) in the World Reference Base for Soil Resources (WRB), are widespread in Northeast China and suffer from inherent poor nutrient availability and low crop productivity. The present study aimed to evaluate the efficacy of novel microbial–enzyme composite biofertilizers in ameliorating Albic soils. This comprehensive assessment investigated their effects on soil nutrient availability, microbial community structure, and the activities of key enzymes involved in nutrient cycling (e.g., dehydrogenase and phosphatase). Concurrently, the impact on maize crop performance was determined by measuring changes in agronomic traits, including chlorophyll content, stem diameter, and final grain yield. A field experiment was conducted in Heilongjiang Province during the 2023 maize growing season using a randomized block design with six treatments: CF (conventional chemical fertilizer, 330 kg·ha−1 NPK), OF (chemical fertilizer + 1500 kg·ha−1 organic carrier), BF1 (OF + 75 kg·ha−1 marine actinomycetes), BF2 (OF + 75 kg·ha−1 actinomycetes + 45 kg·ha−1 phytase), BF3 (OF + 75 kg·ha−1 actinomycetes + 45 kg·ha−1 mycorrhizal fungi + 45 kg·ha−1 phytase), and BF4 (OF + 75 kg·ha−1 actinomycetes + 45 kg·ha−1 mycorrhizal fungi + 45 kg·ha−1 phytase + 45 kg·ha−1 β–glucosidase). The results showed that biofertilizers significantly increased microbial abundance and enzyme activity. The integrated treatment BF4 notably enhanced topsoil fungal abundance by 188.1% and dehydrogenase activity in the 0–20 cm layer, while also increasing available phosphorus by 92.6% at maturity. Although BF4 improved soil properties the most, BF3 produced the highest maize yield—boosting grain output by 18.3% over CF—and improved stem diameter and chlorophyll content. Strong correlations between microbial parameters and enzyme activities indicated a nutrient-cycling mechanism driven by microorganisms, with topsoil fungal abundance positively linked to alkaline phosphatase activity (r = 0.72) and subsoil bacterial abundance associated with available phosphorus (r = 0.65), demonstrating microbial–mediated carbon–phosphorus coupling. In conclusion, microbial–enzyme biofertilizers, particularly BF4, provide a sustainable strategy for enhancing Albic soil fertility and crop productivity. Full article
(This article belongs to the Special Issue Conventional and Alternative Fertilization of Crops)
Show Figures

Figure 1

13 pages, 1314 KB  
Article
Comparative Evaluation of Plant-Derived Protein Hydrolysates as Biostimulants for Enhancing Growth and Mitigating Fe-Deficiency Stress in Tomato
by Eleonora Coppa, Francesco Caddeu, Mariateresa Cardarelli, Giuseppe Colla and Stefania Astolfi
Agronomy 2026, 16(3), 304; https://doi.org/10.3390/agronomy16030304 - 25 Jan 2026
Viewed by 96
Abstract
Sustainable agriculture increasingly relies on biostimulants like protein hydrolysates (PHs) to enhance crop resilience. This study characterized and compared three plant-derived PHs (PH1, PH2, and PH3) from the Malvaceae, Brassicaceae, and Fabaceae families, respectively, under optimal (40 µM Fe3+-EDTA) [...] Read more.
Sustainable agriculture increasingly relies on biostimulants like protein hydrolysates (PHs) to enhance crop resilience. This study characterized and compared three plant-derived PHs (PH1, PH2, and PH3) from the Malvaceae, Brassicaceae, and Fabaceae families, respectively, under optimal (40 µM Fe3+-EDTA) and iron (Fe)-deficient (4 µM Fe3+-EDTA) conditions. Initial assays demonstrated that the PHs possessed significant antioxidant capacity and influenced biological activity: PH2 and PH3 promoted pollen germination, while PH1 exhibited a weaker stimulatory effect. In vivo experiments on tomato plants revealed that PH application effectively modulated root architecture and biomass accumulation. Moreover, PH2 and PH3 significantly mitigated Fe deficiency’s impact, by maintaining biomass and preventing chlorosis. Interestingly, while Fe deficiency typically triggers massive root Fe3+-chelate reductase activity, PH treatments, particularly PH2, significantly down-regulated this response. This suggests that PHs may improve internal Fe use efficiency or facilitate alternative uptake pathways. Overall, these findings establish a link between the intrinsic bioactive properties of PHs and their biostimulant action, highlighting their potential as innovative tools for improving nutrient use efficiency and crop resilience in sustainable farming systems. Full article
(This article belongs to the Special Issue Plant Nutrient Dynamics: From Soil to Harvest and Beyond)
16 pages, 723 KB  
Article
Impact of Soil Nutrients on Chemical Composition and Antioxidant Activities of Dysphania ambrosioides Essential Oil in Southern Ecuador
by Susana Blacio, Katty Gadvay, Karen Rivas, Ana Guaman, Julio Parrales and James Calva
Plants 2026, 15(3), 373; https://doi.org/10.3390/plants15030373 - 25 Jan 2026
Viewed by 91
Abstract
Dysphania ambrosioides is a widely distributed species with a traditional use in folk medicine, but it exhibits marked chemical variability that limits its standardization. This study is the first to characterize the essential oil (EO) of three Ecuadorian populations—Arenillas (ARE), Pasaje (PAS) and [...] Read more.
Dysphania ambrosioides is a widely distributed species with a traditional use in folk medicine, but it exhibits marked chemical variability that limits its standardization. This study is the first to characterize the essential oil (EO) of three Ecuadorian populations—Arenillas (ARE), Pasaje (PAS) and Piñas (PIN)—using gas chromatography–mass spectrometry/flame ionization detection (GC-MS/FID), and to correlate its composition with edaphic properties and antioxidant activity. Chemical profiles revealed three distinct chemotypes: ARE (α-terpinene 65.35%, o-cymene 24.83% and ascaridole 3.30%), PAS (α-terpinene 56.31%, o-cymene 10.09% and ascaridole 10.84%) and PIN (α-terpinene 56.89%, o-cymene 17.07% and ascaridole 7.60%). The EO yield was low (0.030–0.064% w/w), coinciding with acidic and nutrient-poor soils. On the other hand, PAS, with its neutral soil and high nitrogen, produced the highest number of oxygenated compounds. Only PAS exhibited strong ABTS radical-scavenging activity (SC50 = 37.99 ± 1.01 µg/mL). In contrast, ARE showed weak activity (SC50 = 424 ± 1.01 µg/mL), while PIN showed moderate activity (SC50 = 112.26 ± 1.01 µg/mL), which was correlated with its high total phenol content (298.48 mg EAG/L). The 2,2-diphenyl-1-picrylhydrazyl (DPPH) activity was low in all samples. Principal component analysis (PCA) confirmed clear separation of the chemotypes, which was linked to edaphic factors such as pH, heavy metals (Cu, Fe and Mn) and organic matter. These findings suggest that edaphic conditions may modulate the chemical composition and antioxidant activity of D. ambrosioides, indicating a potential approach for the sustainable selection of plant material. Full article
Show Figures

Figure 1

16 pages, 1317 KB  
Article
Iron Deficiency Inhibits the Proliferation of Intestinal Stem Cells and Induces Their Differentiation to Enterocytes
by Yecheng Xu, Jing Zhao, Shouchuan Jiang, Yu Han, Yi Zheng, Xi Qiao, Xin Wen, Yuanyuan Zhang, Yunqin Li, Jingxia Kong and Huahua Du
Nutrients 2026, 18(3), 392; https://doi.org/10.3390/nu18030392 - 24 Jan 2026
Viewed by 126
Abstract
Objectives: Iron deficiency impairs intestinal mucosal structure and function, yet its impact on intestinal stem cells (ISCs) remains unclear. This study was therefore designed to examine how iron deficiency affects the proliferation and differentiation of ISCs. Methods: Iron-deficient mouse and enteroid models were [...] Read more.
Objectives: Iron deficiency impairs intestinal mucosal structure and function, yet its impact on intestinal stem cells (ISCs) remains unclear. This study was therefore designed to examine how iron deficiency affects the proliferation and differentiation of ISCs. Methods: Iron-deficient mouse and enteroid models were established. Expression of key cell markers was analyzed using Western blot, qPCR, and immunofluorescence. Results: Iron deficiency led to structural impairment of the intestinal mucosa, characterized by decreased small intestinal villus height. In iron-deficient mice, expression of ChrA (enteroendocrine cell marker), Lyz (Paneth cell marker), and Muc2 (goblet cell marker) was significantly downregulated across duodenum, jejunum and ileum, whereas Vil1 (enterocyte marker) expression increased. Moreover, both Lgr5 (an ISC marker) expression and the number of Ki67-positive proliferating cells were significantly reduced, along with a decrease in Ki67 transcriptional levels under iron-deficient conditions. Similarly, deferoxamine (DFO)-treated enteroids showed fewer Lgr5-positive ISCs, downregulation of Lgr5, Lyz and Muc2, and upregulation of Vil1. RNA-seq further confirmed that iron deficiency skews ISC differentiation toward absorptive lineage. This shift was associated with modulation of the Notch signaling pathway: upregulation of the ligand Dll1, receptors Notch2 and Notch3, and the protease ADAM10, alongside downregulation of the negative regulator Atoh1. These findings indicate that Notch pathway activation promotes enterocyte differentiation under iron deprivation. Conclusions: Iron deficiency suppressed the proliferation of ISCs and induced their differentiation toward enterocytes, which is associated with the modulation of the Notch signaling pathway, providing a mechanistic insights for impaired intestinal repair and the potential for nutrient-targeted therapies. Full article
(This article belongs to the Special Issue Iron Supplements and Intestinal Health)
21 pages, 5185 KB  
Article
Short-Term Effects of Biochar on Soil Fluxes of Methane, Carbon Dioxide, and Water Vapour in a Tea Agroforestry System
by Md Abdul Halim, Md Rezaul Karim, Nigel V. Gale and Sean C. Thomas
Soil Syst. 2026, 10(2), 21; https://doi.org/10.3390/soilsystems10020021 - 24 Jan 2026
Viewed by 92
Abstract
Tea (Camellia sinensis) cultivation is a major global industry that faces sustainability challenges due to soil degradation and greenhouse gas (GHG) emissions from intensive management. Biochar—charcoal designed and used as a soil amendment—has emerged as a potential tool to improve soil [...] Read more.
Tea (Camellia sinensis) cultivation is a major global industry that faces sustainability challenges due to soil degradation and greenhouse gas (GHG) emissions from intensive management. Biochar—charcoal designed and used as a soil amendment—has emerged as a potential tool to improve soil health, enhance carbon sequestration, and mitigate GHG fluxes in agroecosystems. However, field-scale evidence of its effects on GHG dynamics in woody crops like tea remains limited, particularly regarding methane (CH4). Here, we present, to our knowledge, the first field assessment of biochar impacts on CO2, CH4, and H2O vapour fluxes in a subtropical tea agroforestry system with and without shade trees in northeastern Bangladesh. Using a closed dynamic chamber and real-time gas analysis, we found that biochar application (at 7.5 t·ha−1) significantly enhanced average soil methane (CH4) uptake by 84%, while soil respiration (CO2 efflux) rose modestly (+18%) and water-vapour fluxes showed a marginal increase. Canopy conditions modulated these effects: biochar strongly enhanced CH4 uptake under both shaded and open canopies, whereas biochar effects on water-vapour flux were detectable only when biochar was combined with a shade-tree canopy. Structural equation modelling suggests that CH4 flux was primarily governed by biochar-induced changes in soil pH, moisture, nutrient status, and temperature, while CO2 and H2O fluxes were shaped by organic matter availability, temperature, and phosphorus dynamics. These findings demonstrate that biochar can promote CH4 uptake and alter soil carbon–water interactions during the dry season in tea plantation systems and support operational biochar use in combination with shade-tree agroforestry. Full article
Show Figures

Figure 1

51 pages, 1843 KB  
Systematic Review
Remote Sensing of Woody Plant Encroachment: A Global Systematic Review of Drivers, Ecological Impacts, Methods, and Emerging Innovations
by Abdullah Toqeer, Andrew Hall, Ana Horta and Skye Wassens
Remote Sens. 2026, 18(3), 390; https://doi.org/10.3390/rs18030390 - 23 Jan 2026
Viewed by 158
Abstract
Globally, grasslands, savannas, and wetlands are degrading rapidly and increasingly being replaced by woody vegetation. Woody Plant Encroachment (WPE) disrupts natural landscapes and has significant consequences for biodiversity, ecosystem functioning, and key ecosystem services. This review synthesizes findings from 159 peer-reviewed studies identified [...] Read more.
Globally, grasslands, savannas, and wetlands are degrading rapidly and increasingly being replaced by woody vegetation. Woody Plant Encroachment (WPE) disrupts natural landscapes and has significant consequences for biodiversity, ecosystem functioning, and key ecosystem services. This review synthesizes findings from 159 peer-reviewed studies identified through a PRISMA-guided systematic literature review to evaluate the drivers of WPE, its ecological impacts, and the remote sensing (RS) approaches used to monitor it. The drivers of WPE are multifaceted, involving interactions among climate variability, topographic and edaphic conditions, hydrological change, land use transitions, and altered fire and grazing regimes, while its impacts are similarly diverse, influencing land cover structure, water and nutrient cycles, carbon and nitrogen dynamics, and broader implications for ecosystem resilience. Over the past two decades, RS has become central to WPE monitoring, with studies employing classification techniques, spectral mixture analysis, object-based image analysis, change detection, thresholding, landscape pattern and fragmentation metrics, and increasingly, machine learning and deep learning methods. Looking forward, emerging advances such as multi-sensor fusion (optical– synthetic aperture radar (SAR), Light Detection and Ranging (LiDAR)–hyperspectral), cloud-based platforms including Google Earth Engine, Microsoft Planetary Computer, and Digital Earth, and geospatial foundation models offer new opportunities for scalable, automated, and long-term monitoring. Despite these innovations, challenges remain in detecting early-stage encroachment, subcanopy woody growth, and species-specific patterns across heterogeneous landscapes. Key knowledge gaps highlighted in this review include the need for long-term monitoring frameworks, improved socio-ecological integration, species- and ecosystem-specific RS approaches, better utilization of SAR, and broader adoption of analysis-ready data and open-source platforms. Addressing these gaps will enable more effective, context-specific strategies to monitor, manage, and mitigate WPE in rapidly changing environments. Full article
42 pages, 2570 KB  
Systematic Review
Next-Generation Bioinputs: A Systematic Review of Biosurfactants in Sustainable Agriculture and Research Frontiers with Bacterial Cellulose
by Maria da Gloria Conceição da Silva, Anderson Oliveira de Medeiros, Bruno Augusto Cabral Roque, Maryana Rogéria dos Santos, Káren Gercyane Oliveira Bezerra, Fabíola Carolina Gomes de Almeida and Leonie Asfora Sarubbo
Processes 2026, 14(3), 398; https://doi.org/10.3390/pr14030398 - 23 Jan 2026
Viewed by 293
Abstract
This systematic review article provides a comprehensive and critical analysis of the use of bioinputs in sustainable agriculture, focusing on biosurfactants and absorbent polymers, particularly bacterial cellulose. The article contextualises the growing challenges in agricultural production due to population growth, climate change, and [...] Read more.
This systematic review article provides a comprehensive and critical analysis of the use of bioinputs in sustainable agriculture, focusing on biosurfactants and absorbent polymers, particularly bacterial cellulose. The article contextualises the growing challenges in agricultural production due to population growth, climate change, and environmental limitations, highlighting the need for alternatives to traditional synthetic inputs that exert negative environmental impacts. The article details functions, types, and benefits, emphasising the ability of bioinputs to improve soil fertility, increase the efficiency of nutrient use, enhance plant resistance to biotic and abiotic stress, and reduce the ecological footprint of agriculture. Emerging biotechnologies are discussed, such as the combined use of biosurfactants with natural polymers to ensure sustainability and efficiency. This article offers an updated description of recent scientific and technological evidence and addresses the potential and limitations of these biological inputs in the global context of modern agriculture. Full article
Show Figures

Figure 1

12 pages, 893 KB  
Proceeding Paper
Real-Time Pollutant Forecasting Using Edge–AI Fusion in Wastewater Treatment Facilities
by Siva Shankar Ramasamy, Vijayalakshmi Subramanian, Leelambika Varadarajan and Alwin Joseph
Eng. Proc. 2025, 117(1), 31; https://doi.org/10.3390/engproc2025117031 - 22 Jan 2026
Viewed by 96
Abstract
Wastewater treatment is one of the major challenges in the reuse of water as a natural resource. Cleaning of water depends on analyzing and treating the water for the pollutants that have a significant impact on the quality of the water. Detecting and [...] Read more.
Wastewater treatment is one of the major challenges in the reuse of water as a natural resource. Cleaning of water depends on analyzing and treating the water for the pollutants that have a significant impact on the quality of the water. Detecting and analyzing the surges of these pollutants well before the recycling process is needed to make intelligent decisions for water cleaning. The dynamic changes in pollutants need constant monitoring and effective planning with appropriate treatment strategies. We propose an edge-computing-based smart framework that captures data from sensors, including ultraviolet, electrochemical, and microfluidic, along with other significant sensor streams. The edge devices send the data from the cluster of sensors to a centralized server that segments anomalies, analyzes the data and suggests the treatment plan that is required, which includes aeration, dosing adjustments, and other treatment plans. A logic layer is designed at the server level to process the real-time data from the sensor clusters and identify the discharge of nutrients, metals, and emerging contaminants in the water that affect the quality. The platform can make decisions on water treatments using its monitoring, prediction, diagnosis, and mitigation measures in a feedback loop. A rule-based Large Language Model (LLM) agent is attached to the server to evaluate data and trigger required actions. A streamlined data pipeline is used to harmonize sensor intervals, flag calibration drift, and store curated features in a local time-series database to run ad hoc analyses even during critical conditions. A user dashboard has also been designed as part of the system to show the recommendations and actions taken. The proposed system acts as an AI-enabled system that makes smart decisions on water treatment, providing an effective cleaning process to improve sustainability. Full article
Show Figures

Figure 1

15 pages, 1216 KB  
Review
Anti-Chlamydia trachomatis Host Defence Arsenal Within the Cervicovaginal Environment
by Simone Filardo, Giulia Chicarella, Rosa Sessa and Marisa Di Pietro
Int. J. Mol. Sci. 2026, 27(2), 1115; https://doi.org/10.3390/ijms27021115 - 22 Jan 2026
Viewed by 23
Abstract
Chlamydia trachomatis has a significant impact on public health, especially among adolescents and young women; it primarily affects urogenital epithelial cells, leading to cervicitis and urethritis, with >90% of cases showing no symptoms. Consequently, chlamydial infections are commonly misdiagnosed, and, if untreated, they [...] Read more.
Chlamydia trachomatis has a significant impact on public health, especially among adolescents and young women; it primarily affects urogenital epithelial cells, leading to cervicitis and urethritis, with >90% of cases showing no symptoms. Consequently, chlamydial infections are commonly misdiagnosed, and, if untreated, they may result in severe reproductive sequelae including infertility. A better understanding of C. trachomatis cell biology and bacterial–host cell interactions may be helpful to identify strategies able to counter its transmission among the population, as well as its dissemination in reproductive tissues, reducing the risk of developing severe reproductive sequelae. Therefore, the present review aims to summarize the evidence on the interplay between C. trachomatis and the host defence factors within the cervicovaginal environment. The sophisticated strategies employed by this clinically significant pathogen to counteract these mechanisms are also discussed. In the literature, the main defence factors include the microbiota dominated by Lactobacillus crispatus and several molecules like lactoferrin, able to protect the cervicovaginal microenvironment against C. trachomatis through several mechanisms (e.g., EB coaggregation and competitive exclusion, as well as anti-inflammatory activity). However, the major player in clearing chlamydial infections remains the interferon-gamma (IFN-γ) produced by natural killer and T cells, via the depletion of critical nutrients for C. trachomatis such as tryptophan, or via the ubiquitylation and destruction of chlamydial inclusions. Full article
(This article belongs to the Special Issue Chlamydia trachomatis Pathogenicity and Disease (Third Edition))
Show Figures

Figure 1

Back to TopTop