Sign in to use this feature.

Years

Between: -

Subjects

remove_circle_outline
remove_circle_outline
remove_circle_outline
remove_circle_outline
remove_circle_outline
remove_circle_outline
remove_circle_outline

Journals

Article Types

Countries / Regions

Search Results (24)

Search Parameters:
Keywords = nonlinear beamforming algorithms

Order results
Result details
Results per page
Select all
Export citation of selected articles as:
27 pages, 941 KB  
Article
Rate-Splitting-Based Resource Allocation in FANETs: Joint Optimization of Beam Direction, Node Pairing, Power and Time Slot
by Fukang Zhao, Chuang Song, Xu Li, Ying Liu and Yanan Liang
Sensors 2026, 26(1), 224; https://doi.org/10.3390/s26010224 - 29 Dec 2025
Viewed by 290
Abstract
Directional flying ad hoc networks (FANETs) equipped with phased array antennas are pivotal for applications demanding high-capacity, low-latency communications. While directional beamforming extends the communication range, it necessitates the intricate joint optimization of the beam direction, power, and time-slot scheduling under hardware constraints. [...] Read more.
Directional flying ad hoc networks (FANETs) equipped with phased array antennas are pivotal for applications demanding high-capacity, low-latency communications. While directional beamforming extends the communication range, it necessitates the intricate joint optimization of the beam direction, power, and time-slot scheduling under hardware constraints. Existing resource allocation schemes predominantly follow two paradigms: (i) conventional physical-layer multiple access (CPMA) approaches, which enforce strict orthogonality within each beam and thus limit spatial efficiency; and (ii) advanced physical-layer techniques like rate-splitting multiple access (RSMA), which have been applied to terrestrial and omnidirectional UAV networks but not systematically integrated with the beam-based scheduling constraints of directional FANETs. Consequently, jointly optimizing the beam direction, intra-beam rate-splitting-based node pairing, transmit power, and time-slot scheduling remains largely unexplored. To bridge this gap, this paper introduces an intra-beam rate-splitting-based resource allocation (IBRSRA) framework for directional FANETs. This paper formulates an optimization problem that jointly designs the beam direction, constrained rate-splitting (CRS)-based node pairing, power control, modulation and coding scheme (MCS) selection, and time-slot scheduling, aiming to minimize the total number of time slots required for data transmission. The resulting mixed-integer nonlinear programming (MINLP) problem is solved via a computationally efficient two-stage algorithm, combining greedy scheduling with successive convex approximation (SCA) for non-convex optimization. Simulation results demonstrate that the proposed IBRSRA algorithm substantially enhances spectral efficiency and reduces latency. Specifically, for a network with 16 nodes, IBRSRA reduces the required number of transmission time slots by more than 42% compared to the best-performing baseline scheme. This confirms the significant practical benefit of integrating CRS into the resource allocation design of directional FANETs. Full article
Show Figures

Figure 1

12 pages, 475 KB  
Article
Coherent DOA Estimation of Multi-Beam Frequency Beam-Scanning LWAs Based on Maximum Likelihood Algorithm
by Yifan Yang, Rihui Zeng, Qingqing Zhu, Weijin Fang, Biyun Ma and Yide Wang
Sensors 2025, 25(12), 3791; https://doi.org/10.3390/s25123791 - 17 Jun 2025
Cited by 1 | Viewed by 952
Abstract
Multi-Beam frequency scanning leaky-wave antennas (FBS-LWAs) offer a viable solution for hardware miniaturization in direction-of-arrival (DOA) estimation systems. However, the presence of multiple spatial harmonics results in responses in multiple directions for a given incident source, introducing estimation ambiguity and significantly challenging accurate [...] Read more.
Multi-Beam frequency scanning leaky-wave antennas (FBS-LWAs) offer a viable solution for hardware miniaturization in direction-of-arrival (DOA) estimation systems. However, the presence of multiple spatial harmonics results in responses in multiple directions for a given incident source, introducing estimation ambiguity and significantly challenging accurate DOA estimation. Moreover, due to the nonlinear frequency response of the FBS-LWA, its response matrix does not satisfy the Vandermonde structure, which renders common rank-recovery techniques ineffective for processing coherent signals. As a result, the DOA estimation of coherent sources using multi-beam FBS-LWAs remains an open and challenging problem. To address this issue, this paper proposes a novel DOA estimation method for coherent signals based on multi-beam frequency scanning leaky-wave antennas. First, the received signals are transformed into the frequency domain via fast Fourier transform (FFT) to construct the signal data matrix from which the covariance matrix is computed.Then, conventional beamforming (CBF) is employed to obtain an initial estimate of the angle set, which will be further refined by a smaller grid to form a candidate angle set. Finally, a maximum likelihood algorithm based on the stochastic principle (Sto-ML) is used to suppress the interference of the parasitic directions and select the final DOA estimates from the candidate angle set. Simulation results show that the proposed method effectively mitigates the impact of parasitic directions and achieves an accurate DOA estimation of multiple coherent sources, even under both low and medium-to-high signal-to-noise ratio (SNR) conditions. Full article
Show Figures

Figure 1

20 pages, 3596 KB  
Article
Detection of Internal Defects in Concrete Using Delay Multiply and Sum-Enhanced Synthetic Aperture Focusing Technique
by Feng Li, Sheng-Kui Di, Jing Zhang, Dong Yang, Yao Pei and Xiao-Ying Wang
Buildings 2025, 15(11), 1887; https://doi.org/10.3390/buildings15111887 - 29 May 2025
Cited by 1 | Viewed by 885
Abstract
Traditional techniques for detecting internal defects in concrete are limited by the weak directivity of ultrasonic waves, significant signal attenuation, and low imaging contrast. This paper presents an improved synthetic aperture focusing technique (SAFT) enhanced by the Delay Multiply and Sum (DMAS) algorithm [...] Read more.
Traditional techniques for detecting internal defects in concrete are limited by the weak directivity of ultrasonic waves, significant signal attenuation, and low imaging contrast. This paper presents an improved synthetic aperture focusing technique (SAFT) enhanced by the Delay Multiply and Sum (DMAS) algorithm to address these limitations and improve both the resolution and signal-to-noise ratio. The proposed method sequentially transmits and receives ultrasonic waves through an array of transducers, and applies DMAS-based nonlinear beam-forming to enhance image sharpness and contrast. Its effectiveness was validated through finite element simulations and experimental tests using three precast concrete specimens with artificial defects (specimen size: 240 mm × 300 mm × 100 mm). Compared with the conventional SAFT, the proposed method improves image contrast by approximately 40%, with clearer defect boundaries and a vertical positioning error of less than ±5 mm. This demonstrates the method’s promising potential for practical applications in internal defect visualization of concrete structures. Full article
(This article belongs to the Special Issue UHPC Materials: Structural and Mechanical Analysis in Buildings)
Show Figures

Figure 1

13 pages, 540 KB  
Article
Transmit Power Optimization for Simultaneous Wireless Information and Power Transfer-Assisted IoT Networks with Integrated Sensing and Communication and Nonlinear Energy Harvesting Model
by Chengrui Zhou, Xinru Wang, Yanfei Dou and Xiaomin Chen
Entropy 2025, 27(5), 456; https://doi.org/10.3390/e27050456 - 24 Apr 2025
Viewed by 1379
Abstract
Integrated sensing and communication (ISAC) can improve the energy harvesting (EH) efficiency of simultaneous wireless information and power transfer (SWIPT)-assisted IoT networks by enabling precise energy harvest. However, the transmit power is increased in the hybrid system due to the fact that the [...] Read more.
Integrated sensing and communication (ISAC) can improve the energy harvesting (EH) efficiency of simultaneous wireless information and power transfer (SWIPT)-assisted IoT networks by enabling precise energy harvest. However, the transmit power is increased in the hybrid system due to the fact that the sensing signals are required to be transferred in addition to the communication data. This paper aims to tackle this issue by formulating an optimization problem to minimize the transmit power of the base station (BS) under a nonlinear EH model, considering the coexistence of power-splitting users (PSUs) and time-switching users (TSUs), as well as the beamforming vector associated with PSUs and TSUs. A two-layer algorithm based on semi-definite relaxation is proposed to tackle the complexity issue of the non-convex optimization problem. The global optimality is theoretically analyzed, and the impact of each parameter on system performance is also discussed. Numerical results indicate that TSUs are more prone to saturation compared to PSUs under identical EH requirements. The minimal required transmit power under the nonlinear EH model is much lower than that under the linear EH model. Moreover, it is observed that the number of TSUs is the primary limiting factor for the minimization of transmit power, which can be effectively mitigated by the proposed algorithm. Full article
(This article belongs to the Special Issue Integrated Sensing and Communication (ISAC) in 6G)
Show Figures

Figure 1

15 pages, 4260 KB  
Article
Comparison of Ultrasonic Nonlinear Beamforming Algorithms for Defect Imaging in Crystalline Particle-Filled Explosives
by Lida Yu and Haining Li
Crystals 2025, 15(2), 175; https://doi.org/10.3390/cryst15020175 - 12 Feb 2025
Viewed by 1180
Abstract
Ultrasonic imaging methods show significant advantages in detecting internal defects of composite crystalline materials. For polymer-bonded explosives (PBXs) with highly filled crystalline particles, the strong acoustic attenuation caused by their heterogeneous crystalline structure leads to low signal-to-noise ratios (SNRs) in the full matrix [...] Read more.
Ultrasonic imaging methods show significant advantages in detecting internal defects of composite crystalline materials. For polymer-bonded explosives (PBXs) with highly filled crystalline particles, the strong acoustic attenuation caused by their heterogeneous crystalline structure leads to low signal-to-noise ratios (SNRs) in the full matrix capture (FMC) signals and strong background noise in reconstructed images. To realize the high-SNR imaging of defects in PBXs, this paper is the first to schematically reorganize the nonlinear post-process algorithms which have the potential to realize high-SNR imaging of defects in crystalline particle-filled explosives. Six kinds of beamforming algorithms (DAS, F-DMAS, BB-DMAS, DMAS3, L-DMAS, and DS-DMAS) were applied to the same FMC data to reconstruct the images of prefabricated side-drilled holes (SDHs) in PBXs. The image quality in terms of SNR, lateral and axial resolution, and calculation efficiency was compared and evaluated quantitatively. The experimental results show that the nonlinear beamforming algorithms showed significant improvements in SNR and resolution. In particular, L-DMAS and DS-DMAS exhibited excellent imaging capability in SDH defect detection compared to the other algorithms, with effective suppression of crystalline structural noise. Full article
Show Figures

Figure 1

15 pages, 2743 KB  
Article
Reducing Successive Interference Cancellation Iterations in Hybrid Beamforming Multiuser Massive Multiple Input Multiple Output Systems Through Grouping Users with Symmetry Channels
by Hashem Khaled Rehab, Eugeniy Rogozhnikov, Kirill Savenko, Semen Mukhamadiev, Yakov Kryukov and Dmitriy Pokamestov
Symmetry 2024, 16(11), 1437; https://doi.org/10.3390/sym16111437 - 29 Oct 2024
Viewed by 2715
Abstract
This paper presents a comprehensive exploration of advanced beamforming techniques tailored for millimeter-wave (mm-Wave) communication systems. In response to the burgeoning demand for higher data rates, coupled with the constraints of power consumption and hardware complexity, this study focuses on developing a hybrid [...] Read more.
This paper presents a comprehensive exploration of advanced beamforming techniques tailored for millimeter-wave (mm-Wave) communication systems. In response to the burgeoning demand for higher data rates, coupled with the constraints of power consumption and hardware complexity, this study focuses on developing a hybrid beamforming framework optimized for downlink scenarios, specifically targeting groups of users based on the approximate symmetry of their channels. The primary innovation of this research lies in leveraging the symmetry of channels among near users to develop a group-based successive interference cancellation (SIC) algorithm. Unlike traditional approaches that address interference on a per-user basis, this algorithm utilizes channel symmetry within clusters of users to reduce computational complexity and improve the efficiency of SIC. By grouping users with symmetrical channel characteristics, the algorithm simplifies the interference management process while maintaining system performance. The proposed system demonstrates notable advantages over existing non-linear algorithms through extensive simulations and performance evaluations, particularly in terms of spectral efficiency and computational complexity. In this study, we further emphasize the importance of balancing spectral efficiency improvements with reduced computational demands, offering a nuanced trade-off that accommodates various operational requirements. The flexible optimization framework provided showcases the system’s adaptability to diverse deployment scenarios and network configurations. Full article
(This article belongs to the Section Engineering and Materials)
Show Figures

Figure 1

20 pages, 417 KB  
Article
Beamforming for Multi-Bit Intelligent Reflecting Surface with Phase Shift-Dependent Power Consumption Model
by Huimin Zhang, Qiucen Wu and Yu Zhu
Sensors 2024, 24(18), 6136; https://doi.org/10.3390/s24186136 - 23 Sep 2024
Cited by 2 | Viewed by 2146
Abstract
In recent years, the intelligent reflecting surface (IRS) has attracted increasing attention for its capability to intelligently reconfigure the wireless propagation channel. However, most existing works ignore the dynamic power consumption of IRS related to the phase shift configuration. This relationship gets even [...] Read more.
In recent years, the intelligent reflecting surface (IRS) has attracted increasing attention for its capability to intelligently reconfigure the wireless propagation channel. However, most existing works ignore the dynamic power consumption of IRS related to the phase shift configuration. This relationship gets even more intractable for a multi-bit IRS because of its nonlinearity and implicit form. In this paper, we investigate the beamforming optimization for multi-bit IRS-aided systems with the practical phase shift-dependent power consumption (PS-DPC) model, aiming at minimizing the power consumption of the system. To solve the implicit and nonlinear relationship, we introduce a selection matrix to explicitly represent the power consumption and the phase shift matrix of the IRS, respectively. Then, we propose a generalized Benders decomposition-based beamforming optimization algorithm in the single-user scenario. Furthermore, in the multi-user scenario, we design a coordinate descent-based algorithm and a genetic algorithm for the beamforming optimization. The simulation results show that the proposed algorithms significantly decrease the power consumption of the multi-bit IRS-aided systems. Full article
(This article belongs to the Section Communications)
Show Figures

Figure 1

20 pages, 1030 KB  
Article
Covert Communications in Active-RIS-Aided NOMA Systems: Element Grouping or Not?
by Xueyu Kang, Feng Lu, Miaomiao Zhu, Hongwu Liu, Xiyu Pang, Hai Yang and Qingsheng Zeng
Electronics 2024, 13(14), 2882; https://doi.org/10.3390/electronics13142882 - 22 Jul 2024
Viewed by 2038
Abstract
This paper investigates the impacts of element grouping on the covert communication performance of an active reconfigurable intelligent surface (ARIS)-aided uplink non-orthogonal multiple access (NOMA) system. Through element grouping, each element of the ARIS works in either the reflecting mode to reflect the [...] Read more.
This paper investigates the impacts of element grouping on the covert communication performance of an active reconfigurable intelligent surface (ARIS)-aided uplink non-orthogonal multiple access (NOMA) system. Through element grouping, each element of the ARIS works in either the reflecting mode to reflect the information signal or the jamming mode to generate a jamming signal. Optimizing the NOMA transmit power, ARIS beamforming, and receive beamforming jointly is necessary to maximize the covert communication rate. To tackle the unsolvable covert communication rate maximization problem, we decouple the original problem into three sub-problems of optimizing the NOMA transmit power, ARIS beamforming, and receive beamforming, respectively. To tackle the mixed-integer non-linear programming for the element grouping, we introduce the arithmetic- and geometric-mean-based penalty term and apply the Dinkelbach transform to reformulate the optimization problem. Next, we propose an alternating optimization algorithm to optimize the system parameters. The numerical results demonstrate the effectiveness of the element grouping in improving the covert communication rate. However, the element grouping scheme achieves a lower covert communication rate performance compared to the scheme without element grouping, indicating that using element grouping for covert communications in the ARIS-aided uplink NOMA system is not the preferred option. Full article
Show Figures

Figure 1

14 pages, 5680 KB  
Article
Optimal Microphone Array Placement Design Using the Bayesian Optimization Method
by Yuhan Zhang, Zhibao Li and Ka Fai Cedric Yiu
Sensors 2024, 24(8), 2434; https://doi.org/10.3390/s24082434 - 10 Apr 2024
Cited by 1 | Viewed by 2719
Abstract
In addition to the filter coefficients, the location of the microphone array is a crucial factor in improving the overall performance of a beamformer. The optimal microphone array placement can considerably enhance speech quality. However, the optimization problem with microphone configuration variables is [...] Read more.
In addition to the filter coefficients, the location of the microphone array is a crucial factor in improving the overall performance of a beamformer. The optimal microphone array placement can considerably enhance speech quality. However, the optimization problem with microphone configuration variables is non-convex and highly non-linear. Heuristic algorithms that are frequently employed take a long time and have a chance of missing the optimal microphone array placement design. We extend the Bayesian optimization method to solve the microphone array configuration design problem. The proposed Bayesian optimization method does not depend on gradient and Hessian approximations and makes use of all the information available from prior evaluations. Furthermore, Gaussian process regression and acquisition functions make up the Bayesian optimization method. The objective function is given a prior probabilistic model through Gaussian process regression, which exploits this model while integrating out uncertainty. The acquisition function is adopted to decide the next placement point based upon the incumbent optimum with the posterior distribution. Numerical experiments have demonstrated that the Bayesian optimization method could find a similar or better microphone array placement compared with the hybrid descent method and computational time is significantly reduced. Our proposed method is at least four times faster than the hybrid descent method to find the optimal microphone array configuration from the numerical results. Full article
(This article belongs to the Special Issue Signal Detection and Processing of Sensor Arrays)
Show Figures

Figure 1

17 pages, 8608 KB  
Article
Optimization of 3D Passive Acoustic Mapping Image Metrics: Impact of Sensor Geometry and Beamforming Approach
by Sarah Therre, Marc Fournelle and Steffen Tretbar
Sensors 2024, 24(6), 1868; https://doi.org/10.3390/s24061868 - 14 Mar 2024
Cited by 3 | Viewed by 2122
Abstract
Three-dimensional passive acoustic mapping (PAM) with matrix arrays typically suffers from high demands on the receiving electronics and high computational load. In our study, we investigated, both numerically and experimentally, the influence of matrix array aperture size, element count, and beamforming approaches on [...] Read more.
Three-dimensional passive acoustic mapping (PAM) with matrix arrays typically suffers from high demands on the receiving electronics and high computational load. In our study, we investigated, both numerically and experimentally, the influence of matrix array aperture size, element count, and beamforming approaches on defined image metrics. With a numerical Vokurka model, matrix array acquisitions of cavitation signals were simulated. In the experimental part, two 32 × 32 matrix arrays with different pitches and aperture sizes were used. After being reconstructed into 3D cavitation maps, defined metrics were calculated for a quantitative comparison of experimental and numerical data. The numerical results showed that the enlargement of the aperture from 5 to 40 mm resulted in an improvement of the full width at half maximum (FWHM) by factors of 6 and 13 (in lateral and axial dimension, respectively). A larger array sparsity influenced the point spread function (PSF) only slightly, while the grating lobe level (GLL) remained more than 12 dB below the main lobe. These results were successfully experimentally confirmed. To further reduce the GLL caused by array sparsity, we adapted a non-linear filter from optoacoustics for use in PAM. In combination with the delay, multiply, sum, and integrate (DMSAI) algorithm, the GLL was decreased by 20 dB for 64-element reconstructions, resulting in levels that were identical to the fully populated matrix reconstruction levels. Full article
(This article belongs to the Collection Ultrasound Transducers)
Show Figures

Figure 1

27 pages, 1162 KB  
Article
Power and Frequency Band Allocation Mechanisms for WPT System with Logarithmic-Based Nonlinear Energy Harvesting Model
by Jaeseob Han, Seung-Hyun Jeon, Gyeong-Ho Lee, Sangdon Park and Jun-Kyun Choi
Sustainability 2023, 15(13), 10567; https://doi.org/10.3390/su151310567 - 5 Jul 2023
Cited by 3 | Viewed by 2189
Abstract
Wireless power transmission (WPT) is expected to play a crucial role in supporting the perpetual operations of Internet of Things (IoT) devices, thereby contributing significantly to IoT services. However, the development of efficient power allocation algorithms has remained a longstanding challenge. This paper [...] Read more.
Wireless power transmission (WPT) is expected to play a crucial role in supporting the perpetual operations of Internet of Things (IoT) devices, thereby contributing significantly to IoT services. However, the development of efficient power allocation algorithms has remained a longstanding challenge. This paper addresses the aforementioned challenge by proposing a novel strategy, called energy poverty-based device selection (EPDS), in conjunction with energy beamforming, where orthogonal frequency bands are allocated to energy harvesting IoT devices (EHIs). To solve two power allocation problems, a logarithmic-based nonlinear energy harvesting model (NEHM) is introduced. The first problem tackled is the total received power maximization (TRPM), which is initially presented and, then, solved optimally in closed-form by incorporating Karush–Kuhn–Tucker (KKT) conditions with the modified water-filling algorithm. The second problem formulated is the common received power maximization (CRPM), which takes into account energy fairness considerations. To assess the proposed algorithms and gain insights into the effects of mobility, the mobility of EHIs is modeled as a one-dimensional random walk. Extensive numerical results are provided to validate the advantages of the proposed algorithms. Both the TRPM and CRPM algorithms exhibit exceptional performance in terms of total and minimum received energy, respectively. Furthermore, in comparison to round-robin scheduling, the EPDS demonstrates superior performance in terms of minimum received energy. This paper highlights the impact of the proposed energy harvesting (EH) model, demonstrating 12.68% and 3.69% higher values than the linear model for the minimum and total received energy, respectively. Full article
(This article belongs to the Special Issue IoT and Sustainability)
Show Figures

Figure 1

15 pages, 3466 KB  
Article
A New Generation of Fast and Low-Memory Smart Digital/Geometrical Beamforming MIMO Antenna
by Kandasamy Pirapaharan, W. H. Sasinda C. Prabhashana, S. P. Pramuka Medaranga, Paul R. P. Hoole and Xavier Fernando
Electronics 2023, 12(7), 1733; https://doi.org/10.3390/electronics12071733 - 5 Apr 2023
Cited by 9 | Viewed by 3482
Abstract
Smart multiple-input multiple-output (MIMO) antennas with advanced signal processing algorithms are necessary in future wireless networks, such as 6G and beyond, for accurate space division multiplexing and beamforming. Such a MIMO antenna will yield better network coverage and tracking. This paper presents a [...] Read more.
Smart multiple-input multiple-output (MIMO) antennas with advanced signal processing algorithms are necessary in future wireless networks, such as 6G and beyond, for accurate space division multiplexing and beamforming. Such a MIMO antenna will yield better network coverage and tracking. This paper presents a smart MIMO antenna configuration with a highly innovative beamforming technique using several nonlinear configurations of dipole arrays. Phase delay factors are optimized at the transmitter to form a single beam and then to steer the beam towards a particular direction. A number of phase shifters are added in order to obtain maximum directional gain. This configuration also significantly increases the power gain of the MIMO antenna at a low cost and with operational simplicity. The paper also demonstrates how the beam width and beamsteering can be effectively controlled. Wolfram Mathematica software was used to generate the three-dimensional radiated beam patterns of the transmitter antenna. There are two approaches to configure the receiver antenna. In the first approach, the received signal magnitude is maximized by aligning the contribution of all elements of the receiver antenna to the same phase. With this approach, the field gain of the proposed system is 25.52 (14.07 dBi). The signal processing gain at the receiver is 64 (18.06 dBi). Therefore, the overall power gain for this proposed new digital/geometrical smart MIMO system is 32.13 dBi. In the second approach, the receiver beam is directed towards the transmitter by optimizing the phase delay coefficients of the receiver. Here, the overall gain of the system is found to be 134.56 (21.28 dBi). Even though the system gain in the second approach is lower, it has the advantage of low interference at the receiver side. Full article
(This article belongs to the Special Issue State-of-the-Art of Smart MIMO Antennas)
Show Figures

Figure 1

14 pages, 7768 KB  
Article
Fast Wideband Beamforming Using Convolutional Neural Network
by Xun Wu, Jie Luo, Guowei Li, Shurui Zhang and Weixing Sheng
Remote Sens. 2023, 15(3), 712; https://doi.org/10.3390/rs15030712 - 25 Jan 2023
Cited by 48 | Viewed by 4954
Abstract
With the wideband beamforming approaches, the synthetic aperture radar (SAR) could achieve high azimuth resolution and wide swath. However, the performance of conventional adaptive wideband time-domain beamforming is severely affected as the received signal snapshots are insufficient for adaptive approaches. In this paper, [...] Read more.
With the wideband beamforming approaches, the synthetic aperture radar (SAR) could achieve high azimuth resolution and wide swath. However, the performance of conventional adaptive wideband time-domain beamforming is severely affected as the received signal snapshots are insufficient for adaptive approaches. In this paper, a wideband beamformer using convolutional neural network (CNN) method, namely, frequency constraint wideband beamforming prediction network (WBPNet), is proposed to obtain a satisfactory performance in the circumstances of scanty snapshots. The proposed WBPNet successfully estimates the direction of arrival of interference with scanty snapshots and obtains the optimal weights with effectively null for the interference by utilizing the uniqueness of CNN to extract potential nonlinear features of input information. Meanwhile, the novel beamformer has an undistorted response to the wideband signal of interest. Compared with the conventional time-domain wideband beamforming algorithm, the proposed method can fast obtain adaptive weights because of using few snapshots. Moreover, the proposed WBPNet has a satisfactory performance on wideband beamforming with low computational complexity because it avoids the inverse operation of covariance matrix. Simulation results show the meliority and feasibility of the proposed approach. Full article
(This article belongs to the Special Issue Radar Techniques and Imaging Applications)
Show Figures

Figure 1

18 pages, 3914 KB  
Article
Beamforming Design for Cooperative Intelligent Reflecting Surface-Assisted mmWave Communication
by Yuyan Qian, Honggui Deng, Aimin Guo, Haoqi Xiao, Chengzuo Peng and Yinhao Zhang
Sensors 2022, 22(16), 6214; https://doi.org/10.3390/s22166214 - 18 Aug 2022
Cited by 2 | Viewed by 2675
Abstract
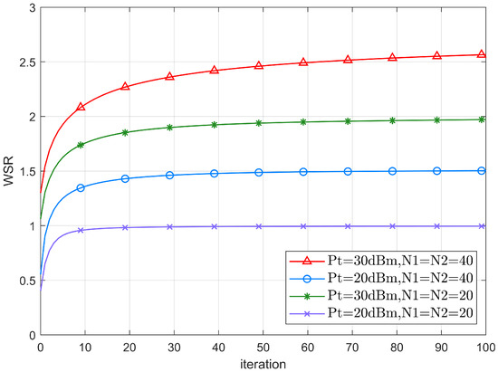
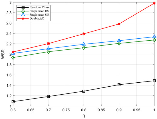
In order to investigate the effect of cooperative Intelligent Reflecting Surface (IRS) in improving spectral efficiency, this paper explores the joint design of active and passive beamforming based on a double IRS-assisted model. First, considering the maximum power constraint of the active vector [...] Read more.
In order to investigate the effect of cooperative Intelligent Reflecting Surface (IRS) in improving spectral efficiency, this paper explores the joint design of active and passive beamforming based on a double IRS-assisted model. First, considering the maximum power constraint of the active vector and the unit modulus constraint of the cooperative passive vector, we establish the non-linear and non-convex optimization problem of multi-user maximization weighted sum rate (WSR). Then, we propose an alternating optimization (AO) algorithm to design the active vector and the cooperative passive vector based on fractional programming (FP) and successive convex approximations (SCA). In addition, we conduct a study on the optimization of the passive reflection vector under discrete phase shift. The simulation results show that the proposed beamforming scheme of double IRS-assisted model performs better than the conventional single IRS-assisted model. Full article
(This article belongs to the Section Communications)
Show Figures

Figure 1

29 pages, 914 KB  
Article
Joint Beamforming, Power Allocation, and Splitting Control for SWIPT-Enabled IoT Networks with Deep Reinforcement Learning and Game Theory
by JainShing Liu, Chun-Hung Richard Lin, Yu-Chen Hu and Praveen Kumar Donta
Sensors 2022, 22(6), 2328; https://doi.org/10.3390/s22062328 - 17 Mar 2022
Cited by 26 | Viewed by 4629
Abstract
Future wireless networks promise immense increases on data rate and energy efficiency while overcoming the difficulties of charging the wireless stations or devices in the Internet of Things (IoT) with the capability of simultaneous wireless information and power transfer (SWIPT). For such networks, [...] Read more.
Future wireless networks promise immense increases on data rate and energy efficiency while overcoming the difficulties of charging the wireless stations or devices in the Internet of Things (IoT) with the capability of simultaneous wireless information and power transfer (SWIPT). For such networks, jointly optimizing beamforming, power control, and energy harvesting to enhance the communication performance from the base stations (BSs) (or access points (APs)) to the mobile nodes (MNs) served would be a real challenge. In this work, we formulate the joint optimization as a mixed integer nonlinear programming (MINLP) problem, which can be also realized as a complex multiple resource allocation (MRA) optimization problem subject to different allocation constraints. By means of deep reinforcement learning to estimate future rewards of actions based on the reported information from the users served by the networks, we introduce single-layer MRA algorithms based on deep Q-learning (DQN) and deep deterministic policy gradient (DDPG), respectively, as the basis for the downlink wireless transmissions. Moreover, by incorporating the capability of data-driven DQN technique and the strength of noncooperative game theory model, we propose a two-layer iterative approach to resolve the NP-hard MRA problem, which can further improve the communication performance in terms of data rate, energy harvesting, and power consumption. For the two-layer approach, we also introduce a pricing strategy for BSs or APs to determine their power costs on the basis of social utility maximization to control the transmit power. Finally, with the simulated environment based on realistic wireless networks, our numerical results show that the two-layer MRA algorithm proposed can achieve up to 2.3 times higher value than the single-layer counterparts which represent the data-driven deep reinforcement learning-based algorithms extended to resolve the problem, in terms of the utilities designed to reflect the trade-off among the performance metrics considered. Full article
(This article belongs to the Section Intelligent Sensors)
Show Figures

Figure 1

Back to TopTop