Sign in to use this feature.

Years

Between: -

Subjects

remove_circle_outline
remove_circle_outline
remove_circle_outline
remove_circle_outline
remove_circle_outline
remove_circle_outline
remove_circle_outline
remove_circle_outline
remove_circle_outline

Journals

Article Types

Countries / Regions

Search Results (7)

Search Parameters:
Keywords = non-invasive sweat-based screening

Order results
Result details
Results per page
Select all
Export citation of selected articles as:
24 pages, 1661 KB  
Review
Innovative Methodologies for the Early Detection of Breast Cancer: A Review Categorized by Target Biological Samples
by Antonella Grasso, Vittorio Altomare, Giulia Fiorini, Alessandro Zompanti, Giorgio Pennazza and Marco Santonico
Biosensors 2025, 15(4), 257; https://doi.org/10.3390/bios15040257 - 17 Apr 2025
Cited by 4 | Viewed by 1809
Abstract
Innovative biosensor technologies are revolutionizing cancer detection by offering non-invasive, sensitive, and rapid diagnostic tools, addressing the limitations of conventional screening. Non-invasive samples like breath, saliva, urine, and sweat, analyzed using advanced technologies like electronic nose systems and AI, show promise for early [...] Read more.
Innovative biosensor technologies are revolutionizing cancer detection by offering non-invasive, sensitive, and rapid diagnostic tools, addressing the limitations of conventional screening. Non-invasive samples like breath, saliva, urine, and sweat, analyzed using advanced technologies like electronic nose systems and AI, show promise for early detection and frequent monitoring, though validation is needed. AI integration enhances data analysis and personalization. While blood-based methods remain the gold standard, combining them with less invasive sample types like saliva or sweat, and using sensitive techniques, is a promising direction. Conventional methods (mammography, MRI, etc.) offer proven efficacy, but are costly and invasive. Innovative methods using biosensors offer reduced infrastructure needs, lower costs, and patient-friendly sampling. However, challenges remain in validation, standardization, and low biomarker concentrations. Integrating both methodologies could create a comprehensive framework, combining reliability with accessibility. Future research should focus on robust biosensor development, standardization, expanding application to other cancers, exploring less-studied samples like sweat, and improving affordability for wider adoption, especially in resource-limited settings. The future lies in integrating diverse approaches for more sensitive, specific, and patient-friendly screening, improving early detection and outcomes. Full article
(This article belongs to the Special Issue Innovative Strategies for Cancer Biosensing)
Show Figures

Figure 1

22 pages, 2395 KB  
Article
DEMIGOD: A Low-Cost Microcontroller-Based Closed-Loop System Integrating Nanoengineered Sweat-Based Glucose Monitoring and Controlled Transdermal Nanoemulsion Release of Hypoglycemic Treatment with a Software Application for Noninvasive Personalized Diabetes Care
by Vasiliki Fiska, Eirini Papanikolaou, Michaela Patila, Mamas I. Prodromidis, Maria G. Trachioti, Eleni I. Tzianni, Konstantinos Spyrou, Pantelis Angelidis and Markos G. Tsipouras
Micromachines 2024, 15(7), 887; https://doi.org/10.3390/mi15070887 - 6 Jul 2024
Cited by 2 | Viewed by 2818
Abstract
This study endeavored to design and develop an innovative closed-loop diagnostic and therapeutic system with the following objectives: (a) the noninvasive detection of glucose concentration in sweat utilizing nanonengineered screen-printed biosensors; (b) the management of measured data through a specialized computer system comprising [...] Read more.
This study endeavored to design and develop an innovative closed-loop diagnostic and therapeutic system with the following objectives: (a) the noninvasive detection of glucose concentration in sweat utilizing nanonengineered screen-printed biosensors; (b) the management of measured data through a specialized computer system comprising both hardware and software components, thereby enabling the precise control of therapeutic responses via a patch-based nanomedicine delivery system. This initiative addresses the significant challenges inherent in the management of diabetes mellitus, including the imperative need for glucose-level monitoring to optimize glycemic control. Leveraging chronoamperometric results as a foundational dataset and the in vivo hypoglycemic activity of nanoemulsion formulations, this research underscores the efficacy and accuracy of glucose concentration estimation, decision-making mechanism responses, and transdermal hypoglycemic treatment effects, within the proposed system. Full article
(This article belongs to the Special Issue Nanomaterials for Micro/Nano Devices, 2nd Edition)
Show Figures

Figure 1

2 pages, 128 KB  
Abstract
Sweat-Based Volatile Organic Compound Identification of SARS-CoV-2 Detection
by Sorrawit Songsathitmetha, Isaya Thaveesangsakulthai, Kaywalee Chatdarong and Chadin Kulsing
Proceedings 2024, 104(1), 38; https://doi.org/10.3390/proceedings2024104038 - 28 May 2024
Viewed by 769
Abstract
Due to an outbreak of COVID-19 pandemic in recent years, the emerging variants of SARS-CoV-2 causing diagnostic challenges [...] Full article
(This article belongs to the Proceedings of The 4th International Electronic Conference on Biosensors)
15 pages, 2518 KB  
Article
Screen-Printed Textile-Based Electrochemical Biosensor for Noninvasive Monitoring of Glucose in Sweat
by Safoora Khosravi, Saeid Soltanian, Amir Servati, Ali Khademhosseini, Yangzhi Zhu and Peyman Servati
Biosensors 2023, 13(7), 684; https://doi.org/10.3390/bios13070684 - 27 Jun 2023
Cited by 32 | Viewed by 6284
Abstract
Wearable sweat biosensors for noninvasive monitoring of health parameters have attracted significant attention. Having these biosensors embedded in textile substrates can provide a convenient experience due to their soft and flexible nature that conforms to the skin, creating good contact for long-term use. [...] Read more.
Wearable sweat biosensors for noninvasive monitoring of health parameters have attracted significant attention. Having these biosensors embedded in textile substrates can provide a convenient experience due to their soft and flexible nature that conforms to the skin, creating good contact for long-term use. These biosensors can be easily integrated with everyday clothing by using textile fabrication processes to enhance affordable and scalable manufacturing. Herein, a flexible electrochemical glucose sensor that can be screen-printed onto a textile substrate has been demonstrated. The screen-printed textile-based glucose biosensor achieved a linear response in the range of 20–1000 µM of glucose concentration and high sensitivity (18.41 µA mM−1 cm−2, R2 = 0.996). In addition, the biosensors show high selectivity toward glucose among other interfering analytes and excellent stability over 30 days of storage. The developed textile-based biosensor can serve as a platform for monitoring bio analytes in sweat, and it is expected to impact the next generation of wearable devices. Full article
(This article belongs to the Special Issue Nanomaterial-Based Biosensors for Biomedical Applications (Volume II))
Show Figures

Graphical abstract

16 pages, 2761 KB  
Article
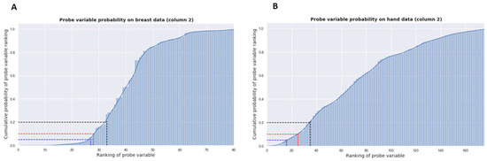
Screening of Breast Cancer from Sweat Samples Analyzed by 2-Dimensional Gas Chromatography-Mass Spectrometry: A Preliminary Study
by Michelle Leemans, Vincent Cuzuel, Pierre Bauër, Hind Baba Aissa, Gabriel Cournelle, Aurélien Baelde, Aurélie Thuleau, Guillaume Cognon, Nicolas Pouget, Eugénie Guillot, Isabelle Fromantin and Etienne Audureau
Cancers 2023, 15(11), 2939; https://doi.org/10.3390/cancers15112939 - 26 May 2023
Cited by 9 | Viewed by 4422
Abstract
Breast cancer (BC) remains one of the most commonly diagnosed malignancies in women. There is increasing interest in the development of non-invasive screening methods. Volatile organic compounds (VOCs) emitted through the metabolism of cancer cells are possible novel cancer biomarkers. This study aims [...] Read more.
Breast cancer (BC) remains one of the most commonly diagnosed malignancies in women. There is increasing interest in the development of non-invasive screening methods. Volatile organic compounds (VOCs) emitted through the metabolism of cancer cells are possible novel cancer biomarkers. This study aims to identify the existence of BC-specific VOCs in the sweat of BC patients. Sweat samples from the breast and hand area were collected from 21 BC participants before and after breast tumor ablation. Thermal desorption coupled with two-dimensional gas chromatography and mass spectrometry was used to analyze VOCs. A total of 761 volatiles from a homemade human odor library were screened on each chromatogram. From those 761 VOCs, a minimum of 77 VOCs were detected within the BC samples. Principal component analysis showed that VOCs differ between the pre- and post-surgery status of the BC patients. The Tree-based Pipeline Optimization Tool identified logistic regression as the best-performing machine learning model. Logistic regression modeling identified VOCs that distinguish the pre-and post-surgery state in BC patients on both the breast and hand area with sensitivities close to 1. Further, Shapley additive explanations and the probe variable method identified the most important and pertinent VOCs distinguishing pre- and post-operative status which are mostly of distinct origin for the hand and breast region. Results suggest the possibility to identify endogenous metabolites linked to BC, hence proposing this innovative pipeline as a stepstone to discovering potential BC biomarkers. Large-scale studies in a multi-centered VOC analysis setting must be carried out to validate obtained findings. Full article
Show Figures

Figure 1

23 pages, 1958 KB  
Review
Challenges and Strategies in Developing an Enzymatic Wearable Sweat Glucose Biosensor as a Practical Point-Of-Care Monitoring Tool for Type II Diabetes
by Sook Mei Khor, Joonhwa Choi, Phillip Won and Seung Hwan Ko
Nanomaterials 2022, 12(2), 221; https://doi.org/10.3390/nano12020221 - 10 Jan 2022
Cited by 92 | Viewed by 9569
Abstract
Recently, several studies have been conducted on wearable biosensors. Despite being skin-adhesive and mountable diagnostic devices, flexible biosensor patches cannot truly be considered wearable biosensors if they need to be connected to external instruments/processors to provide meaningful data/readings. A realistic and usable wearable [...] Read more.
Recently, several studies have been conducted on wearable biosensors. Despite being skin-adhesive and mountable diagnostic devices, flexible biosensor patches cannot truly be considered wearable biosensors if they need to be connected to external instruments/processors to provide meaningful data/readings. A realistic and usable wearable biosensor should be self-contained, with a fully integrated device framework carefully designed and configured to provide reliable and intelligent diagnostics. There are several major challenges to achieving continuous sweat monitoring in real time for the systematic and effective management of type II diabetes (e.g., prevention, screening, monitoring, and treatment) through wearable sweat glucose biosensors. Consequently, further in-depth research regarding the exact interrelationship between active or passive sweat glucose and blood glucose is required to assess the applicability of wearable glucose biosensors in functional health monitoring. This review provides some useful insights that can enable effective critical studies of these unresolved issues. In this review, we first classify wearable glucose biosensors based on their signal transduction, their respective challenges, and the advanced strategies required to overcome them. Subsequently, the challenges and limitations of enzymatic and non-enzymatic wearable glucose biosensors are discussed and compared. Ten basic criteria to be considered and fulfilled in the development of a suitable, workable, and wearable sweat-based glucose biosensor are listed, based on scientific reports from the last five years. We conclude with our outlook for the controllable, well-defined, and non-invasive monitoring of epidermal glucose for maximum diagnostic potential in the effective management of type II diabetes. Full article
Show Figures

Figure 1

24 pages, 3257 KB  
Review
Contact-Lens Biosensors
by Ryan Chang Tseng, Ching-Chuen Chen, Sheng-Min Hsu and Han-Sheng Chuang
Sensors 2018, 18(8), 2651; https://doi.org/10.3390/s18082651 - 13 Aug 2018
Cited by 138 | Viewed by 16298
Abstract
Rapid diagnosis and screening of diseases have become increasingly important in predictive and preventive medicine as they improve patient treatment strategies and reduce cost as well as burden on our healthcare system. In this regard, wearable devices are emerging as effective and reliable [...] Read more.
Rapid diagnosis and screening of diseases have become increasingly important in predictive and preventive medicine as they improve patient treatment strategies and reduce cost as well as burden on our healthcare system. In this regard, wearable devices are emerging as effective and reliable point-of-care diagnostics that can allow users to monitor their health at home. These wrist-worn, head-mounted, smart-textile, or smart-patches devices can offer valuable information on the conditions of patients as a non-invasive form of monitoring. However, they are significantly limited in monitoring physiological signals and biomechanics, and, mostly, rely on the physical attributes. Recently, developed wearable devices utilize body fluids, such as sweat, saliva, or skin interstitial fluid, and electrochemical interactions to allow continuous physiological condition and disease monitoring for users. Among them, tear fluid has been widely utilized in the investigation of ocular diseases, diabetes, and even cancers, because of its easy accessibility, lower complexity, and minimal invasiveness. By determining the concentration change of analytes within the tear fluid, it would be possible to identify disease progression and allow patient-oriented therapies. Considering the emerging trend of tear-based biosensing technology, this review article aims to focus on an overview of the tear fluid as a detection medium for certain diseases, such as ocular disorders, diabetes, and cancer. In addition, the rise and application of minimally invasive detection and monitoring via integrated contact lens biosensors will also be addressed, in regards to their practicality and current developmental progress. Full article
(This article belongs to the Special Issue Biosensors for the Detection of Biomarkers)
Show Figures

Figure 1

Back to TopTop