Sign in to use this feature.

Years

Between: -

Subjects

remove_circle_outline
remove_circle_outline
remove_circle_outline
remove_circle_outline
remove_circle_outline
remove_circle_outline
remove_circle_outline
remove_circle_outline
remove_circle_outline

Journals

Article Types

Countries / Regions

Search Results (122)

Search Parameters:
Keywords = normed linear space

Order results
Result details
Results per page
Select all
Export citation of selected articles as:
30 pages, 3002 KB  
Article
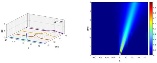
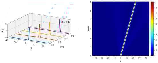
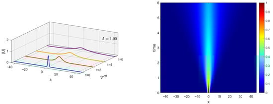
An Efficient Time-Space Two-Grid Compact Difference Method for the Nonlinear Schrödinger Equation: Analysis and Simulation
by Chelimuge Bai, Siriguleng He and Eerdun Buhe
Axioms 2026, 15(4), 275; https://doi.org/10.3390/axioms15040275 - 9 Apr 2026
Viewed by 118
Abstract
This article proposes a novel time-space two-grid high-order compact difference scheme for the one-dimensional nonlinear Schrödinger equation subject to Dirichlet boundary conditions. In comparison with the fully nonlinear compact difference scheme, the proposed methodology combines a small-scale nonlinear fourth-order compact difference algorithm on [...] Read more.
This article proposes a novel time-space two-grid high-order compact difference scheme for the one-dimensional nonlinear Schrödinger equation subject to Dirichlet boundary conditions. In comparison with the fully nonlinear compact difference scheme, the proposed methodology combines a small-scale nonlinear fourth-order compact difference algorithm on a time-space coarse grid and a large-scale linearized correction compact difference algorithm on a fine grid. In contrast to the time two-grid compact difference method, the proposed scheme applies the two-grid technique in both the spatial and temporal domains, thereby further improving computational efficiency. Solutions from the coarse grid are projected onto the fine grid via a temporally linear and spatially cubic Lagrange interpolation operator. Unconditional stability and optimal convergence rates, which are fourth-order in space and second-order in time, are proven in both the discrete L2 and L norms, without any constraints on the grid ratio. In addition to the standard techniques of the energy method, a discrete Sobolev inequality and an a priori error estimate are employed to demonstrate stability and high-order convergence. Finally, the theoretical results are validated through numerical experiments, which confirm the robustness and reliability of the proposed approach. A single-soliton experiment demonstrates that, compared with the fully nonlinear compact difference scheme, the proposed method achieves a significant reduction in CPU time while maintaining a comparable level of accuracy. Additional experiments further illustrate the algorithm’s effectiveness in simulating two-soliton interactions and soliton birth. These findings establish the proposed scheme as a highly efficient alternative to conventional nonlinear approaches. Full article
(This article belongs to the Section Mathematical Analysis)
Show Figures

Figure 1

23 pages, 1395 KB  
Article
A Mask-Guided Multigranular Mamba Network for Remote Sensing Change Captioning
by Yifan Qu and Huaidong Zhang
Remote Sens. 2026, 18(7), 1048; https://doi.org/10.3390/rs18071048 - 31 Mar 2026
Viewed by 377
Abstract
Remote sensing image change captioning (RSICC) aims to generate semantic textual descriptions characterizing changes between bi-temporal remote sensing images, with wide applications in disaster assessment and urban planning. However, existing methods face specific drawbacks: CNN-based models have limited ability to capture long-range spatial [...] Read more.
Remote sensing image change captioning (RSICC) aims to generate semantic textual descriptions characterizing changes between bi-temporal remote sensing images, with wide applications in disaster assessment and urban planning. However, existing methods face specific drawbacks: CNN-based models have limited ability to capture long-range spatial correlations due to local receptive fields, and Transformer-based models suffer from quadratic complexity while distributing attention uniformly across all spatial positions, resulting in weak perception of salient changes in background-dominated scenes. In this paper, we present PM3Net (Progressive Mask-guided Multigranular Mamba Network), which leverages Mamba state space models with linear complexity for efficient spatiotemporal change modeling. The Progressive Mask-guided Encoder (PME) creates dual-source change masks combining L2 norm spatial differences with cosine distance semantic differences for progressive change feature extraction from detailed structures to high-level semantics. The Mask-guided Feature Enhancement (MFE) module applies mask-weighted refinement and cross-layer fusion to emphasize salient change regions while suppressing background interference, producing multigranular visual representations. Experiments on LEVIR-MCI and WHU-CDC datasets show PM3Net achieves superior results compared to existing methods, with BLEU-4 scores of 66.89 and 73.05, respectively. The results confirm PM3Net’s ability to solve the RSICC task while demonstrating how Mamba models can succeed in this specific field. Full article
Show Figures

Figure 1

18 pages, 362 KB  
Article
Geodesic Dynamics for Constrained State-Space Models on Riemannian Manifolds
by Tianyu Wang, Xinghua Xu, Shaohua Qiu and Changchong Sheng
Mathematics 2026, 14(6), 1037; https://doi.org/10.3390/math14061037 - 19 Mar 2026
Viewed by 251
Abstract
We present a geodesic dynamics framework for discrete-time state evolution on the unit sphere SN1 that maintains exact unit-norm constraints through Riemannian exponential mapping. Given an input sequence and an initial state, the method constructs trajectories by projecting inputs to [...] Read more.
We present a geodesic dynamics framework for discrete-time state evolution on the unit sphere SN1 that maintains exact unit-norm constraints through Riemannian exponential mapping. Given an input sequence and an initial state, the method constructs trajectories by projecting inputs to tangent spaces and updating states along geodesics, incorporating temporal memory via approximate parallel transport of velocity directions. Unlike traditional approaches requiring post hoc normalization of linear updates, the geodesic formulation preserves xt=1 to machine precision while eliminating explicit N×N transition matrices in favor of D×N input embeddings when the intrinsic input dimension D is much smaller than the ambient dimension N. The update corresponds to a first-order exponential integrator on the sphere. We establish local Lipschitz continuity of the exponential map on positively curved manifolds with careful treatment of basepoint dependence, derive perturbation bounds showing linear-to-exponential growth transitions via Grönwall-type estimates, and we prove third-order asymptotic equivalence with normalized linear systems under appropriate scaling. Numerical experiments on synthetic data validate exact norm preservation over extended time horizons, confirm theoretical perturbation growth predictions, and demonstrate the effectiveness of the temporal memory mechanism in reducing long-horizon prediction errors. The framework provides a principled geometric approach for applications requiring exact directional or compositional constraints. Full article
17 pages, 459 KB  
Article
A Linear Fully Discrete Spectral Scheme for the Time Fractional Allen–Cahn Equation
by Xiaoli Li, Wenping Chen, Qingqiong Li, Lihua Jiang and Tianyi Liu
Mathematics 2026, 14(6), 1006; https://doi.org/10.3390/math14061006 - 16 Mar 2026
Viewed by 238
Abstract
This paper considers the numerical approximation of the time fractional Allen–Cahn equation with initial and periodic boundary conditions, and a linear fully discrete scheme is constructed with the finite difference method in time and the Fourier spectral method in space. Based on a [...] Read more.
This paper considers the numerical approximation of the time fractional Allen–Cahn equation with initial and periodic boundary conditions, and a linear fully discrete scheme is constructed with the finite difference method in time and the Fourier spectral method in space. Based on a temporal–spatial error splitting argument, the boundedness of numerical solutions in the L norm is rigorously proved and the unconditional convergence of the proposed scheme is obtained. Numerical examples illustrate the theoretical results. Full article
Show Figures

Figure 1

16 pages, 320 KB  
Article
Fixed Points of Enriched Mappings with General Real Constants
by Konrawut Khammahawong, Natthaya Boonyam, Sani Salisu and Premyuda Dechboon
Mathematics 2026, 14(6), 937; https://doi.org/10.3390/math14060937 - 10 Mar 2026
Viewed by 328
Abstract
Building upon classical fixed point theory, the concept of enriched contractions introduces a new class of mappings. For a normed linear space (X,·), a mapping T:XX is called an enriched contraction if [...] Read more.
Building upon classical fixed point theory, the concept of enriched contractions introduces a new class of mappings. For a normed linear space (X,·), a mapping T:XX is called an enriched contraction if there exist b[0,) and θ[0,b+1) such that b(xy)+TxTyθxy,x,yX. This class of mappings includes both the well-known Picard–Banach contraction and certain nonexpansive mappings. In this paper, we extend the definition by allowing bR\{1} instead of b[0,). This extension enables the condition to cover both contraction and certain nonexpansive mappings. We establish results on the existence and uniqueness of fixed points and present the Krasnosel’skii iteration for approximating such points. An example is provided to demonstrate mapping that meets the extended condition but not the original. Full article
(This article belongs to the Section C: Mathematical Analysis)
Show Figures

Figure 1

21 pages, 394 KB  
Article
Geometric Properties of Infinite Direct Sums
by Paweł Kolwicz
Mathematics 2026, 14(5), 906; https://doi.org/10.3390/math14050906 - 7 Mar 2026
Viewed by 332
Abstract
We show exactly when the topology of convergence in measure in Banach ideal spaces is linear (equivalently, coarser than the norm topology). Next, we present the relationship between the Kadets–Klee and suitable monotonicity properties with respect to global convergence in measure. Applying these [...] Read more.
We show exactly when the topology of convergence in measure in Banach ideal spaces is linear (equivalently, coarser than the norm topology). Next, we present the relationship between the Kadets–Klee and suitable monotonicity properties with respect to global convergence in measure. Applying these results, we characterize the Kadets–Klee property with respect to the global convergence in measure in infinite direct sums. We also prove the criteria of some related monotonicity properties in infinite direct sums. Furthermore, we solve the fundamental lifting (inheritance) problem completely for all these properties. We finish the paper with concrete examples showing how our general results can be applied. Full article
(This article belongs to the Special Issue New Advances in Complex Analysis and Functional Analysis)
23 pages, 1245 KB  
Article
Theory and Computation of Fixed Points for Generalized Enriched Multi-Valued Contractions
by Yahya Almalki, Muhammad Usman Ali, Monairah Alansari and Salvatore Sessa
Fractal Fract. 2026, 10(2), 80; https://doi.org/10.3390/fractalfract10020080 - 24 Jan 2026
Viewed by 300
Abstract
This paper introduces the concepts of inward-β-enriched Reich multi-valued contractions and outward-β-enriched Reich multi-valued contractions in the context of normed linear spaces. We establish fixed point existence theorems for these generalized enriched contraction mappings under appropriate conditions and develop [...] Read more.
This paper introduces the concepts of inward-β-enriched Reich multi-valued contractions and outward-β-enriched Reich multi-valued contractions in the context of normed linear spaces. We establish fixed point existence theorems for these generalized enriched contraction mappings under appropriate conditions and develop algorithms to computationally approximate fixed points of these mappings. The presented theorems guarantee the convergence of these algorithms. Another important aspect of the article is that our proofs employ a technique that handles the non-standard nature of enriched contractions without transforming them into standard contractions via corresponding averaging mappings. The results extend and unify several existing fixed point theorems in the literature, including those for enriched contraction mappings, enriched Kannan mappings, and enriched multi-valued contractions. We provide illustrative examples to demonstrate the applicability of our main results and highlight their significance through comparative remarks. To emphasize the importance of the algorithms, several simulations are incorporated that provide the approximate fixed points of non-trivial examples. Moreover, we also approximate the solution of Erdélyi–Kober-type fractional integral inclusion. Full article
Show Figures

Figure 1

15 pages, 28011 KB  
Article
Computational Study of Singularly Perturbed Neurodynamical Models via Cubic B-Spline
by Alina Yousafzai, Tanveer Akbar, Khidir Shaib Mohamed, Alawia Adam, Mona A. Mohamed, Waseem Ahmad Khan and Azhar Iqbal
Axioms 2026, 15(1), 12; https://doi.org/10.3390/axioms15010012 - 25 Dec 2025
Viewed by 382
Abstract
This work focuses on solving the singularly perturbed generalized Hodgkin-Huxley (HH) problem. The HH equation is numerically solved by a collocation approach using third-degree splines. The forward difference technique is utilized for time discretization, while θ-weighted schemes are employed for space discretization. [...] Read more.
This work focuses on solving the singularly perturbed generalized Hodgkin-Huxley (HH) problem. The HH equation is numerically solved by a collocation approach using third-degree splines. The forward difference technique is utilized for time discretization, while θ-weighted schemes are employed for space discretization. Solving non-linear models using discretization and quasi-linearization results in a set of linear algebraic equations, which are solved using matrices. Furthermore, Von Neumann’s (VN) stability and Spectral Radius (S.R) reveal that the suggested technique is unconditionally stable. To assess the performance and accuracy of this method, absolute error (AE), L2, and L norms are offered. The results align with the literature. Simulation results show that the proposed strategy produces accurate results. Full article
(This article belongs to the Section Mathematical Analysis)
Show Figures

Figure 1

46 pages, 17580 KB  
Article
Joint Hyperspectral Images and LiDAR Data Classification Combined with Quantum-Inspired Entangled Mamba
by Davaajargal Myagmarsuren, Aili Wang, Haoran Lv, Haibin Wu, Gabor Molnar and Liang Yu
Remote Sens. 2025, 17(24), 4065; https://doi.org/10.3390/rs17244065 - 18 Dec 2025
Viewed by 851
Abstract
The multimodal fusion of hyperspectral images (HSI) and LiDAR data for land cover classification encounters difficulties in modeling heterogeneous data characteristics and cross-modal dependencies, leading to the loss of complementary information due to concatenation, the inadequacy of fixed fusion weights to adapt to [...] Read more.
The multimodal fusion of hyperspectral images (HSI) and LiDAR data for land cover classification encounters difficulties in modeling heterogeneous data characteristics and cross-modal dependencies, leading to the loss of complementary information due to concatenation, the inadequacy of fixed fusion weights to adapt to spatially varying reliability, and the assumptions of linear separability for nonlinearly coupled patterns. We propose QIE-Mamba, integrating selective state-space models with quantum-inspired processing to enhance multimodal representation learning. The framework employs ConvNeXt encoders for hierarchical feature extraction, quantum superposition layers for complex-valued multimodal encoding with learned amplitude–phase relationships, unitary entanglement networks via skew-symmetric matrix parameterization (validated through Cayley transform and matrix exponential methods), quantum-enhanced Mamba blocks with adaptive decoherence, and confidence-weighted measurement for classification. Systematic three-phase sequential validation on Houston2013, Muufl, and Augsburg datasets achieves overall accuracies of 99.62%, 96.31%, and 96.30%. Theoretical validation confirms 35.87% mutual information improvement over classical fusion (6.9966 vs. 5.1493 bits), with ablation studies demonstrating quantum superposition contributes 82% of total performance gains. Phase information accounts for 99.6% of quantum state entropy, while gradient convergence analysis confirms training stability (zero mean/std gradient norms). The optimization framework reduces hyperparameter search complexity by 99.6% while maintaining state-of-the-art performance. These results establish quantum-inspired state-space models as effective architectures for multimodal remote sensing fusion, providing reproducible methodology for hyperspectral–LiDAR classification with linear computational complexity. Full article
(This article belongs to the Section AI Remote Sensing)
Show Figures

Graphical abstract

27 pages, 2727 KB  
Article
The Module Gradient Descent Algorithm via L2 Regularization for Wavelet Neural Networks
by Khidir Shaib Mohamed, Ibrahim. M. A. Suliman, Abdalilah Alhalangy, Alawia Adam, Muntasir Suhail, Habeeb Ibrahim, Mona A. Mohamed, Sofian A. A. Saad and Yousif Shoaib Mohammed
Axioms 2025, 14(12), 899; https://doi.org/10.3390/axioms14120899 - 4 Dec 2025
Viewed by 939
Abstract
Although wavelet neural networks (WNNs) combine the expressive capability of neural models with multiscale localization, there are currently few theoretical guarantees for their training. We investigate the weight decay (L2 regularization) optimization dynamics of gradient descent (GD) for WNNs. Using explicit [...] Read more.
Although wavelet neural networks (WNNs) combine the expressive capability of neural models with multiscale localization, there are currently few theoretical guarantees for their training. We investigate the weight decay (L2 regularization) optimization dynamics of gradient descent (GD) for WNNs. Using explicit rates controlled by the spectrum of the regularized Gram matrix, we first demonstrate global linear convergence to the unique ridge solution for the feature regime when wavelet atoms are fixed and only the linear head is trained. Second, for fully trainable WNNs, we demonstrate linear rates in regions satisfying a Polyak–Łojasiewicz (PL) inequality and establish convergence of GD to stationary locations under standard smoothness and boundedness of wavelet parameters; weight decay enlarges these regions by suppressing flat directions. Third, we characterize the implicit bias in the over-parameterized neural tangent kernel (NTK) regime: GD converges to the minimum reproducing kernel Hilbert space (RKHS) norm interpolant associated with the WNN kernel with L2. In addition to an assessment process on synthetic regression, denoising, and ablations across λ and stepsize, we supplement the theory with useful recommendations on initialization, stepsize schedules, and regularization scales. Together, our findings give a principled prescription for dependable training that has broad applicability to signal processing applications and shed light on when and why L2-regularized GD is stable and quick for WNNs. Full article
Show Figures

Figure 1

18 pages, 290 KB  
Article
Upper Bounds for the Numerical Radius of Off-Diagonal 2 × 2 Operator Matrices
by Najla Altwaijry and Silvestru Sever Dragomir
Mathematics 2025, 13(21), 3459; https://doi.org/10.3390/math13213459 - 30 Oct 2025
Viewed by 551
Abstract
We establish multiple novel upper estimates for the numerical radius associated with off-diagonal operator matrices defined on a complex Hilbert space H. The operators considered have a specific structure, with zero diagonal entries and anti-diagonal entries given by a bounded linear operator [...] Read more.
We establish multiple novel upper estimates for the numerical radius associated with off-diagonal operator matrices defined on a complex Hilbert space H. The operators considered have a specific structure, with zero diagonal entries and anti-diagonal entries given by a bounded linear operator C and the adjoint of another, D. The primary contribution is a set of inequalities that connect the square of the numerical radius to expressions involving the norms of these constituent operators. As applications, we specialize our main results to obtain refined inequalities for two significant cases: when D is the adjoint of C, where C and D represent the real and imaginary components of one operator T. Full article
23 pages, 309 KB  
Article
On Symmetric Aspects of Operator Pair Inequalities in Hilbert Spaces via Pečarić’s Theorem with Applications
by Najla Altwaijry and Silvestru Sever Dragomir
Symmetry 2025, 17(10), 1765; https://doi.org/10.3390/sym17101765 - 20 Oct 2025
Viewed by 407
Abstract
In this paper, we establish several new operator inequalities for generalizations of the joint numerical radius and joint operator norm for pairs of operators in complex Hilbert spaces, as well as for the classical numerical radius of a single operator. One of our [...] Read more.
In this paper, we establish several new operator inequalities for generalizations of the joint numerical radius and joint operator norm for pairs of operators in complex Hilbert spaces, as well as for the classical numerical radius of a single operator. One of our main tools is the well-known Pečarić’s Theorem. As applications, we derive a series of power inequalities for the operator norm and for the generalized numerical radius, which refine and generalize a number of existing results in the literature. Our approach considers two key symmetric pairings: the Cartesian decomposition (R(U),I(U)) and the operator-adjoint pair (U,U). Full article
(This article belongs to the Section Mathematics)
35 pages, 4072 KB  
Article
Visual Mamba-Inspired Directionally Gated State-Space Backtracking for Chemical Gas Source Localization
by Jooyoung Park, Daehong Min, Sungjin Cho, Donghee Kang and Hyunwoo Nam
Appl. Sci. 2025, 15(20), 10900; https://doi.org/10.3390/app152010900 - 10 Oct 2025
Viewed by 1210
Abstract
Rapidly pinpointing the origin of accidental chemical gas releases is essential for effective response. Prior vision pipelines—such as 3D CNNs, CNN–LSTMs, and Transformer-based ViViT models—can improve accuracy but often scale poorly as the temporal window grows or winds meander. We cast recursive backtracking [...] Read more.
Rapidly pinpointing the origin of accidental chemical gas releases is essential for effective response. Prior vision pipelines—such as 3D CNNs, CNN–LSTMs, and Transformer-based ViViT models—can improve accuracy but often scale poorly as the temporal window grows or winds meander. We cast recursive backtracking of concentration fields as a finite-horizon, multi-step spatiotemporal sequence modelling problem and introduce Recursive Backtracking with Visual Mamba (RBVM), a Visual Mamba-inspired, directionally gated state-space backbone. Each block applies causal, depthwise sweeps along H±, W±, and T± and then fuses them via a learned upwind gate; a lightweight MLP follows. Pre-norm LayerNorm and small LayerScale on both branches, together with a layer-indexed, depth-weighted DropPath, yield stable stacking at our chosen depth, while a 3D-Conv stem and head keep the model compact. Computation and parameter growth scale linearly with the sequence extent and the number of directions. Across a synthetic diffusion corpus and a held-out NBC_RAMS field set, RBVM consistently improves Exact and hit 1 over strong 3D CNN, CNN–LSTM, and ViViT baselines, while using fewer parameters. Finally, we show that, without retraining, a physics-motivated two-peak subtraction on the oldest reconstructed frame enables zero-shot dual-source localization. We believe RBVM provides a compact, linear-time, directionally causal backbone for inverse inference on transported fields—useful not only for gas–release source localization in CBRN response but more broadly for spatiotemporal backtracking tasks in environmental monitoring and urban analytics. Full article
Show Figures

Figure 1

25 pages, 2019 KB  
Article
Statistical Convergence for Grünwald–Letnikov Fractional Differences: Stability, Approximation, and Diagnostics in Fuzzy Normed Spaces
by Hasan Öğünmez and Muhammed Recai Türkmen
Axioms 2025, 14(10), 725; https://doi.org/10.3390/axioms14100725 - 25 Sep 2025
Cited by 2 | Viewed by 584
Abstract
We present a unified framework for fuzzy statistical convergence of Grünwald–Letnikov (GL) fractional differences in Bag–Samanta fuzzy normed linear spaces, addressing memory effects and nonlocality inherent to fractional-order models. Theoretically, we establish the uniqueness, linearity, and invariance of fuzzy statistical limits and prove [...] Read more.
We present a unified framework for fuzzy statistical convergence of Grünwald–Letnikov (GL) fractional differences in Bag–Samanta fuzzy normed linear spaces, addressing memory effects and nonlocality inherent to fractional-order models. Theoretically, we establish the uniqueness, linearity, and invariance of fuzzy statistical limits and prove a Cauchy characterization: fuzzy statistical convergence implies fuzzy statistical Cauchyness, while the converse holds in fuzzy-complete spaces (and in the completion, otherwise). We further develop an inclusion theory linking fuzzy strong Cesàro summability—including weighted means—to fuzzy statistical convergence. Via the discrete Q-operator, all statements transfer verbatim between nabla-left and delta-right GL forms, clarifying the binomial GL↔discrete Riemann–Liouville correspondence. Beyond structure, we propose density-based residual diagnostics for GL discretizations of fractional initial-value problems: when GL residuals are fuzzy statistically negligible, trajectories exhibit Ulam–Hyers-type robustness in the fuzzy topology. We also formulate a fuzzy Korovkin-type approximation principle under GL smoothing: Cesàro control on the test set {1,x,x2} propagates to arbitrary targets, yielding fuzzy statistical convergence for positive-operator sequences. Worked examples and an engineering-style case study (thermal balance with memory and bursty disturbances) illustrate how the diagnostics certify robustness of GL numerical schemes under sparse spikes and imprecise data. Full article
(This article belongs to the Special Issue Advances in Fractional-Order Difference and Differential Equations)
Show Figures

Figure 1

21 pages, 7638 KB  
Article
Quasi-Synchronization Control of Discrete-Time Leader–Follower Neural Networks with Parameter Uncertainties and Markovian Channel Fading
by Lanzhen Chen and Hongxia Rao
Appl. Sci. 2025, 15(19), 10365; https://doi.org/10.3390/app151910365 - 24 Sep 2025
Viewed by 550
Abstract
Leader–follower neural networks deployed over wireless platforms are subject to parameter uncertainties and stochastic channel fading. The combined impact of these effects on quasi-synchronization control remains largely unexplored. The paper addresses the problem of quasi-synchronization performance degradation in discrete-time leader–follower neural networks caused [...] Read more.
Leader–follower neural networks deployed over wireless platforms are subject to parameter uncertainties and stochastic channel fading. The combined impact of these effects on quasi-synchronization control remains largely unexplored. The paper addresses the problem of quasi-synchronization performance degradation in discrete-time leader–follower neural networks caused by randomly occurring parameter uncertainties and stochastic channel fading. Discrete leader–follower neural networks are constructed in state-space form. Randomly occurring parameter uncertainties in the leader neural networks are described using a Bernoulli probability distribution and time-varying parameter matrices. Channel fading is represented by a finite-state Markovian model that captures state switching. For the follower neural networks, an intermittent impulsive control strategy is designed based on linear matrix inequalities and the Lyapunov stability principle. A computable bound on the synchronization error is derived as well. A simulation study validates that the proposed impulsive control strategy effectively suppresses synchronization error caused by parameter uncertainties and Markovian channel fading, thereby ensuring mean-square boundedness. Compared with an existing method, the proposed approach consumes less control energy but achieves better performance in terms of synchronization error. The average norms of the synchronization error and the control input signal are reduced by 24.00% and 58.64%, respectively. Full article
(This article belongs to the Section Robotics and Automation)
Show Figures

Figure 1

Back to TopTop