Abstract
Despite the great successes achieved by metallocene catalysts in high-value-added polyolefin elastomer, the challenging preparation conditions and undesirable high-temperature molecular weight capabilities have compromised the efficiency and cost of polyolefin in industrial production. Recently, non-metallocene catalysts have received considerable attention due to their high thermostability, especially when coordinated with early transition metals. This review provides an overview of these early transition metal non-metallocene catalysts, which are mainly composed of N,N′-, N,O-, and N,S-bidentate complexes and tridentate complexes. The structural characteristics, catalytic performance, advantages, and disadvantages of the relevant non-metallocene catalysts, as well as their applications, are discussed. Candidates for commercialization of non-metallocene catalysts are proposed—focusing on imine-enamine, amino-quinoline, and pyridine-imine catalysts—by comparing the successful industrialization cases of metallocene catalysts. Finally, the trend in the research on non-metallocene catalysts and the strategies to address the challenges limiting their commercialization are considered.
1. Introduction
Polyolefin elastomers (POEs), an important subset of polyolefin materials, have attracted substantial interest due to the synergistic integration of mechanical robustness, fracture resistance, optical clarity, and thermal endurance [1,2,3]. These materials are structurally characterized by a biphasic architecture that includes crystalline polyethylene “hard” segments and amorphous α-olefin copolymer “soft” domains, which establish reversible physical crosslinking networks essential for elastic recovery. Due to these performance advantages, POEs have a wide range of applications in the automotive industry, energy storage systems, and advanced packaging technologies [4,5,6,7,8]. In industrial applications, POEs are mainly synthesized through solution polymerization, which offers significant advantages in mass and heat transfer [9,10,11,12,13,14,15,16]. However, the high-temperature requirements of industrial production (typically exceeding 120 °C) tend to cause catalyst deactivation [17,18,19]. This limitation underscores the critical necessity of developing thermally stable polyolefin catalysts.
Over the past half-century, the evolution of polymerization catalysts for POEs—progressing from Ziegler–Natta (Z-N) catalysts to metallocene catalysts and subsequently non-metallocene systems—has evolved into a research focus (Figure 1) [20,21,22]. Nevertheless, after seven decades of development, Z-N catalysts have become progressively inadequate for modern high-performance polyolefin production due to their inherent multisite characteristics [23]. A paradigm shift occurred in 1980 when Kaminsky and Sinn revolutionized polyolefin catalysis by integrating methylaluminoxane (MAO) with dichlorodicyclopentadienyl zirconium (Cp2ZrCl2), thereby marking the advent of second-generation metallocene catalysts [24]. These single-site catalytic systems demonstrate superior activity, expanded monomer compatibility, and precise stereochemical control, enabling the synthesis of copolymers with narrow molecular weight distributions and uniform comonomer incorporation [25,26,27,28,29,30]. Notably, constrained geometry catalysts (CGCs), co-developed by Exxon and Dow Chemical, achieve exceptional activity exceeding 108 g(polymer)·mol−1·h−1 under optimized conditions [31,32]. Furthermore, the tunable steric hindrance and electronic effects of metallocene catalysts further permit precise modulation of polyolefin architectures. Despite these advancements, its industrial applications still remain constrained by thermally induced molecular weight depression at elevated temperatures [33,34,35,36].
Figure 1.
Typical structures of the three types of catalysts and their characteristics.
Following metallocene catalysts, polyolefin catalysts without cyclopentadienyl (Cp) are referred to as non-metallocene catalysts and feature heteroatom ligands coordinated with transition metals [37,38,39,40]. These catalysts maintain the fundamental merits of metallocene catalysts—including single-site characteristics and broad monomer adaptability—with generous ligand synthesis requirements [41,42,43,44,45]. These catalysts could be categorized into early and late transition metal catalysts based on their central metal. Notably, late transition metal non-metallocene catalysts exhibit poor thermal stability (below 120 °C) and are primarily utilized for ethylene copolymerization with polar monomers [46,47,48,49,50]. In contrast, the coordination of non-metallocene compounds with Group IVB metals facilitates covalent bond formation, significantly enhancing thermal stability and rendering them suitable for high-temperature solution polymerization. This review focuses on early transition metal non-metallocene catalysts for high-temperature solution polymerization, examining the recent advances in olefin polymerization according to the number of coordinating atoms in catalysts. Then, we provide perspectives on possible research directions for early transition metal non-metallocene catalysts.
2. N,N-Bidentate Ligands
The N,N-dentate ligand is one of the most common non-metallocene ligands derived from diamine catalysts [51]. The diimine catalysts exhibited a “chain-walking” growth mechanism, resulting in highly branched polymers. Furthermore, the β-H elimination rate at the metal center was dramatically influenced by the steric shielding effect in the axial space, which could be utilized to prepare ethylene-based polyolefin elastomers (EPOEs) [52,53,54,55,56,57]. These ligands mainly coordinated with late transition metals for copolymerization of ethylene and polar α-olefins, which have been reviewed [46,47,48,49]. To further enhance the thermal stability, ligands including imino-amido, imino-enamido, and amido-quinoline ligands were derived by structural design, which can be further coordinated with an early transition metal for high-temperature polymerization.
2.1. Imino-amido Ligands
Based on diimine structures, Dow have developed a new family of polyolefin catalysts [58]. They found that alkyl transfer occurred between diimine ligands and transition metal alkyl precursors. Under high polymerization temperature, thermal decomposition with benzyl elimination occurred, forming an ene-diamine structure instead of a second benzyl transfer (Figure 2a). Since the imine-amino Hf complexes exhibit stronger catalytic activity for ethylene and 1-octene copolymerization compared to the ene-diamine Hf complexes, this high-temperature conformational transformation compromises their thermal stability. As a result, it demonstrated the moderate activity of 6.6 × 105 g(PE)·mol−1·h−1 at 120 °C. Furthermore, the corresponding Zr complexes, which are more prone to ene-diamine conversion, exhibited poorer thermostability and could not be applied at 120 °C.
Figure 2.
(a) Thermal decomposition procedure of the symmetric imine-amino catalyst [58]; (b) synthesis route of the asymmetric imine-amino ligand [59]; (c) modified synthesis route of the asymmetric imine-amino ligand for scale-up production [60]. Reprinted with permission of American chemical society publication, copyright (2025).
Subsequently, Froese et al. developed asymmetric imine-amino ligands for POEs (Figure 2b) [59]. The Hf complex demonstrated high copolymerization ability of 1.4 × 108 g(polymer)·mol−1·h−1 at 120 °C, with a tendency to increase molecular weight rather than inserting 1-octene. These asymmetric complexes underwent methyl rearrangement at 80.4 °C, resulting in a great reduction in catalytic activity. To further explore the potential of Hf complexes for large-scale production, two methylation methods were proposed by Dow: one involves first synthesizing the MMe4 intermediates, which are then immediately coordinated with the ligand; the other directly coordinates with MCl4 and subsequently methylates using Grignard reagents (MeMgBr, MeMgI) (Figure 2c) [60]. The first method requires quick reaction at low temperatures due to the instability of the MMe4 intermediates, which can slowly release methane even at −15 °C. In contrast, the second one involves first preparing a stable -Cl complex followed by methylation, avoiding the low-temperature reaction and facilitating the scale-up production with an overall yield of 77%.
2.2. Imino-enamido Ligand
To prevent the high-temperature isomerization of imine-amino complexes and further enhance their high-temperature polymerization performance, Dow synthesized diimines by condensing 1,2-cyclohexanedione [61]. However, the resulting product was an imino-enamine rather than the expected diimine (Figure 3a). Through computational studies, it was revealed that five- and six-membered rings are more stable in the imino-enamine form, whereas four-, seven-, and eight-membered rings tend to form diimines. To validate the catalytic performance, a benzyl Hf complex of the six-membered-ring imino-enamine ligand was synthesized (Figure 3b). The Hf catalyst demonstrated excellent catalytic properties with a high activity of 2.7 × 107 g(polymer)·mol−1·h−1, a moderate insertion rate of 5.4 mol%, and a high molecular weight of 106 g·mol−1.
Figure 3.
Synthesis routes of (a) the imino-enamines ligand, (b) Hf complex, (c) asymmetric type Hf complex, (d) asymmetric type complex [61]. Reprinted with permission of American chemical society publication, copyright (2025).
Building upon the superiority of asymmetric imine-amino ligands over their symmetric counterparts, the Dow team subsequently synthesized asymmetric imino-enamine ligands. However, the resulting product was the less effective isomer b rather than the anticipated isomer a (Figure 3c). Then, shortening the alkyl chain length was found to lower the energy barrier between the two isomers. For example, using a butyl chain facilitated the formation of the a-type complexes and the improvement of thermostability (Figure 3d). The a-type Hf complex exhibited exceptional catalytic performance at 120 °C, with a catalytic activity of 1.2 × 108 g(polymer)·mol−1·h−1 and a 1-octene insertion rate of 8.7 mol%. Moreover, the catalysts retained both high activity and molecular weight even at 150 °C, a performance level beyond that of CGCs. This groundbreaking discovery makes this a-type Hf complex one of the most significant advancements in polyolefin catalysts since CGCs.
For large-scale production, alternative approaches to replace the expensive HfBn3 above have also been proposed (Figure 4) [62]. In a similar manner to the methylation of imine-amino-Hf complexes, imino-enamine ligands can react with HfCl4 and MeMgBr to yield the corresponding HfMe3 complexes, with a comparable copolymerization efficiency to HfBn3. Then, Klosin et al. further explored related derivatizations by using different heteroatom-containing ligands, and only NPtBu3 showed improved performance for both catalytic activity and molecular weight by sacrificing the insertion rate [63]. Other analogues with modifications to the enamine skeleton, such as electronically delocalized aminotroponiminato Hf and Zr complexes, failed to deliver satisfactory results [64]. Compared to imine-amino complexes, imino-enamine complexes demonstrate comprehensive improvements in thermostability, catalytic activity, molecular weight, and insertion rates, making them highly valuable for producing POEs.
Figure 4.
Synthesis route of the imino-enamine Hf complex for scale-up production [62]. Reprinted with permission of American chemical society publication, copyright (2025).
2.3. Amido-quinoline Ligand
Although imino-enamine ligands present enhanced thermal stability, their rearrangements under acidic conditions remain unavoidable. This presents challenges in both POE preparation and storage, ultimately limiting their commercial viability. To address this issue, a new amido-quinoline catalyst was synthesized in a single step via Pd-catalyzed coupling of 8-bromoquinoline and aniline compounds (Figure 5) [65]. Due to the poor solubility of quinoline derivations in aliphatic hydrocarbons, complexes with amido-quinoline ligands can easily crystallize in toluene/hexane mixtures, thus simplifying the purification. Then, the catalytic performance of quinoline-amino Hf complexes and the substituent effects was carefully investigated. For substituents on the ortho-position of the aniline group, the activity was confirmed by Me > iPr > H. In the absence of ortho-substituents, the metal center becomes more susceptible to attack, leading to β-H elimination or chain transfer. Additionally, the ortho-hydrogen atom on the quinoline nitrogen is abstracted, causing chain transfers and multicenter characteristics (polymer dispersity index (PDI) > 3, when R = H). Conversely, introducing a methyl group at this position narrows the molecular weight distribution without significantly affecting catalytic performance. Compared to the previously discussed imine-amino and imino-enamine complexes, quinoline-amino Hf complexes exhibit comparable activity, insertion rates, and molecular weight (Table 1) and superiority in terms of stability and preparation.
Figure 5.
Synthesis routes of the amido-quinoline Hf complexes [65]. Reprinted with permission of American chemical society publication, copyright (2025).
Table 1.
Copolymerization data of ethylene/1-octene polyolefin elastomers at 120 °C a.
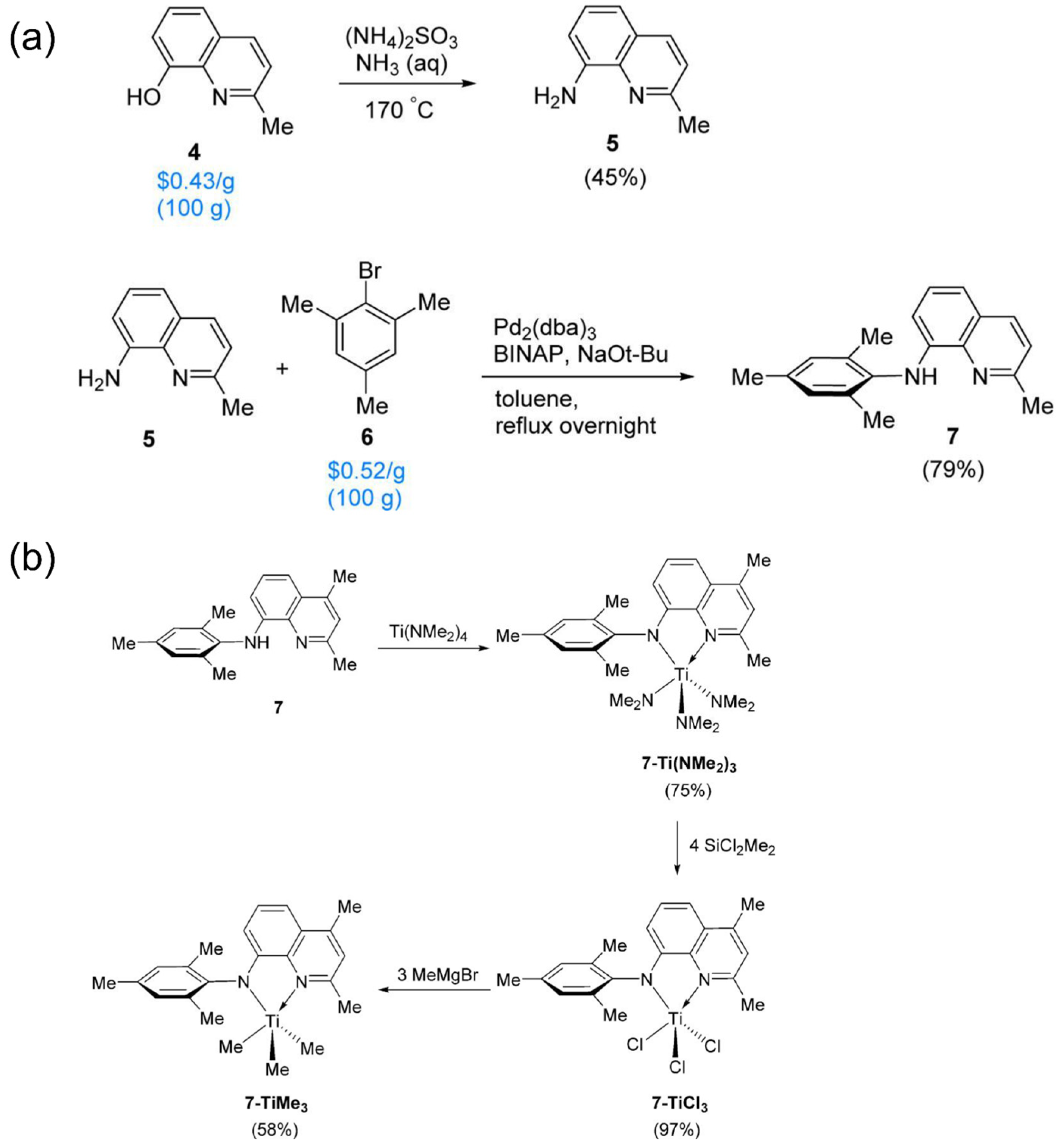
Building on the above successful discovery, Fontaine et al. further optimized the synthesis route of the quinoline-amino Hf complexes to facilitate the real applications [67]. They developed a high-efficiency method to avoid the use of expensive starting material, in which readily available 8-hydroxyquinoline was converted into 8-aminoquinoline, then coupled with 2-bromomesitylene (Figure 6a). And the corresponding Zr and Hf methyl derivatives were successfully synthesized using the same methylation method. For Ti methyl derivatives, the authors also provided an alternative synthetic route (Figure 6b), since TiCl4 was sensitive to active hydrogens. By copolymerization experiments of ethylene/1-octene POEs at 140 °C, the Hf complexes were determined to be superior.
Figure 6.
(a) High-efficiency synthesis route of the amido-quinoline ligand; (b) synthetic route of the related Ti catalyst [67]. Reprinted with permission of American chemical society publication, copyright (2025).
Subsequently, Han et al. recently synthesized and studied complexes bearing amido-trihydroquinoline ligands [68]. Although the reduced ring rigidity in amido-trihydroquinoline ligands slightly compromised the thermal stability, it led to a great improvement in 1-octene insertion rates, reaching up to 43.5 mol%. Notably, Zhang et al. designed a quinoline-imine that further simplified the synthesis by avoiding the use of expensive Pd complexes, thereby reducing the costs (Figure 7a) [69]. And when this ligand was complexed by the classical methylation method, the resulting product exhibited an amido-quinoline structure, as confirmed by single-crystal diffraction experiments (Figure 7b). The new amido-quinoline complex avoids ortho effects on the quinoline nitrogen, rendering copolymers with narrow molecular weight distributions. Consequently, the substituent effect on the aniline ortho-position became more significant. In terms of activity, copolymer molecular weight, and 1-octene insertion rates, iPr consistently outperformed Me, highlighting the steric effect. While substituents in the para-position had minimal impact, Me showed slightly better performance than H, possibly due to its electron-donating inductive effect. In all cases, the Hf complexes exhibited superior performance to the Zr complexes. Specifically, the quinoline-amino Hf complex demonstrated outstanding catalytic properties at 120 °C, with a high activity of 7.8 × 107 g(polymer)·mol−1·h−1 and a remarkable 1-octene insertion rate of 49.6 mol%. These features make the quinoline-amino Hf complex particularly promising for the industrial-scale production of POEs. Furthermore, recent studies focused on tridentate ligands based on a quinoline-amino unit, representing another promising avenue. A related detailed summary will be presented in Section 4.
Figure 7.
(a) Simplified synthesis route of the amido-quinoline complex (the star represents methyl transfer position); (b) crystal structure of the Hf catalyst [69]. Reprinted with permission of American chemical society publication, copyright (2025).
3. N,O and N,S-Bidentate Ligands
N,O/S-Bidentate ligands, which mainly consist of phenoxy-imine or imine-ether, generally demonstrate relatively low activity compared to the N,N-bidentate counterparts. Only limited systems achieve promising performance. Originally, the phenoxy-imine ligands were coordinated with late transition metals, as reported by Grubbs [70]. Leveraging the oxygen tolerance of late transition metals, this system enabled the copolymerization of ethylene with polar monomers. Subsequently, Fujita and Coates independently combined two phenoxy-imine ligands with early transition metals of Zr and Ti to catalyze polyethylene and ethylene–propylene copolymers, known as FI catalysts [71,72]. Though FI catalysts present comparable catalytic activities to metallocene catalysts, their thermal stability is typically poor. Specifically, these FI catalysts are usually applied at 25 °C, and are quickly deactivated at temperatures exceeding 50 °C. To improve the thermal stability of FI catalysts, one of the most important approaches involves the preparation of bridged bis-phenoxy-imine complexes. For example, FI2ZrCl2, featuring a hexamethylene bridge, exhibited a high activity of 1.43 × 108 g(polymer)·mol−1·h−1 at 150 °C (Figure 8a) [73]. Related symmetrical bridged structures were first proposed by the Symyx Corporation, in which diphenols were bridged with methylene or other alkane chains to form a tetradentate ligand structure, featuring four oxygen coordination sites (O4) (Figure 8b) [74]. These complexes demonstrated excellent high-temperature activity, high molecular weight capability, and considerable comonomer insertion rates. Nevertheless, the above bridged structures are limited by complex synthesis.
Figure 8.
The chemical structures of (a) hexamethylene bridge FI catalyst and (b) O4 catalyst. copyright.
Compared to bridged structures, more research has focused on synthesizing phenoxy-imine bimetallic catalysts for their easier preparation [66,75,76,77]. This approach mimicked the cooperative effect and enhanced the metal–metal synergy, making the catalyst thermostable. Liu et al. constructed phenoxy-imine Ti complexes bridged by an anthracene group [78]. Due to the planar nature of the anthracene bridge, the resulting catalysts existed in two different configurations: syn-Ti and anti-Ti (Figure 9). Homopolymerization experiments confirmed that the syn-Ti configuration exhibited superior catalytic performance of 8.6 × 104 g(PE)·mol−1·h−1 at 100 °C. Subsequently, the team further investigated the high-temperature catalytic performance of anthracene-bridged amino-ether Ti, Zr, and Hf complexes [79]. Consistent with their previous findings, the syn-M complexes exhibited superior catalytic performance to their anti-M counterparts. Among them, syn-Zr demonstrated exceptional performance in ethylene/1-octene copolymerization at 130 °C, with an activity of 9.6 × 106 g(Polymer)·mol−1·h−1, a polymer molecular weight of 1.34 × 105 g·mol−1 and a 1-octene insertion rate of 2.1 mol%. Notably, through metal–metal synergy, the high-temperature performance is enhanced while sacrificing the single-active-center characteristic.
Figure 9.
Synthesis route of the anthracene bridged phenoxy-imine Ti catalyst [78]. Reprinted with permission of American chemical society publication, copyright (2025).
Furthermore, the high-temperature catalyst performance of the above syn-Ti catalyst can also be improved by modifying metal–ligand derivatives. Due to the low alkylation efficiency, NMe2 ligands can be used as intermediates for the preparation of halogen or alkyl ligand derivatives. For example, Gao et al. synthesized FI2Zr(NMe2)2 complexes, with an activity of 2.3 × 106 g(polymer)·mol−1·h−1 and a 1-octene insertion rate of 10 mol% at 120 °C, after 30 min of pre-activation with trimethylaluminum (TMA) (Figure 10) [80]. As a contrast, the bridged or bimetallic phenoxy-imine catalysts discussed above face the contradiction between activity and the insertion rate.
Figure 10.
Synthesis routes of the Zr catalysts [80]. Reprinted with permission of American chemical society publication, copyright (2025).
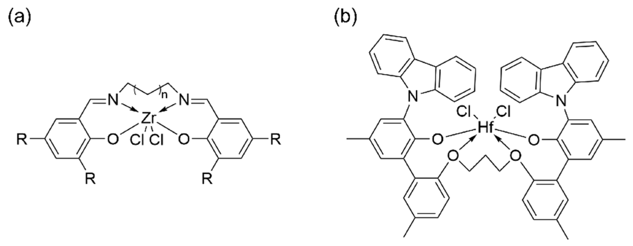
Recently, the combination of hard N-donor and soft S/P-donor ligands was found to demonstrate an unexpected catalytic performance [81,82,83]. The related Ti, Zr, and Hf catalysts were proposed by Liu et al. (Figure 11) [84]. Polymerization experiments demonstrated that the metal center played a critical role in this system: the Hf complexes were superior to the Zr complexes, while the Ti complexes were deactivated. Specifically, the Hf complexes with methyl-substituted thioether ligands demonstrated both a high activity of 2.1 × 107 g(polymer)·mol−1·h−1 and a high comonomer insertion rate of 34.1 mol% at 120 °C. Although the strategy of combining soft and hard donors was more commonly used in tridentate ligands, the high insertion rate in bidentate ligands offers a unique advantage. The aspects of tridentate ligands are discussed in detail in the next section.
Figure 11.
Synthesis routes of the thioether-amino catalysts [84]. Reprinted with permission of American chemical society publication, copyright (2025).
4. Tridentate Ligands
Compared to bidentate ligands, tridentate ligands associated with more coordinate or covalent bonds significantly enhance the thermostability. Up to now, numerous tridentate ligands have been reported based on the synergy of hard N donors and soft S/P donors or the combining of N,N-bidentate ligands and phenoxyimine ligands. However, the increased coordination sites in tridentate ligands lead to greater steric hindrance around the metal center, making the insertion of comonomers more challenging. As a result, linear low-density polyethylene (LLDPE) was typically obtained. Nevertheless, such tridentate catalysts still hold industrial value for their excellent thermostability.
4.1. Phenoxy-imine-amino Ligands
Tian et al. synthesized phenoxyimine-amino tridentate ligands by cross-coupling, reduction, and condensation reactions, using 1-bromo-2-nitrobenzene as the starting material [85]. The corresponding aniline and salicylaldehyde derivations were subsequently coordinated with CrCl3(THF)3 to yield phenoxyimine-amino Cr complexes with high yields (Figure 12). By ethylene homopolymerization experiments, these complexes were found to be effectively activated with a slight cocatalyst MAO (Al/Cr = 200), achieving a high catalytic activity of 1.18 × 108 g(PE)·mol−1·h−1 at 80 °C and retaining a moderate activity of 6.75 × 107 g(PE)·mol−1·h−1 at 120 °C.
Figure 12.
Synthesis routes of the phenoxyimine-amino catalysts [85]. Reprinted with permission of American chemical society publication, copyright (2025).
Subsequently, the Tian team further developed the phenoxy-imine-amino Ti complex, demonstrating a high activity of 6.60 × 107 g(PE)·mol−1·h−1 at 130 °C [86]. Gel permeation chromatography (GPC) confirmed that the molecular weight of the resulting polyethylene was 4 × 105 g·mol−1, with a relatively narrow distribution. However, as the temperature increased to 150 °C, the molecular weight distribution widened to 3.31, indicating its multicenter characteristics caused by partial decomposition. Further copolymerization investigation revealed that the insertion of 1-octene effectively suppressed chain transfer at the active center. As a result, the polymerization activity decreased by one order of magnitude compared to homopolymerization, while the molecular weight increased by one order of magnitude.
Regarding phenoxy-imine-amino Zr/Hf complexes, their catalytic performances were recently investigated by Gao et al. [87]. The results revealed that the Zr complex exhibited superior performance to the Hf complex, with a high activity of 9.9 × 107 g(PE)·mol−1·h−1 at 130 °C. However, the insertion rate of the Zr complex was limited and was determined as 0.29 mol% for 1-octene comonomers. These findings underscore the critical role of the metal center in determining the catalytic behavior of phenoxyimine-amino tridentate ligands.
4.2. Phenoxy-imine-quinoline Ligands
Inspired by the high molecular weight capability of quinoline-based N,N-bidentate ligands under high temperature, the combination of quinoline and phenoxyimine units to construct tridentate ligands offers a promising strategy to improve thermostability. Feng et al. synthesized quinoline-phenoxyimine tridentate ligands via a simple condensation reaction to prepare the corresponding Zr and Hf catalysts (Figure 13a) [88]. Single-crystal X-ray diffraction confirmed the alkyl migration on the imine, which was consistent with N,N-bidentate imine ligands (Figure 13b). Further polymerization experiments suggested that the Zr complex outperformed the Hf complex, which was consistent with phenoxyimine-based catalysts. The reactive hydrogen atom at the ortho-position of the quinoline nitrogen was prone to attack, leading to the formation of new active centers and broader polymer molecular weight distributions, similar to the quinoline-amino ligands. Additionally, copolymerization of ethylene with 1-octene exhibited a moderate activity of 3.0 × 106 g(polymer)·mol−1·h−1 and a low insertion rate of 0.51 mol%. The low insertion rates observed for nearly all the tridentate ligands are primarily attributed to the great steric hindrance at the metal center, which inhibits the incorporation of comonomers.
Figure 13.
(a) Synthesis routes of the quinoline-phenoxyimine complexes; (b) Crystal structure of the Hf complex [88]. Reprinted with permission of American chemical society publication, copyright (2025).
4.3. Quinoline-imine-thioether Ligands
The combination of flexible O, S atoms and the rigid quinoline unit is expected to present diverse catalytic properties. Wang et al. synthesized quinoline-imine-thioether tridentate ligands through imine condensation and Pd-catalyzed coupling of thiols and haloalkanes [89]. To improve the reaction yield, primary amines were first treated with TMA before condensing with quinoline-2-carbaldehyde. Then, the isolated imine was coordinated with CrCl3(THF)3 to form tridentate Cr complexes (Figure 14a). X-ray single-crystal diffraction confirmed that, unlike quinoline-imine catalysts, the diimine structure retained was attributable to the high migration barrier of chlorine. Ethylene homopolymerization experiments demonstrated that the moderate catalytic activity of these Cr complexes and the resulting polyethylene (PE) exhibited relatively low molecular weights. GPC analysis revealed the presence of two distinct molecular weights over time, indicating the existence of two time-dependent active species during polymerization. Moreover, the active species responsible for high molecular weight gradually deactivated as the temperature increased (Figure 14b). This unique temperature-tunable and time-dependent characteristic makes the Cr complexes suitable for producing bimodal polyethylene, with excellent mechanical strength and superior processability.
Figure 14.
(a) Synthesis routes of the quinoline-imine-thioether Cr complexes; (b) GPC traces of polyethylenes obtained with Cr1 at different temperatures [89]. Reprinted with permission of American chemical society publication, copyright (2025).
Although the quinoline-imine-thioether Cr complex exhibits distinctive characteristics, its catalytic activity is disappointing; this is related to the coordinated metal center. To meet the challenge, Chen et al. synthesized efficient catalysts using the same quinoline-imine-thioether ligand coordinated with Zr and Hf [90]. The corresponding methyl complexes of Zr and Hf were prepared via the classic MMe4 method, exhibiting methyl migration as previously observed. The Zr complex exhibited inferior performance to the Hf complex. Polymerization experiments indicated that the Hf complex demonstrated stable activity of 2.2 × 107 g(polymer)·mol−1·h−1 at 130 °C and 2.5 × 107 g(polymer)·mol−1·h−1 at 150 °C. However, the high PDI value observed at 150 °C indicated partial decomposition of the Zr/Hf catalysts, with a relatively low comonomer insertion rate of 2.62 mol%.
4.4. Pyridine-amino Ligands
Recently, early transition metal tridentate catalysts exhibited some superior properties; however, these systems generally suffered from low comonomer insertion rates when producing POEs. In contrast to the above tridentate catalysts, i.e., imine-amino, imine-enamine, and quinoline-amino catalysts, the pyridine-amino catalysts exhibited significantly better comonomer insertion rate.
The first-generation pyridine-amino catalysts were first developed by Union Carbide based on N,N-bidentate couplings. Later, Symyx and Dow collaboratively improved the structure, yielding the second-generation tridentate pyridine-amino catalysts (Figure 15a) [91]. These catalysts demonstrated exceptionally high molecular weight capability to produce olefin block copolymers (OBCs), in the presence of chain transfer agents and FI cocatalysts. Subsequently, Dow’s research team developed a naphthalene-bridged metal complex by high-throughput screening technologies (Figure 15b) [92]. As a result, the tridentate pyridine-amino catalyst achieved an extraordinarily high molecular weight capability of 1.4 × 106 and a 1-octene insertion rate of 12.1 mol% at 120 °C, which was unparalleled among the tridentate catalysts. For catalytic activity, the tridentate pyridine-amino catalyst was lower than CGCs and was determined as 1.3 × 107 g(polymer)·mol−1·h−1.
Figure 15.
(a) Chemical structures of the first- and second-generation pyridine-amino complexes [91]; (b) synthesis routes of the naphthalene-bridged pyridine-amino complexes [92]. Reprinted with permission of American chemical society publication, copyright (2025).
To further enhance the comonomer insertion efficiency of these pyridine-amino catalysts, Zhang et al. explored the design of bidentate pyridine-amino Hf complexes [93]. Despite the bidentate skeleton, the pyridine-amino catalysts demonstrated remarkable thermal stability of 107 g(polymer)·mol−1·h−1 at 150 °C. Furthermore, the increased steric accessibility around the metal center facilitated the accommodation of larger comonomers, as evidenced by ethylene/norbornene copolymerization, where an insertion rate of 22.1 mol% was achieved. This high performance underscores its potential for the synthesis of cycloolefin (COC) copolymers. More recently, Yang et al. proposed a steric-tunable tridentate pyridine-amino Hf complex with the introduction of phenolic groups, which effectively minimized steric hindrance and endowed the tridentate complexes with copolymerization capabilities [94]. Consequently, pyridine-amino ligands represent a rare class of tridentate catalysts that simultaneously achieve superior high-temperature activity, molecular weight capability, and comonomer insertion rate.
5. Influence of Metal Coordination
The development of non-metallocene catalysts typically follows a two-stage protocol. The initial stage involves ligand synthesis, wherein target ligand compounds are systematically constructed through strategic backbone design with precise modulation of electronic effects and steric hindrance. Subsequently, the coordination reaction between synthesized ligands and metal centers generates diverse non-metallocene catalyst architectures [45,95,96,97,98,99]. While previous sections have extensively addressed the structure–property–application relationships of catalysts derived from various ligand frameworks, it should be emphasized that the metal–ligand coordination process itself critically governs the synthesis optimization pathways, production costs, and ultimate catalytic performance [41,100,101,102,103]. This section provides an evaluation of metal coordination.
The catalytic metals employed in olefin polymerization systems are selected from two distinct groups: Group IVB transition metals (Ti, Zr, Hf) from the early transition series and Group VIII elements (primarily Pd, Ni) representing late transition metals [40,104,105,106,107,108,109,110,111,112]. Late transition metals have garnered significant attention for the copolymerization of olefins with polar monomers, owing to their lower oxophilicity [11,77,113,114,115,116,117,118,119]. These late transition metal catalysts exhibit remarkable versatility in ligand architecture and coordination modes, offering substantial synthetic tunability [120,121,122,123]. However, a critical limitation arises from the predominated coordination bonding that compromises their thermal stability, rendering them unsuitable for high-temperature solution polymerization processes.
The coordination processes involving Group IVB transition metals (Ti, Zr, Hf) are characterized by the partial incorporation of covalent bonding, which significantly enhances the thermal stability of the resulting catalysts [124,125,126,127,128]. Titanium-based systems usually coordinate with metallocene-related ligands, typically through reactions with TiCl4 or TiCl3(3THF) to form metallocene-Ti(Cl) complexes [129,130,131]. These complexes can subsequently undergo alkylation via Grignard reagents, yielding metallocene-Ti(-CH3) derivatives [132,133,134,135]. In contrast, zirconium and hafnium systems present distinct synthetic challenges due to the poor solubility of their chloride precursors. Consequently, more soluble alternatives, such as MBn4 or MMe4 (M = Zr, Hf), are employed for coordination [136,137,138], while the MMe4 route offers near-quantitative conversion with minimal byproduct formation, making it particularly advantageous for laboratory-scale synthesis. However, the MMe4 intermediates possess unstable characteristics, requiring stringent cryogenic conditions (<−60 °C) that limit industrial-scale operations. An alternative strategy involves the initial preparation of L-M(ZMe2)n followed by its reaction with SiCl2Me2 to generate the corresponding chlorides [139,140,141]. Comparative analysis reveals that chloride-based catalysts exhibit superior stability and storage characteristics; the trade-off is reduced catalytic activity. Therefore, how to choose needs to be balanced according to the demand.
Another concern is catalyst residuals. These catalysts become irreversibly embedded within the polymer matrix during olefin polymerization, rendering extraction impractical. Their high activity enables catalytic performance at trace concentrations, which generally exert negligible influence on polymer properties while precluding economic viability for reuse [142,143]. However, in photovoltaic-grade POE, even residual metal traces can adversely affect volume resistivity; catalyst residues exert substantially lower impact compared to hundreds or even thousands of times the cocatalyst amount [39,144,145]. Consequently, residual catalysts in polymers are generally not treated further in industry.
6. Outlook
This review systematically examined recent advancements in the structural design, catalytic performance, and application landscapes of non-metallocene catalysts. However, it should be noted that most of the current applications remain confined to laboratory-scale demonstrations, with significant technological gaps hindering industrial translation. Critical challenges persist: catalyst storage stability, development of compatible polymerization processes, and optimization of supporting industrial equipment—all of which constitute the primary focus of our research team’s efforts to facilitate commercial adoption. Furthermore, based on the current state of research, some key directions require urgent attention in laboratory-scale catalyst development:
- Explore new catalysts: The growing demand for POE products has led to an increased need for customized catalysts with tailored properties for various application scenarios, while maintaining the basic principles: ease of synthesis, cost-effectiveness, and environmental friendliness. Notably, the development cost of new catalysts can be significantly reduced by integrating virtual screening and machine learning technologies.
- Improve quinoline-based catalysts: The potential of high-thermostability quinolone derivatives has not yet been fully exploited. For further industrial applications, the low insertion rate of quinoline-based tridentate catalysts needs to be addressed immediately.
- Clarify structure–performance relationship: At present, the correlation between catalytic structure and performance remains insufficiently understood. Despite well-recognized electronic effects and steric hindrance capable of tuning the behavior of catalysts, it works only when comparing catalysts of the same types. There is still an absence of a structure–performance basis guiding the development of new catalyst skeletons. The lack of in-depth understanding of the catalytic mechanism constrains the improvement of current catalysts and the design of next-generation catalysts.
- Optimize costs: Further attention must be paid to the fabrication costs of catalysts with applicable value. Currently, most non-metallocene catalysts remain confined to laboratory research, with only a limited number employed in proprietary in-plant applications under confidentiality agreements. The absence of commercial pricing data presents challenges for comprehensive cost–benefit analysis. However, drawing parallels with the commercialization trajectory of metallocene catalysts, excessive production costs would inevitably diminish their market penetration potential. This requires intensive consideration from catalyst design to synthesis route selection and production landing: at the laboratory level, designing streamlined synthesis routes with reduced step counts and simpler reaction conditions, and at the industrial scale, optimizing the reaction and developing purification systems to improve the yield.
7. Conclusions
From Ziegler–Natta to metallocene and subsequently to non-metallocene catalysts, the evolution of catalysts has progressed from multisite to single-site active centers, from water- and oxygen-sensitive to environmentally tolerant, and from thermal deactivation to thermostability. At present, although non-metallocene catalysts are currently not widely applied in industry, their unique characteristics are noteworthy for the production of POEs, such as high-temperature molecular weight retention and simple synthesis routes. According to the data of each type of non-metallocene catalyst in Table 2, the key characteristics (including structural features, advantages and disadvantages, and stability) and appropriate applications of each catalyst are summarized here:
Table 2.
Data of the concluded catalysts (optional candidate for ethylene/1-octene copolymerization at 120 °C).
- (a)
- N,N-Bidentate catalysts (including imine-amino, imine-enamine, and quinoline-imine) are derived from diimine catalysts. In these complexes, an imine nitrogen atom participates in the metal center via coordination interactions, while the other nitrogen forms a covalent bond with metal. The incorporation of covalent bonding significantly enhances thermal stability. And the relatively open coordination geometry facilitates copolymer monomer insertion, endowing N,N-bidentate catalysts with performance metrics comparable to metallocene catalysts (imine-enamine). Notably, the synthesis conditions required for ligand preparation confer advantages in terms of industrial scale-up and cost-effectiveness, contrasting sharply with the strict anhydrous/oxygen-free environments typically mandated for metallocene ligand synthesis. Among these catalysts, quinoline-imine, although compromised in catalytic activity, deserves further attention as its high-temperature-resistant features allow higher efficiency of mass and heat transfer in industrial production.
- (b)
- N,O/S-Bidentate ligands, structurally characterized by phenoxy-imine or thioether-amine motifs, originate from FI catalyst derivatives. These systems generally display suboptimal thermal stability, catalytic activity, and copolymer monomer incorporation capabilities. Consequently, they are predominantly employed in combination with other catalysts for the production of OBC.
- (c)
- Tridentate ligands typically combine N,N-bidentate and N,O/S-bidentate, creating sterically crowded metal centers that severely restrict copolymer monomer insertion. This structural limitation confines their primary application to LLDPE production. A special case is the pyridine-amino type of catalysts, which achieve copolymerization capabilities equivalent to imine-enamine catalysts. Despite exhibiting polymerization activity one order of magnitude lower than imine-enamine systems, their unique synergy with FI catalysts in OBC manufacturing has attracted significant research attention.
While non-metallocene catalysts currently lag behind metallocene catalysts in copolymerization capability and molecular weight regulation, they exhibit comparable activity alongside two critical advantages: enhanced thermal stability and simplified ligand synthesis protocols. These combined attributes improve feasibility and are cost-effective for industrial manufacturing. Furthermore, catalysts based on imino-enamine and pyridine-imine units exhibit comparable performance to CGCs, offering significant improvement.
Despite the inherent advantages of non-metallocene catalysts, only limited variants (e.g., pyridine-imine and O4-type catalysts) have achieved commercial viability to date. Challenges remain in establishing an effective catalyst backbone (currently highly dependent on high-throughput screening techniques), simplifying synthesis routes and improving profitability. In addition, the market landscape is further complicated by impending oversaturation in downstream polyolefin elastomer (POE) applications, compressing the profitability in the future. However, emerging opportunities lie in the growing demand for differentiated polymer properties. How to find new products that better appeal to the market would be a potential growth point in the future. In conclusion, research in the field of non-metallocene catalysts and their industrialization is full of opportunities and challenges.
Author Contributions
C.W., formal analysis and writing—original draft; X.L., formal analysis and investigation; S.C., Resources and writing—review and editing; T.S., supervision and writing—review and editing. All authors have read and agreed to the published version of the manuscript.
Funding
This research received no external funding.
Data Availability Statement
The original contributions presented in this study are included in the article. Further inquiries can be directed to the corresponding authors.
Conflicts of Interest
Authors Cheng Wang and Xin Li were employed by the company Satellite Chemical Co., Ltd. The remaining authors declare that the research was conducted in the absence of any commercial or financial relationships that could be construed as a potential conflict of interest.
Abbreviations
The following abbreviations are used in this manuscript:
| POE | Polyolefin elastomer |
| Z-N | Ziegler–Natta |
| MAO | Methylaluminoxane |
| Cp2ZrCl2 | dichlorodicyclopentadienyl zirconium |
| CGC | Constrained geometry catalyst |
| Cp | Cyclopentadienyl |
| EPOE | Ethylene-based polyolefin elastomer |
| OBC | Olefin block copolymer |
| PE | Polymer dispersity index |
| iPr | Isopropyl |
| Me | Methyl |
| PE | Polyethylene |
| FI | Phenoxy-imine |
| O4 | Four-oxygen coordination structure |
| M | Metal |
| LLDPE | Linear low-density polyethylene |
| THF | Tetrahydrofuran |
| GPC | Chromatography |
| TMA | Trimethylaluminum |
| COC | Copolymers of cycloolefin |
References
- Zanchin, G.; Leone, G. Polyolefin thermoplastic elastomers from polymerization catalysis: Advantages, pitfalls and future challenges. Prog. Polym. Sci. 2021, 113, 101342. [Google Scholar] [CrossRef]
- Zou, C.; Si, G.F.; Chen, C.L. A general strategy for heterogenizing olefin polymerization catalysts and the synthesis of polyolefins and composites. Nat. Commun. 2022, 13, 1954. [Google Scholar] [CrossRef]
- Gao, W.Q.; Chang, Y.L.; Zhou, Q.M.; Wang, Q.Y.; Lim, K.H.; Wang, D.L.; Hu, J.J.; Wang, W.J.; Li, B.G.; Liu, P.W. Chemical recycling of polyolefin waste: From the perspective of efficient pyrolysis reactors. Front. Chem. Sci. Eng. 2024, 18, 147. [Google Scholar] [CrossRef]
- Chung, T.C. Synthesis of functional polyolefin copolymers with graft and block structures. Prog. Polym. Sci. 2002, 27, 39–85. [Google Scholar] [CrossRef]
- Sun, M.H.; Xiao, Y.K.; Liu, K.; Yang, X.; Liu, P.W.; Jie, S.Y.; Hu, J.J.; Shi, S.B.; Wang, Q.Y.; Lim, K.H.; et al. Synthesis and characterization of polyolefin thermoplastic elastomers: A review. Can. J. Chem. Eng. 2023, 101, 4886–4906. [Google Scholar] [CrossRef]
- Shiraki, Y.; Saito, M.; Yamada, N.L.; Ito, K.; Yokoyama, H. Adhesion to untreated polyethylene and polypropylene by needle–like polyolefin crystals. Macromolecules 2023, 56, 2429–2436. [Google Scholar] [CrossRef]
- Wang, X.Y.; Gao, Y.S.; Tang, Y. Sustainable developments in polyolefin chemistry: Progress, challenges, and outlook. Prog. Polym. Sci. 2023, 143, 101713. [Google Scholar] [CrossRef]
- Qiao, J.L.; Guo, M.F.; Wang, L.S.; Liu, D.B.; Zhang, X.F.; Yu, L.Q.; Song, W.B.; Liu, Y.Q. Recent advances in polyolefin technology. Polym. Chem. 2011, 2, 1611–1623. [Google Scholar] [CrossRef]
- Stürzel, M.; Mihan, S.; Mülhaupt, R. From multisite polymerization catalysis to sustainable materials and all–polyolefin composites. Chem. Rev. 2016, 116, 1398–1433. [Google Scholar] [CrossRef]
- Thakur, A.K.; Gupta, S.K.; Chaudhari, P. Slurry–phase ethylene polymerization processes: A review on multiscale modeling and simulations. Rev. Chem. Eng. 2022, 38, 539–568. [Google Scholar] [CrossRef]
- Zhang, C.L.; Zhou, T.; Li, Y.Q.; Lu, X.; Guan, Y.B.; Cao, Y.C.; Cao, G.P. Microenvironment modulation of metal–organic frameworks (MOFs) for coordination olefin oligomerization and (co)polymerization. Small 2023, 19, 2205898. [Google Scholar] [CrossRef] [PubMed]
- Atan, M.F.; Hussain, M.A.; Abbasi, M.R.; Khan, M.J.H.; Patah, M.F.A. Advances in mathematical modeling of gas–phase olefin polymerization. Processes 2019, 7, 67. [Google Scholar] [CrossRef]
- Chen, L.Y.; Yang, H.J.; Sun, W.H. Advances of olefin polymerization in aqueous solutions. Prog. Chem. 2003, 15, 401–408. [Google Scholar]
- Pladis, P.; Kanellopoulos, V.; Chatzidoukas, C.; Kiparissides, C. Effect of reaction conditions and catalyst design on the rheological properties of polyolefins produced in gas–phase olefin polymerization reactors. Macromol. Theory Simul. 2008, 17, 478–487. [Google Scholar] [CrossRef]
- Kaminsky, W.; Müller, F.; Sperber, O. Comparison of olefin polymerization processes with metallocene catalysts. Macromol. Mater. Eng. 2005, 290, 347–352. [Google Scholar] [CrossRef]
- Wu, C.J.; Ren, M.Q.; Hou, L.P.; Qu, S.Z.; Li, X.W.; Zheng, C.; Chen, J.; Wang, W. Ethylene copolymerization with linear and end–cyclized olefins via a metallocene catalyst: Polymerization behavior and thermal Properties of copolymers. Engineering 2023, 30, 93–99. [Google Scholar] [CrossRef]
- Szot, W.; Chakraborty, D.; Bouyahyi, M.; Jasinska–Walc, L.; Duchateau, R. Functionalized polyolefins produced by post–metallocenes; High added value materials, but can they be produced efficiently? Macromolecules 2024, 57, 10996–11006. [Google Scholar] [CrossRef]
- Li, F.; Liu, W.F. Progress in the catalyst for ethylene/α–olefin copolymerization at high temperature. Can. J. Chem. Eng. 2023, 101, 4992–5019. [Google Scholar] [CrossRef]
- Klosin, J.; Fontaine, P.P.; Figueroa, R. Development of group IV molecular catalysts for high temperature ethylene–α–plefin copolymerization reactions. Acc. Chem. Res. 2015, 48, 2004–2016. [Google Scholar] [CrossRef]
- Jiang, X.B.; He, A.H. Stereospecific polymerization of olefins with supported Ziegler—Natta catalysts. Polym. Int. 2014, 63, 179–183. [Google Scholar] [CrossRef]
- Hagen, H.; Boersma, J.; van Koten, G. Homogeneous vanadium–based catalysts for the Ziegler–Natta polymerization of α–olefins. Chem. Soc. Rev. 2002, 31, 357–364. [Google Scholar] [CrossRef] [PubMed]
- Trivedi, P.M.; Gupta, V.K. Progress in MgCl2 supported Ziegler–Natta catalyzed polyolefin products and applications. J. Polym. Res. 2021, 28, 45. [Google Scholar] [CrossRef]
- Shamiri, A.; Chakrabarti, M.H.; Jahan, S.; Hussain, M.A.; Kaminsky, W.; Aravind, P.V.; Yehye, W.A. The Influence of Ziegler–Natta and metallocene catalysts on polyolefin structure, properties, and processing ability. Materials 2014, 7, 5069–5108. [Google Scholar] [CrossRef] [PubMed]
- Sinn, H.; Kaminsky, W.; Vollmer, H.J.; Woldt, R. “Living polymers” on polymerization with extremely productive Ziegler catalysts. Angew. Chem. Int. Ed. 1980, 19, 390–392. [Google Scholar] [CrossRef]
- Kaminsky, W. Metallocene based polyolefin nanocomposites. Materials 2014, 7, 1995–2013. [Google Scholar] [CrossRef] [PubMed]
- Qi, M.Z.; Fu, Z.S.; Fan, Z.Q. Immobilization of metallocene catalysts. Prog. Chem. 2014, 26, 737–748. [Google Scholar]
- Chen, C.L. Designing catalysts for olefin polymerization and copolymerization: Beyond electronic and steric tuning. Nat. Rev. Chem. 2018, 2, 6–14. [Google Scholar] [CrossRef]
- Wang, B.Q. Ansa–metallocene polymerization catalysts: Effects of the bridges on the catalytic activities. Coord. Chem. Rev. 2006, 250, 242–258. [Google Scholar] [CrossRef]
- Zhang, J.; Wang, X.; Jin, G.X. Polymerized metallocene catalysts and late transition metal catalysts for ethylene polymerization. Coord. Chem. Rev. 2006, 250, 95–109. [Google Scholar] [CrossRef]
- Qu, S.Z.; Zhang, T.Y.; Wang, W. Olefin Polymerization with nitrogen–coordinated half–metallocene catalyst systems. Prog. Chem. 2019, 31, 929–938. [Google Scholar]
- Stevens, J.C.; Timmers, F.J.; Wilson, D.R.; Schmidt, G.F.; Nickias, P.N.; Rosen, R.K.; Knight, G.W.; Lai, S. Constrained Geometry Addition Polymerization Catalysts, Processes for Their Preparation, Precursors Therefor, Methods of Use, and Novel Polymers Formed Therewith. European Patent EP0416815B1, 19 October 1997. [Google Scholar]
- Canich, J.A.M.W.; Licciardi, G.F. Mono–Cp Heteroatom Containing Group IVB Transition Metal Complexes with MAO: Supported Catalyst for Olefin Polymerization. U.S. Patent US5057475, 15 October 1989. [Google Scholar]
- Klosin, J.; Kruper, W.J.; Nickias, P.N.; Roof, G.R.; De Waele, P.; Abboud, K.A. Heteroatom–substituted constrained–geometry complexes. Dramatic substituent effect on catalyst efficiency and polymer molecular weight. Organometallics 2001, 20, 2663–2665. [Google Scholar] [CrossRef]
- Miller, S.A.; Bercaw, J.E. Highly stereoregular syndiotactic polypropylene formation with metallocene catalysts via influence of distal ligand substituents. Organometallics 2004, 23, 1777–1789. [Google Scholar] [CrossRef]
- Lee, C.H.; Lee, E.J.; Jung, S.; Ha, J.J.; Seo, B.; Lee, B.Y.; Joung, U.G.; Joe, D.J. Transition Metal Complexes, Catalyst Compositions Containing the Same, and Olefin Polymerization Using the Catalyst Compositions. U.S. Patent US7538239, 12 May 2009. [Google Scholar]
- Braunschweig, H.; Breitling, F.M. Constrained geometry complexes—Synthesis and applications. Coord. Chem. Rev. 2006, 250, 2691–2720. [Google Scholar] [CrossRef]
- Wen, Z.; Wu, C.J.; Chen, J.; Qu, S.Z.; Li, X.W.; Wang, W. Homogeneous non–metallocene group 4 metals ligated with N,N bidentate ligand(s) for olefin polymerization. Polymers 2024, 16, 406. [Google Scholar] [CrossRef] [PubMed]
- Budagumpi, S.; Kim, K.H.; Kim, I. Catalytic and coordination facets of single–site non–metallocene organometallic catalysts with N–heterocyclic scaffolds employed in olefin polymerization. Coord. Chem. Rev. 2011, 255, 2785–2809. [Google Scholar] [CrossRef]
- Antonov, A.A.; Bryliakov, K.P. Post–metallocene catalysts for the synthesis of ultrahigh molecular weight polyethylene: Recent advances. Eur. Polym. J. 2021, 142, 110162. [Google Scholar] [CrossRef]
- Vittoria, A.; Kulyabin, P.S.; Antinucci, G.; Iashin, A.N.; Uborsky, D.V.; Cuthbert, E.N.T.; Budzelaar, P.H.M.; Voskoboynikov, A.Z.; Cipullo, R.; Ehm, C.; et al. The interplay of backbone stiffening and active pocket design in bis(phenolate–ether) Zr/Hf propene polymerization catalysts. ACS Catal. 2023, 13, 13151–13155. [Google Scholar] [CrossRef]
- Mishra, A.; Patil, H.R.; Gupta, V. Progress in propylene homo- and copolymers using advanced transition metal catalyst systems. New J. Chem. 2021, 45, 10577–10588. [Google Scholar] [CrossRef]
- Patil, A.O.; Hlatky, G.G. Beyond metallocenes: Next–generation polymerization catalysts. In Beyond Metallocenes: Next Generation Polymerization Catalysts; Patil, A.O., Hlatky, G.G., Eds.; Amer Chemical Soc: Washington, DC, USA, 2003; Volume 857, pp. 1–11. [Google Scholar]
- Ochedzan–Siodlak, W.; Dziubek, K. Metallocenes and post–metallocenes immobilized on ionic liquid–modified silica as catalysts for polymerization of ethylene. Appl. Catal. A—Gen. 2014, 484, 134–141. [Google Scholar] [CrossRef]
- Baier, M.C.; Zuideveld, M.A.; Mecking, S. Post–metallocenes in the industrial production of polyolefins. Angew. Chem. Int. Ed. 2014, 53, 9722–9744. [Google Scholar] [CrossRef]
- Konkol, M.; Okuda, J. Non–metallocene hydride complexes of the rare–earth metals. Coord. Chem. Rev. 2008, 252, 1577–1591. [Google Scholar] [CrossRef]
- Chen, Z.; Brookhart, M. Exploring ethylene/polar vinyl monomer copolymerizations using Ni and Pd α–diimine catalysts. Acc. Chem. Res. 2018, 51, 1831–1839. [Google Scholar] [CrossRef] [PubMed]
- Tan, C.; Chen, C.L. Emerging palladium and nickel catalysts for copolymerization of olefins with polar monomers. Angew. Chem. Int. Ed. 2019, 58, 7192–7200. [Google Scholar] [CrossRef] [PubMed]
- Wang, F.Z.; Chen, C.L. A continuing legend: The Brookhart–type α–diimine nickel and palladium catalysts. Polym. Chem. 2019, 10, 2354–2369. [Google Scholar] [CrossRef]
- Qasim, M.; Bashir, M.S.; Iqbal, S.; Mahmood, Q. Recent advancements in α–diimine–nickel and –palladium catalysts for ethylene polymerization. Eur. Polym. J. 2021, 160, 110783. [Google Scholar] [CrossRef]
- Mahmood, Q.; Sun, W.H. N,N–chelated nickel catalysts for highly branched polyolefin elastomers: A survey. R. Soc. Open Sci. 2018, 5, 180367. [Google Scholar] [CrossRef]
- Johnson, L.K.; Killian, C.M.; Brookhart, M. New pd(ii)–based and ni(ii)–based catalysts for polymerization of ethylene and alpha–olefins. J. Am. Chem. Soc. 1995, 117, 6414–6415. [Google Scholar] [CrossRef]
- Guo, L.H.; Dai, S.Y.; Sui, X.L.; Chen, C.L. Palladium and nickel catalyzed chain walking olefin polymerization and copolymerization. ACS Catal. 2016, 6, 428–441. [Google Scholar] [CrossRef]
- Fang, J.; Sui, X.L.; Li, Y.G.; Chen, C.L. Synthesis of polyolefin elastomers from unsymmetrical –diimine nickel catalyzed olefin polymerization. Polym. Chem. 2018, 9, 4143–4149. [Google Scholar] [CrossRef]
- Guo, L.H.; Lian, K.B.; Kong, W.Y.; Xu, S.; Jiang, G.R.; Dai, S.Y. Synthesis of various branched ultra–high–molecular–weight polyethylenes using sterically hindered acenaphthene–based α–diimine Ni(II) catalysts. Organometallics 2018, 37, 2442–2449. [Google Scholar] [CrossRef]
- Gong, Y.F.; Li, S.K.; Gong, Q.; Zhang, S.J.; Liu, B.Y.; Dai, S.Y. Systematic investigations of ligand steric effects on α–diimine nickel catalyzed olefin polymerization and copolymerization. Organometallics 2019, 38, 2919–2926. [Google Scholar] [CrossRef]
- Guo, L.H.; Sun, W.T.; Li, S.K.; Xu, G.; Dai, S. Bulky yet flexible substituents in insertion polymerization with α–diimine nickel and palladium systems. Polym. Chem. 2019, 10, 4866–4871. [Google Scholar] [CrossRef]
- Dai, S.Y.; Li, S.K.; Xu, G.Y.; Wu, C.; Liao, Y.D.; Guo, L.H. Flexible cycloalkyl substituents in insertion polymerization with α–diimine nickel and palladium species. Polym. Chem. 2020, 11, 1393–1400. [Google Scholar] [CrossRef]
- De Waele, P.; Jazdzewski, B.A.; Klosin, J.; Murray, R.E.; Theriault, C.N.; Vosejpka, P.C.; Petersen, J.L. Synthesis of hafnium and zirconium imino–amido complexes from bis–imine ligands. A new family of olefin polymerization catalysts. Organometallics 2007, 26, 3896–3899. [Google Scholar] [CrossRef]
- Froese, R.D.J.; Jazdzewski, B.A.; Klosin, J.; Kuhlman, R.L.; Theriault, C.N.; Welsh, D.M.; Abboud, K.A. Imino–amido Hf and Zr complexes: Synthesis, isomerization, and olefin polymerization. Organometallics 2011, 30, 251–262. [Google Scholar] [CrossRef]
- Zhang, C.M.; Pan, H.Q.; Klosin, J.; Tu, S.Y.; Jaganathan, A. Synthetic optimization and scale–up of imino–amido hafnium and zirconium olefin polymerization catalysts. Org. Process Res. Dev. 2015, 19, 1383–1391. [Google Scholar] [CrossRef]
- Figueroa, R.; Froese, R.D.; He, Y.Y.; Klosin, J.; Theriault, C.N.; Abboud, K.A. Synthesis of imino–enamido hafnium and zirconium complexes: A new family of olefin polymerization catalysts with ultrahigh–molecular–weight capabilities. Organometallics 2011, 30, 1695–1709. [Google Scholar] [CrossRef]
- Fontaine, P.P.; Figueroa, R.; McCann, S.D.; Mort, D.; Klosin, J. Synthesis and scale–up of imino–enamido hafnium and zirconium olefin polymerization catalysts. Organometallics 2013, 32, 2963–2972. [Google Scholar] [CrossRef]
- Klosin, J.; Fontaine, P.P.; Figueroa, R.; McCann, S.D.; Mort, D. Preparation of new olefin polymerization precatalysts by facile derivatization of imino–enamido ZrMe3 and HfMe3 complexes. Organometallics 2013, 32, 6488–6499. [Google Scholar] [CrossRef]
- Szuromi, E.; Klosin, J.; Abboud, K.A. Aminotroponiminato hafnium and zirconium complexes: Synthesis and ethylene/1–octene copolymerization study. Organometallics 2011, 30, 4589–4597. [Google Scholar] [CrossRef]
- Fontaine, P.P.; Klosin, J.; McDougal, N.T. Hafnium amidoquinoline complexes: Highly active olefin polymerization catalysts with ultrahigh molecular weight capacity. Organometallics 2012, 31, 6244–6251. [Google Scholar] [CrossRef]
- Invergo, A.M.; Liu, S.F.; Dicken, R.D.; Mouat, A.R.; Delferro, M.; Lohr, T.L.; Marks, T.J. How close is too close? Polymerization behavior and monomer–dependent reorganization of a bimetallic salphen organotitanium catalyst. Organometallics 2018, 37, 2429–2436. [Google Scholar] [CrossRef]
- Fontaine, P.P.; Ueligger, S.; Klosin, J.; Hazari, A.; Daller, J.; Hou, J.B. Development of improved amidoquinoline polyolefin catalysts with ultrahigh molecular weight capacity. Organometallics 2015, 34, 1354–1363. [Google Scholar] [CrossRef]
- Han, B.H.; Liu, Y.X.; Feng, C.Y.; Liu, S.F.; Li, Z.B. Development of group 4 metal complexes bearing fused–ring amido–trihydroquinoline ligands with improved high–temperature catalytic performance toward olefin (co)polymerization. Organometallics 2021, 40, 242–252. [Google Scholar] [CrossRef]
- Zhang, X.W.; Zhang, M.X.; Liu, S.F.; Li, Z.B. Synthesis of amido–quinoline hafnium and zirconium complexes with improved performances toward ethylene/1–octene copolymerization. Organometallics 2024, 43, 2472–2479. [Google Scholar] [CrossRef]
- Younkin, T.R.; Conner, E.F.; Henderson, J.I.; Friedrich, S.K.; Grubbs, R.H.; Bansleben, D.A. Neutral, single–component nickel (II) polyolefin catalysts that tolerate heteroatoms. Science 2000, 287, 460–462. [Google Scholar] [CrossRef] [PubMed]
- Tian, J.; Hustad, P.D.; Coates, G.W. A new catalyst for highly syndiospecific living olefin polymerization: Homopolymers and block copolymers from ethylene and propylene. J. Am. Chem. Soc. 2001, 123, 5134–5135. [Google Scholar] [CrossRef]
- Matsui, S.; Mitani, M.; Saito, J.; Tohi, Y.; Makio, H.; Matsukawa, N.; Takagi, Y.; Tsuru, K.; Nitabaru, M.; Nakano, T.; et al. A family of zirconium complexes having two phenoxy–imine chelate ligands for olefin polymerization. J. Am. Chem. Soc. 2001, 123, 6847–6856. [Google Scholar] [CrossRef]
- Ishii, S.; Mitani, M.; Saito, J.; Matsuura, S.; Furuyama, R.; Fujita, T. Ethylene polymerization behavior of polymethylene–bridged bis (phenoxy–imine) Zr complexes. In Science and Technology in Catalysis 2002; Anpo, M., Onaka, M., Yamashita, H., Eds.; Kodansha Ltd.: Tokyo, Japan, 2003; Volume 145, pp. 49–54. [Google Scholar]
- Boussie, T.R.; Brümmer, O.; Diamond, G.M.; Goh, C.; Lapointe, A.M.; Leclerc, M.K.; Shoemaker, J.A. Bridged Bi–Aromatic Ligands, Catalysts, Processes for Polymerizing and Polymers Therefrom. U.S. Patent US6841502, 22 March 2005. [Google Scholar]
- Salata, M.R.; Marks, T.J. Catalyst nuclearity effects in olefin polymerization. enhanced activity and comonomer enchainment in ethylene plus olefin copolymerizations mediated by bimetallic group 4 phenoxyiminato catalysts. Macromolecules 2009, 42, 1920–1933. [Google Scholar] [CrossRef]
- Salata, M.R.; Marks, T.J. Synthesis, characterization, and marked polymerization selectivity characteristics of binuclear phenoxyiminato organozirconium catalysts. J. Am. Chem. Soc. 2008, 130, 12–13. [Google Scholar] [CrossRef]
- Khoshsefat, M.; Ma, Y.P.; Sun, W.H. Multinuclear late transition metal catalysts for olefin polymerization. Coord. Chem. Rev. 2021, 434, 213788. [Google Scholar] [CrossRef]
- Liu, S.F.; Xing, Y.H.; Zheng, Q.D.; Jia, Y.T.; Li, Z.B. Synthesis of anthracene–bridged dinuclear phenoxyiminato organotitanium catalysts with enhanced activity, thermal stability, and comonomer incorporation ability toward ethylene (co)polymerization. Organometallics 2020, 39, 3268–3274. [Google Scholar] [CrossRef]
- Xing, Y.H.; Xu, L.L.; Liu, S.F.; Li, Z.B. Dinuclear group 4 metal complexes bearing anthracene–bridged bifunctional amido–ether ligands: Remarkable metal effect and cooperativity toward ethylene/1–octene copolymerization. Inorg. Chem. 2023, 62, 2859–2869. [Google Scholar] [CrossRef] [PubMed]
- Gao, Y.S.; Christianson, M.D.; Wang, Y.; Chen, J.Z.; Marshall, S.; Klosin, J.; Lohr, T.L.; Marks, T.J. Unexpected precatalyst σ–ligand effects in phenoxyimine zr–catalyzed ethylene/1–octene copolymerizations. J. Am. Chem. Soc. 2019, 141, 7822–7830. [Google Scholar] [CrossRef]
- Xiang, S.; Zhang, J.B.; Liu, S.F.; Braunstein, P.; Li, Z.B. Aluminum complexes bearing aminoquinoline ligands with different pendant donors: Remarkable impact of hemilability on the ring–opening polymerization of ε–caprolactone. Macromolecules 2024, 57, 3604–3613. [Google Scholar] [CrossRef]
- Chen, Z.; Li, J.F.; Tao, W.J.; Sun, X.L.; Yang, X.H.; Tang, Y. Copolymerization of ethylene with functionalized olefins by ONX titanium complexes. Macromolecules 2013, 46, 2870–2875. [Google Scholar] [CrossRef]
- Yang, X.H.; Liu, C.R.; Wang, C.; Sun, X.L.; Guo, Y.H.; Wang, X.K.; Wang, Z.; Xie, Z.W.; Tang, Y. [O–NSR]TiCl3–catalyzed copolymerization of ethylene with functionalized olefins. Angew. Chem. Int. Ed. 2009, 48, 8099–8102. [Google Scholar] [CrossRef]
- Liu, C.H.; Feng, W.Z.; Liu, S.F.; Kan, Z.; Li, Z.B. Development of group iv metal complexes bearing thioether–amido ligands with enhanced high–temperature catalytic performance toward olefin copolymerization. Inorg. Chem. 2024, 63, 19676–19686. [Google Scholar] [CrossRef]
- Tian, J.L.; Zhang, X.W.; Liu, S.F.; Li, Z.B. Chromium complexes supported by NNO–tridentate ligands: An unprecedented activity with the requirement of a small amount of MAO. Polym. Chem. 2022, 13, 1852–1860. [Google Scholar] [CrossRef]
- Tian, J.L.; Feng, W.Z.; Liu, S.F.; Li, Z.B. Titanium complexes bearing NNO–tridentate ligands: Highly active olefin polymerization catalysts with great control on molecular weight and distribution. Chin. J. Chem. 2022, 40, 2785–2793. [Google Scholar] [CrossRef]
- Gao, Z.H.; Tian, J.L.; Han, Y.X.; Liu, S.F.; Li, Z.B. Zirconium and hafnium complexes bearing tridentate ONN–ligands: Extremely high activity toward ethylene (co)polymerization. Inorg. Chem. 2024, 63, 18137–18145. [Google Scholar] [CrossRef] [PubMed]
- Feng, W.Z.; Liu, C.H.; Liu, S.F.; Li, Z.B. Hafnium and zirconium complexes bearing ONN–tridentate ligands and their catalytic properties toward olefin polymerization. Organometallics 2023, 42, 3466–3473. [Google Scholar] [CrossRef]
- Wang, D.Q.; Zhou, S.M.; Liu, Y.X.; Kang, X.H.; Liu, S.F.; Li, Z.B.; Braunstein, P. Controlling polyethylene molecular weights and distributions using chromium complexes supported by SNN–tridentate ligands. Macromolecules 2022, 55, 2433–2443. [Google Scholar] [CrossRef]
- Chen, Y.J.; Zhou, S.M.; Yang, W.Q.; Liu, S.F. Hafnium and zirconium complexes bearing SNN–ligands enhancing catalytic performances toward ethylene/1–octene copolymerization. Organometallics 2022, 41, 3724–3731. [Google Scholar] [CrossRef]
- Arriola, D.J.; Carnahan, E.M.; Hustad, P.D.; Kuhlman, R.L.; Wenzel, T.T. Catalytic production of olefin block copolymers via chain shuttling polymerization. Science 2006, 312, 714–719. [Google Scholar] [CrossRef]
- Frazier, K.A.; Froese, R.D.; He, Y.Y.; Klosin, J.; Theriault, C.N.; Vosejpka, P.C.; Zhou, Z.; Abboud, K.A. Pyridylamido hafnium and zirconium complexes: Synthesis, dynamic behavior, and ethylene/1–octene and propylene polymerization reactions. Organometallics 2011, 30, 3318–3329. [Google Scholar] [CrossRef]
- Zhang, Z.; Wang, Q.; Jiang, H.; Chen, A.; Zou, C. Bidentate pyridyl–amido hafnium catalysts for copolymerization of ethylene with 1–octene and norbornene. Eur. J. Inorg. Chem. 2023, 26, e202200725. [Google Scholar] [CrossRef]
- Yang, G.; Zhang, Z.; Ma, Z.S.; Li, C.; Zou, C. Designing easily accessible tridentate hafnium catalysts for ethylene/1–octene copolymerization. Polymer 2024, 294, 126699. [Google Scholar] [CrossRef]
- Naga, N.; Imanishi, Y. Copolymerization of ethylene and cyclopentene with zirconocene catalysts: Effect of ligand structure of zirconocenes. Macromol. Chem. Phys. 2002, 203, 159–165. [Google Scholar] [CrossRef]
- Padmanabhan, S.; Vijayakrishna, K.; Mani, R. Copolymerization of ethylene and norbornene by zirconium complexes containing symmetrically tuned trianionic ligands. Polym. Bull. 2010, 65, 13–23. [Google Scholar] [CrossRef]
- Zhang, C.G.; Zhang, L.Y.; Li, H.Y.; Yu, S.Y.; Wang, Z.X. Differences between insertions of ethylene into metallocene and non-metallocene ethylene polymerization catalysts. J. Phys. Org. Chem. 2013, 26, 70–76. [Google Scholar] [CrossRef]
- Chen, X.; Zeng, Y.; Lan, Z.; You, Q.L.; Li, T.C.; Li, X.D.; Zhang, D.H.; Xie, G.Y. A Methylene-bridged salicylaldiminato tridentate ONS binuclear titanium complex for ethylene-norbornene copolymerization. J. Macromol. Sci. Part A-Pure Appl. Chem. 2018, 55, 489–495. [Google Scholar] [CrossRef]
- Wang, J.; Nan, F.; Guo, J.P.; Wang, J.; Shi, X.H.; Huang, H.B.; Huang, Q.G.; Yang, W.T. Copolymers of Ethylene and Vinyl Amino Acidic Ester with High Molecular Weight Prepared by Non-metallocene Catalysts. Catal. Lett. 2016, 146, 609–619. [Google Scholar] [CrossRef]
- Patel, N.; Valodkar, V.; Tembe, G. Recent developments in catalyst systems for selective oligomerization and polymerization of higher α-olefins. Polym. Chem. 2023, 14, 2542–2571. [Google Scholar] [CrossRef]
- Ning, Y.; Zhang, Y.; Rodriguez-Delgado, A.; Chen, E.Y.X. Neutral Metallocene Ester Enolate and Non-Metallocene Alkoxy Complexes of Zirconium for Catalytic Ring-Opening Polymerization of Cyclic Esters. Organometallics 2008, 27, 5632–5640. [Google Scholar] [CrossRef]
- Capacchione, C.; Proto, A.; Ebeling, H.; Mülhaupt, R.; Möller, K.; Manivannan, R.; Spaniol, T.P.; Okuda, J. Non-metallocene catalysts for the styrene polymerization:: Isospecific group 4 metal bis(phenolate) catalysts. J. Mol. Catal. A-Chem. 2004, 213, 137–140. [Google Scholar] [CrossRef]
- Agrawal, D.; Shrivastava, Y.; De, S.K.; Singh, P.K. Synthesis of post-metallocene catalyst and study of its olefin polymerization activity at room temperature in aqueous solution followed by prediction of yield. J. Polym. Res. 2019, 26, 167. [Google Scholar] [CrossRef]
- Bialek, M.; Fryga, J. Copolymerization of Ethylene with Selected Vinyl Monomers Catalyzed by Group 4 Metal and Vanadium Complexes with Multidentate Ligands: A Short Review. Polymers 2021, 13, 4456. [Google Scholar] [CrossRef]
- Rishina, L.A.; Kissin, Y.V.; Lalayan, S.S.; Gagieva, S.C.; Tuskaev, V.A.; Krasheninnikov, V.G. Polymerization of alkenes with a post-metallocene catalyst containing a titanium complex with an oxyquinolinyl ligand. J. Polym. Sci. Pol. Chem. 2017, 55, 1844–1854. [Google Scholar] [CrossRef]
- Rishina, L.A.; Lalayan, S.S.; Gagieva, S.C.; Tuskaev, V.A.; Perepelitsyna, E.O.; Kissin, Y.V. Polymers of propylene and higher 1-alkenes produced with post-metallocene complexes containing a saligenin-type ligand. Polymer 2013, 54, 6526–6535. [Google Scholar] [CrossRef]
- Gagieva, S.C.; Kurmaev, D.A.; Tuskaev, V.A.; Khrustalev, V.N.; Churakov, A.V.; Golubev, E.K.; Sizov, A.I.; Zvukova, T.M.; Buzin, M.I.; Nikiforova, G.G.; et al. First example of cationic titanium (III) complexes with crown ether as catalysts for ethylene polymerization. Eur. Polym. J. 2022, 170, 111166. [Google Scholar] [CrossRef]
- Hayatifar, M.; Pampaloni, G.; Bernazzani, L.; Capacchione, C.; Kissin, Y.V.; Galletti, A.M.R. A new post-metallocene catalyst for alkene polymerization: Copolymerization of ethylene and 1-hexene with titanium complexes bearing N,N-dialkylcarbamato ligands. Polym. Int. 2014, 63, 560–567. [Google Scholar] [CrossRef]
- Baek, J.W.; Kwon, S.J.; Lee, H.J.; Kim, T.J.; Ryu, J.Y.; Lee, J.; Shin, E.J.; Lee, K.S.; Lee, B.Y. Preparation of Half- and Post-Metallocene Hafnium Complexes with Tetrahydroquinoline and Tetrahydrophenanthroline Frameworks for Olefin Polymerization. Polymers 2019, 11, 1093. [Google Scholar] [CrossRef] [PubMed]
- Toda, T.; Yamaguchi, T.; Takenaka, K. Catalytic Behavior of Half-Metallocene Non-Cp-Type Group 4 Metal Complexes (M=Zr, Hf) with a Cyclooctatetraenyl Dianion during Olefin Polymerization. Eur. J. Inorg. Chem. 2024, 27, e202300545. [Google Scholar] [CrossRef]
- Nakata, N.; Saito, Y.; Watanabe, T.; Ishii, A. Completely Isospecific Polymerization of 1-Hexene Catalyzed by Hafnium(IV) Dichloro Complex Incorporating with an OSSO -type Bis(phenolate) Ligand. Top. Catal. 2014, 57, 918–922. [Google Scholar] [CrossRef]
- Urciuoli, G.; Zaccaria, F.; Zuccaccia, C.; Cipullo, R.; Budzelaar, P.H.M.; Vittoria, A.; Ehm, C.; Macchioni, A.; Busico, V. Cocatalyst effects in Hf-catalysed olefin polymerization: Taking well-defined Al-alkyl borate salts into account. Dalton Trans. 2024, 53, 2286–2293. [Google Scholar] [CrossRef]
- Zhou, G.L.; Mu, H.L.; Jian, Z.B. A comprehensive picture on catalyst structure construction in palladium catalyzed ethylene (co)polymerizations. J. Catal. 2020, 383, 215–220. [Google Scholar] [CrossRef]
- Zheng, H.D.; Gao, H.Y. Noncovalent Interactions in Late Transition Metal-Catalyzed Polymerization of Olefins. Macromolecules 2024, 57, 6899–6913. [Google Scholar] [CrossRef]
- Song, Z.H.; Wang, S.C.; Gao, R.; Wang, Y.; Gou, Q.Q.; Zheng, G.; Feng, H.S.; Fan, G.Q.; Lai, J.J. Recent Advancements in Mechanistic Studies of Palladium- and Nickel-Catalyzed Ethylene Copolymerization with Polar Monomers. Polymers 2023, 15, 4343. [Google Scholar] [CrossRef]
- Guo, L.H.; Liu, W.J.; Chen, C.L. Late transition metal catalyzed α-olefin polymerization and copolymerization with polar monomers. Mat. Chem. Front. 2017, 1, 2487–2494. [Google Scholar] [CrossRef]
- Deng, H.Y.; Zheng, H.D.; Gao, H.; Pei, L.X.; Gao, H.Y. Late Transition Metal Catalysts with Chelating Amines for Olefin Polymerization. Catalysts 2022, 12, 22. [Google Scholar] [CrossRef]
- Mao, G.L.; Jiang, Y.; Li, N.; Wang, Q.; Zheng, D.J.; Li, M.J.; Ning, Y.N. Recent progresses of late-transition metal complexes with nonsymmetric diimine ligands in ethylene polymerization and oligomerization. Chin. Sci. Bull. 2014, 59, 2505–2512. [Google Scholar] [CrossRef]
- Zohuri, G.H.; Seyedi, S.M.; Sandaroos, R.; Damavandi, S.; Mohammadi, A. Novel Late Transition Metal Catalysts Based on Iron: Synthesis, Structures and Ethylene Polymerization. Catal. Lett. 2010, 140, 160–166. [Google Scholar] [CrossRef]
- Liang, T.; Goudari, S.B.; Chen, C.L. A simple and versatile nickel platform for the generation of branched high molecular weight polyolefins. Nat. Commun. 2020, 11, 372. [Google Scholar] [CrossRef] [PubMed]
- Bi, Z.X.; Zhou, J.J.; Zhu, N.N.; Peng, D.; Chen, C.L. Heterogeneous Nickel Catalysts for the Synthesis of Ethylene-Based Polyolefin Elastomers. Macromolecules 2024, 57, 1080–1086. [Google Scholar] [CrossRef]
- Mitchell, N.E.; Long, B.K. Recent advances in thermally robust, late transition metal-catalyzed olefin polymerization. Polym. Int. 2019, 68, 14–26. [Google Scholar] [CrossRef]
- Yue, Q.; Gao, R.; Song, Z.H.; Gou, Q.Q. Recent Advancements in the Synthesis of Ultra-High Molecular Weight Polyethylene via Late Transition Metal Catalysts. Polymers 2024, 16, 1688. [Google Scholar] [CrossRef]
- Liu, Y.; Xiang, H.X.; Wang, K.T.; Wu, G.; Li, Y.B. Efficient Preparation of Cyclic Olefin Copolymers with Unreacted Double Bonds by Using Thermal Stable Non-Metallocene Vanadium Catalytic System. Macromol. Chem. Phys. 2019, 220, 1900008. [Google Scholar] [CrossRef]
- Li, Q.; Guo, Z.F.; Li, X.W.; Chen, J.; Qu, S.Z.; Wei, Y.M.; Wen, Z.; Wang, W. Copolymerization of Ethylene With Polar Monomers by Group 4 Catalysts. Polym. Rev. 2024, 2444674. [Google Scholar] [CrossRef]
- Chae, C.G.; Ryu, J.Y.; Ho, L.N.T.; Lee, W.; Kim, D.G.; Park, S.; Park, B.K.; Chung, T.M.; Kim, Y.S. Vinyl-addition copolymerization of norbornene and 1-octene catalyzed by a non-bridged half-titanocene with a tetrazole-phenoxy ligand. Polymer 2024, 295, 126679. [Google Scholar] [CrossRef]
- Bahena, E.N.; Schafer, L.L. From Stoichiometric to Catalytic E-H Functionalization by Non- Metallocene Zirconium Complexes?Recent Advances and Mechanistic Insights. ACS Catal. 2022, 12, 14934–14953. [Google Scholar] [CrossRef]
- Asim, W.; Waheeb, A.S.; Awad, M.A.; Kadhum, A.M.; Ali, A.; Mallah, S.H.; Iqbal, M.A.; Kadhim, M.M. Recent advances in the synthesis of zirconium complexes and their catalytic applications. J. Mol. Struct. 2022, 1250, 131925. [Google Scholar] [CrossRef]
- Eguchi, K.; Aoyagi, K.; Nakajima, Y.; Ando, W.; Sato, K.; Shimada, S. Synthesis and Structure of Metallocene-type Ti(III) Complexes, and Their Catalytic Activity towards Olefin Hydrosilylation Reactions. Chem. Lett. 2017, 46, 1262–1264. [Google Scholar] [CrossRef]
- Furayama, R.; Saito, J.; Ishii, S.; Mitani, M.; Matsui, S.; Tohi, Y.; Makio, H.; Matsukawa, N.; Tanaka, H.; Fujita, T. Ethylene and propylene polymerization behavior of a series of bis(phenoxy-imine)titanium complexes. J. Mol. Catal. A-Chem. 2003, 200, 31–42. [Google Scholar] [CrossRef]
- Li, T.C.; Lan, Z.; Xie, G.Y.; Luo, D.R.; Li, L.; Xiong, S.F.; Zhang, L.; Ouyang, L.P.; Zhang, A.Q. Binuclear Titanium Catalysts Based on Methylene-Bridged Tridentate Salicylaldiminato Ligands for Ethylene Homo- and Copolymerization. Catal. Lett. 2017, 147, 996–1005. [Google Scholar] [CrossRef]
- Huttenloch, M.E.; Dorer, B.; Rief, U.; Prosenc, M.H.; Schmidt, K.; Brintzinger, H.H. ansa-metallocene derivatives XXXIX biphenyl-bridged metallocene complexes of titanium, zirconium, and vanadium: Syntheses, crystal structures and enantioseparation. J. Organomet. Chem. 1997, 541, 219–232. [Google Scholar] [CrossRef]
- Xu, T.Q.; Gao, W.; Mu, Y.; Ye, L. Titanium(IV) complexes with monocyclopentadienyl and phenoxy-alkoxo ligands: Synthesis, structures and catalytic properties for ethylene polymerization. Polyhedron 2007, 26, 3357–3362. [Google Scholar] [CrossRef]
- Melillo, G.; Izzo, L.; Zinna, M.; Tedesco, C.; Oliva, L. Branching formation in the ethylene polymerization with meso ansa metallocene-based catalysts. Macromolecules 2002, 35, 9256–9261. [Google Scholar] [CrossRef]
- Murray, M.C.; Baird, M.C. Polymerization of 1-hexene catalyzed by Cp*TiMe3-B(C6F5)3: A mechanistic and structural study. Can. J. Chem. 2001, 79, 1012–1018. [Google Scholar] [CrossRef]
- Mattheis, C.; van der Zeijden, A.A.; Fröhlich, R. Monocyclopentadienyl and mono(2-methoxyethylcyclopentadienyl) zirconium methyl complexes. J. Organomet. Chem. 2000, 602, 51–58. [Google Scholar] [CrossRef]
- Kwon, S.J.; Baek, J.W.; Lee, H.J.; Kim, T.J.; Ryu, J.Y.; Lee, J.; Shin, E.J.; Lee, K.S.; Lee, B.Y. Preparation of Pincer Hafnium Complexes for Olefin Polymerization. Molecules 2019, 24, 1676. [Google Scholar] [CrossRef] [PubMed]
- Park, K.L.; Baek, J.W.; Moon, S.H.; Bae, S.M.; Lee, J.C.; Lee, J.; Jeong, M.S.; Lee, B.Y. Preparation of Pyridylamido Hafnium Complexes for Coordinative Chain Transfer Polymerization. Polymers 2020, 12, 1100. [Google Scholar] [CrossRef]
- Zaccaria, F.; Cipullo, R.; Correa, A.; Budzelaar, P.H.M.; Busico, V.; Ehm, C. Separating Electronic from Steric Effects in Ethene/α-Olefin Copolymerization: A Case Study on Octahedral ONNO Zr-Catalysts. Processes 2019, 7, 384. [Google Scholar] [CrossRef]
- Luciano, E.; Della Monica, F.; Buonerba, A.; Grassi, A.; Capacchione, C.; Milione, S. Polymerization of ethylene and propylene promoted by group 4 metal complexes bearing thioetherphenolate ligands. Polym. Chem. 2015, 6, 4657–4668. [Google Scholar] [CrossRef]
- Toda, T.; Kasahara, Y.; Iwasaki, J.; Wakatsuki, A.; Ohta, S.; Matano, Y.; Takenaka, K. A Zirconium Complex Bearing an NPN Tridentate Ligand Composed of Dibenzophosphole and Pyrrolide Moieties: Synthesis, Structure, and Ethylene-Polymerization Ability. Organometallics 2024, 44, 128–136. [Google Scholar] [CrossRef]
- Nifant’ev, I.E.; Komarov, P.D.; Kostomarova, O.D.; Kolosov, N.A.; Ivchenko, P.V. MAO- and Borate-Free Activating Supports for Group 4 Metallocene and Post-Metallocene Catalysts of α-Olefin Polymerization and Oligomerization. Polymers 2023, 15, 3095. [Google Scholar] [CrossRef] [PubMed]
- Valdés, H.; Germán-Acacio, J.M.; van Koten, G.; Morales-Morales, D. Bimetallic complexes that merge metallocene and pincer-metal building blocks: Synthesis, stereochemistry and catalytic reactivity. Dalton Trans. 2022, 51, 1724–1744. [Google Scholar] [CrossRef]
- Nifant’ev, I.; Ivchenko, P. Fair Look at Coordination Oligomerization of Higher α-Olefins. Polymers 2020, 12, 1082. [Google Scholar] [CrossRef]
- Kaminsky, W. Environmentally compatible polymerization of olefins by the use of metallocene catalysts. Chemosphere 2001, 43, 33–38. [Google Scholar] [CrossRef]
Disclaimer/Publisher’s Note: The statements, opinions and data contained in all publications are solely those of the individual author(s) and contributor(s) and not of MDPI and/or the editor(s). MDPI and/or the editor(s) disclaim responsibility for any injury to people or property resulting from any ideas, methods, instructions or products referred to in the content. |
© 2025 by the authors. Licensee MDPI, Basel, Switzerland. This article is an open access article distributed under the terms and conditions of the Creative Commons Attribution (CC BY) license (https://creativecommons.org/licenses/by/4.0/).














