Sign in to use this feature.

Years

Between: -

Subjects

remove_circle_outline
remove_circle_outline
remove_circle_outline

Journals

Article Types

Countries / Regions

Search Results (6)

Search Parameters:
Keywords = non-PGM structures

Order results
Result details
Results per page
Select all
Export citation of selected articles as:
31 pages, 8890 KB  
Review
Advancements in Non-Precious Metal Catalysts for High-Temperature Proton-Exchange Membrane Fuel Cells: A Comprehensive Review
by Naresh Narayanan, Balamurali Ravichandran, Indubala Emayavaramban, Huiyuan Liu and Huaneng Su
Catalysts 2025, 15(8), 775; https://doi.org/10.3390/catal15080775 - 14 Aug 2025
Viewed by 1311
Abstract
High-Temperature Proton-Exchange Membrane Fuel Cells (HT-PEMFCs) represent a promising clean energy technology and are valued for their fuel flexibility and simplified balance of plant. Their commercialization, however, is critically hindered by the prohibitive cost and resource scarcity of platinum-group metal (PGM) catalysts. The [...] Read more.
High-Temperature Proton-Exchange Membrane Fuel Cells (HT-PEMFCs) represent a promising clean energy technology and are valued for their fuel flexibility and simplified balance of plant. Their commercialization, however, is critically hindered by the prohibitive cost and resource scarcity of platinum-group metal (PGM) catalysts. The challenge is amplified in the phosphoric acid (PA) electrolyte of HT-PEMFCs, where the severe anion poisoning of PGM active sites necessitates impractically high catalyst loadings. This review addresses the urgent need for cost-effective alternatives by providing a comprehensive assessment of recent advancements in non-precious metal (NPM) catalysts for the oxygen reduction reaction (ORR) in HT-PEMFCs. It systematically explores synthesis strategies and structure–performance relationships for emerging catalyst classes, including transition metal compounds, metal–nitrogen–carbon (M-N-C) materials, and metal-free heteroatom-doped carbons. A significant focus is placed on M-N-C catalysts, particularly those with atomically dispersed Fe-Nx active sites, which have emerged as the most viable replacements for platinum due to their high intrinsic activity and notable tolerance to phosphate poisoning. This review critically analyzes key challenges that impede practical application, such as the trade-off between catalyst activity and stability, mass transport limitations in thick electrodes, and long-term degradation in the harsh PA environment. Finally, it outlines future research directions, emphasizing the need for a synergistic approach that integrates computational modeling with advanced operando characterization to guide the rational design of durable, high-performance catalysts and electrode architectures, thereby accelerating the path to commercial viability for HT-PEMFC technology. Full article
(This article belongs to the Section Electrocatalysis)
Show Figures

Graphical abstract

22 pages, 2567 KB  
Review
Non-Platinum Group Metal Oxygen Reduction Catalysts for a Hydrogen Fuel Cell Cathode: A Mini-Review
by Naomi Helsel and Pabitra Choudhury
Catalysts 2025, 15(6), 588; https://doi.org/10.3390/catal15060588 - 13 Jun 2025
Cited by 1 | Viewed by 1686
Abstract
Although platinum-based catalysts are highly effective for the oxygen reduction reaction (ORR) in proton exchange membrane fuel cells (PEMFCs), their high cost and scarcity limit large-scale commercialization. As a result, platinum group metal-free catalysts—particularly Fe-N-C materials—have received increasing attention as promising alternatives. Despite [...] Read more.
Although platinum-based catalysts are highly effective for the oxygen reduction reaction (ORR) in proton exchange membrane fuel cells (PEMFCs), their high cost and scarcity limit large-scale commercialization. As a result, platinum group metal-free catalysts—particularly Fe-N-C materials—have received increasing attention as promising alternatives. Despite significant progress, no platinum-group metal-free (PGM-free) catalyst has yet matched the performance and durability of commercial Pt/C in acidic media. Recent advances in synthesis strategies, however, have led to notable improvements in the activity, stability, and active site density of Fe-N-C catalysts. This review highlights key synthesis approaches, including pyrolysis, MOF-derived templates, and cascade anchoring, and discusses how these methods contribute to improved nitrogen coordination, electronic structure modulation, and active site engineering. The continued refinement of these strategies, alongside improved catalyst screening techniques, is essential for closing the performance gap and enabling the practical deployment of non-PGM catalysts in PEMFC technologies. Full article
(This article belongs to the Special Issue Feature Review Papers in Electrocatalysis)
Show Figures

Figure 1

21 pages, 9220 KB  
Review
Structural and Functional Integration of Tissue-Nonspecific Alkaline Phosphatase Within the Alkaline Phosphatase Superfamily: Evolutionary Insights and Functional Implications
by Iliass Imam, Gilles Jean Philippe Rautureau, Sébastien Violot, Eva Drevet Mulard, David Magne and Lionel Ballut
Metabolites 2024, 14(12), 659; https://doi.org/10.3390/metabo14120659 - 25 Nov 2024
Cited by 2 | Viewed by 1666
Abstract
Phosphatases are enzymes that catalyze the hydrolysis of phosphate esters. They play critical roles in diverse biological processes such as extracellular nucleotide homeostasis, transport of molecules across membranes, intracellular signaling pathways, or vertebrate mineralization. Among them, tissue-nonspecific alkaline phosphatase (TNAP) is today increasingly [...] Read more.
Phosphatases are enzymes that catalyze the hydrolysis of phosphate esters. They play critical roles in diverse biological processes such as extracellular nucleotide homeostasis, transport of molecules across membranes, intracellular signaling pathways, or vertebrate mineralization. Among them, tissue-nonspecific alkaline phosphatase (TNAP) is today increasingly studied, due to its ubiquitous expression and its ability to dephosphorylate a very broad range of substrates and participate in several different biological functions. For instance, TNAP hydrolyzes inorganic pyrophosphate (PPi) to allow skeletal and dental mineralization. Additionally, TNAP hydrolyzes pyridoxal phosphate to allow cellular pyridoxal uptake, and stimulate vitamin B6-dependent reactions. Furthermore, TNAP has been identified as a key enzyme in non-shivering adaptive thermogenesis, by dephosphorylating phosphocreatine in the mitochondrial creatine futile cycle. This latter recent discovery and others suggest that the list of substrates and functions of TNAP may be much longer than previously thought. In the present review, we sought to examine TNAP within the alkaline phosphatase (AP) superfamily, comparing its sequence, structure, and evolutionary trajectory. The AP superfamily, characterized by a conserved central folding motif of a mixed beta-sheet flanked by alpha-helices, includes six subfamilies: AP, arylsulfatases (ARS), ectonucleotide pyrophosphatases/phosphodiesterases (ENPP), phosphoglycerate mutases (PGM), phosphonoacetate hydrolases, and phosphopentomutases. Interestingly, TNAP and several ENPP family members appear to participate in the same metabolic pathways and functions. For instance, extra-skeletal mineralization in vertebrates is inhibited by ENPP1-mediated ATP hydrolysis into the mineralization inhibitor PPi, which is hydrolyzed by TNAP expressed in the skeleton. Better understanding how TNAP and other AP family members differ structurally will be very useful to clarify their complementary functions. Structurally, TNAP shares the conserved catalytic core with other AP superfamily members but has unique features affecting substrate specificity and activity. The review also aims to highlight the importance of oligomerization in enzyme stability and function, and the role of conserved metal ion coordination, particularly magnesium, in APs. By exploring the structural and functional diversity within the AP superfamily, and discussing to which extent its members exert redundant, complementary, or specific functions, this review illuminates the evolutionary pressures shaping these enzymes and their broad physiological roles, offering insights into TNAP’s multifunctionality and its implications for health and disease. Full article
(This article belongs to the Section Cell Metabolism)
Show Figures

Figure 1

19 pages, 3816 KB  
Article
Optimizing Fe-N-C Electrocatalysts for PEMFCs: Influence of Constituents and Pyrolysis on Properties and Performance
by Ilias Maniatis, Georgios Charalampopoulos, Fotios Paloukis and Maria K. Daletou
Catalysts 2024, 14(11), 780; https://doi.org/10.3390/catal14110780 - 4 Nov 2024
Cited by 5 | Viewed by 2204
Abstract
Proton exchange membrane fuel cells (PEMFCs) are promising alternative technologies with applications in stationary power systems, vehicles, and portable electronics due to their low temperature operation, fast start-up, and environmental advantages. However, the high cost of platinum-based catalysts, in particular for the oxygen [...] Read more.
Proton exchange membrane fuel cells (PEMFCs) are promising alternative technologies with applications in stationary power systems, vehicles, and portable electronics due to their low temperature operation, fast start-up, and environmental advantages. However, the high cost of platinum-based catalysts, in particular for the oxygen reduction reaction (ORR) of the cathode side, prevents their widespread incorporation. Fe-N-C electrocatalysts have emerged as viable alternatives to platinum. In this study, different precursor components were investigated for the way that they affect the pyrolysis process, which is crucial for tailoring the final catalyst properties. In particular, carbon allotropes such as carbon Vulcan, Ketjenblack, and carbon nanotubes were selected for their unique structures and properties. In addition, various sources of iron (FeCl2, FeCl3, and K[Fe(SCN)4]) were evaluated. The influence of the pyrolysis atmosphere on the resulting Fe-N-C catalyst structures was also assessed. Through an integrated structure and surface chemistry analyses, as well as electrochemical tests with rotating disk electrode experiments in acidic media, the ORR performance and stability of these catalysts were defined. By examining the relationships between carbon sources and iron precursors, this research provides valuable information for the optimization of Fe-N-C catalysts in fuel cell applications. Full article
(This article belongs to the Special Issue Advanced Catalysis for Energy and Environmental Applications)
Show Figures

Figure 1

20 pages, 4040 KB  
Article
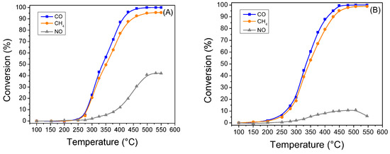
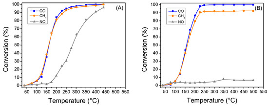
High Catalytic Efficiency of a Nanosized Copper-Based Catalyst for Automotives: A Physicochemical Characterization
by Amaia Soto Beobide, Anastasia M. Moschovi, Georgios N. Mathioudakis, Marios Kourtelesis, Zoi G. Lada, Konstantinos S. Andrikopoulos, Labrini Sygellou, Vassilios Dracopoulos, Iakovos Yakoumis and George A. Voyiatzis
Molecules 2022, 27(21), 7402; https://doi.org/10.3390/molecules27217402 - 31 Oct 2022
Cited by 5 | Viewed by 2949
Abstract
The global trend in restrictions on pollutant emissions requires the use of catalytic converters in the automotive industry. Noble metals belonging to the platinum group metals (PGMs, platinum, palladium, and rhodium) are currently used for autocatalysts. However, recent efforts focus on the development [...] Read more.
The global trend in restrictions on pollutant emissions requires the use of catalytic converters in the automotive industry. Noble metals belonging to the platinum group metals (PGMs, platinum, palladium, and rhodium) are currently used for autocatalysts. However, recent efforts focus on the development of new catalytic converters that combine high activity and reduced cost, attracting the interest of the automotive industry. Among them, the partial substitution of PGMs by abundant non-PGMs (transition metals such as copper) seems to be a promising alternative. The PROMETHEUS catalyst (PROM100) is a polymetallic nanosized copper-based catalyst for automotives prepared by a wet impregnation method, using as a carrier an inorganic mixed oxide (CeO2-ZrO2) exhibiting elevated oxygen storage capacity. On the other hand, catalyst deactivation or ageing is defined as the process in which the structure and state of the catalyst change, leading to the loss of the catalyst’s active sites with a subsequent decrease in the catalyst’s performance, significantly affecting the emissions of the catalyst. The main scope of this research is to investigate in detail the effect of ageing on this low-cost, effective catalyst. To that end, a detailed characterization has been performed with a train of methods, such as SEM, Raman, XRD, XRF, BET and XPS, to both ceria–zirconia mixed inorganic oxide support (CZ-fresh and -aged) and to the copper-based catalyst (PROM100-fresh and -aged), revealing the impact of ageing on catalytic efficiency. It was found that ageing affects the Ce–Zr mixed oxide structure by initiating the formation of distinct ZrO2 and CeO2 structures monitored by Raman and XRD. In addition, it crucially affects the morphology of the sample by reducing the surface area by a factor of nearly two orders of magnitude and increasing particle size as indicated by BET and SEM due to sintering. Finally, the Pd concentration was found to be considerably reduced from the material’s surface as suggested by XPS data. The above-mentioned alterations observed after ageing increased the light-off temperatures by more than 175 °C, compared to the fresh sample, without affecting the overall efficiency of the catalyst for CO and CH4 oxidation reactions. Metal particle and CeZr carrier sintering, washcoat loss as well as partial metal encapsulation by Cu and/or CeZrO4 are identified as the main causes for the deactivation after hydrothermal ageing. Full article
(This article belongs to the Section Molecular Structure)
Show Figures

Figure 1

28 pages, 6960 KB  
Review
Homo- and Hetero-Oligonuclear Complexes of Platinum Group Metals (PGM) Coordinated by Imine Schiff Base Ligands
by Barbara Miroslaw
Int. J. Mol. Sci. 2020, 21(10), 3493; https://doi.org/10.3390/ijms21103493 - 15 May 2020
Cited by 36 | Viewed by 6502
Abstract
Chemistry of Schiff base (SB) ligands began in 1864 due to the discovery made by Hugo Schiff (Schiff, H., Justus Liebigs Ann. der Chemie 1864, 131 (1), 118–119). However, there is still a vivid interest in coordination compounds based on imine ligands. The [...] Read more.
Chemistry of Schiff base (SB) ligands began in 1864 due to the discovery made by Hugo Schiff (Schiff, H., Justus Liebigs Ann. der Chemie 1864, 131 (1), 118–119). However, there is still a vivid interest in coordination compounds based on imine ligands. The aim of this paper is to review the most recent concepts on construction of homo- and hetero-oligonuclear Schiff base coordination compounds narrowed down to the less frequently considered complexes of platinum group metals (PGM). The combination of SB and PGM in oligonuclear entities has several advantages over mononuclear or polynuclear species. Such complexes usually exhibit better electroluminescent, magnetic and/or catalytic properties than mononuclear ones due to intermetallic interactions and frequently have better solubility than polymers. Various construction strategies of oligodentate imine ligands for coordination of PGM are surveyed including simple imine ligands, non-innocent 1,2-diimines, chelating imine systems with additional N/O/S atoms, classic N2O2-compartmental Schiff bases and their modifications resulting in acyclic fused ligands, macrocycles such as calixsalens, metallohelical structures, nano-sized molecular wheels and hybrid materials incorporating mesoionic species. Co-crystallization and formation of metallophilic interactions to extend the mononuclear entities up to oligonuclear coordination species are also discussed. Full article
(This article belongs to the Special Issue Oligonuclear Metal Complexes with Schiff Base Ligands)
Show Figures

Graphical abstract

Back to TopTop