Sign in to use this feature.

Years

Between: -

Subjects

remove_circle_outline
remove_circle_outline
remove_circle_outline
remove_circle_outline
remove_circle_outline
remove_circle_outline

Journals

Article Types

Countries / Regions

Search Results (14)

Search Parameters:
Keywords = muscle sympathetic nerve activity

Order results
Result details
Results per page
Select all
Export citation of selected articles as:
16 pages, 632 KB  
Review
Autonomic Nervous System, Cognition, and Emotional Valence During Different Phases of the Menstrual Cycle—A Narrative Review
by Sankanika Roy, Elettra Agordati and Thomas D. W. Wilcockson
NeuroSci 2025, 6(3), 78; https://doi.org/10.3390/neurosci6030078 - 13 Aug 2025
Cited by 2 | Viewed by 4332
Abstract
The menstrual cycle affects the autonomic nervous system (ANS), cognition, and emotional valence in all biological women. There exists a complex relationship between hormonal fluctuations, ANS, cognition, and emotional valence during the different phases of the menstrual cycle, which includes menstruation, the follicular [...] Read more.
The menstrual cycle affects the autonomic nervous system (ANS), cognition, and emotional valence in all biological women. There exists a complex relationship between hormonal fluctuations, ANS, cognition, and emotional valence during the different phases of the menstrual cycle, which includes menstruation, the follicular phase, ovulation, and the luteal phase. Hence, this narrative review is an attempt to comprehensively understand the effects of the menstrual cycle on the structural and functional integrity of the ANS. In order to provide a comprehensive understanding of the complex relationship between the menstrual cycle, hormonal fluctuations, and ANS function in biological women, this review examines key parameters, including heart rate variability (HRV), baroreflex sensitivity (BRS), muscle sympathetic nerve activity (MSNA), and pupillary light reflex (PLR), to investigate how these physiological systems are dynamically influenced by the cyclical changes in hormone levels and how these fluctuations impact various physiological and psychological outcomes, such as mood, cognition, and emotional regulation. There have been several studies previously performed to assess these parameters during different phases of the menstrual cycle. However, the results have been contradictory; therefore, this review explores possible reasons behind these inconsistent results, with likely reasons including irregularity in the menstrual cycles and differences in hormonal fluctuations between different women during similar phases of the menstrual cycle. Overall, there appears to be evidence to suggest that the menstrual cycle has both direct and indirect effects on ANS, cognition, and emotional valence, whilst measures of ANS may provide a means for assessing the effect of the menstrual cycle. Full article
Show Figures

Figure 1

19 pages, 2184 KB  
Article
Cannabis sativa L. Leaf Oil Displays Cardiovascular Protective Effects in Hypertensive Rats
by Juthamas Khamseekaew, Monchai Duangjinda, Putcharawipa Maneesai, Chanon Labjit, Siwayu Rattanakanokchai, Sudarat Rongpan, Poungrat Pakdeechote and Prapassorn Potue
Int. J. Mol. Sci. 2025, 26(5), 1897; https://doi.org/10.3390/ijms26051897 - 22 Feb 2025
Cited by 3 | Viewed by 2360
Abstract
Hemp (Cannabis sativa L.) leaf oil (HLO) contains several bioactive compounds such as phenolics, flavonoids, and quercetin. However, the effects of HLO on hypertensive conditions have not yet been investigated. This study investigated the cardiovascular protective effects of HLO in a nitric [...] Read more.
Hemp (Cannabis sativa L.) leaf oil (HLO) contains several bioactive compounds such as phenolics, flavonoids, and quercetin. However, the effects of HLO on hypertensive conditions have not yet been investigated. This study investigated the cardiovascular protective effects of HLO in a nitric oxide (NO) synthase inhibitor-induced hypertensive rat model. Five weeks of HLO administration significantly prevented blood pressure elevation, improved cardiac function, and mitigated cardiac hypertrophy. Furthermore, HLO ameliorated vascular dysfunction by reducing sympathetic nerve stimulation-induced vasoconstriction, increasing endothelium-dependent vasorelaxation, as well as decreasing vascular wall thickness and vascular smooth muscle cell proliferation. HLO inhibited renin–angiotensin system (RAS) activation and downregulated angiotensin II type 1 (AT1) receptor and NADPH oxidase expression. Additionally, HLO normalized the circulating NO metabolites, decreased oxidative stress, and enhanced antioxidant status. These findings suggest that HLO protects against cardiovascular dysfunction and preserves its morphology. The mechanism of action might involve the suppression of RAS overactivity and oxidative stress through the Ang II/AT1 receptor/NOX2 pathway in NO-deficient hypertension. Full article
(This article belongs to the Section Molecular Pathology, Diagnostics, and Therapeutics)
Show Figures

Graphical abstract

11 pages, 243 KB  
Review
Sex Influence on Trigeminal Nerve Stimulation and Breath-Hold Diving Performance: Examination of the Autonomic Regulation of Cardiovascular Responses to Facial Cooling and Apnoea Across Sex and Varied Factors
by Krzysztof S. Malinowski, Magdalena Wszędybył-Winklewska and Paweł J. Winklewski
NeuroSci 2025, 6(1), 3; https://doi.org/10.3390/neurosci6010003 - 4 Jan 2025
Cited by 2 | Viewed by 4139
Abstract
This review emphasises the importance of the cardiovascular response to facial cooling (FC) and breath holding in both sexes. The trigemino-cardiac reflex, triggered by FC, reduces heart rate (HR) and constricts blood vessels. When combined with breath holding, this effect intensifies, enhancing the [...] Read more.
This review emphasises the importance of the cardiovascular response to facial cooling (FC) and breath holding in both sexes. The trigemino-cardiac reflex, triggered by FC, reduces heart rate (HR) and constricts blood vessels. When combined with breath holding, this effect intensifies, enhancing the cardiodepressive impact. The cardiovascular reaction to this combination, known as the cold-water face immersion or simulated diving test, varies among individuals and depends on their cardiovascular regulatory profiles, which differ between men and women. Despite extensive research on the cardiovascular response to FC and apnoea, most studies did not categorise participants by sex, leading to a limited understanding of how it influences trigeminal nerve stimulation (TGS) and breath-hold diving (BHD). Despite attempts to address this, the existing findings remain inconsistent due to intra- and inter-individual variability. Key factors influencing the diving response include the influence of the parasympathetic system on HR, vascular sympathetic activity affecting total peripheral resistance (TPR), sensitivity to CO2, lung capacity, training, physical performance, duration of apnoea, and the stimulation of metaboreceptors in working muscles. These factors differ between men and women, potentially contributing to variations in the effectiveness of the response to the FC combined with breath holding. Full article
15 pages, 4497 KB  
Article
Localization of Catecholaminergic Neurofibers in Pregnant Cervix as a Possible Myometrial Pacemaker
by Antonio Malvasi, Giorgio Maria Baldini, Ettore Cicinelli, Edoardo Di Naro, Domenico Baldini, Alessandro Favilli, Paola Tiziana Quellari, Paola Sabbatini, Bernard Fioretti, Lorenzo E. Malgieri, Gianluca Raffaello Damiani, Miriam Dellino, Giuseppe Trojano and Andrea Tinelli
Int. J. Mol. Sci. 2024, 25(11), 5630; https://doi.org/10.3390/ijms25115630 - 22 May 2024
Cited by 1 | Viewed by 2734
Abstract
In eutocic labor, the autonomic nervous system is dominated by the parasympathetic system, which ensures optimal blood flow to the uterus and placenta. This study is focused on the detection of the quantitative presence of catecholamine (C) neurofibers in the internal uterine orifice [...] Read more.
In eutocic labor, the autonomic nervous system is dominated by the parasympathetic system, which ensures optimal blood flow to the uterus and placenta. This study is focused on the detection of the quantitative presence of catecholamine (C) neurofibers in the internal uterine orifice (IUO) and in the lower uterine segment (LUS) of the pregnant uterus, which could play a role in labor and delivery. A total of 102 women were enrolled before their submission to a scheduled cesarean section (CS); patients showed a singleton fetus in a cephalic presentation outside labor. During CS, surgeons sampled two serial consecutive full-thickness sections 5 mm in depth (including the myometrial layer) on the LUS and two randomly selected samples of 5 mm depth from the IUO of the cervix. All histological samples were studied to quantify the distribution of A nerve fibers. The authors demonstrated a significant and notably higher concentration of A fibers in the IUO (46 ± 4.8) than in the LUS (21 ± 2.6), showing that the pregnant cervix has a greater concentration of A neurofibers than the at-term LUS. Pregnant women’s mechanosensitive pacemakers can operate normally when the body is in a physiological state, which permits normal uterine contractions and eutocic delivery. The increased frequency of C neurofibers in the cervix may influence the smooth muscle cell bundles’ activation, which could cause an aberrant mechano-sensitive pacemaker activation–deactivation cycle. Stressful circumstances (anxiety, tension, fetal head position) cause the sympathetic nervous system to become more active, working through these nerve fibers in the gravid cervix. They might interfere with the mechano-sensitive pacemakers, slowing down the uterine contractions and cervix ripening, which could result in dystocic labor. Full article
(This article belongs to the Special Issue Advances in Research on Neurotransmitters)
Show Figures

Figure 1

18 pages, 1701 KB  
Article
Mutual Information between EDA and EEG in Multiple Cognitive Tasks and Sleep Deprivation Conditions
by David Alejandro Martínez Vásquez, Hugo F. Posada-Quintero and Diego Mauricio Rivera Pinzón
Behav. Sci. 2023, 13(9), 707; https://doi.org/10.3390/bs13090707 - 25 Aug 2023
Cited by 11 | Viewed by 4700
Abstract
Sleep deprivation, a widespread phenomenon that affects one-third of normal American adults, induces adverse changes in physical and cognitive performance, which in turn increases the occurrence of accidents. Sleep deprivation is known to increase resting blood pressure and decrease muscle sympathetic nerve activity. [...] Read more.
Sleep deprivation, a widespread phenomenon that affects one-third of normal American adults, induces adverse changes in physical and cognitive performance, which in turn increases the occurrence of accidents. Sleep deprivation is known to increase resting blood pressure and decrease muscle sympathetic nerve activity. Monitoring changes in the interplay between the central and autonomic sympathetic nervous system can be a potential indicator of human’s readiness to perform tasks that involve a certain level of cognitive load (e.g., driving). The electroencephalogram (EEG) is the standard to assess the brain’s activity. The electrodermal activity (EDA) is a reflection of the general state of arousal regulated by the activation of the sympathetic nervous system through sweat gland stimulation. In this work, we calculated the mutual information between EDA and EEG recordings in order to consider linear and non-linear interactions and provide an insight of the relationship between brain activity and peripheral autonomic sympathetic activity. We analyzed EEG and EDA data from ten participants performing four cognitive tasks every two hours during 24 h (12 trials). We decomposed EEG data into delta, theta, alpha, beta, and gamma spectral components, and EDA into tonic and phasic components. The results demonstrate high values of mutual information between the EDA and delta component of EEG, mainly in working memory tasks. Additionally, we found an increase in the theta component of EEG in the presence of fatigue caused by sleep deprivation, the alpha component in tasks demanding inhibition and attention, and the delta component in working memory tasks. In terms of the location of brain activity, most of the tasks report high mutual information in frontal regions in the initial trials, with a trend to decrease and become uniform for all the nine analyzed EEG channels as a consequence of the sleep deprivation effect. Our results evidence the interplay between central and sympathetic nervous activity and can be used to mitigate the consequences of sleep deprivation. Full article
Show Figures

Figure 1

12 pages, 2220 KB  
Article
The Acute Effects and Mechanism of Ketamine on Nicotine-Induced Neurogenic Relaxation of the Corpus Cavernosum in Mice
by Ming-Wei Li, Tze-Chen Chao, Li-Yi Lim, Hsi-Hsien Chang and Stephen Shei-Dei Yang
Int. J. Mol. Sci. 2023, 24(8), 6976; https://doi.org/10.3390/ijms24086976 - 10 Apr 2023
Cited by 3 | Viewed by 4706
Abstract
The present study aimed to investigate the acute effects and the mechanism of ketamine on nicotine-induced relaxation of the corpus cavernosum (CC) in mice. This study measured the intra-cavernosal pressure (ICP) of male C57BL/6 mice and the CC muscle activities using an organ [...] Read more.
The present study aimed to investigate the acute effects and the mechanism of ketamine on nicotine-induced relaxation of the corpus cavernosum (CC) in mice. This study measured the intra-cavernosal pressure (ICP) of male C57BL/6 mice and the CC muscle activities using an organ bath wire myograph. Various drugs were used to investigate the mechanism of ketamine on nicotine-induced relaxation. Direct ketamine injection into the major pelvic ganglion (MPG) inhibited MPG-induced increases in ICP. D-serine/L-glutamate-induced relaxation of the CC was inhibited by MK-801 (N-methyl-D-aspartate (NMDA) receptor inhibitor), and nicotine-induced relaxation was enhanced by D-serine/L-glutamate. NMDA had no effect on CC relaxation. Nicotine-induced relaxation of the CC was suppressed by mecamylamine (a non-selective nicotinic acetylcholine receptor antagonist), lidocaine, guanethidine (an adrenergic neuronal blocker), Nw-nitro-L-arginine (a non-selective nitric oxide synthase inhibitor), MK-801, and ketamine. This relaxation was almost completely inhibited in CC strips pretreated with 6-hydroxydopamine (a neurotoxic synthetic organic compound). Ketamine inhibited cavernosal nerve neurotransmission via direct action on the ganglion and impaired nicotine-induced CC relaxation. The relaxation of the CC was dependent on the interaction of the sympathetic and parasympathetic nerves, which may be mediated by the NMDA receptor. Full article
(This article belongs to the Collection Feature Papers in Molecular Pharmacology)
Show Figures

Figure 1

27 pages, 2449 KB  
Review
Sympathetic Nerve Activity and Blood Pressure Response to Exercise in Peripheral Artery Disease: From Molecular Mechanisms, Human Studies, to Intervention Strategy Development
by Lu Qin, Jian Cui and Jianhua Li
Int. J. Mol. Sci. 2022, 23(18), 10622; https://doi.org/10.3390/ijms231810622 - 13 Sep 2022
Cited by 6 | Viewed by 5129
Abstract
Sympathetic nerve activity (SNA) regulates the contraction of vascular smooth muscle and leads to a change in arterial blood pressure (BP). It was observed that SNA, vascular contractility, and BP are heightened in patients with peripheral artery disease (PAD) during exercise. The exercise [...] Read more.
Sympathetic nerve activity (SNA) regulates the contraction of vascular smooth muscle and leads to a change in arterial blood pressure (BP). It was observed that SNA, vascular contractility, and BP are heightened in patients with peripheral artery disease (PAD) during exercise. The exercise pressor reflex (EPR), a neural mechanism responsible for BP response to activation of muscle afferent nerve, is a determinant of the exaggerated exercise-induced BP rise in PAD. Based on recent results obtained from a series of studies in PAD patients and a rat model of PAD, this review will shed light on SNA-driven BP response and the underlying mechanisms by which receptors and molecular mediators in muscle afferent nerves mediate the abnormalities in autonomic activities of PAD. Intervention strategies, particularly non-pharmacological strategies, improving the deleterious exercise-induced SNA and BP in PAD, and enhancing tolerance and performance during exercise will also be discussed. Full article
(This article belongs to the Special Issue Sympathetic Nerves and Cardiovascular Diseases)
Show Figures

Figure 1

11 pages, 1822 KB  
Article
Acute Effects of Electronic and Tobacco Cigarette Smoking on Sympathetic Nerve Activity and Blood Pressure in Humans
by Kyriakos Dimitriadis, Krzysztof Narkiewicz, Ioannis Leontsinis, Dimitris Konstantinidis, Costas Mihas, Ioannis Andrikou, Costas Thomopoulos, Dimitrios Tousoulis and Konstantinos Tsioufis
Int. J. Environ. Res. Public Health 2022, 19(6), 3237; https://doi.org/10.3390/ijerph19063237 - 9 Mar 2022
Cited by 39 | Viewed by 20091
Abstract
Acute tobacco cigarette (TC) smoking increases blood pressure and sympathetic nerve activity, whereas there are scarce data on the impact of electronic cigarette (EC) smoking. We assessed the acute effects of TC, EC and sham smoking on blood pressure, heart rate and sympathetic [...] Read more.
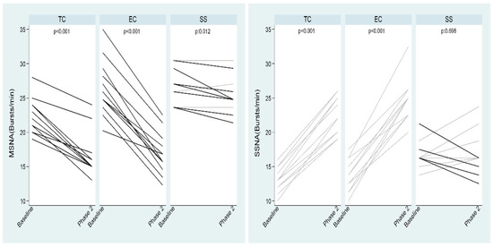
Acute tobacco cigarette (TC) smoking increases blood pressure and sympathetic nerve activity, whereas there are scarce data on the impact of electronic cigarette (EC) smoking. We assessed the acute effects of TC, EC and sham smoking on blood pressure, heart rate and sympathetic nervous system. Methods: We studied 12 normotensive male habitual smokers (mean age 33 years) free of cardiovascular disease. The study design was randomized and sham controlled with three experimental sessions (sham smoking, TC smoking and EC smoking). After baseline measurements at rest, the subjects were then asked to smoke (puffing habits left uncontrolled) two TC cigarettes containing 1.1 mg nicotine, EC smoking or simulated smoking with a drinking straw with a filter (sham smoking), in line with previous methodology. Results: EC smoking at 5 and 30 min compared to baseline was accompanied by the augmentation of mean arterial pressure (MAP) and heart rate (p < 0.001 for all). The muscle sympathetic nerve activity (MSNA) decrease was significant during both TC and EC sessions (p < 0.001 for both comparisons) and was similar between them (−25.1% ± 9.8% vs. −34.4% ± 8.3%, respectively, p = 0.018). Both MSNA decreases were significantly higher (p < 0.001 for both comparisons) than that elicited by sham smoking (−4.4% ± 4.8%). Skin sympathetic nerve activity increase was significant in both TC and EC groups (p < 0.001 for both comparisons) and similar between them (73.4% ± 17.9% and 71.9% ± 7%, respectively, p = 0.829). Conclusions: The unfavorable responses of sympathetic and arterial pressure to EC smoking are similar to those elicited by TC in healthy habitual smokers. Full article
Show Figures

Figure 1

13 pages, 975 KB  
Article
Acute Effects of Nicotine on Physiological Responses and Sport Performance in Healthy Baseball Players
by Shih-Hua Fang, Chi-Cheng Lu, Hua-Wei Lin, Kuan-Chen Kuo, Chen-Yu Sun, Yi-Ying Chen and Wen-Dien Chang
Int. J. Environ. Res. Public Health 2022, 19(1), 515; https://doi.org/10.3390/ijerph19010515 - 4 Jan 2022
Cited by 12 | Viewed by 13396
Abstract
There is interest in whether nicotine could enhance attention in sporting performance, but evidence on the acute effect of nicotine on physical response and sports performance in baseball players remains scant. This was an observational study to examine whether nicotine gum chewed before [...] Read more.
There is interest in whether nicotine could enhance attention in sporting performance, but evidence on the acute effect of nicotine on physical response and sports performance in baseball players remains scant. This was an observational study to examine whether nicotine gum chewed before exercise could provide acute effects on physiological responses and sport performance. Accordingly, heart rate variability (HRV), saliva cotinine concentration and α-amylase activity, cognitive function, muscle strength, and baseball-hitting performance were measured. Thirteen healthy male non-smoker baseball players were recruited. Conducting two sequences with 7-day intervals, they chewed nicotine gum (nicotine group) or flavor-matched placebo gum (placebo group) for 30 min. HRV and saliva analyses were conducted before gum consumption (S1), after gum consumption (S2), and after test completion (S3). Cognitive, muscle strength, and baseball-hitting performance tests were performed after nicotine or placebo gum chewing. The outcomes of all assessed variables were compared within and between the groups. Significant changes in HRV, α-amylase, testosterone, and cortisol were observed in the nicotine group at S2 and S3 (p < 0.05). Compared with the placebo group, the nicotine group exhibited enhanced motor reaction times, grooved pegboard test (GPT) results on cognitive function, and baseball-hitting performance, and small effect sizes were noted (d = 0.47, 0.46 and 0.41, respectively). Nicotine could induce changes in endocrine and sympathetic nerve activity and enhance cognitive function and baseball-hitting performance. However, no increase in muscle strength was observed after nicotine intake. Full article
(This article belongs to the Special Issue Sports Medicine and Sports Science)
Show Figures

Figure 1

24 pages, 1130 KB  
Review
Role of Rho in Salt-Sensitive Hypertension
by Wakako Kawarazaki and Toshiro Fujita
Int. J. Mol. Sci. 2021, 22(6), 2958; https://doi.org/10.3390/ijms22062958 - 15 Mar 2021
Cited by 16 | Viewed by 7206
Abstract
A high amount of salt in the diet increases blood pressure (BP) and leads to salt-sensitive hypertension in individuals with impaired renal sodium excretion. Small guanosine triphosphatase (GTP)ase Rho and Rac, activated by salt intake, play important roles in the pathogenesis of salt-sensitive [...] Read more.
A high amount of salt in the diet increases blood pressure (BP) and leads to salt-sensitive hypertension in individuals with impaired renal sodium excretion. Small guanosine triphosphatase (GTP)ase Rho and Rac, activated by salt intake, play important roles in the pathogenesis of salt-sensitive hypertension as key switches of intracellular signaling. Focusing on Rho, high salt intake in the central nervous system increases sodium concentrations of cerebrospinal fluid in salt-sensitive subjects via Rho/Rho kinase and renin-angiotensin system activation and causes increased brain salt sensitivity and sympathetic nerve outflow in BP control centers. In vascular smooth muscle cells, Rho-guanine nucleotide exchange factors and Rho determine sensitivity to vasoconstrictors such as angiotensin II (Ang II), and facilitate vasoconstriction via G-protein and Wnt pathways, leading to increased vascular resistance, including in the renal arteries, in salt-sensitive subjects with high salt intake. In the vascular endothelium, Rho/Rho kinase inhibits nitric oxide (NO) production and function, and high salt amounts further augment Rho activity via asymmetric dimethylarginine, an endogenous inhibitor of NO synthetase, causing aberrant relaxation and increased vascular tone. Rho-associated mechanisms are deeply involved in the development of salt-sensitive hypertension, and their further elucidation can help in developing effective protection and new therapies. Full article
Show Figures

Figure 1

15 pages, 740 KB  
Hypothesis
Have We Looked in the Wrong Direction for More Than 100 Years? Delayed Onset Muscle Soreness Is, in Fact, Neural Microdamage Rather Than Muscle Damage
by Balazs Sonkodi, Istvan Berkes and Erika Koltai
Antioxidants 2020, 9(3), 212; https://doi.org/10.3390/antiox9030212 - 5 Mar 2020
Cited by 61 | Viewed by 88696
Abstract
According to our hypothesis, delayed onset muscle soreness (DOMS) is an acute compression axonopathy of the nerve endings in the muscle spindle. It is caused by the superposition of compression when repetitive eccentric contractions are executed under cognitive demand. The acute compression axonopathy [...] Read more.
According to our hypothesis, delayed onset muscle soreness (DOMS) is an acute compression axonopathy of the nerve endings in the muscle spindle. It is caused by the superposition of compression when repetitive eccentric contractions are executed under cognitive demand. The acute compression axonopathy could coincide with microinjury of the surrounding tissues and is enhanced by immune-mediated inflammation. DOMS is masked by sympathetic nervous system activity at initiation, but once it subsides, a safety mode comes into play to prevent further injury. DOMS becomes manifest when the microinjured non-nociceptive sensory fibers of the muscle spindle stop inhibiting the effects of the microinjured, hyperexcited nociceptive sensory fibers, therefore providing the ‘open gate’ in the dorsal horn to hyperalgesia. Reactive oxygen species and nitric oxide play a cross-talking role in the parallel, interlinked degeneration–regeneration mechanisms of these injured tissues. We propose that the mitochondrial electron transport chain generated free radical involvement in the acute compression axonopathy. ‘Closed gate exercises’ could be of nonpharmacological therapeutic importance, because they reduce neuropathic pain in addition to having an anti-inflammatory effect. Finally, DOMS could have an important ontogenetical role by not just enhancing ability to escape danger to survive in the wild, but also triggering muscle growth. Full article
(This article belongs to the Special Issue Redox Signalling and Exercise)
Show Figures

Figure 1

13 pages, 802 KB  
Article
Cardiac and Vascular Sympathetic Baroreflex Control during Orthostatic Pre-Syncope
by Raffaello Furlan, Karsten Heusser, Maura Minonzio, Dana Shiffer, Beatrice Cairo, Jens Tank, Jens Jordan, André Diedrich, Peter Gauger, Antonio Roberto Zamuner, Franca Dipaola, Alberto Porta and Franca Barbic
J. Clin. Med. 2019, 8(9), 1434; https://doi.org/10.3390/jcm8091434 - 10 Sep 2019
Cited by 32 | Viewed by 4608
Abstract
We hypothesized that sympathetic baroreflex mediated uncoupling between neural sympathetic discharge pattern and arterial pressure (AP) fluctuations at 0.1 Hz during baroreceptor unloading might promote orthostatic pre-syncope. Ten volunteers (32 ± 6 years) underwent electrocardiogram, beat-to-beat AP, respiratory activity and muscle sympathetic nerve [...] Read more.
We hypothesized that sympathetic baroreflex mediated uncoupling between neural sympathetic discharge pattern and arterial pressure (AP) fluctuations at 0.1 Hz during baroreceptor unloading might promote orthostatic pre-syncope. Ten volunteers (32 ± 6 years) underwent electrocardiogram, beat-to-beat AP, respiratory activity and muscle sympathetic nerve activity (MSNA) recordings while supine (REST) and during 80° head-up tilt (HUT) followed by −10 mmHg stepwise increase of lower body negative pressure until pre-syncope. Cardiac and sympathetic baroreflex sensitivity were quantified. Spectrum analysis of systolic and diastolic AP (SAP and DAP) and calibrated MSNA (cMSNA) variability assessed the low frequency fluctuations (LF, ~0.1 Hz) of SAP, DAP and cMSNA variability. The squared coherence function (K2) quantified the coupling between cMSNA and DAP in the LF band. Analyses were performed while supine, during asymptomatic HUT (T1) and at pre-syncope onset (T2). During T2 we found that: (1) sympathetic baroreceptor modulation was virtually abolished compared to T1; (2) a progressive decrease in AP was accompanied by a persistent but chaotic sympathetic firing; (3) coupling between cMSNA and AP series at 0.1 Hz was reduced compared to T1. A negligible sympathetic baroreceptor modulation during pre-syncope might disrupt sympathetic discharge pattern impairing the capability of vessels to constrict and promote pre-syncope. Full article
(This article belongs to the Special Issue Autonomic Nervous System: From Bench to Bedside)
Show Figures

Figure 1

18 pages, 2057 KB  
Review
Sympathetic Overactivity in Chronic Kidney Disease: Consequences and Mechanisms
by Jasdeep Kaur, Benjamin E. Young and Paul J. Fadel
Int. J. Mol. Sci. 2017, 18(8), 1682; https://doi.org/10.3390/ijms18081682 - 2 Aug 2017
Cited by 138 | Viewed by 11371
Abstract
The incidence of chronic kidney disease (CKD) is increasing worldwide, with more than 26 million people suffering from CKD in the United States alone. More patients with CKD die of cardiovascular complications than progress to dialysis. Over 80% of CKD patients have hypertension, [...] Read more.
The incidence of chronic kidney disease (CKD) is increasing worldwide, with more than 26 million people suffering from CKD in the United States alone. More patients with CKD die of cardiovascular complications than progress to dialysis. Over 80% of CKD patients have hypertension, which is associated with increased risk of cardiovascular morbidity and mortality. Another common, perhaps underappreciated, feature of CKD is an overactive sympathetic nervous system. This elevation in sympathetic nerve activity (SNA) not only contributes to hypertension but also plays a detrimental role in the progression of CKD independent of any increase in blood pressure. Indeed, high SNA is associated with poor prognosis and increased cardiovascular morbidity and mortality independent of its effect on blood pressure. This brief review will discuss some of the consequences of sympathetic overactivity and highlight some of the potential pathways contributing to chronically elevated SNA in CKD. Mechanisms leading to chronic sympathoexcitation in CKD are complex, multifactorial and to date, not completely understood. Identification of the mechanisms and/or signals leading to sympathetic overactivity in CKD are crucial for development of effective therapeutic targets to reduce the increased cardiovascular risk in this patient group. Full article
(This article belongs to the Special Issue Advances in Chronic Kidney Disease 2017)
Show Figures

Graphical abstract

15 pages, 772 KB  
Article
Pharmacological Studies of Tentacle Extract from the Jellyfish Cyanea capillata in Isolated Rat Aorta
by Beilei Wang, Bo Zhang, Qianqian Wang, Zhi Zhang, Fei Nie, Guoyan Liu, Jiemin Zheng, Liang Xiao and Liming Zhang
Mar. Drugs 2013, 11(9), 3335-3349; https://doi.org/10.3390/md11093335 - 30 Aug 2013
Cited by 9 | Viewed by 7535
Abstract
Our previous studies demonstrated that tentacle extract (TE) from the jellyfish, Cyanea capillata, could cause a dose-dependent increase of systolic blood pressure, which seemed to be the result of direct constriction of vascular smooth muscle (VSM). The aim of this study is [...] Read more.
Our previous studies demonstrated that tentacle extract (TE) from the jellyfish, Cyanea capillata, could cause a dose-dependent increase of systolic blood pressure, which seemed to be the result of direct constriction of vascular smooth muscle (VSM). The aim of this study is to investigate whether TE could induce vasoconstriction in vitro and to explore its potential mechanism. Using isolated aorta rings, a direct contractile response of TE was verified, which showed that TE could induce concentration-dependent contractile responses in both endothelium-intact and -denuded aortas. Interestingly, the amplitude of contraction in the endothelium-denuded aorta was much stronger than that in the endothelium-intact one, implying that TE might also bring a weak functional relaxation in addition to vasoconstriction. Further drug intervention experiments indicated that the functional vasodilation might be mediated by nitric oxide, and that TE-induced vasoconstriction could be attributed to calcium influx via voltage-operated calcium channels (VOCCs) from the extracellular space, as well as sarcoplasmic reticulum (SR) Ca2+ release via the inositol 1,4,5-trisphosphate receptor (IP3R), leading to an increase in [Ca2+]c, instead of activation of the PLC/DAG/PKC pathway or the sympathetic nerve system. Full article
(This article belongs to the Special Issue Cytogenetic and Molecular Effects of Marine Compounds)
Show Figures

Figure 1

Back to TopTop