error_outline You can access the new MDPI.com website here. Explore and share your feedback with us.
 
 
Sign in to use this feature.

Years

Between: -

Subjects

remove_circle_outline
remove_circle_outline
remove_circle_outline
remove_circle_outline
remove_circle_outline
remove_circle_outline
remove_circle_outline

Journals

Article Types

Countries / Regions

Search Results (17)

Search Parameters:
Keywords = non-metallocenes

Order results
Result details
Results per page
Select all
Export citation of selected articles as:
15 pages, 3809 KB  
Article
Co-Polymerized P(AN-co-IA)-Derived Electrospun Nanofibers with Improved Graphitization via Dual-Metallocene Integration at Low Temperature
by Taewoo Kim, Tae Hoon Ko, Byoung-Suhk Kim, Yong-Sik Chung and Hak Yong Kim
Inorganics 2025, 13(10), 318; https://doi.org/10.3390/inorganics13100318 - 26 Sep 2025
Viewed by 724
Abstract
In this study, COOH-functionalized co-polymer of acrylonitrile and itaconic acid (P(AN-co-IA)) is synthesized via free radical copolymerization using DMSO as solvent. The continuous non-aligned carbon nanofibers (CNFs) with different amounts of metallocene (zirconocene and ferrocene) are fabricated through electrospinning, followed by a series [...] Read more.
In this study, COOH-functionalized co-polymer of acrylonitrile and itaconic acid (P(AN-co-IA)) is synthesized via free radical copolymerization using DMSO as solvent. The continuous non-aligned carbon nanofibers (CNFs) with different amounts of metallocene (zirconocene and ferrocene) are fabricated through electrospinning, followed by a series of heat treatments under an inert atmosphere. The influence of metallocenes on electrospun carbon nanofiber diameter, alignment, and structural ordering was systematically investigated using FESEM, XRD, Raman spectroscopy, and TEM. Incorporation of dual metallocenes significantly alters the fiber diameter, improves orientation, and promotes graphitic domain formation at 1100 °C, a much lower temperature than conventional graphitization. The optimized sample (Zr-Fe)1-P(AN-co-IA)-eGNF) exhibited the lowest ID/IG ratio compared to pristine and all prepared samples, indicating an improved degree of graphitization due to the uniform distribution of metallocene nanofiber matrix. Furthermore, the electrical conductivity of optimized (Zr-Fe)1-P(AN-co-IA)-eGNF reached the highest value (1654.5 S/m) due to the high degree of graphitization of carbon nanofibers. These results show that integrating dual metallocene is an efficient pathway for tailoring nanofiber morphology and achieving conductive, structurally ordered electrospun eGNFs at reduced temperatures, with potential applications in various fields. Full article
Show Figures

Graphical abstract

24 pages, 5326 KB  
Review
Advances in High-Temperature Non-Metallocene Catalysts for Polyolefin Elastomers
by Cheng Wang, Xin Li, Si Chen and Tianyu Shan
Materials 2025, 18(6), 1334; https://doi.org/10.3390/ma18061334 - 18 Mar 2025
Cited by 1 | Viewed by 2066
Abstract
Despite the great successes achieved by metallocene catalysts in high-value-added polyolefin elastomer, the challenging preparation conditions and undesirable high-temperature molecular weight capabilities have compromised the efficiency and cost of polyolefin in industrial production. Recently, non-metallocene catalysts have received considerable attention due to their [...] Read more.
Despite the great successes achieved by metallocene catalysts in high-value-added polyolefin elastomer, the challenging preparation conditions and undesirable high-temperature molecular weight capabilities have compromised the efficiency and cost of polyolefin in industrial production. Recently, non-metallocene catalysts have received considerable attention due to their high thermostability, especially when coordinated with early transition metals. This review provides an overview of these early transition metal non-metallocene catalysts, which are mainly composed of N,N′-, N,O-, and N,S-bidentate complexes and tridentate complexes. The structural characteristics, catalytic performance, advantages, and disadvantages of the relevant non-metallocene catalysts, as well as their applications, are discussed. Candidates for commercialization of non-metallocene catalysts are proposed—focusing on imine-enamine, amino-quinoline, and pyridine-imine catalysts—by comparing the successful industrialization cases of metallocene catalysts. Finally, the trend in the research on non-metallocene catalysts and the strategies to address the challenges limiting their commercialization are considered. Full article
Show Figures

Figure 1

15 pages, 5838 KB  
Article
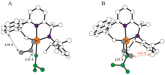
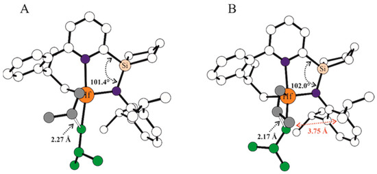
Synthesis of Amido-Quinoline-Based Hafnium and Zirconium Complexes and Their Catalytic Properties for Ethylene/1-Octene Copolymerization
by Qiqi He, Ruijun Zhang, Junhua Li, Yuexin Hu, Yong Zheng and Jianhua Qian
Polymers 2025, 17(4), 449; https://doi.org/10.3390/polym17040449 - 8 Feb 2025
Viewed by 1013
Abstract
The development of polyolefin catalysts plays a pivotal role in driving advancements within the polyolefin industry. In this study, five ligands (L1–L5) and six Hf (Hf 1-5) and Zr (Zr-1) metal complexes with amido-quinoline-based ligands were successfully synthesized by a simple and efficient [...] Read more.
The development of polyolefin catalysts plays a pivotal role in driving advancements within the polyolefin industry. In this study, five ligands (L1–L5) and six Hf (Hf 1-5) and Zr (Zr-1) metal complexes with amido-quinoline-based ligands were successfully synthesized by a simple and efficient synthetic route. The new Hf (Hf 1-5) and Zr (Zr-1) complexes exhibit high thermal stability, moderate activity, and excellent 1-octene incorporation capability. As a result, they have been successfully utilized in high-temperature solution-phase polymerization to produce polyolefin elastomers (POEs). The electron-donating effect of the ligand was identified as a crucial factor contributing to the improved catalytic performance and comonomer incorporation capability. The steric effects of substituents on the ligand have little impact on the olefin copolymerization activity, molecular weight, and comonomer incorporation capability. The Hf-1 complex demonstrates outstanding copolymerization activity and comonomer incorporation (8.3 × 106 g polymer/(mol catalyst · h), 26 wt%), offering significant potential for large-scale operations and practical applications. Full article
(This article belongs to the Section Polymer Chemistry)
Show Figures

Figure 1

20 pages, 7015 KB  
Review
Recent Advances in Propylene-Based Elastomers Polymerized by Homogeneous Catalysts
by Chengkai Li, Guoqiang Fan, Gang Zheng, Rong Gao and Li Liu
Polymers 2024, 16(19), 2717; https://doi.org/10.3390/polym16192717 - 25 Sep 2024
Cited by 3 | Viewed by 3156
Abstract
Propylene-based elastomers (PBEs) have received widespread attention and research in recent years due to their structural diversity and excellent properties, and are also an important area for leading chemical companies to compete for layout, but efficient synthesis of PBEs remains challenging. In this [...] Read more.
Propylene-based elastomers (PBEs) have received widespread attention and research in recent years due to their structural diversity and excellent properties, and are also an important area for leading chemical companies to compete for layout, but efficient synthesis of PBEs remains challenging. In this paper, we review the development of PBEs and categorize them into three types, grounded in their unique chain structures, including homopolymer propylene-based elastomers (hPBEs), random copolymer propylene-based elastomers (rPBEs), and block copolymer propylene-based elastomers (bPBEs). The successful synthesis of these diverse PBEs is largely credited to the relentless innovative advancements in homogeneous catalysts (metallocene catalysts, constrained geometry catalysts, and non-metallocene catalysts). Consequently, we summarize the catalytic performance of various homogeneous catalysts employed in PBE synthesis and delve into their effect on molecular weight, molecular weight distribution, and chain structures of the resulting PBEs. In the end, based on the current academic research and industrialization status of PBEs, an outlook on potential future research directions for PBEs is provided. Full article
(This article belongs to the Section Polymer Chemistry)
Show Figures

Figure 1

27 pages, 3599 KB  
Review
Anticancer Metallocenes and Metal Complexes of Transition Elements from Groups 4 to 7
by Irena Kostova
Molecules 2024, 29(4), 824; https://doi.org/10.3390/molecules29040824 - 11 Feb 2024
Cited by 12 | Viewed by 5246
Abstract
With the progression in the field of bioinorganic chemistry, the role of transition metal complexes as the most widely used therapeutics is becoming a more and more attractive research area. The complexes of transition metals possess a great variety of attractive pharmacological properties, [...] Read more.
With the progression in the field of bioinorganic chemistry, the role of transition metal complexes as the most widely used therapeutics is becoming a more and more attractive research area. The complexes of transition metals possess a great variety of attractive pharmacological properties, including anticancer, anti-inflammatory, antioxidant, anti-infective, etc., activities. Transition metal complexes have proven to be potential alternatives to biologically active organic compounds, especially as antitumor agents. The performance of metal coordination compounds in living systems is anticipated to differ generally from the action of non-metal-containing drugs and may offer unique diagnostic and/or therapeutic opportunities. In this review, the rapid development and application of metallocenes and metal complexes of elements from Groups 4 to 7 in cancer diagnostics and therapy have been summarized. Most of the heavy metals discussed in the current review are newly discovered metals. That is why the use of their metal-based compounds has attracted a lot of attention concerning their organometallic and coordination chemistry. All of this imposes more systematic studies on their biological activity, biocompatibility, and toxicity and presupposes further investigations. Full article
(This article belongs to the Special Issue Metal-Based Drugs: Past, Present and Future II)
Show Figures

Figure 1

19 pages, 2962 KB  
Review
Homogeneous Non-Metallocene Group 4 Metals Ligated with [N,N] Bidentate Ligand(s) for Olefin Polymerization
by Zhao Wen, Changjiang Wu, Jian Chen, Shuzhang Qu, Xinwei Li and Wei Wang
Polymers 2024, 16(3), 406; https://doi.org/10.3390/polym16030406 - 1 Feb 2024
Cited by 6 | Viewed by 3648
Abstract
The development of catalysts has significantly advanced the progress of polyolefin materials. In particular, group 4 (Ti, Zr, Hf) non-metallocene catalysts ligated with [N,N] bidentate ligand(s) have garnered increasing attention in the field of olefin polymerization due to their structurally stability and exceptional [...] Read more.
The development of catalysts has significantly advanced the progress of polyolefin materials. In particular, group 4 (Ti, Zr, Hf) non-metallocene catalysts ligated with [N,N] bidentate ligand(s) have garnered increasing attention in the field of olefin polymerization due to their structurally stability and exceptional polymerization behaviors. Ligands containing nitrogen donors are diverse and at the core of many highly active catalysts. They mainly include amidine, guanidinato, diamine, and various N-heterocyclic ligands, which can be used to obtain a series of new polyolefin materials, such as ultrahigh molecular weight polyethylene (UHWMPE), olefin copolymers (ethylene/norbornene and ethylene/α-olefin) with high incorporations, and high isotactic or syndiotactic polypropylene after coordination with group 4 metals and activation by cocatalysts. Herein, we focus on the advancements and applications of this field over the past two decades, and introduce the catalyst precursors with [N,N] ligand(s), involving the effects of ligand structure, cocatalyst selection, and polymerization conditions on the catalytic activity and polymer properties. Full article
(This article belongs to the Section Polymer Chemistry)
Show Figures

Figure 1

13 pages, 3297 KB  
Article
A Computational Evaluation of the Steric and Electronic Contributions in Stereoselective Olefin Polymerization with Pyridylamido-Type Catalysts
by Olga D’Anania, Claudio De Rosa and Giovanni Talarico
Molecules 2023, 28(9), 3768; https://doi.org/10.3390/molecules28093768 - 27 Apr 2023
Cited by 9 | Viewed by 3228
Abstract
A density functional theory (DFT) study combined with the steric maps of buried volume (%VBur) as molecular descriptors and an energy decomposition analysis through the ASM (activation strain model)–NEDA (natural energy decomposition analysis) approach were applied to investigate the origins [...] Read more.
A density functional theory (DFT) study combined with the steric maps of buried volume (%VBur) as molecular descriptors and an energy decomposition analysis through the ASM (activation strain model)–NEDA (natural energy decomposition analysis) approach were applied to investigate the origins of stereoselectivity for propene polymerization promoted by pyridylamido-type nonmetallocene systems. The relationships between the fine tuning of the ligand and the propene stereoregularity were rationalized (e.g., the metallacycle size, chemical nature of the bridge, and substituents at the ortho-position on the aniline moieties). The DFT calculations and %VBur steric maps reproduced the experimental trend: substituents on the bridge and on the ortho-positions of aniline fragments enhance the stereoselectivity. The ASM–NEDA analysis enabled the separation of the steric and electronic effects and revealed how subtle ligand modification may affect the stereoselectivity of the process. Full article
(This article belongs to the Section Inorganic Chemistry)
Show Figures

Figure 1

18 pages, 5794 KB  
Article
Mechanical Properties of Metallocene Linear Low-Density Polyethylene Mulch Films Correlate with Ultraviolet Irradiation and Film Thickness
by Kai Guo, Mingzhu Cao, Fengwei Gu, Feng Wu, Hongguang Yang, Hongbo Xu and Zhichao Hu
Sustainability 2023, 15(8), 6713; https://doi.org/10.3390/su15086713 - 15 Apr 2023
Cited by 10 | Viewed by 3471
Abstract
Mulching technology has created a major problem of agricultural plastic pollution. This is because the mulch is severely degraded by UV (ultraviolet) irradiation and the mechanical properties deteriorate, which makes mechanical recycling or manual recycling difficult. This study was conducted on m-LLDPE (metallocene [...] Read more.
Mulching technology has created a major problem of agricultural plastic pollution. This is because the mulch is severely degraded by UV (ultraviolet) irradiation and the mechanical properties deteriorate, which makes mechanical recycling or manual recycling difficult. This study was conducted on m-LLDPE (metallocene linear low-density polyethylene) mulch films. The difference in mechanical properties of specimens in the TD (transverse direction) and PD (parallel direction) was investigated, and the changes in the mechanical properties after UV irradiation were compared. Finally, an initial mulch mechanical property evaluation model was developed to adapt to different recovery machines and crop agronomic requirements. The results suggest that the mechanical properties of m-LLDPE mulch films were strongly influenced by the film thickness, and also showed directional differences in tensile and tear properties. After UV irradiation, the mechanical properties of the specimens were enhanced after a short period of time, but the overall trend was a non-linear decay which gradually slowed down with time. Full article
Show Figures

Figure 1

16 pages, 2397 KB  
Article
Influence of Ethylene-1-Alkene Copolymers Microstructure on Thermo-Rheological Behavior of Model Blends for Enhanced Recycling
by Girish Galgali, Senthil Kumar Kaliappan and Tej Pandit
Macromol 2022, 2(2), 168-183; https://doi.org/10.3390/macromol2020011 - 24 Apr 2022
Cited by 3 | Viewed by 3662
Abstract
Polyethylenes (PE) are the most commonly occurring ingredients for post-consumer recyclates (PCR). The structure–property relationships of different types of model PE-based blends are established using multiple thermo-rheological analyses. Although considered “simple”, the complex behavior of model PE-based blends is experimentally demonstrated [...] Read more.
Polyethylenes (PE) are the most commonly occurring ingredients for post-consumer recyclates (PCR). The structure–property relationships of different types of model PE-based blends are established using multiple thermo-rheological analyses. Although considered “simple”, the complex behavior of model PE-based blends is experimentally demonstrated for the first time for metallocene-catalyzed, linear, low-density polyethylenes (mLLDPE) with different microstructures that are commonly encountered in PCR. During non-isothermal crystallization, the microstructure of mLLDPE predominantly influences the interaction between mLLDPE and LDPE. Based on the mLLDPE microstructure, the molten LDPE phase acts either as a nucleating agent or as a crystallization rate promoting agent. Both rheological and thermal analyses show that higher activation energy is required for the reptation or movement of polymer chains in a highly branched microstructure with long chain branching (LCB) compared to a linear microstructure with short chain branching (SCB). The quasi-melt response, as measured by thermal analysis under non-isothermal conditions, is distinctly different and sensitive to both the SCB and LCB present in the LLDPE/LDPE blends. Full article
Show Figures

Graphical abstract

15 pages, 1759 KB  
Article
Mass Spectrometric Evaluation of β-Cyclodextrins as Potential Hosts for Titanocene Dichloride
by Pia S. Bruni and Stefan Schürch
Int. J. Mol. Sci. 2021, 22(18), 9789; https://doi.org/10.3390/ijms22189789 - 10 Sep 2021
Cited by 2 | Viewed by 3076
Abstract
Bent metallocene dichlorides (Cp2MCl2, M = Ti, Mo, Nb, …) have found interest as anti-cancer drugs in order to overcome the drawbacks associated with platinum-based therapeutics. However, they suffer from poor hydrolytic stability at physiological pH. A promising approach [...] Read more.
Bent metallocene dichlorides (Cp2MCl2, M = Ti, Mo, Nb, …) have found interest as anti-cancer drugs in order to overcome the drawbacks associated with platinum-based therapeutics. However, they suffer from poor hydrolytic stability at physiological pH. A promising approach to improve their hydrolytic stability is the formation of host-guest complexes with macrocyclic structures, such as cyclodextrins. In this work, we utilized nanoelectrospray ionization tandem mass spectrometry to probe the interaction of titanocene dichloride with β-cyclodextrin. Unlike the non-covalent binding of phenylalanine and oxaliplatin to β-cyclodextrin, the mixture of titanocene and β-cyclodextrin led to signals assigned as [βCD + Cp2Ti–H]+, indicating a covalent character of the interaction. This finding is supported by titanated cyclodextrin fragment ions occurring from collisional activation. Employing di- and trimethylated β-cyclodextrins as hosts enabled the elucidation of the influence of the cyclodextrin hydroxy groups on the interaction with guest structures. Masking of the hydroxy groups was found to impair the covalent interaction and enabling the encapsulation of the guest structure within the hydrophobic cavity of the cyclodextrin. Findings are further supported by breakdown curves obtained by gas-phase dissociation of the various complexes. Full article
Show Figures

Figure 1

18 pages, 3029 KB  
Article
C–H Bond Activation of Silyl-Substituted Pyridines with Bis(Phenolate)Yttrium Catalysts as a Facile Tool towards Hydroxyl-Terminated Michael-Type Polymers
by Thomas M. Pehl, Moritz Kränzlein, Friederike Adams, Andreas Schaffer and Bernhard Rieger
Catalysts 2020, 10(4), 448; https://doi.org/10.3390/catal10040448 - 22 Apr 2020
Cited by 7 | Viewed by 4609
Abstract
Herein, silicon-protected, ortho-methylated hydroxy-pyridines were reported as initiators in 2-aminoalkoxy-bis(phenolate)yttrium complexes for rare earth metal-mediated group-transfer polymerization (REM-GTP) of Michael-type monomers. To introduce these initiators, C−H bond activation was performed by reacting [(ONOO)tBuY(X)(thf)] (X = CH2TMS, thf [...] Read more.
Herein, silicon-protected, ortho-methylated hydroxy-pyridines were reported as initiators in 2-aminoalkoxy-bis(phenolate)yttrium complexes for rare earth metal-mediated group-transfer polymerization (REM-GTP) of Michael-type monomers. To introduce these initiators, C−H bond activation was performed by reacting [(ONOO)tBuY(X)(thf)] (X = CH2TMS, thf = tetrahydrofuran) with tert-butyl-dimethyl-silyl-functionalized α-methylpyridine to obtain the complex [(ONOOtBuY(X)(thf)] (X = 4-(4′-(((tert-butyldimethylsilyl)oxy)methyl)phenyl)-2,6-di-methylpyridine). These initiators served as functional end-groups in polymers produced via REM-GTP. In this contribution, homopolymers of 2-vinylpyridine (2VP) and diethyl vinyl phosphonate (DEVP) were produced. Activity studies and end-group analysis via mass spectrometry, size-exclusion chromatography (SEC) and NMR spectroscopy were performed to reveal the initiator efficiency, the catalyst activity towards both monomers as well as the initiation mechanism of this initiator in contrast to commonly used alkyl initiators. In addition, 2D NMR studies were used to further confirm the end-group integrity of the polymers. For all polymers, different deprotection routes were evaluated to obtain hydroxyl-terminated poly(2-vinylpyridine) (P2VP) and poly(diethyl vinyl phosphonate) (PDEVP). Such hydroxyl groups bear the potential to act as anchoring points for small bioactive molecules, for post-polymerization functionalization or as macroinitiators for further polymerizations. Full article
(This article belongs to the Special Issue Catalysts for C–H Activation and Functionalisation)
Show Figures

Figure 1

13 pages, 1471 KB  
Article
Methylene-Bridged Tridentate Salicylaldiminato Binuclear Titanium Complexes as Copolymerization Catalysts for the Preparation of LLDPE through [Fe]/[Ti] Tandem Catalysis
by Yani Luo, Jian Li, Derong Luo, Qingliang You, Zifeng Yang, Tingcheng Li, Xiandan Li and Guangyong Xie
Polymers 2019, 11(7), 1114; https://doi.org/10.3390/polym11071114 - 1 Jul 2019
Cited by 15 | Viewed by 4253
Abstract
A novel tandem catalysis system consisted of salicylaldiminato binuclear/mononuclear titanium and 2,6-bis(imino)pyridyl iron complexes was developed to catalyze ethylene in-situ copolymerization. Linear low-density polyethylene (LLDPE) with varying molecular weight and branching degree was successfully prepared with ethylene as the sole monomer feed. The [...] Read more.
A novel tandem catalysis system consisted of salicylaldiminato binuclear/mononuclear titanium and 2,6-bis(imino)pyridyl iron complexes was developed to catalyze ethylene in-situ copolymerization. Linear low-density polyethylene (LLDPE) with varying molecular weight and branching degree was successfully prepared with ethylene as the sole monomer feed. The polymerization conditions, including the reaction temperature, the Fi/Ti molar ratio, and the structures of bi- or mononuclear Ti complexes were found to greatly influence the catalytic performances and the properties of obtained polymers. The polymers were characterized by differential scanning calorimetry (DSC), high temperature gel permeation chromatography (GPC) and high temperature 13C NMR spectroscopy, and found to contain ethyl, butyl, as well as some longer branches. The binuclear titanium complexes demonstrated excellent catalytic activity (up to 8.95 × 106 g/molTi·h·atm) and showed a strong positive comonomer effect when combined with the bisiminopyridyl Fe complex. The branching degree can be tuned from 2.53 to 22.89/1000C by changing the reaction conditions or using different copolymerization pre-catalysts. The melting points, crystallinity and molecular weights of the products can also be modified accordingly. The binuclear complex Ti2L1 with methylthio sidearm showed higher capability for comonomer incorporation and produced polymers with higher branching degree and much higher molecular weight compared with the mononuclear analogue. Full article
(This article belongs to the Special Issue Catalytic Olefin Polymerisation and Polyolefins)
Show Figures

Graphical abstract

17 pages, 17993 KB  
Article
Porous Organic Polymers-Supported Metallocene Catalysts for Ethylene/1-Hexene Copolymerization
by Xiong Wang, Xiaoyu Han, Feng Ren, Renwei Xu and Yongxiao Bai
Catalysts 2018, 8(4), 146; https://doi.org/10.3390/catal8040146 - 4 Apr 2018
Cited by 24 | Viewed by 6368
Abstract
Porous organic polymers (POPs) have received much attention in adsorption, separation, and catalysis. In this paper, porous organic polymers with different pore structure were used as metallocene catalyst supports, and ethylene/1-hexene copolymerizations were conducted using the POPs-supported metallocene catalyst. The pore structure of [...] Read more.
Porous organic polymers (POPs) have received much attention in adsorption, separation, and catalysis. In this paper, porous organic polymers with different pore structure were used as metallocene catalyst supports, and ethylene/1-hexene copolymerizations were conducted using the POPs-supported metallocene catalyst. The pore structure of the prepared POPs and the supported metallocene catalyst were characterized by nitrogen sorption porosimetry and non-local density functional theory simulation, and the molecular chain structure of the produced ethylene/1-hexene copolymers were investigated through gel permeation chromatography (GPC), IR analysis, differential scanning calorimetry (DSC), and temperature rising elution fractionation (TREF). The results show that the loading amount of active sites varied with different pore structures of the POP supports, and the active species scattered in different pore sizes had a moderate impact on the molecular chain growth and the molecular weight distribution. The IR, DSC, and TREF analysis revealedthat different branching degree, double bond content, and chemical composition distributions were detected from the molecular chain structure of the ethylene/α-olefin copolymers from different POPs and silica-supported metallocene catalysts, despite their similar IR, DSC, and TREF curves due to the same active species. Scanning electron microscopy (SEM) showed that porous ethylene/α-olefin copolymers with varied surface morphology were obtained from the POPs-supported metallocene catalysts with different pore structure. Full article
Show Figures

Figure 1

11 pages, 2098 KB  
Article
Cis-1,4-Polymerization of Isoprene by 1,3-Bis(oxazolinymethylidene)isoindoline-Ligated Rare-Earth Metal Dialkyl Complexes
by Chao Yu, Dahai Zhou, Xiangqian Yan, Fei Gao, Li Zhang, Shaowen Zhang and Xiaofang Li
Polymers 2017, 9(10), 531; https://doi.org/10.3390/polym9100531 - 20 Oct 2017
Cited by 18 | Viewed by 6310
Abstract
A series of novel chiral nonmetallocene pincer-type rare-earth metal dialkyl complexes bearing the chiral monoanionic tridentate C2-symmetric 1,3-bis(oxazolinymethylidene)isoindoline (BOXMI-H) ligand (BOXMI)Ln(CH2SiMe3)2 1–3 (1: Ln = Sc, yield = 57%; 2: Ln = Lu, yield = 55%; [...] Read more.
A series of novel chiral nonmetallocene pincer-type rare-earth metal dialkyl complexes bearing the chiral monoanionic tridentate C2-symmetric 1,3-bis(oxazolinymethylidene)isoindoline (BOXMI-H) ligand (BOXMI)Ln(CH2SiMe3)2 1–3 (1: Ln = Sc, yield = 57%; 2: Ln = Lu, yield = 55%; 3: Ln = Y, yield = 62%) have been prepared in moderate yields via the acid-base reaction between the BOXMI ligand and rare-earth metal tri(trimethylsilylmethyl) complexes. The X-ray diffractions show that both of the complexes 1 and 2 contain one BOXMI ligand and two trimethylsilylmethyl ligands, adopting a distorted trigonal bipyramidal configuration. In the presence of a cocatalyst such as borate and AlR3, these complexes 1–3 exhibit high activities of up to 6.8 × 104 (g of polymer)/(molLn h) and high cis-1,4 selectivities of up to 97% in the polymerization of isoprene in toluene, yielding the cis-1,4-polyisoprenes with heavy molecular weights (Mn of up to 710,000 g/mol) and bimodal molecular weight distributions (Mw/Mn = 2.0–4.5). Full article
(This article belongs to the Special Issue Olefin Polymerization and Polyolefin)
Show Figures

Figure 1

11 pages, 2200 KB  
Article
Facile, Efficient Copolymerization of Ethylene with Norbornene-Containing Dienes Promoted by Single Site Non-Metallocene Oxovanadium(V) Catalytic System
by Kaiti Wang, Jiabao Wang, Yanguo Li, Li Pan and Yuesheng Li
Polymers 2017, 9(8), 353; https://doi.org/10.3390/polym9080353 - 11 Aug 2017
Cited by 12 | Viewed by 6874
Abstract
Non-metallocene oxovanadium(V) complexes bearing either [ONNO]-type amine pyridine bis(phenolate) ligands or [ONN]-type amine pyridine phenolate ligands were employed as efficient catalysts to copolymerize ethylene with several unsymmetrical norbornene-containing dienes, such as 5-vinyl-2-norbornene (VNB), 5-ethylidene-2-norbornene (ENB) or dicyclopentadiene (DCPD), producing copolymers with high comonomer [...] Read more.
Non-metallocene oxovanadium(V) complexes bearing either [ONNO]-type amine pyridine bis(phenolate) ligands or [ONN]-type amine pyridine phenolate ligands were employed as efficient catalysts to copolymerize ethylene with several unsymmetrical norbornene-containing dienes, such as 5-vinyl-2-norbornene (VNB), 5-ethylidene-2-norbornene (ENB) or dicyclopentadiene (DCPD), producing copolymers with high comonomer incorporations (VNB: 33.0 mol %; ENB: 30.4 mol %; DCPD: 31.6 mol %, respectively) and high molecular weight (VNB: 86.4 kDa; ENB: 256 kDa; DCPD: 86.4 kDa, respectively). The enchainment of the dienes was proven to be exclusive of vinyl-addition via the C=C double bond of the norbornene ring while the other double bond was retained near the backbone without crosslinking. During the copolymerization of ethylene with ENB, a positive ‘comonomer effect’ was observed. The catalytic activities of the catalysts as well as the molecular weights and comonomer incorporations of the resultant copolymers could be tuned within a wide range by varying the structures of the catalysts and copolymerization conditions. The [ONN]-type oxovanadium(V) complexes showed higher catalytic activities than those of [ONNO]-type oxovanadium(V) complexes, irrespective of the structure of the dienes. In addition, the dominant chain transfer pathway of the non-metallocene oxovanadium(V) catalytic system promoted copolymerization was proven to be transfer to aluminum compounds. Full article
(This article belongs to the Special Issue Olefin Polymerization and Polyolefin)
Show Figures

Graphical abstract

Back to TopTop