Functional Biofertilizer with Microbial and Enzyme Complex Improves Nutrients, Microbial Characteristics, and Crop Yield in Albic Soil of Heilongjiang Province, China
Abstract
1. Introduction
2. Materials and Methods
2.1. Description of the Study Area and Experimental Site Preparation
2.2. Experimental Design and Field Management
2.3. Soil and Plant Sampling
2.4. Analytical Methods
2.4.1. Microbial Community Analysis (DNA Extraction, Sequencing, and qPCR)
2.4.2. Enzyme Activity Assays
2.4.3. Physicochemical Properties
2.4.4. Measurement of Maize Growth Traits and Yield
- Plant height was measured from the base of the stem to the tip of the top leaf using a measuring ruler.
- Stem diameter was determined at the midpoint of the second fully developed internode above the ground using a Vernier caliper (Mitutoyo, Kawasaki, Japan).
- Leaf chlorophyll content was measured using a portable chlorophyll meter (SPAD–502, Konica Minolta, Tokyo, Japan) on the third fully expanded leaf from the top. Three readings were taken per leaf and averaged.
- Dry matter weight was obtained with fresh and dry weight, i.e., maize seedlings were washed with clean water, surface moisture was removed, and fresh weight was recorded; samples were oven-dried at 105 °C for 30 min (enzyme deactivation), then dried at 65 °C for approximately 24 h until a constant weight was achieved.
- Maize grain yield was determined at harvest from 6.5 m2 subplots in triplicate, and the actual standardized grain yields were calculated based on a moisture content of 14%.
2.5. Statistical Analysis
3. Results
3.1. Impact of Biofertilizer Application on Soil Physicochemical Properties in Albic Soil
3.2. Impact of Compound Biofertilizer Application on Soil Microbial Activity, Abundance, and Soil Enzyme Activities
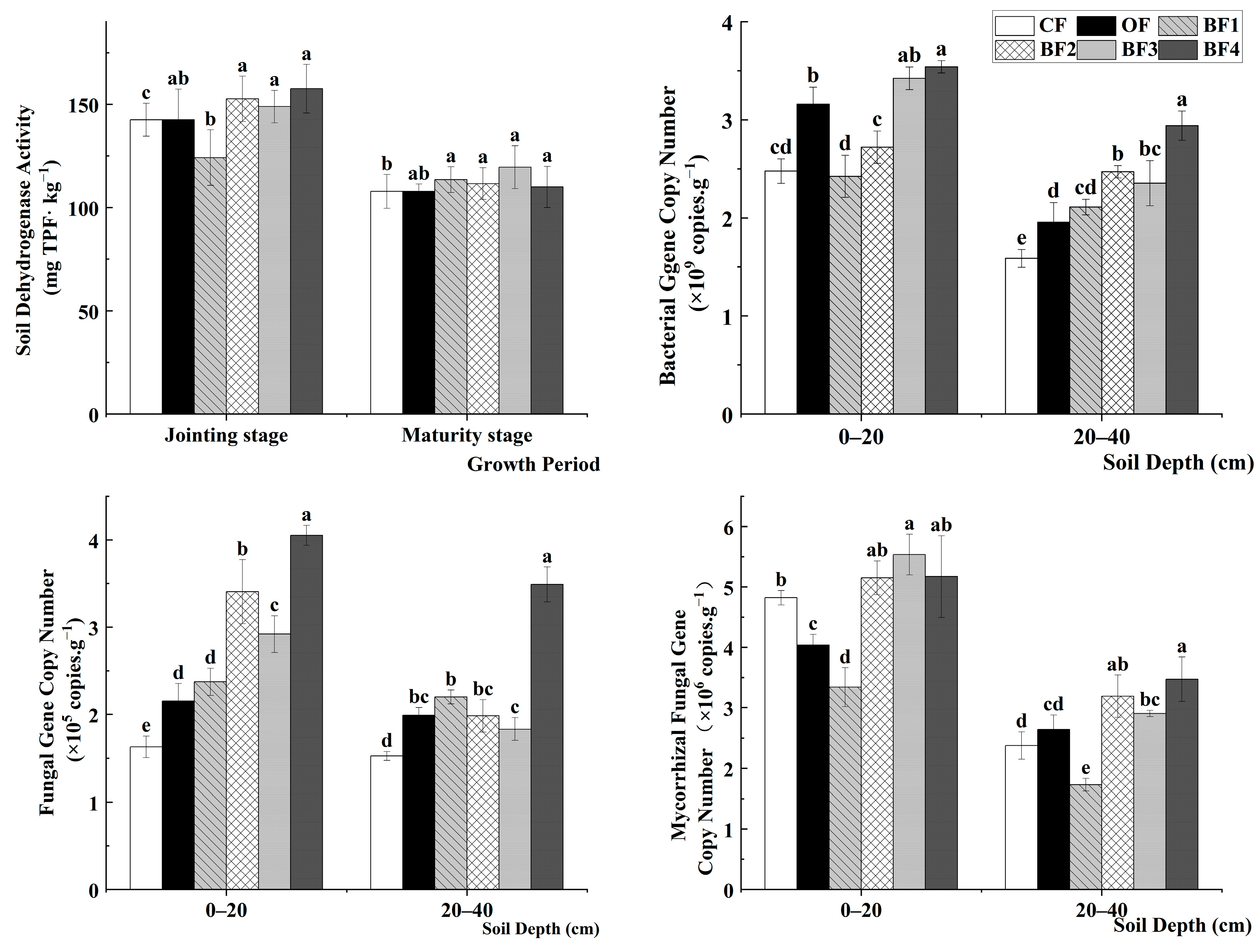
3.2.1. Impact of Compound Biofertilizers on Soil Microbial Activity and Abundance
3.2.2. Effects of Compound Biofertilizers on Soil Microbial Activity and Abundance
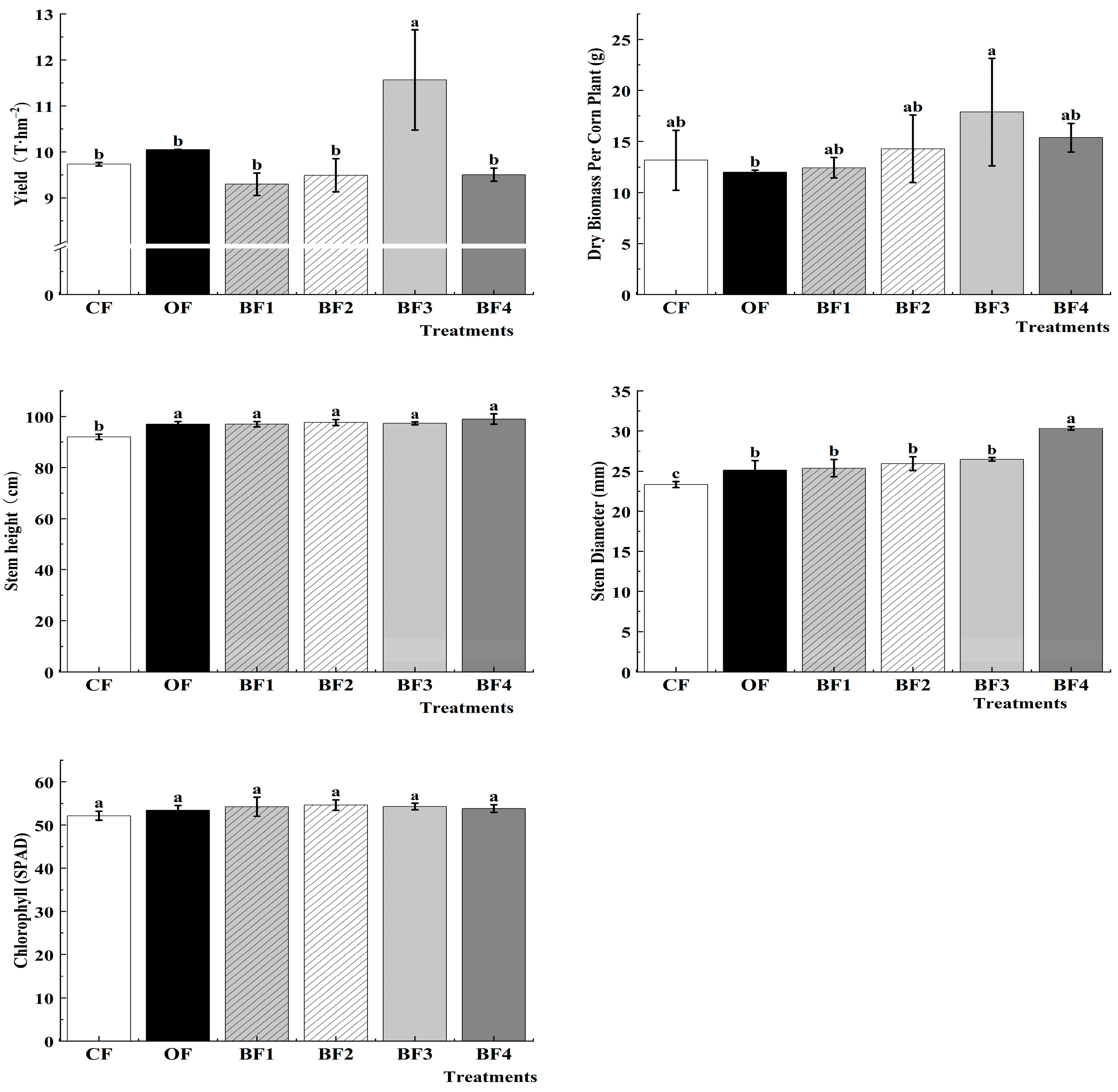
3.3. Effects of Compound Biofertilizer on Maize Growth and Yield
4. Discussion
5. Conclusions
- (1)
- The BF4 treatment most effectively improved soil nutrient availability and biological activity, leading to remarkable increases in available phosphorus, fungal abundance, and soil organic carbon at the maize maturity stage.
- (2)
- The BF3 formulation (containing marine actinomycetes, Bacillus, and phytase) achieved the highest maize grain yield, significantly outperforming conventional chemical fertilizer.
- (3)
- The synergistic interactions within the microbial–enzyme consortium were decisive for enhancing nutrient cycling efficiency and crop performance, extending beyond the benefits provided by the organic carrier alone.
Author Contributions
Funding
Data Availability Statement
Conflicts of Interest
References
- IUSS Working Group WRB. World Reference Base for Soil Resources 2014, Update 2015; International Soil Classification System for Naming Soils and Creating Legends for Soil Maps, World Soil Resources Reports No. 106; FAO: Rome, Italy, 2015. [Google Scholar]
- Liu, Z.J.; Zhou, W.; Shen, J.B.; Li, S.T.; He, P.; Liang, G.Q. Soil quality assessment of Albic soils with different productivities for eastern China. Soil Tillage Res. 2014, 140, 74–81. [Google Scholar] [CrossRef]
- Wang, X.J. The characteristic and influence factors of extinction depth of shallow groundwater on the high-latitude region: A case study on the Sanjiang Plain, northeast China. Environ. Sci. Pollut. Res. 2018, 25, 6695–6706. [Google Scholar] [CrossRef]
- Meng, Q.Y.; Zou, H.T.; Zhang, C.F.; Zhu, B.G.; Wang, N.N.; Yang, X.H.; Gai, Z.J.; Han, Y.Y. Soil mixing with organic matter amendment improves albic soil physicochemical properties and crop yield in Heilongjiang province, China. PLoS ONE 2020, 15, e0239788. [Google Scholar] [CrossRef]
- Xiu, L.Q.; Zhang, W.M.; Sun, Y.Y.; Wu, D.; Meng, J.; Chen, W.F. Effects of biochar and straw returning on the key cultivation limitations of albic soil and soybean growth over 2 years. Catena 2019, 173, 481–493. [Google Scholar] [CrossRef]
- Pan, X.; Yu, H.J.; Zhang, B.; Guan, Y.Q.; Zhang, N.; Du, H.L.; Liu, F.M.; Yu, J.; Wang, Q.J.; Liu, J. Effects of organic fertilizer replacement on the microbial community structure in the rhizosphere soil of soybeans in albic soil. Sci. Rep. 2025, 15, 12271. [Google Scholar] [CrossRef] [PubMed]
- Schneider, F.; Don, A.; Hennings, I.; Schmittmann, O.; Seidel, S.J. The effect of deep tillage on crop yield—What do we really know? Soil Tillage Res. 2017, 174, 193–204. [Google Scholar] [CrossRef]
- Yin, D.; Li, H.; Wang, H.; Guo, X.; Wang, Z.; Lv, Y.; Ding, G.; Jin, L.; Lan, Y. Impact of different biochars on microbial community structure in the rhizospheric soil of rice grown in albic soil. Molecules 2021, 26, 4783. [Google Scholar] [CrossRef]
- Irfan, M.F.; Mirara, F. Biochar application in improving soil health and sustainability. Bull. Biol. Allied Sci. Res. 2024, 9, 81. [Google Scholar] [CrossRef]
- Bekchanova, M.; Campion, L.; Bruns, S.; Kapp, G.; Lehmann, L.; Klerkx, L.; Mottaleb, K.A.; Yadav, S.; Sander, B.O.; de Vries, J.R. Biochar improves the nutrient cycle in sandy-textured soils and increases crop yield: A systematic review. Environ. Evid. 2024, 13, 3. [Google Scholar] [CrossRef]
- Xiu, L.Q.; Zhang, W.M.; Wu, D.; Sun, Y.Y.; Zhang, H.G.; Gu, W.Q.; Meng, J.; Chen, W.F. Heat storage capacity and temporal-spatial response in the soil temperature of albic soil amended with maize-derived biochar for 2 years. Soil Tillage Res. 2021, 205, 104762. [Google Scholar] [CrossRef]
- Rashid, M.I.; Mujawar, L.H.; Shahzad, T.; Almeelbi, T.; Ismail, I.M. Bacteria and fungi can contribute to nutrients bioavailability and aggregate formation in degraded soils. Microbiol. Res. 2016, 183, 26–41. [Google Scholar] [CrossRef]
- Du, T.Y.; He, H.Y.; Zhang, L.L.; Mao, W.J.; Zhai, M.Z. Positive effects of organic fertilizers and bio-fertilizers on soil microbial community composition and walnut yield. Appl. Soil Ecol. 2022, 175, 104457. [Google Scholar] [CrossRef]
- Chen, A.; Wang, Q.; Zhang, H.; Liang, Y.; Qi, Z.; Zhou, W.; Li, J.; Tu, H. Changes in tillage characteristics of albic soil with various soil amendment materials. Soil Use Manag. 2024, 40, e13152. [Google Scholar] [CrossRef]
- Wang, J.; Zhao, Y.; Ruan, Y. Effects of bio-organic fertilizers produced by four Bacillus amyloliquefaciens inoculants on banana Fusarium wilt disease. Compost Sci. Util. 2015, 23, 185–198. [Google Scholar] [CrossRef]
- Mendes, R.; Kruijt, M.; de Bruijn, I.; Dekkers, E.; van der Voort, M.; Schneider, J.H.M.; Piceno, Y.M.; DeSantis, T.Z.; Andersen, G.L.; Bakker, P.A.H.M.; et al. Deciphering the rhizosphere microbiome for disease-suppressive bacteria. Science 2011, 332, 1097–1100. [Google Scholar] [CrossRef]
- Li, J.; Wang, J.; Liu, H.; Macdonald, C.A.; Singh, B.K. Application of microbial inoculants significantly enhances crop productivity: A meta-analysis of studies from 2010 to 2020. J. Sustain. Agric. Environ. 2022, 1, 216–225. [Google Scholar] [CrossRef]
- Herrmann, L.; Lesueur, D. Challenges of formulation and quality of biofertilizers for successful inoculation. Appl. Microbiol. Biotechnol. 2013, 97, 8859–8873. [Google Scholar] [CrossRef]
- Ye, L.; Zhao, X.; Bao, E.; Li, J.; Zou, Z.; Cao, K. Bio-organic fertilizer with reduced rates of chemical fertilization improves soil fertility and enhances tomato yield and quality. Sci. Rep. 2020, 10, 177. [Google Scholar] [CrossRef]
- Guggenberger, G.; Elliott, E.T.; Frey, S.D.; Six, J.; Paustian, K. Microbial contributions to the aggregation of a cultivated grassland soil amended with starch. Soil Biol. Biochem. 1999, 31, 407–419. [Google Scholar] [CrossRef]
- Singh, S.K.; Pachauri, R.K.; Khatoon, H.; Katiyar, D.; Agnihotri, G. The role of biofertilizers in enhancing soil and productivity—A review. Int. J. Plant Soil Sci. 2025, 37, 141–161. [Google Scholar] [CrossRef]
- Classen, A.T.; Sundqvist, M.K.; Henning, J.A.; Newman, G.S.; Moore, J.A.M.; Cregger, M.A.; Moorhead, L.C. Direct and indirect effects of climate change on soil microbial and soil microbial-plant interactions: What lies ahead? Ecosphere 2015, 6, 1–21. [Google Scholar] [CrossRef]
- Dick, R.P.; Breakwell, D.P.; Turco, R.F. Soil enzyme activities as indicators of soil quality. In Defining Soil Quality for a Sustainable Environment; SSSA Special Publication 35; Doran, J.W., Coleman, D.C., Bezdicek, D.F., Stewart, B.A., Eds.; Soil Science Society of America: Madison, WI, USA, 1994; pp. 107–124. [Google Scholar] [CrossRef]
- Lin, N.; Jiang, R.Z.; Liu, Q.; Guo, X.D.; Yang, H.; Chen, S. Spatiotemporal characteristics and driving factors of surface evapotranspiration in Sanjiang Plain in recent 20 years. Geol. China 2021, 48, 1392–1407. (In Chinese) [Google Scholar] [CrossRef]
- Liu, D.; Chen, W.F.; Li, L.N. Disentangling the relative effects of climate change and anthropogenic activities on paddy expansion in the northern Sanjiang Plain of China. Ecol. Indic. 2023, 154, 110543. [Google Scholar] [CrossRef]
- Gao, R.; Yan, J.; Han, X.; Chen, X.; Zou, W.; Lu, X.; Xu, M.; Yang, S.; Jiang, R.; Piao, Y. Effects of returning organic materials to field on physical properties of albic soil and maize yield. Soils Crops 2024, 13, 305–313. (In Chinese) [Google Scholar] [CrossRef]
- Lu, R.K. Analytical Methods of Soil Agrochemistry; China Agricultural Science and Technology Press: Beijing, China, 2000. [Google Scholar]
- Zhang, L.; Xu, M.; Liu, Y.; Zhang, F.; Hodge, A.; Feng, G. Carbon and phosphorus exchange may enable cooperation between an arbuscular mycorrhizal fungus and a phosphate-solubilizing bacterium. New Phytol. 2016, 210, 1022–1032. [Google Scholar] [CrossRef]
- George, T.S.; Richardson, A.E.; Simpson, R.J. Behaviour of plant-derived extracellular phytase upon addition to soil. Soil Biol. Biochem. 2005, 37, 977–988. [Google Scholar] [CrossRef]
- Giles, C.D.; Cade-Menun, B.J.; Hill, J.E. The inositol phosphates in soils and manures: Abundance, cycling, and measurement. Can. J. Soil Sci. 2011, 91, 397–416. [Google Scholar] [CrossRef]
- Fierer, N.; Schimel, J.P.; Holden, P.A. Variations in microbial community composition through two soil depth profiles. Soil Biol. Biochem. 2003, 35, 167–176. [Google Scholar] [CrossRef]
- Nannipieri, P.; Trasar-Cepeda, C.; Dick, R.P. Soil enzyme activity: A brief history and biochemistry as a basis for appropriate interpretations and meta-analysis. Biol. Fertil. Soils 2018, 54, 11–19. [Google Scholar] [CrossRef]
- Beier, S.; Bertilsson, S. Bacterial chitin degradation-mechanisms and ecophysiological strategies. Front. Microbiol. 2013, 4, 149. [Google Scholar] [CrossRef] [PubMed]
- Geisseler, D.; Horwath, W.R. Relationship between carbon and nitrogen availability and extracellular enzyme activities in soil. Pedobiologia 2009, 53, 87–98. [Google Scholar] [CrossRef]
- Subramani, R.; Sipkema, D. Marine rare actinomycetes: A promising source of structurally diverse and unique novel natural products. Mar. Drugs 2019, 17, 249. [Google Scholar] [CrossRef]
- Gopalakrishnan, S.; Srinivas, V.; Sree Vidya, M.; Rathore, A. Plant growth-promoting activities of Streptomyces spp. in sorghum and rice. SpringerPlus 2013, 2, 574. [Google Scholar] [CrossRef] [PubMed]
- Hu, J.; Xue, D.; Wang, S. Obstacles of soybean continuous cropping, III. Mechanism of soybean yield increment by marine actinomyces MB-97. Chin. J. Appl. Ecol. 2002, 13, 1095–1098. (In Chinese) [Google Scholar]
- Jorquera, M.A.; Hernández, M.T.; Rengel, Z.; Marschner, P.; de la Luz Mora, M. Isolation of culturable phosphobacteria with both phytate-mineralization and phosphate-solubilization activity from the rhizosphere of plants grown in a volcanic soil. Biol. Fertil. Soils 2008, 44, 1025–1034. [Google Scholar] [CrossRef]
- Adetunji, A.T.; Lewu, F.B.; Mulidzi, R.; Ncube, B. The biological activities of β-glucosidase, phosphatase and urease as soil quality indicators: A review. J. Soil Sci. Plant Nutr. 2017, 17, 794–807. [Google Scholar] [CrossRef]
- Chen, L.; Li, X.; Peng, Y.; Xiang, P.; Zhou, Y.; Yao, B.; Zhou, Y.; Sun, C.J.C. Co-application of biochar and organic fertilizer promotes the yield and quality of red pitaya (Hylocereus polyrhizus) by improving soil properties. Chemosphere 2022, 294, 133619. [Google Scholar] [CrossRef] [PubMed]
- Kemmitt, S.J.; Wright, D.; Goulding, K.W.T.; Jones, D.L. pH regulation of carbon and nitrogen dynamics in two agricultural soils. Soil Biol. Biochem. 2006, 38, 898–911. [Google Scholar] [CrossRef]
- Hartmann, M.; Frey, B.; Mayer, J.; Mäder, P.; Widmer, F. Distinct soil microbial diversity under long-term organic and conventional farming. ISME J. 2015, 9, 1177–1194. [Google Scholar] [CrossRef]
- Jansson, J.K.; Hofmockel, K.S. Soil microbiomes and climate change. Nat. Rev. Microbiol. 2018, 18, 35–46. [Google Scholar] [CrossRef] [PubMed]





| Treatments | Key Variable | Amendments Application Rate (kg·ha−1) |
|---|---|---|
| CF | Chemical fertilizer | Conventional compound fertilizer, containing NPK 330 kg·ha−1 |
| OF | Organic materials carrier | Conventional fertilizer containing 330 NPK kg·ha−1 + biofertilizer carrier 1500 kg·ha−1 |
| BF1 | Single microbial inoculant biofertilizer | Conventional fertilizer containing 330 NPK kg·ha−1 + marine actinomycetes 75 kg·ha−1 with carrier 1500 kg·ha−1 |
| BF2 | Single microbial inoculant, one enzyme | Conventional fertilizer containing 330 NPK kg·ha−1 + biofertilizer (marine actinomycetes 75 kg·ha−1 + phytase 45 kg·ha−1) with carrier 1500 kg·ha−1 |
| BF3 | Dual microbial inoculant, single enzyme | Conventional fertilizer containing 330 NPK kg·ha−1 + biofertilizer (actinomycetes 75 kg·ha−1 + AMF 45 kg·ha−1 + phytase 45 kg·ha−1) with carrier 1500 kg·ha−1 |
| BF4 | Dual microbial inoculant, dual enzyme | Conventional fertilizer containing NPK 330 kg·ha−1 + biofertilizer (marine actinomycetes 75 kg·ha−1+ AMF 45 kg·ha−1 + phytase 45 kg·ha−1 + glucosidase 45 kg·ha−1) with carrier 1500 kg·ha−1 |
Disclaimer/Publisher’s Note: The statements, opinions and data contained in all publications are solely those of the individual author(s) and contributor(s) and not of MDPI and/or the editor(s). MDPI and/or the editor(s) disclaim responsibility for any injury to people or property resulting from any ideas, methods, instructions or products referred to in the content. |
© 2026 by the authors. Licensee MDPI, Basel, Switzerland. This article is an open access article distributed under the terms and conditions of the Creative Commons Attribution (CC BY) license.
Share and Cite
Chen, Z.; Wang, Y.; Zhang, X.; Zhao, M.; Li, Y.; Wang, S.; Wang, L.; Zhang, Y.; Chen, Z.; Jiang, N.; et al. Functional Biofertilizer with Microbial and Enzyme Complex Improves Nutrients, Microbial Characteristics, and Crop Yield in Albic Soil of Heilongjiang Province, China. Agronomy 2026, 16, 307. https://doi.org/10.3390/agronomy16030307
Chen Z, Wang Y, Zhang X, Zhao M, Li Y, Wang S, Wang L, Zhang Y, Chen Z, Jiang N, et al. Functional Biofertilizer with Microbial and Enzyme Complex Improves Nutrients, Microbial Characteristics, and Crop Yield in Albic Soil of Heilongjiang Province, China. Agronomy. 2026; 16(3):307. https://doi.org/10.3390/agronomy16030307
Chicago/Turabian StyleChen, Zhuoran, Yue Wang, Xianying Zhang, Mingyi Zhao, Yuan Li, Shuqiang Wang, Lingli Wang, Yulan Zhang, Zhenhua Chen, Nan Jiang, and et al. 2026. "Functional Biofertilizer with Microbial and Enzyme Complex Improves Nutrients, Microbial Characteristics, and Crop Yield in Albic Soil of Heilongjiang Province, China" Agronomy 16, no. 3: 307. https://doi.org/10.3390/agronomy16030307
APA StyleChen, Z., Wang, Y., Zhang, X., Zhao, M., Li, Y., Wang, S., Wang, L., Zhang, Y., Chen, Z., Jiang, N., Tian, L., Piao, Y., & Jiang, R. (2026). Functional Biofertilizer with Microbial and Enzyme Complex Improves Nutrients, Microbial Characteristics, and Crop Yield in Albic Soil of Heilongjiang Province, China. Agronomy, 16(3), 307. https://doi.org/10.3390/agronomy16030307

