Sign in to use this feature.

Years

Between: -

Subjects

remove_circle_outline
remove_circle_outline
remove_circle_outline
remove_circle_outline
remove_circle_outline
remove_circle_outline
remove_circle_outline
remove_circle_outline
remove_circle_outline

Journals

remove_circle_outline
remove_circle_outline
remove_circle_outline
remove_circle_outline
remove_circle_outline
remove_circle_outline
remove_circle_outline
remove_circle_outline
remove_circle_outline
remove_circle_outline
remove_circle_outline
remove_circle_outline
remove_circle_outline
remove_circle_outline

Article Types

Countries / Regions

remove_circle_outline
remove_circle_outline
remove_circle_outline
remove_circle_outline
remove_circle_outline
remove_circle_outline

Search Results (1,347)

Search Parameters:
Keywords = nonlinear oscillator

Order results
Result details
Results per page
Select all
Export citation of selected articles as:
15 pages, 2434 KB  
Article
Linear and Nonlinear Dynamics of Crystals with B2 (CsCl) Structure
by Dina U. Abdullina, Sergey V. Dmitriev, Ilya S. Sugonyako, Arseny M. Kazakov and Elena A. Korznikova
Crystals 2026, 16(5), 286; https://doi.org/10.3390/cryst16050286 (registering DOI) - 25 Apr 2026
Abstract
This study investigates the phenomenon of supratransmission in three-dimensional crystals with a B2 (CsCl) structure, employing classical molecular dynamics with β-Fermi–Pasta–Ulam–Tsingou potentials up to fourth-nearest neighbors. We analyze energy transfer from a harmonically driven surface into the crystal bulk across various frequency regimes [...] Read more.
This study investigates the phenomenon of supratransmission in three-dimensional crystals with a B2 (CsCl) structure, employing classical molecular dynamics with β-Fermi–Pasta–Ulam–Tsingou potentials up to fourth-nearest neighbors. We analyze energy transfer from a harmonically driven surface into the crystal bulk across various frequency regimes relative to the phonon spectrum. While low-amplitude excitation results in energy transmission only within the phononic bands, high-amplitude driving triggers supratransmission in the phononic gap and above the optical band. Our results demonstrate that in these nonlinear regimes, energy is transported not by linear phonon waves but by discrete breathers (DBs) emitted quasi-periodically from the surface. A key finding is the distinct sublattice selectivity of these excitations: gap DBs propagate primarily along the heavy atom sublattice, whereas above-spectrum DBs travel along the light atom sublattice. We quantify the velocities and oscillation periods of these localized modes, revealing their critical role in bypassing linear spectral restrictions. These findings provide new insights into nonlinear energy transport in binary alloys and suggest potential applications for controlling heat flow and signal processing in crystals. Full article
(This article belongs to the Section Inorganic Crystalline Materials)
Show Figures

Figure 1

32 pages, 5952 KB  
Article
The Numerical Study of the Hydrodynamic Characteristics of Heave Plates with Salient Edges and Spatially Mismatched Arrangements
by Musa Liu, Bo Wang and Jiyun Du
J. Mar. Sci. Eng. 2026, 14(9), 782; https://doi.org/10.3390/jmse14090782 - 24 Apr 2026
Abstract
This study investigates the hydrodynamic characteristics of single-layer heave plates with varying salient edges and triple-layer configurations with size mismatches under forced oscillation, utilizing 3D overset mesh numerical simulations. For single-layer plates, the 0° edge configuration maintains high hydrodynamic coefficients across all conditions, [...] Read more.
This study investigates the hydrodynamic characteristics of single-layer heave plates with varying salient edges and triple-layer configurations with size mismatches under forced oscillation, utilizing 3D overset mesh numerical simulations. For single-layer plates, the 0° edge configuration maintains high hydrodynamic coefficients across all conditions, whereas the 135° edge peaks under specific parameters. Introducing horizontal gaps consistently degrades performance. For triple-layer plates, increasing the spacing ratio mitigates spatial flow interference, significantly enhancing hydrodynamic coefficients. Furthermore, introducing size differences creates a stepped mismatched configuration that effectively mitigates wake shielding and enhances fluid entrainment. Consequently, the coefficients increase steadily with the absolute size difference, reaching optimal heave suppression in the triple-layer arrangement with a large spacing and a ±20 m size mismatch. Finally, a highly accurate empirical formula (R2 > 0.92) is proposed to predict the damping (Cd) and added mass (Ca) coefficients, effectively capturing the nonlinear coupling effects of spacing ratio and size difference. These findings provide practical theoretical guidance for optimizing vibration reduction systems in offshore platforms. Full article
(This article belongs to the Section Ocean Engineering)
Show Figures

Figure 1

21 pages, 2315 KB  
Article
Nonlinear Vibrations of Filled Re-Entrant Hexagonal Units: Coupled Geometric–Inertial Effects
by Livija Cveticanin, Richárd Horváth, Levente Széles and Miodrag Zukovic
Appl. Sci. 2026, 16(9), 4170; https://doi.org/10.3390/app16094170 - 24 Apr 2026
Abstract
This work solves the problem associated with the lack of analytical models capable of describing the nonlinear vibration behavior of re-entrant hexagonal units when geometric nonlinearity and structural modifications, such as soft filling, are taken into account. The purpose of this study is [...] Read more.
This work solves the problem associated with the lack of analytical models capable of describing the nonlinear vibration behavior of re-entrant hexagonal units when geometric nonlinearity and structural modifications, such as soft filling, are taken into account. The purpose of this study is to develop an analytical framework that enables prediction and control of vibration characteristics, with particular emphasis on achieving low-frequency response and enhanced energy storage and redistribution within the structure. The proposed approach is based on Lagrangian modeling of the unit cell, leading to a nonlinear equation of motion of the Liénard type that admits a first integral. By exploiting the existence of this integral, an approximate analytical expression for the oscillation period is derived using energy-based methods. The analysis is performed for two configurations: an empty unit and a unit filled with a soft material, allowing direct comparison of their dynamic responses. The analytical results are validated through comparison with numerical simulations and available experimental data. A parametric study is conducted to evaluate the influence of the mass ratio and the re-entrant angle on the oscillation period and frequency. Furthermore, the effects of filling mass, stiffness, and degree of filling are systematically investigated, revealing distinct inertia-dominated and stiffness-dominated regimes. The obtained results provide clear design guidelines for tailoring the dynamic response of re-entrant hexagonal units. It is shown that low-frequency vibration and increased capacity for energy storage can be achieved through appropriate selection of geometric parameters and filling properties, with potential applications in vibration control and structural design. Full article
(This article belongs to the Special Issue Nonlinear Vibration Analysis of Smart Materials)
Show Figures

Figure 1

26 pages, 10415 KB  
Article
Spatiotemporal Heterogeneity of GNSS Vertical Displacements Driven by Environmental Loading Across the Complex Topography of Southwest China
by Shixiang Cai, Haoran Duan, Zhangying Yu, Hongru He, Shiwen Zhu and Xiaoying Gong
Remote Sens. 2026, 18(8), 1261; https://doi.org/10.3390/rs18081261 - 21 Apr 2026
Viewed by 324
Abstract
Environmental loading is a major driver of nonlinear GNSS vertical displacements, yet its spatiotemporal heterogeneity remains insufficiently understood in regions with complex topography. In this study, we investigate the environmental loading effects on GNSS vertical motions across Southwest China using observations from a [...] Read more.
Environmental loading is a major driver of nonlinear GNSS vertical displacements, yet its spatiotemporal heterogeneity remains insufficiently understood in regions with complex topography. In this study, we investigate the environmental loading effects on GNSS vertical motions across Southwest China using observations from a network of 66 stations. Singular Spectrum Analysis (SSA) and Empirical Orthogonal Function (EOF) analysis were applied to extract annual signals, while component-wise RMS reduction quantified hydrological and atmospheric loading contributions. Spatial statistical analysis, cross-wavelet transform, and k-means clustering examined correlation patterns and phase hysteresis between GNSS observations and modeled loads. Results show that hydrological loading dominates seasonal vertical oscillations, but crustal responses exhibit pronounced spatial heterogeneity controlled by regional topography and hydro-climatic gradients. EOF analysis reveals a dipole pattern induced by the Hengduan Mountains’moisture-blocking effect. Atmospheric loading anomalously dominates the eastern Sichuan Basin, whereas Yunnan displays strong amplitudes with high heterogeneity due to karst hydrogeology. Phase analysis identifies three distinct regimes: a rapid elastic response on the Tibetan Plateau, (with the lag of ~20 ± 5 days, correlation coefficient R ≈ 0.65), intermediate delays in Yunnan (~60 ± 5 days, R ≈ 0.58), and pronounced hysteresis in the Sichuan Basin (~105 ± 5 days, R ≈ 0.38) linked to slow groundwater diffusion and poroelastic processes. These findings highlight the critical role of local hydrogeological dynamics in modulating GNSS vertical deformation and provide new insights for improving environmental loading corrections in complex mountainous regions. Full article
(This article belongs to the Section Environmental Remote Sensing)
Show Figures

Figure 1

20 pages, 1229 KB  
Article
Strong Mechanical Squeezing via the Joint Effect of a Squeezed Vacuum Field and Duffing Nonlinearity
by Chen-Rui Yang, Huan-Huan Cheng, Shao-Xiong Wu and Cheng-Hua Bai
Photonics 2026, 13(4), 399; https://doi.org/10.3390/photonics13040399 - 21 Apr 2026
Viewed by 229
Abstract
We propose a proposal to achieve strong mechanical squeezing in an optomechanical system through the joint effect of a weak squeezed vacuum field and Duffing nonlinearity. The squeezing of the cavity field induced by the squeezed vacuum field is transferred to the mechanical [...] Read more.
We propose a proposal to achieve strong mechanical squeezing in an optomechanical system through the joint effect of a weak squeezed vacuum field and Duffing nonlinearity. The squeezing of the cavity field induced by the squeezed vacuum field is transferred to the mechanical oscillator, which has already been squeezed via Duffing nonlinearity. This joint effect significantly enhances the degree of mechanical squeezing, enabling it to exceed the 3 dB strong mechanical squeezing limit. Moreover, the resulting mechanical squeezing exhibits remarkable robustness against thermal noise. The joint effect proposed in this scheme can be directly observed through homodyne detection of the cavity output field. This novel approach opens up a new avenue for generating a strong mechanical squeezed state and provides a promising pathway for the applications of macroscopic quantum control in quantum sensing and quantum information processing. Full article
(This article belongs to the Section Quantum Photonics and Technologies)
Show Figures

Figure 1

26 pages, 13734 KB  
Article
Light-Driven Self-Pulsating Hydrogel with a Sliding-Delay Mechanism for Micro-Actuation and Microfluidic Applications
by Xingui Zhou, Huailei Peng, Yunlong Qiu and Cong Li
Micromachines 2026, 17(4), 503; https://doi.org/10.3390/mi17040503 - 21 Apr 2026
Viewed by 114
Abstract
Light-responsive hydrogel-based oscillators typically exhibit small oscillation amplitudes because solvent diffusion is intrinsically slow, and their dependence on external periodic light modulation further results in limited amplitude, poor stability, and insufficient autonomy. Inspired by the trigger and sliding mechanism of the ancient crossbow, [...] Read more.
Light-responsive hydrogel-based oscillators typically exhibit small oscillation amplitudes because solvent diffusion is intrinsically slow, and their dependence on external periodic light modulation further results in limited amplitude, poor stability, and insufficient autonomy. Inspired by the trigger and sliding mechanism of the ancient crossbow, this study introduces an innovative system that integrates a sliding-block mechanism with time-delay feedback, breaking from conventional approaches that rely on hydrogel inertia or external modulation, within a purely theoretical and simulation-based framework. By establishing a nonlinear dynamic model coupling solvent diffusion, photoisomerization, and optical attenuation, this research shows through numerical simulations that the system can exhibit two distinct modes under constant illumination: a stable state and a self-sustained oscillatory state. The model predicts that the oscillation frequency can be flexibly tuned by varying key parameters, including the crosslinking density, Flory–Huggins interaction parameters of the spiropyran and hydrophilic polymer, ring-opening reaction rate, light intensity, fraction of light-sensitive molecules, and sliding displacement, whereas the initial absorption coefficient has only a minor influence. The slider displacement is also identified as an effective means to regulate the oscillation amplitude. Furthermore, the expansion force at the container bottom is predicted to oscillate synchronously with the hydrogel’s volume change. This theoretical framework represents a paradigm shift from “static small deformation” to “dynamic large-amplitude oscillation”, significantly enhancing the mechanical responsiveness of the material. This work provides a novel and controllable strategy for the conceptual design of autonomous light-driven micromechanical systems. Full article
Show Figures

Figure 1

33 pages, 2134 KB  
Article
Symmetry and Symmetry Breaking in Pulsar Spin-Down Dynamics: Fractional Calculus, Non-Integer Braking Indices, and the Resolution of the Crab Pulsar Puzzle
by Farrukh Ahmed Chishtie and Sree Ram Valluri
Symmetry 2026, 18(4), 684; https://doi.org/10.3390/sym18040684 - 20 Apr 2026
Viewed by 266
Abstract
The rotational evolution of pulsars is governed by torque mechanisms whose mathematical structure encodes fundamental symmetries of the underlying physics. We demonstrate that the standard spin-down equation f˙=sfrf3gf5 derives from [...] Read more.
The rotational evolution of pulsars is governed by torque mechanisms whose mathematical structure encodes fundamental symmetries of the underlying physics. We demonstrate that the standard spin-down equation f˙=sfrf3gf5 derives from a discrete antisymmetry requirement, namely invariance of the torque under reversal of rotation sense, which restricts the frequency dependence to odd integer powers. We show that physically motivated plasma processes systematically break this symmetry, introducing fractional frequency exponents: viscous Ekman pumping at the crust–superfluid boundary layer (f3/2), magnetohydrodynamic turbulent dissipation via Kolmogorov and Sweet–Parker cascades (f10/3, f11/3), non-linear superfluid vortex dynamics (f5/2), and saturated r-mode oscillations (f72β). The central result is an exact analytical resolution of the long-standing Crab pulsar braking index puzzle: the observed n=2.51±0.01, which has defied explanation for nearly four decades, emerges naturally from the superposition of magnetic dipole radiation (f˙f3) and boundary layer Ekman pumping (f˙f3/2), with analytically derived coefficients yielding a dipole-component surface field Bp=6.2×1012 G—higher than the standard PP˙ estimate of 3.8×1012 G, because that formula conflates dipole and non-dipole torques, but lower than applying the Larmor formula to the full spin-down rate (7.6×1012 G), since 32.7% of the total torque is non-radiative boundary-layer dissipation. We develop the Riemann–Liouville fractional calculus formalism for these equations, showing that fractional derivatives break time-translation symmetry through intrinsic memory effects, with solutions expressed in terms of Mittag-Leffler and Fox H-functions that interpolate continuously between exponential (fully symmetric) and power-law (scale-free symmetric) relaxation. Lambert–Tsallis Wq functions with non-extensive parameter q encoding broken statistical symmetry enable equation-of-state-independent inference of neutron star compactness and tidal deformability. Our framework establishes a unified symmetry-based classification of pulsar spin-down mechanisms and predicts frequency-dependent braking indices evolving at rate dn/dt2×104 yr−1, yielding Δn0.01 over 50 years—testable with current pulsar timing programmes. The formalism provides a coherent theoretical foundation connecting plasma microphysics at the neutron star interior to macroscopic observables in electromagnetic and gravitational wave channels. Full article
(This article belongs to the Special Issue Symmetry in Plasma Astrophysics)
Show Figures

Figure 1

28 pages, 14954 KB  
Article
Time-Reversible Synchronization of Chua Circuits for Edge Intelligent Sensors
by Artur Karimov, Kirill Shirnin, Ivan Babkin, Pavel Burundukov, Vyacheslav Rybin and Denis Butusov
Mathematics 2026, 14(8), 1359; https://doi.org/10.3390/math14081359 - 18 Apr 2026
Viewed by 148
Abstract
Time-reversible synchronization (TRS) of nonlinear oscillators is a recently proposed technique that ensures super-exponential convergence of dynamics between master and slave systems, which is beneficial in many real-time applications. Nevertheless, this approach has not been demonstrated in any real-time embedded system to practically [...] Read more.
Time-reversible synchronization (TRS) of nonlinear oscillators is a recently proposed technique that ensures super-exponential convergence of dynamics between master and slave systems, which is beneficial in many real-time applications. Nevertheless, this approach has not been demonstrated in any real-time embedded system to practically verify it and quantitatively estimate its advantages. Furthermore, previous studies did not consider the application of time-reversible synchronization to a wide, practically relevant class of chaotic systems with piecewise-linear nonlinearity. To fill these gaps, in this work, we developed an FPGA-based time-reversible synchronization controller for the analog Chua circuit and its digital counterpart. To achieve complete synchronization, we first reconstructed dynamical equations of the circuit. Then, we performed a rigorous theoretical analysis of synchronization possibility between analog and digital systems by each single variable. Next, we implemented the digital model of the Chua circuit in the MyRIO-1900 FPGA using the reconstructed dynamical model and showed its capability of digital-to-analog and analog-to-digital conventional Pecora–Carroll (PC) synchronization. Then, an algorithm of time-reversible synchronization on MyRIO-1900 was tested, achieving complete synchronization at the predefined normalized RMSE level of 0.01, requiring an average of 8.0 fewer points and a median of 10.1 fewer points than the PC synchronization. Finally, we implemented a proof-of-concept version of a capacitive sensor based on the analog Chua circuit with an FPGA-based observer using PC synchronization or the TRS algorithm with a heuristic selection of a starting point. Our experiments reveal that when using the TRS algorithm, the time needed to detect a pre-selected 3% level of capacitance change is reduced by a mean factor of 4 and a median factor of 4.9 in comparison with the conventional PC synchronization. This allows for using the developed solution in applications where the synchronization rate is crucial, including chaos-based sensing, communication, and monitoring. Full article
Show Figures

Figure 1

21 pages, 21921 KB  
Article
On Fractional Discrete-Time Power Systems: Chaos, Complexity and Control
by Omar Kahouli, Imane Zouak, Sulaiman Almohaimeed, Adel Ouannas, Lilia El Amraoui and Mohamed Ayari
Mathematics 2026, 14(8), 1354; https://doi.org/10.3390/math14081354 - 17 Apr 2026
Viewed by 144
Abstract
In this paper, based on the Caputo-like delta fractional difference operator, we will present a fractional discrete model of a 4D Power System. We present an extension of the popular integer-order single-machine infinite-bus formulation to two fractional cases, one with commensurate (equal) fractional [...] Read more.
In this paper, based on the Caputo-like delta fractional difference operator, we will present a fractional discrete model of a 4D Power System. We present an extension of the popular integer-order single-machine infinite-bus formulation to two fractional cases, one with commensurate (equal) fractional orders and another incommensurate (not equal). This extension captures long-memory effects in dynamics and thus offers a consistent mathematical description of the nonlinear behavior of power systems. The orders of the fractional models are analyzed numerically. Using time series evolution, phase-space plots, bifurcation maps, Lyapunov spectra, and the 0–1 chaos test, spectral entropy and C0 complexity metrics, we identify chaotic regimes. Additionally, techniques for controlling chaos are explored to stabilize and regulate the dynamics of the system. Both the fractional formulations exhibit richer dynamical features than their integer counterparts, and for the incommensurate case, the sensitivity to the fractional variations is larger, generating complex nonlinear oscillations. The fractional discrete power system framework provides a new perspective for studying instability, the voltage collapse phenomenon, and chaotic oscillations in power engineering applications. Full article
(This article belongs to the Special Issue Mathematical Modeling and Control for Engineering Applications)
Show Figures

Figure 1

18 pages, 1586 KB  
Article
Fractal Duffing Oscillators with Two Degrees of Freedom and Cubic–Quintic Nonlinear Stiffness
by Guozhong Xiu, Jihuan He, Yusry O. El-Dib and Haifa A. Alyousef
Fractal Fract. 2026, 10(4), 265; https://doi.org/10.3390/fractalfract10040265 - 17 Apr 2026
Viewed by 306
Abstract
The harmonic equivalent method is a non-perturbative approach to nonlinear vibration issues, aiming to create linearly coupled systems from coupled vibrations. However, there is still much to be discovered about managing interconnected nonlinear components. This paper examines the nonlinear components of a fractal-connected [...] Read more.
The harmonic equivalent method is a non-perturbative approach to nonlinear vibration issues, aiming to create linearly coupled systems from coupled vibrations. However, there is still much to be discovered about managing interconnected nonlinear components. This paper examines the nonlinear components of a fractal-connected system and offers suggestions. This paper explores insights into the principles and uses of nonlinear systems in science and engineering by investigating the dynamic behavior of a connected cubic–quintic damping fractal system analytically using an innovative approach to analytical examination. A two-scale transformation and reformulation of the system into fractal form simplify its governing equations for dynamic and stability analysis. Two analytical scopes are presented: one decouples nonlinear systems using weighted averaging functions, and the other converts even nonlinearities into odd terms using El-Dib’s frequency formulas for linear representation, enabling an equivalent linear representation of the system. The resilience of the decoupled system is verified by numerical simulations using Mathematica, which shows high agreement and minimal relative errors. It also accurately reflects dynamic behavior. Additionally, the work uses the bridging techniques of El-Dib and Elgazery to convert a linear damping fractal coupled system into a classical continuous-space form. A scaling fractal factor is made possible by re-expressing the fractal structure using pseudo-dimensional parameters. The linearly linked damping system has an exact analytical solution. The paper provides valuable insights into the design and control of coupled nonlinear oscillatory systems by validating analytical solutions through numerical simulations using Mathematica. Full article
(This article belongs to the Section Mathematical Physics)
Show Figures

Figure 1

30 pages, 567 KB  
Article
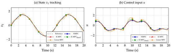
Data-Driven Koopman Operator-Based Model Predictive Control with Adaptive Dictionary Learning for Nonlinear Industrial Process Optimization
by Zhihao Zeng, Hao Wang and Yahui Shan
Mathematics 2026, 14(8), 1320; https://doi.org/10.3390/math14081320 - 15 Apr 2026
Viewed by 169
Abstract
Nonlinear model predictive control (NMPC) delivers high tracking accuracy for industrial processes but requires solving a nonlinear program at each sampling instant, limiting its applicability under tight real-time constraints. The Koopman operator provides a principled route to circumvent this limitation by embedding nonlinear [...] Read more.
Nonlinear model predictive control (NMPC) delivers high tracking accuracy for industrial processes but requires solving a nonlinear program at each sampling instant, limiting its applicability under tight real-time constraints. The Koopman operator provides a principled route to circumvent this limitation by embedding nonlinear dynamics into a higher-dimensional space where the evolution becomes linear, thereby reducing the online optimization to a convex quadratic program. This paper presents a Koopman-based MPC framework (K-MPC) that incorporates three algorithmic contributions. First, an adaptive radial basis function dictionary learning procedure selects lifting functions from process data, eliminating manual basis selection and improving approximation fidelity for systems with localized nonlinearities. Second, a recursive least-squares update rule adjusts the Koopman matrix online as new measurements arrive, enabling the controller to track slow parameter drifts without full model recomputation. Third, a tube-based constraint tightening strategy accounts for the residual linearization error, preserving recursive feasibility under bounded Koopman approximation mismatch. Simulations on a Van der Pol oscillator, a continuous stirred-tank reactor (CSTR), and a four-state Tennessee Eastman-inspired distillation column demonstrate that K-MPC achieves root-mean-square tracking errors within 11–16% of NMPC while reducing average per-step computation time by a factor of 14 to 18. The recursive update mechanism reduces prediction error by 80% compared to the fixed offline Koopman model when reactor feed concentration drifts by 15% from its nominal value. Ablation experiments confirm that adaptive dictionary learning and online updating each contribute measurably to closed-loop performance. Full article
(This article belongs to the Section E: Applied Mathematics)
Show Figures

Figure 1

42 pages, 8620 KB  
Article
Multi-Strategy Improved Stellar Oscillation Optimizer for Heterogeneous UAV Task Allocation in Post-Disaster Rescue
by Min Ding, Jing Du, Yijing Wang and Yue Lu
Drones 2026, 10(4), 288; https://doi.org/10.3390/drones10040288 - 15 Apr 2026
Viewed by 341
Abstract
To address load–energy dynamic coupling in heterogeneous unmanned aerial vehicle (UAV) emergency rescue, this paper proposes an energy-coupled heterogeneous UAV task allocation (EC-HUTA) model that explicitly characterizes nonlinear interdependencies among payload, velocity, and power consumption, minimizing aggregate mission costs subject to physical and [...] Read more.
To address load–energy dynamic coupling in heterogeneous unmanned aerial vehicle (UAV) emergency rescue, this paper proposes an energy-coupled heterogeneous UAV task allocation (EC-HUTA) model that explicitly characterizes nonlinear interdependencies among payload, velocity, and power consumption, minimizing aggregate mission costs subject to physical and temporal constraints. To tackle the resulting high-dimensional, nonconvex problem, we introduce a multi-strategy improved stellar oscillation optimizer (MISOO), establishing a closed-loop synergistic system through three coupled stages: (i) evolutionary game-theoretic strategy competition via replicator dynamics for adaptive exploration–exploitation balance; (ii) intuitionistic fuzzy entropy (IFE)-driven dimension-wise parameter control, where IFE calibrates global exploration intensity while dimension-specific crossover probabilities accommodate heterogeneous convergence; and (iii) memory-driven differential escape mechanisms modulated by historical memory parameters to evade local optima. Cross-stage coupling through IFE ensures state information flows across the “strategy selection-refined search-dynamic escape” pipeline. Coupled with a dual-layer encoding scheme, this framework ensures efficient feasible search. Ablation studies validate each mechanism’s contribution. Evaluations on CEC2017 benchmarks demonstrate MISOO’s superior convergence against six metaheuristics. Large-scale earthquake rescue simulations confirm that EC-HUTA/MISOO strictly adheres to nonlinear energy constraints while enhancing task completion and temporal compliance. These results validate the framework’s efficacy for time-critical emergency resource allocation. Full article
Show Figures

Figure 1

13 pages, 476 KB  
Article
Albedo-Induced Perturbation in the Sitnikov Three-Body Problem
by M. Shahbaz Ullah, M. Javed Idrisi and Sergey Ershkov
Physics 2026, 8(2), 41; https://doi.org/10.3390/physics8020041 - 13 Apr 2026
Viewed by 287
Abstract
In this paper, the circular Sitnikov three-body problem is studied under the combined influence of radiation pressure and albedo. The model consists of two equal-mass primaries moving in circular orbits about their center of mass and an infinitesimal body constrained to oscillate along [...] Read more.
In this paper, the circular Sitnikov three-body problem is studied under the combined influence of radiation pressure and albedo. The model consists of two equal-mass primaries moving in circular orbits about their center of mass and an infinitesimal body constrained to oscillate along the perpendicular axis. The radiative emission from one primary and the reflected radiation from the other are incorporated into the effective potential through radiation and reflectivity parameters. Using the Jacobi integral, we determine the energetically admissible region for vertical motion and examine how radiative effects modify the accessible phase space. The study shows that the system admits a single vertical equilibrium point at the origin, which remains linearly stable within the physically admissible parameter range. Radiation and albedo reduce the effective restoring force and increase the oscillation period, producing a measurable rescaling of the physical time without altering the geometrical structure of the phase trajectories. The phase-space dynamics are further explored by means of Poincare (first-return) maps obtained from numerical integration of the nonlinear equation of motion. The resulting invariant curves confirm that the motion remains regular and bounded, while their progressive contraction reflects the reduction in the oscillation amplitude with increasing radiative effects. Overall, the results show that albedo acts as a quantitative modifier of the vertical Sitnikov dynamics by changing the effective potential, the admissible energy domain, and the observable time scale, without generating new qualitative phase-space structures. Full article
(This article belongs to the Section Mathematical Physics and Mathematical Methods)
Show Figures

Figure 1

24 pages, 2639 KB  
Article
Machine Learning-Assisted Modal Sensitivity and Parameter Ranking in Systems with Viscoelastic Damping
by Jakub Porysek and Magdalena Łasecka-Plura
Appl. Sci. 2026, 16(8), 3749; https://doi.org/10.3390/app16083749 - 11 Apr 2026
Viewed by 281
Abstract
This paper proposes a machine-learning-assisted framework for modal sensitivity analysis of systems with viscoelastic damping elements, including both classical and fractional rheological models. Surrogate models are trained to approximate natural frequencies over a prescribed parameter space using two sampling strategies (Grid and Latin [...] Read more.
This paper proposes a machine-learning-assisted framework for modal sensitivity analysis of systems with viscoelastic damping elements, including both classical and fractional rheological models. Surrogate models are trained to approximate natural frequencies over a prescribed parameter space using two sampling strategies (Grid and Latin Hypercube) and two regression approaches: multi-layer perceptron (MLP) and Gaussian process regression (GPR). Sensitivities are obtained from the surrogates by finite differences and complemented by model-interpretability measures, namely permutation feature importance (PFI) and Shapley Additive Explanations (SHAP). The surrogate-based results are compared with analytically obtained sensitivities. Local first- and second-order sensitivities of natural frequencies are derived analytically using the direct differentiation method (DDM) for a nonlinear eigenvalue problem formulated in the Laplace domain and further transformed into dimensionless sensitivity measures. The methodology is demonstrated for a single-degree-of-freedom oscillator with classical and fractional Kelvin damper models and a two-story frame equipped with a fractional Kelvin damper. The results show very good agreement between analytical and surrogate-based sensitivities. Feature-importance rankings obtained by PFI and SHAP are consistent with the dimensionless sensitivities and capture changes in parameter influence under varying damping levels. Dispersion studies indicate only minor ranking variations. Full article
(This article belongs to the Section Civil Engineering)
Show Figures

Figure 1

21 pages, 549 KB  
Article
Closed-Form Almost Periodical Solutions for a Dynamical System Using the Optimal Auxiliary Functions Method
by Remus-Daniel Ene, Romeo Negrea, Rodica Badarau and Nicolina Pop
Mathematics 2026, 14(8), 1260; https://doi.org/10.3390/math14081260 - 10 Apr 2026
Viewed by 180
Abstract
The main aim of our paper is concerning the damped oscillations of 3D dynamical systems, depending on a single physical parameter. This system does not admit Hamilton–Poisson structure but can be explicitly integrated, and the exact parametric solutions are built via a smooth [...] Read more.
The main aim of our paper is concerning the damped oscillations of 3D dynamical systems, depending on a single physical parameter. This system does not admit Hamilton–Poisson structure but can be explicitly integrated, and the exact parametric solutions are built via a smooth function. The influence of the physical parameter is semi-analytically analyzed using the Optimal Auxiliary Functions Method (OAFM). One of the advantages of the applied method is the small number of iterations due to the appropriate choice of auxiliary convergence control functions. The OAFM solutions are effectively in good agreement with corresponding numerical ones, represented qualitatively by figures and quantitatively by tables. The statistical tests of residuals highlighted the accuracy of our results. The proposed method can be considered an analytical tool for nonlinear vibration analysis of numerous applications from electrical engineering or mechanical structures based on damped rotatory oscillators to the field of image encryption. Full article
(This article belongs to the Special Issue Mathematical Modelling of Nonlinear Dynamical Systems)
Show Figures

Figure 1

Back to TopTop