Sign in to use this feature.

Years

Between: -

Subjects

remove_circle_outline
remove_circle_outline
remove_circle_outline
remove_circle_outline
remove_circle_outline
remove_circle_outline
remove_circle_outline
remove_circle_outline
remove_circle_outline

Journals

Article Types

Countries / Regions

Search Results (103)

Search Parameters:
Keywords = normal standing position

Order results
Result details
Results per page
Select all
Export citation of selected articles as:
13 pages, 712 KB  
Review
Liquid Biopsy Biomarkers for Cervical Cancer: A Systematic Review
by Jesús Alejandro Pineda-Migranas, Juan Carlos Bravata-Alcántara, Iliana Alejandra Cortés-Ortíz, Enoc Mariano Cortés-Malagón, María de los Ángeles Romero-Tlalolini, Mónica Sierra-Martínez and Gustavo Acosta-Altamirano
Int. J. Mol. Sci. 2025, 26(21), 10503; https://doi.org/10.3390/ijms262110503 - 29 Oct 2025
Viewed by 115
Abstract
Cervical cancer remains a significant public health priority, particularly in low- and middle-income countries. In this context, liquid biopsy has emerged as a minimally invasive method for detecting and monitoring molecular biomarkers, offering advantages over traditional screening approaches. This systematic review included 21 [...] Read more.
Cervical cancer remains a significant public health priority, particularly in low- and middle-income countries. In this context, liquid biopsy has emerged as a minimally invasive method for detecting and monitoring molecular biomarkers, offering advantages over traditional screening approaches. This systematic review included 21 studies published between 2015 and 2025 and was conducted in accordance with the PRISMA 2020 statement. The analysis examined the role of serum cytokines, circulating microRNAs (miRNAs), and circulating cell-free HPV DNA (cfHPV-DNA) in patients with cervical cancer or high-grade intraepithelial lesions. Circulating miRNAs—particularly miR-21, miR-29a, and miR-34a—are consistently associated with recurrence, tumor progression, and reduced survival. However, their immediate clinical translation remains limited by methodological variability and the lack of universal normalizers. In contrast, cfHPV-DNA, especially with ddPCR, exhibited the best study-level performance, with a specificity of 100% and a sensitivity of approximately 80–88%, across heterogeneous endpoints and analytic conditions. Consequently, cfHPV-DNA represents a promising tool for post-treatment surveillance and early detection of recurrence. Serum cytokines, such as TNF-α, IL-6, and IL-10, reflect inflammation and the tumor microenvironment. Nevertheless, their lack of standardization and variability across detection platforms restricts their reproducibility, positioning them as complementary rather than stand-alone markers. In conclusion, the evidence supports liquid biopsy as a promising tool in cervical cancer management; nonetheless, only cfHPV-DNA is currently ready for clinical application, whereas miRNAs and cytokines require multicenter validation and technical standardization before implementation. Full article
Show Figures

Figure 1

20 pages, 5736 KB  
Article
Evaluating and Predicting Wildfire Burn Severity Through Stand Structure and Seasonal NDVI: A Case Study of the March 2025 Uiseong Wildfire
by Taewoo Yi and JunSeok Lee
Fire 2025, 8(9), 363; https://doi.org/10.3390/fire8090363 - 11 Sep 2025
Viewed by 719
Abstract
This study examined the structural and ecological drivers of burn severity during the March 2025 wildfire in Uiseong County, Republic of Korea, with a focus on developing a predictive framework using the differenced Normalized Burn Ratio (dNBR). Seventeen candidate variables were evaluated, among [...] Read more.
This study examined the structural and ecological drivers of burn severity during the March 2025 wildfire in Uiseong County, Republic of Korea, with a focus on developing a predictive framework using the differenced Normalized Burn Ratio (dNBR). Seventeen candidate variables were evaluated, among which the forest type, stand age, tree height, diameter at breast height (DBH), and Normalized Difference Vegetation Index (NDVI) were consistently identified as the most influential predictors. Burn severity increased across all forest types up to the 4th–5th age classes before declining in older stands. Coniferous forests exhibited the highest severity at the 5th age class (mean dNBR = 0.3069), followed by mixed forests (0.2771) and broadleaf forests (0.2194). Structural factors reinforced this pattern, as coniferous and mixed forests recorded maximum severity within the 5–11 m height range, while broadleaf forests showed relatively stable severity across 3–21 m but declined thereafter. In the final prediction model, NDVI emerged as the dominant variable, integrating canopy density, vegetation vigor, and moisture conditions. Notably, NDVI exhibited a positive correlation with burn severity in coniferous stands during this early-spring event, diverging from the generally negative relationship reported in previous studies. This seasonal anomaly underscores the need to interpret NDVI flexibly in relation to the forest type, stand age, and phenological stage. Overall, the model results demonstrate that mid-aged stands with moderate heights and dense canopy cover are the most fire-prone, whereas older, taller stands show reduced susceptibility. By integrating NDVI with structural attributes, this modeling approach provides a scalable tool for the spatial prediction of wildfire severity and supports resilience-based forest management under climate change. Full article
Show Figures

Figure 1

12 pages, 815 KB  
Article
Do the Best National Padel Players Form the Best Teams? Analysing the 2024 World Championships
by Antonin Jamotte, Álvaro Bustamante-Sánchez, Jesús Ramón-Llin and Rafael Conde-Ripoll
Appl. Sci. 2025, 15(17), 9752; https://doi.org/10.3390/app15179752 - 5 Sep 2025
Viewed by 1173
Abstract
Selection to a national team is a prestigious milestone, and the World Padel Championships showcase elite talent on a global stage. This study explored the relationship between national team quality—measured via individual FIP (Federacioón Internacional de Paádel, International Padel Federation) rankings and points—and [...] Read more.
Selection to a national team is a prestigious milestone, and the World Padel Championships showcase elite talent on a global stage. This study explored the relationship between national team quality—measured via individual FIP (Federacioón Internacional de Paádel, International Padel Federation) rankings and points—and final team placements at the 2024 World Padel Championships in Qatar. Data from 16 men’s and 16 women’s teams included final standings, average and median FIP rankings, and total and average FIP points. Pearson correlation and ANOVA were applied to average FIP rankings; due to non-normality, Spearman correlation and Kruskal–Wallis tests were used for total FIP points. Results indicated that top-ranked teams, such as Argentina, Spain, and Italy, had more players above the competition-wide ranking threshold, whereas teams like Uruguay and the USA had none. Balanced ranking distributions were observed in male teams such as Belgium and The Netherlands and in female teams such as Portugal and Argentina. A moderate positive correlation emerged between average team rankings and final placements for men, and a strong correlation for women. Total FIP points showed a very strong negative correlation with final rankings for both genders. In conclusion, individual player quality, as indicated by rankings and points, strongly correlates with team performance in the 2024 World Padel Championships. Full article
(This article belongs to the Section Applied Biosciences and Bioengineering)
Show Figures

Figure 1

11 pages, 608 KB  
Case Report
Myopia in Beagles in a Family of 12 Individuals
by Juliana Giselbrecht and Barbara Nell
Animals 2025, 15(16), 2342; https://doi.org/10.3390/ani15162342 - 11 Aug 2025
Viewed by 615
Abstract
This case report investigated the cause of visual impairment at night in Beagle dogs in a family of 12 individuals. Four related adult male Beagles with impaired night vision and eight related Beagles (three females, five males) underwent a complete ophthalmological examination at [...] Read more.
This case report investigated the cause of visual impairment at night in Beagle dogs in a family of 12 individuals. Four related adult male Beagles with impaired night vision and eight related Beagles (three females, five males) underwent a complete ophthalmological examination at the ophthalmology service. Electroretinography was performed on four dogs with impaired night vision after dark adaptation to evaluate retinal function. Retinoscopy was performed in 12 dogs in a standing or sitting position to assess refraction. Axial globe measurements were conducted using B-scan ultrasonography in nine dogs. In total, twelve adult Beagles (nine males, three females) from four generations were evaluated, with nine dogs showing impaired night vision. Ophthalmic examinations revealed no abnormalities that could explain the visual impairment. Electroretinography showed normal retinal function. In total, 83.3% (10/12) of the dogs were myopic, with refractive errors ranging from −1.25 to −6.25 diopters (D). All dogs with night vision impairment were significantly more myopic (median: −4.88 D) than those without impairment (median: −1.25 D). In two myopic dogs, the insertion of contact lenses improved navigation in the dark maze test. Myopic dogs showed a significantly greater vitreous body depth (10.1 mm; range 9.7–10.3 mm) compared to emmetropic dogs (9.5 mm; range: 9.4–9.6 mm). These findings suggest that in dogs with night vision impairment, retinoscopy should be included in the ophthalmological exam to exclude myopia as a potential cause. Further research is needed to determine the cause of myopia in the tested Beagles and to investigate possible genetic factors. Full article
(This article belongs to the Section Veterinary Clinical Studies)
Show Figures

Figure 1

11 pages, 2312 KB  
Article
The Fundamentals of the NP-Gram Method for the Characterisation of Pyrolysis Oils Based on the Estimated Boiling Points of Pyrolysis Products from Polypropylene
by Mihai Brebu and Katsuhide Murata
Polymers 2025, 17(13), 1855; https://doi.org/10.3390/polym17131855 - 2 Jul 2025
Viewed by 413
Abstract
The pyrolysis of polymers is a thermal processing method largely used to convert polymeric waste into valuable products such as oils and carbonaceous residues. The NP-gram method (NP standing for normal paraffins) is useful for the global characterisation of pyrolysis oils with complex [...] Read more.
The pyrolysis of polymers is a thermal processing method largely used to convert polymeric waste into valuable products such as oils and carbonaceous residues. The NP-gram method (NP standing for normal paraffins) is useful for the global characterisation of pyrolysis oils with complex composition. Here, we present the fundamental of this method, which is based on the concept of “carbon number”, in conjunction with the boiling point and the chromatographic retention time of chemical compounds. Polypropylene was selected as the model polymer due to its simple mechanism of thermal degradation. The boiling points of the main compounds in polypropylene pyrolysis oil were estimated based on the equations of Egloff and Wiener. A good correspondence was obtained for the estimated boiling points and the position of the compounds in the gas chromatogram. A distinction was made between the number of carbon atoms in the molecule and the corresponding carbon number used in characterisation of pyrolysis oils by NP-gram. Correlation with the chromatographic retention index was also discussed. The application of the NP-gram method for different polymers was also presented. Full article
Show Figures

Graphical abstract

12 pages, 603 KB  
Article
Serratus Anterior and Latissimus Dorsi Muscle Activation in Hypopressive Exercises Performed in Open Versus Closed Kinetic Chain: A Cross-Sectional Study
by Esther Hernández Rovira, Diego A. Alonso-Aubin, Dolors Cañabate Ortiz, Carlota Torrents Martín and Tamara Rial Rebullido
Muscles 2025, 4(3), 20; https://doi.org/10.3390/muscles4030020 - 23 Jun 2025
Viewed by 3778
Abstract
This study aimed to describe and compare the serratus anterior (SA) and latissimus dorsi (LD) muscle activity during six hypopressive exercise (HE) positions performed in open and closed kinetic chains. While previous studies analyzed abdominal and pelvic muscle activity during HE, research on [...] Read more.
This study aimed to describe and compare the serratus anterior (SA) and latissimus dorsi (LD) muscle activity during six hypopressive exercise (HE) positions performed in open and closed kinetic chains. While previous studies analyzed abdominal and pelvic muscle activity during HE, research on scapular stabilizers like SA and LD remains underreported. Twenty-five healthy adults (mean age, 42.9 ± 8.4 years; BMI, 22.1 ± 2.4 kg/m2) with prior HE experience performed three open and three closed-chain HE positions. Surface electromyography recorded bilateral SA and LD activity, normalized to maximum voluntary isometric contraction (MVIC). SA showed greater activation than LD across all positions, with moderate activation levels (20–40% MVIC), while LD activation remained mild (<20% MVIC). Significant differences were found across positions and kinetic chain conditions. SA activation was higher during closed-chain standing (W = 41; p < 0.001; r = −0.74) and kneeling (W = 9; p < 0.001; r = −0.94), while LD activity increased significantly in the seated closed-chain position (left LD: W = 26; p < 0.001; r = −0.84; right LD: W = 20; p < 0.001; r = −0.87). These findings suggest body and kinetic chain positioning influence scapular muscle recruitment during HE. Further research is warranted to determine clinical applications. Full article
Show Figures

Figure 1

21 pages, 4424 KB  
Article
Non-Contact Fall Detection System Using 4D Imaging Radar for Elderly Safety Based on a CNN Model
by Sejong Ahn, Museong Choi, Jongjin Lee, Jinseok Kim and Sungtaek Chung
Sensors 2025, 25(11), 3452; https://doi.org/10.3390/s25113452 - 30 May 2025
Cited by 1 | Viewed by 2348
Abstract
Progressive global aging has increased the number of elderly individuals living alone. The consequent rise in fall accidents has worsened physical injuries, reduced the quality of life, and increased medical expenses. Existing wearable fall-detection devices may cause discomfort, and camera-based systems raise privacy [...] Read more.
Progressive global aging has increased the number of elderly individuals living alone. The consequent rise in fall accidents has worsened physical injuries, reduced the quality of life, and increased medical expenses. Existing wearable fall-detection devices may cause discomfort, and camera-based systems raise privacy concerns. Here, we propose a non-contact fall-detection system that integrates 4D imaging radar sensors with artificial intelligence (AI) technology to detect falls through real-time monitoring and visualization using a web-based dashboard and Unity engine-based avatar, along with immediate alerts. The system eliminates the need for uncomfortable wearable devices and mitigates the privacy issues associated with cameras. The radar sensors generate Point Cloud data (the spatial coordinates, velocity, Doppler power, and time), which allow analysis of the body position and movement. A CNN model classifies postures into standing, sitting, and lying, while changes in the speed and position distinguish falling actions from lying-down actions. The Point Cloud data were normalized and organized using zero padding and k-means clustering to improve the learning efficiency. The model achieved 98.66% accuracy in posture classification and 95% in fall detection. This study demonstrates the effectiveness of the proposed fall detection approach and suggests future directions in multi-sensor integration for indoor applications. Full article
(This article belongs to the Special Issue Advanced Sensors for Health Monitoring in Older Adults)
Show Figures

Figure 1

12 pages, 240 KB  
Article
Grip Strength as an Indicator of Health in Elderly Females
by Hyeok Park, Daeyeol Kim, Han-Seong Jeong and Sujeong Jang
Healthcare 2025, 13(10), 1127; https://doi.org/10.3390/healthcare13101127 - 12 May 2025
Viewed by 1076
Abstract
This study aimed to determine whether hand grip strength (HGS) could estimate the physical function of older women with or without obesity or sarcopenia in South Jeolla Province, South Korea. Methods: A total of 541 elderly women aged 60–95 years (mean age: 79.87 [...] Read more.
This study aimed to determine whether hand grip strength (HGS) could estimate the physical function of older women with or without obesity or sarcopenia in South Jeolla Province, South Korea. Methods: A total of 541 elderly women aged 60–95 years (mean age: 79.87 ± 6.64) participated in the study. Physical function was assessed using HGS, 10 m walk test, figure-of-8 walk test, and 30-s chair stand test. Among the participants, 400 (76.8%) were classified as obese, and 137 (26.3%) had sarcopenia. Results: Results showed that HGS was significantly lower in the sarcopenic group (16.58 ± 2.86 kg) than in the normal group (24.31 ± 3.33 kg, p < 0.001). HGS was negatively correlated with body fat (r = −0.146, p = 0.001) and positively correlated with physical performance. Additionally, exercise habits were significantly associated with reduced obesity risk (OR = 0.592, p = 0.027). This study was approved by the Institutional Review Board of Chonnam National University (IRB No. 1040198-220210-BR-009-03). The significance of hand grip strength was comparable to that of gait speed, walking capacity, coordination, and balance function. Conclusions: These findings suggest that grip strength can serve as a physical indicator of healthy condition and physical function with or without sarcopenia or obesity in older women. Full article
21 pages, 10971 KB  
Article
A Deep Learning Approach to Assist in Pottery Reconstruction from Its Sherds
by Matheus Ferreira Coelho Pinho, Guilherme Lucio Abelha Mota and Gilson Alexandre Ostwald Pedro da Costa
Heritage 2025, 8(5), 167; https://doi.org/10.3390/heritage8050167 - 8 May 2025
Viewed by 1380
Abstract
Pottery is one of the most common and abundant types of human remains found in archaeological contexts. The analysis of archaeological pottery involves the reconstruction of pottery vessels from their sherds, which represents a laborious and repetitive task. In this work, we investigate [...] Read more.
Pottery is one of the most common and abundant types of human remains found in archaeological contexts. The analysis of archaeological pottery involves the reconstruction of pottery vessels from their sherds, which represents a laborious and repetitive task. In this work, we investigate a deep learning-based approach to make that process more efficient, accurate, and fast. In that regard, given a sherd’s digital point cloud in a standard, so-called canonical position, the proposed method predicts the geometric transformation, which moves the sherd to its expected normalized position relative to the vessel’s coordinate system. Among the main components of the proposed method, a pair of deep 1D convolutional neural networks trained to predict the 3D Euclidean transformation parameters stands out. Herein, rotation and translation components are treated as independent problems, so while the first network is dedicated to predicting translation moments, the other infers the rotation parameters. In practical applications, once a vessel’s shape is identified, the networks can be trained to predict the target transformation parameter values. Thus, given a 3D model of a complete vessel, it may be virtually broken down countless times for the production of sufficient data to meet deep neural network training demands. In addition to overcoming the scarcity of real sherd data, given a virtual sherd in its original position, that procedure provides paired canonical and normalized point clouds, as well as the target Euclidean transformation. The herein proposed 1D convolutional neural network architecture, the so-called PotNet, was inspired by the PointNet architecture. While PointNet was motivated by 3D point cloud classification and segmentation applications, PotNet was designed to perform non-linear regressions. The method is able to provide an initial estimate for the correct position of a sherd, reducing the complexity of the problem of fitting candidate pairs of sherds, which could be then carried out by a classical adjustment method like ICP, for instance. Experiments using three distinct real vessels were carried out, and the reported results suggest that the proposed method can be successfully used for aiding pottery reconstruction. Full article
Show Figures

Figure 1

37 pages, 30390 KB  
Article
Photometric Stereo Techniques for the 3D Reconstruction of Paintings and Drawings Through the Measurement of Custom-Built Repro Stands
by Marco Gaiani, Elisa Angeletti and Simone Garagnani
Heritage 2025, 8(4), 129; https://doi.org/10.3390/heritage8040129 - 3 Apr 2025
Viewed by 2506
Abstract
In the digital 3D reconstruction of the shapes and surface reflectance of ancient paintings and drawings using Photometric Stereo (PS) techniques, normal integration is a key step. However, difficulties in locating light sources, non-Lambertian surfaces, and shadows make the results of this step [...] Read more.
In the digital 3D reconstruction of the shapes and surface reflectance of ancient paintings and drawings using Photometric Stereo (PS) techniques, normal integration is a key step. However, difficulties in locating light sources, non-Lambertian surfaces, and shadows make the results of this step inaccurate for such artworks. This paper presents a solution for PS to overcome this problem based on some enhancement of the normal integration process and the accurate measurement of Points of Interest (PoIs). The mutual positions of the LED lights, the camera sensor, and the acquisition plane in two custom-designed stands, are measured in laboratory as a system calibration of the 3D acquisition workflow. After an introduction to the requirements and critical issues arising from the practical application of PS techniques to artworks, and a description of the newly developed PS solution, the measurement process is explained in detail. Finally, results are presented showing how the normal maps and 3D meshes generated using the measured PoIs’ positions, and further minimized using image processing techniques, which significantly limits outliers and improves the visual fidelity of digitized artworks. Full article
Show Figures

Figure 1

7 pages, 370 KB  
Case Report
Influence of Robotic Neurorehabilitation in Cerebral Palsy on Motor Function and Gait
by Hristina Colovic, Dejan Nikolic, Dragan Zlatanovic, Vesna Zivkovic, Anita Stankovic, Jasna Stojkovic, Natasa Mujovic, Sindi Mitrovic, Nevena Krstic and Natasa Radosavljevic
Children 2025, 12(2), 190; https://doi.org/10.3390/children12020190 - 6 Feb 2025
Viewed by 1317
Abstract
Background and aim: Cerebral palsy (CP) is a nonprogressive neurological disorder characterized by permanent developmental disorders of movement and posture. One of the most common goals of rehabilitation is the treatment of gait disorders. Ataxic gait disorder tends to worsen in the adolescent [...] Read more.
Background and aim: Cerebral palsy (CP) is a nonprogressive neurological disorder characterized by permanent developmental disorders of movement and posture. One of the most common goals of rehabilitation is the treatment of gait disorders. Ataxic gait disorder tends to worsen in the adolescent period. Research indicates a positive therapeutic effect of the combined application of conventional rehabilitation, robotic neurorehabilitation (RNR) and virtual reality, but there is no consensus on the length of treatment and frequency of application. The aim of this case report was to contribute to the definition of the RNR protocol for the treatment of ataxic gait disorder in adolescents with CP. Case report: In a female child with an ataxic form of CP who was on regular conventional kinesitherapy in the age period between 13 to 15 years, robotic-assisted gait training (RAGT) was applied for the treatment of gait disorders. The rehabilitation protocol lasted 10 weeks, 5 times a week, and included individual, conventional kinesitherapy for 30 min and RAGT for 30 min. Combined RNR treatment was conducted once a year in the period between July and September. The results of the therapeutic evaluation revealed that the functional motor level remained unchanged, while the improved functional motor status for the category of standing and gait was maintained during treatment between the patient’s 13 and 15 years age. In their 15th year, independent gait over a shorter distance (14 m) was achieved, as well as a normal gait frequency (83 steps/minute), with a desirable duration of the left leg support phase of 65% and 70% for the right leg support phase. Conclusions: The results of our research indicate that the application of conventional kinesitherapy and RAGT, over the period of 10 weeks a year, can have a positive effect on improving the postural and locomotor functions of ataxic gait in adolescents with CP. Full article
(This article belongs to the Section Pediatric Neurology & Neurodevelopmental Disorders)
Show Figures

Figure 1

10 pages, 1612 KB  
Brief Report
A Simplified Method for the Isolation of Extracellular Vesicles from Probiotic Bacteria and Their Characterization
by Harshal Sawant, Ji Bihl and Alip Borthakur
Int. J. Mol. Sci. 2025, 26(3), 1058; https://doi.org/10.3390/ijms26031058 - 26 Jan 2025
Cited by 3 | Viewed by 3894
Abstract
Probiotic bacteria are normal inhabitants of a healthy human gut, conferring multiple beneficial effects on the gut and beyond. Under various disease states, the abundance and diversity of beneficial bacteria are significantly decreased, a process called dysbiosis. Among the intra- and extracellular components [...] Read more.
Probiotic bacteria are normal inhabitants of a healthy human gut, conferring multiple beneficial effects on the gut and beyond. Under various disease states, the abundance and diversity of beneficial bacteria are significantly decreased, a process called dysbiosis. Among the intra- and extracellular components of probiotics, the extracellular vesicles (EVs) secreted by them have recently garnered significant attention as potential mediators of probiotics’ effects on host health. Further, these nanosized particles that encapsulate a wide range of bioactive molecules (proteins, lipids, RNA, and DNA) are standing out as key factors that could mediate gut microbiota–host communication and confer ameliorating effects in experimental inflammatory, metabolic, and cardiovascular disease models. However, a standard protocol of EV isolation from probiotic bacteria, not varying from lab to lab, must be established to achieve consistency in the experimental results in these pre-clinical models. Our current study compared two commonly used methods for EV isolation from biological samples, ultracentrifugation and precipitation, to develop a standard protocol for isolating EVs from the probiotics Lactobacillus acidophilus (LA), a Gram-positive bacterium, and Escherichia coli Nissle (EcN), a Gram-negative bacterium. The ultracentrifugation method gave ~1.5-fold higher EV yield for both LA and EcN compared to the precipitation method. Further, EcN released a higher level of EVs compared to LA. EVs were quantified and characterized by nanoparticle-tracking analysis (NTA) and by measuring the specific surface biomarkers using Western blot. Here, we describe our standardized step-by-step protocol for isolating EVs from probiotic bacteria and their characterization. Full article
Show Figures

Figure 1

19 pages, 2626 KB  
Article
Reliability and Accuracy of Standard Reference Procedures for Measurements of Trunk and Arm Postures in Ergonomics
by Carl M. Lind, Ida-Märta Rhen and Mikael Forsman
Bioengineering 2025, 12(1), 50; https://doi.org/10.3390/bioengineering12010050 - 9 Jan 2025
Cited by 1 | Viewed by 2519
Abstract
Adequate reference procedures for obtaining the reference zero-angle position are important for precise and accurate posture measurements, but few studies have systematically investigated these. A limited number of previous studies suggest differences in accuracy between procedures, with some causing an underestimation of the [...] Read more.
Adequate reference procedures for obtaining the reference zero-angle position are important for precise and accurate posture measurements, but few studies have systematically investigated these. A limited number of previous studies suggest differences in accuracy between procedures, with some causing an underestimation of the true arm elevation angle when sensors are taped to the skin. The reliability of commonly used reference procedures for the measurement of the trunk posture is also not well explored, and alternative procedures may improve precision. Based on this identified gap, this study evaluated the test–retest reliability of the N-position (I-pose), i.e., the standard procedure for recording trunk postures, and compared it with two new alternative procedures. Additionally, the accuracy of the N-position for measuring arm elevation angles was compared with one alternative procedure. A total of 40 participants (22 women and 18 men) aged 26–70 years performed the reference procedures in a laboratory setting. Postures were recorded using a smart workwear system equipped with two inertial measurement units (IMUs) embedded in pockets within the workwear. For the trunk posture, the N-position showed a slight lack of test–retest reliability, while one of the alternative procedures demonstrated better test–retest reliability. For the arm posture, the N-position, which does not include lateral trunk inclination, resulted in a substantial underestimation of the arm elevation angle of approximately 15°, which is a novel finding. In contrast, the posture involving trunk inclination closely matched the targeted reference, with a difference of less than 2°. This study underscores the importance of selecting appropriate reference procedures to ensure precise and accurate posture measurements. Full article
(This article belongs to the Special Issue Biomechanics and Motion Analysis)
Show Figures

Figure 1

15 pages, 2336 KB  
Article
The Role of Visual Performance in Fine Motor Skills
by Pilar Granados-Delgado, Miriam Casares-López, Francesco Martino, Rosario González Anera and José Juan Castro-Torres
Life 2024, 14(11), 1354; https://doi.org/10.3390/life14111354 - 23 Oct 2024
Cited by 1 | Viewed by 2516
Abstract
The aim of this study was to analyse the relationship between fine motor skills (FMSs) and visual performance. Thirty young participants with normal binocular vision performed five fine motor tasks: Purdue, Grooved, and O’Connor pegboards, a needle threading task, and a water pouring [...] Read more.
The aim of this study was to analyse the relationship between fine motor skills (FMSs) and visual performance. Thirty young participants with normal binocular vision performed five fine motor tasks: Purdue, Grooved, and O’Connor pegboards, a needle threading task, and a water pouring task, which were characterised by the time taken to complete the task, the number of pegs inserted, the error made in pouring the water, and the volume spilled. To evaluate visual performance, near visual acuity, near contrast sensitivity (CS), and disability glare were assessed. Fine motor skills and visual performance were assessed under monocular and binocular viewing conditions. An overall visual performance score (OVPS) and an overall fine motor skills score (OFMSS) were calculated. All visual functions measured binocularly were better than in monocular conditions, and all FMSs tasks were performed worse monocularly than binocularly (p < 0.001), except for the error made in the water pouring task (p = 0.024). There was a positive correlation between OVPS and OFMSS (rho = 0.329; p = 0.010). The regression model showed that the OFMSS can be predicted by age and CS at 21.3%. Individuals with normal binocular vision and better near visual function exhibit superior fine motor abilities. CS stands out as the visual function that has the greatest bearing on the performance of FMSs. Full article
(This article belongs to the Special Issue Vision Science and Optometry)
Show Figures

Figure 1

11 pages, 1241 KB  
Article
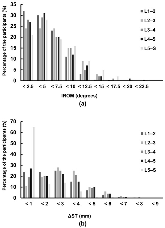
Validating the Definition of Lumbar Instability—A Cross-Sectional Study with 420 Healthy Volunteers
by Manabu Suzuki, Yasuhisa Tanaka, Ko Hashimoto, Takumi Tsubakino, Takeshi Hoshikawa, Kohei Takahashi, Myo Min Latt and Toshimi Aizawa
J. Clin. Med. 2024, 13(20), 6116; https://doi.org/10.3390/jcm13206116 - 14 Oct 2024
Cited by 1 | Viewed by 2573
Abstract
Background/Objectives: Low back pain is thought to be caused by lumbar instability. To date, multiple definitions of radiological lumbar instability have been used without verifying the “normal range” of the lumbar segmental mobility. Ideally, normative data for lumbar mobility in healthy individuals [...] Read more.
Background/Objectives: Low back pain is thought to be caused by lumbar instability. To date, multiple definitions of radiological lumbar instability have been used without verifying the “normal range” of the lumbar segmental mobility. Ideally, normative data for lumbar mobility in healthy individuals are required to establish an acceptable threshold for lumbar instability. This study aims to elucidate (i) the prevalence of so-called radiological lumbar instability at each lumbar spine level in conventional criteria and (ii) a practical radiological threshold for lumbar instability in healthy individuals. Methods: Participants completed a questionnaire and underwent standard active dynamic radiography of the lumbar spine in the standing position. Intervertebral range of motion (IROM) and sagittal translation distance (ΔST) were measured at each intervertebral level. Nachemson’s criteria of radiological lumbar instability were applied. Results: This study involved four hundred and twenty participants (249 males and 171 females); 76% (320/420) met the criteria for radiological lumbar instability. The definition of lumbar instability based on IROM and ΔST was achieved by 0.2% and 1.7% of participants at the L5–sacrum (L5–S) level, respectively. Conclusions: The normative data of lumbar mobility were obtained from a large number of participants who had less LBP-related ADL disability. The widely accepted criteria for lumbar instability were not applicable except for the L5–S level. Further studies of lumbar mobility, including patients with severe LBP, might prove the relationship between hypermobility of the lumbar spine and LBP. Full article
(This article belongs to the Section Orthopedics)
Show Figures

Figure 1

Back to TopTop