Sign in to use this feature.

Years

Between: -

Subjects

remove_circle_outline
remove_circle_outline
remove_circle_outline
remove_circle_outline
remove_circle_outline
remove_circle_outline
remove_circle_outline
remove_circle_outline
remove_circle_outline

Journals

remove_circle_outline
remove_circle_outline
remove_circle_outline
remove_circle_outline
remove_circle_outline
remove_circle_outline
remove_circle_outline
remove_circle_outline
remove_circle_outline
remove_circle_outline
remove_circle_outline
remove_circle_outline
remove_circle_outline
remove_circle_outline

Article Types

Countries / Regions

remove_circle_outline
remove_circle_outline
remove_circle_outline
remove_circle_outline
remove_circle_outline
remove_circle_outline

Search Results (903)

Search Parameters:
Keywords = mixture regression

Order results
Result details
Results per page
Select all
Export citation of selected articles as:
30 pages, 1929 KB  
Article
Road Performance and Applicability of Asphalt Mixtures with Neutral Rock Manufactured Sand
by Wenyi Hao, Erjie Zhang, Xiaodong Wang, Dengcai Yan, Guo Yu, Shugen Zhang, Tao Wang and Huayang Yu
Buildings 2026, 16(6), 1170; https://doi.org/10.3390/buildings16061170 - 16 Mar 2026
Viewed by 109
Abstract
To address the shortage of natural sand and the unclear mechanism of lithology’s influence on the application of manufactured sand, this study explores the applicability of neutral rock manufactured sand in asphalt mixtures. Taking neutral diabase manufactured sand as the research object, a [...] Read more.
To address the shortage of natural sand and the unclear mechanism of lithology’s influence on the application of manufactured sand, this study explores the applicability of neutral rock manufactured sand in asphalt mixtures. Taking neutral diabase manufactured sand as the research object, a series of tests including the Marshall test, water stability test, high- and low-temperature stability test, and surface free energy (SFE) test were conducted to systematically analyze the effects of aggregate lithology on the volumetric indicators, road performance, and interface adhesion of asphalt mixtures. Additionally, the improvement effect of cement as an anti-stripping agent was verified. The results show that lithology of manufactured sand significantly regulates the performance of asphalt mixtures. In terms of volumetric indicators, the limestone manufactured sand mixture has the smallest void ratio (3.81%), while the diabase manufactured sand mixture has the largest (5.81%), requiring an appropriate increase in the mixing ratio of diabase manufactured sand to optimize the compaction effect. For water stability, the short-term performance ranks as diabase ≈ limestone > granite, and the long-term durability ranks as limestone > diabase > granite. A least-squares linear regression model demonstrated that the polar component of aggregate surface free energy exhibits a strong positive correlation with asphalt–aggregate adhesion work (R2 = 0.92), which quantitatively explains variations in the 48 h immersed Marshall residual stability ratio among different lithologies. Regarding high-temperature stability, the order is diabase > limestone > granite. Thanks to its low crushing value and strong angularity, the diabase manufactured sand mixture achieves a dynamic stability of 12,629 times/mm at 60 °C, showing the best rutting resistance. In terms of low-temperature performance, the diabase manufactured sand mixture exhibits the optimal initial crack resistance (maximum flexural strain of 2757 με) and long-term durability (strain attenuation rate of 11.7% after 30 cycles), while the granite manufactured sand mixture fails to meet the design requirements. Adding 1.5%~2.0% cement can significantly improve the adhesion between manufactured sand and asphalt, with more obvious enhancement effects on granite and diabase, thereby optimizing water stability and high-temperature stability. The research results provide theoretical support and technical reference for the scientific selection and engineering application of fine aggregates in asphalt pavements. Full article
(This article belongs to the Special Issue Green Innovation and Performance Optimization of Road Materials)
Show Figures

Figure 1

26 pages, 2590 KB  
Article
A Machine Learning Framework for the Reconstruction of Composite Fatigue and Fracture Properties: A Synthetic Data Study
by Saurabh Tiwari and Aman Gupta
Materials 2026, 19(6), 1131; https://doi.org/10.3390/ma19061131 - 14 Mar 2026
Viewed by 209
Abstract
This study presents a machine learning framework for the reconstruction of fatigue life and fracture toughness in natural fiber-reinforced composites, evaluating the predictive accuracy of six regression algorithms—Random Forest, Gradient Boosting, Support Vector Machine, Neural Network, Ridge Regression, and Lasso Regression—using a controlled [...] Read more.
This study presents a machine learning framework for the reconstruction of fatigue life and fracture toughness in natural fiber-reinforced composites, evaluating the predictive accuracy of six regression algorithms—Random Forest, Gradient Boosting, Support Vector Machine, Neural Network, Ridge Regression, and Lasso Regression—using a controlled synthetic dataset of 600 samples generated from established Basquin fatigue and Rule of Mixtures fracture equations, incorporating stochastic noise calibrated to experimental scatter (CV = 15–50%), with log-normal noise standard deviation of 0.20 for fatigue life and Gaussian noise standard deviation of 0.15 for fracture toughness. The dataset encompasses eight natural fiber types (flax, jute, sisal, hemp, bamboo, coconut, banana, and pineapple) and five matrix systems (epoxy, polyester, PLA, vinyl ester, and polyurethane). Models were evaluated using a 70-15-15 train–validation–test split with 5-fold cross-validation and exhaustive grid search hyperparameter optimisation. Gradient Boosting achieved R2 = 0.93 for fatigue life and Stacking Ensemble achieved R2 = 0.87 for fracture toughness, representing 97% and 89% of their respective noise-ceiling values (theoretical maximum R2 of 0.96 and 0.98 given the programmed noise levels). The ML models perform supervised function approximation—learning to reconstruct the programmed generation equations rather than discovering novel physical composite behaviour—and function as automated surrogates for the governing equations. Feature importance analysis identified engineered composite indicators, stress amplitude, and fiber length as the most influential parameters. The framework provides a reproducible ML evaluation pipeline as a methodological template for future experimental composite studies. Full article
Show Figures

Figure 1

27 pages, 7476 KB  
Article
Real-Time Embedded Smart-Particle Monitoring for Index-Based Evaluation of Asphalt Mixture Compaction Quality
by Min Xiao, Xilan Yu, Wei Min, Fengteng Liu, Yongwei Li, Haojie Duan, Feng Liu, Hairui Wu and Xunhao Ding
Sensors 2026, 26(6), 1822; https://doi.org/10.3390/s26061822 - 13 Mar 2026
Viewed by 208
Abstract
Compaction quality governs asphalt pavement durability, but conventional density checks are intermittent. Reliable compaction control of asphalt mixtures requires real-time information on internal responses rather than relying solely on endpoint density measurements. In this study, an embedded smart-particle framework is developed for in [...] Read more.
Compaction quality governs asphalt pavement durability, but conventional density checks are intermittent. Reliable compaction control of asphalt mixtures requires real-time information on internal responses rather than relying solely on endpoint density measurements. In this study, an embedded smart-particle framework is developed for in situ monitoring and index-based evaluation of vibratory compaction quality, integrating multi-source sensing, feature extraction, and compaction degree mapping. The smart particle integrates inertial/orientation sensing together with thermal–mechanical measurements, and its high-temperature survivability and calibratability are verified through thermal exposure and calibration tests. During laboratory vibratory compaction of representative asphalt mixtures, raw signals are converted into stable attitude responses via attitude estimation and filtering; posture-dominant descriptors are then extracted and used to establish a data-driven mapping from internal responses to compaction degree using regression models. Results show that the device remains stable under typical hot-mix asphalt conditions, with calibration exhibiting high linearity (temperature channel R2 > 0.990; force channel R2 > 0.980 in the relevant range). Filtering markedly enhances inertial-signal usability under strong vibration and improves the interpretability of attitude-response evolution during compaction. The evolution of attitude features is consistent with the “rapid-to-slow densification” process, yielding correlations of |r| ≈ 0.35–0.47 with compaction degree evolution. Nonlinear regressors outperform linear baselines, and the better-performing nonlinear models achieve strong predictive performance across all six specimens, with R2 values reaching 0.740–0.960 and RMSE reaching 0.016–0.043. Moreover, machine-learning-based feature-importance analysis reveals distinct mixture-type-dependent characteristics, indicating that AC and SMA transmit compaction-state information through partly different dominant response features. These findings demonstrate the feasibility of embedded smart particles for online compaction-quality evaluation and provide a basis for real-time feedback in intelligent compaction. Full article
(This article belongs to the Section Vehicular Sensing)
Show Figures

Figure 1

21 pages, 8090 KB  
Article
Effects of Sample Deposition Medium and Drying on Spectroscopic Quantification of Lipid Biomarkers in Respiratory Distress Syndrome
by Zixing (Hings) Luo, Waseem Ahmed, Anthony D. Postle, Ahilanandan Dushianthan, Michael P. W. Grocott and Ganapathy Senthil Murugan
Biosensors 2026, 16(3), 154; https://doi.org/10.3390/bios16030154 - 10 Mar 2026
Viewed by 189
Abstract
Rapid point of care assessment of pulmonary surfactant composition by measuring the lecithin/sphingomyelin (L/S) ratio could improve management of patients with neonatal respiratory distress syndrome (nRDS). Attenuated total reflectance Fourier transform infrared spectroscopy (ATR-FTIR) offers a practical route to making such measurements, but [...] Read more.
Rapid point of care assessment of pulmonary surfactant composition by measuring the lecithin/sphingomyelin (L/S) ratio could improve management of patients with neonatal respiratory distress syndrome (nRDS). Attenuated total reflectance Fourier transform infrared spectroscopy (ATR-FTIR) offers a practical route to making such measurements, but the influence of the sample solvent prior to drying on measurement repeatability is poorly understood. We compare films dried from dichloromethane (DCM) and water (AQ) solvents (DCM-dry route vs. AQ-dry route) by ATR-FTIR and show that spectra from the AQ-dry route increased the signal-to-noise ratio (SNR) of a representative (2920 cm−1) absorption peak for the mixture from 20.13 to 128.20 and for human endotracheal aspirate (ETA) from 6.33 to 8.13. A mixed nested analysis of variance (ANOVA) showed that drying route accounted for 89.52% of mixture peak height variance and reduced percent relative standard deviation (%RSD) from 23.5% to 16.2%, corroborated by multivariate analysis for ETA. We further demonstrate that partial least squares regression (PLSR) models trained on AQ-dry mixture spectra predicted L/S (R2 = 0.91; root mean square error (RMSE) = 0.31) with 95% prediction interval grey-zone interpretation around L/S = 2.2, complemented by a receiver operating characteristic area under the curve (ROC-AUC) of 0.978. Full article
Show Figures

Figure 1

18 pages, 620 KB  
Review
Mapping the Analytical Landscape of Gene–Diet Interactions in Epidemiology: From Classical Models to Causal and Multi-Omics Frameworks
by Andrea Maugeri
Nutrients 2026, 18(6), 880; https://doi.org/10.3390/nu18060880 - 10 Mar 2026
Viewed by 278
Abstract
Diet is a major, modifiable determinant of cardiometabolic, cancer, and inflammatory disease risk, yet individuals frequently exhibit substantial heterogeneity in metabolic and clinical responses to similar dietary exposures. Genetic susceptibility and its interplay with diet plausibly contribute to this variability, motivating gene–diet (G×D) [...] Read more.
Diet is a major, modifiable determinant of cardiometabolic, cancer, and inflammatory disease risk, yet individuals frequently exhibit substantial heterogeneity in metabolic and clinical responses to similar dietary exposures. Genetic susceptibility and its interplay with diet plausibly contribute to this variability, motivating gene–diet (G×D) interaction research and the broader ambition of precision nutrition. Translation has lagged, however, because interaction effects are typically modest, context-dependent, and difficult to reproduce, particularly in the presence of pervasive dietary measurement error, heterogeneous exposure definitions, and stringent multiplicity correction. A methodologically oriented synthesis is presented across eight domains of contemporary G×D epidemiology: classical regression interaction models; efficient study designs; dietary assessment and measurement error; dietary patterns, mixtures, and non-linear modeling; genome-wide and polygenic approaches; causal inference frameworks; multi-omics integration; and machine learning. Central concepts include the recognition that “interaction” is a scale-dependent estimand and that transparent reporting of coding choices and effect-modification metrics—including additive interaction when relevant for public health interpretation—is essential. Credible inference further depends on high-quality, harmonized dietary phenotyping with explicit energy adjustment and, where feasible, biomarker calibration, alongside robust control of population structure and gene–diet correlation using ancestry adjustment, mixed models, and family-based designs. Genome-wide and polygenic risk-based approaches expand discovery potential but require disciplined multiplicity strategies, discovery-replication workflows, and explicit evaluation of portability and equity across ancestries. Causal inference methods can strengthen etiologic interpretation when assumptions are defensible and sensitivity analyses are routinely implemented. Multi-omics and machine learning may enhance mechanistic and predictive insight, but only under rigorous quality control, validation, and reproducible pipelines. Overall, harmonized measurement, clear estimands, multi-ancestry replication, and integrated evidence pipelines are pivotal for producing robust and actionable G×D evidence. Full article
Show Figures

Figure 1

33 pages, 662 KB  
Article
The Asymmetric Bimodal Normal Distribution: A Tractable Mixture Model for Skewed and Bimodal Data
by Hassan S. Bakouch, Hugo S. Salinas, Çağatay Çetinkaya, Shaykhah Aldossari, Amira F. Daghestani and John L. Santibáñez
Mathematics 2026, 14(5), 901; https://doi.org/10.3390/math14050901 - 6 Mar 2026
Viewed by 251
Abstract
We study a parsimonious constrained two-component Gaussian mixture with symmetric locations ±λ and unequal weights controlled by α[1,1]; we refer to this family as the asymmetric bimodal normal. The constraint eliminates label switching and [...] Read more.
We study a parsimonious constrained two-component Gaussian mixture with symmetric locations ±λ and unequal weights controlled by α[1,1]; we refer to this family as the asymmetric bimodal normal. The constraint eliminates label switching and yields an identifiable parametrization for λ>0, while noting the boundary degeneracy at λ=0 where α is not identifiable. We derive closed-form analytical expressions for the density and distribution functions, an equivalent constructive representation (useful for simulation and interpretation), explicit moment formulas, and conditions distinguishing unimodality from bimodality. For inference, we develop maximum likelihood estimation with observed information standard errors and provide numerically stable fits via a block-coordinate quasi-Newton routine using method of moments initial values. A Monte Carlo simulation study across representative parameter settings evaluates bias and root mean squared error, and examines the behavior of Hessian-based standard error estimates, highlighting regimes where the observed information becomes ill-conditioned under weak separation. Empirical analyses, chemical calibration deviations from the National Institute of Standards and Technology and a regression example with asymmetric errors, show competitive or superior fit and interpretability relative to skewed normal alternatives, asymmetric Laplace models, and unconstrained Gaussian mixtures, with consistent advantages under model comparison using the Akaike information criterion and the Bayesian information criterion. Full article
(This article belongs to the Special Issue Computational Statistics and Data Analysis, 3rd Edition)
Show Figures

Figure 1

26 pages, 4715 KB  
Article
Bayesian Gaussian Mixture Model Classifier for Fault Detection in Induction Motors Using Start-Up Current Analysis
by Kacper Jarzyna, Michał Rad, Paweł Piątek and Jerzy Baranowski
Energies 2026, 19(5), 1328; https://doi.org/10.3390/en19051328 - 6 Mar 2026
Viewed by 183
Abstract
Induction motors constitute a major share of industrial drives, making reliable fault detection essential for maintaining operational continuity. This work develops a Bayesian classifier for identifying rotor-bar damage using start-up current measurements represented in the frequency domain. The spectra are modelled as smooth [...] Read more.
Induction motors constitute a major share of industrial drives, making reliable fault detection essential for maintaining operational continuity. This work develops a Bayesian classifier for identifying rotor-bar damage using start-up current measurements represented in the frequency domain. The spectra are modelled as smooth functional curves using a hierarchical B-spline formulation, and posterior sampling provides a generative mechanism for augmenting scarce labelled data. Classification is performed using a Bayesian Gaussian mixture model, where each prediction is obtained by averaging over thousands of posterior samples, yielding stable and interpretable probability estimates. In experimental evaluation, the proposed approach achieves consistent separation between healthy and faulty motors across repeated training runs, correctly identifying all test cases in the binary classification setting and exhibiting more stable probability estimates than logistic and soft-max regression under limited labelled data. The model additionally signals atypical responses for unmodelled faults, indicating potential for anomaly detection. These findings highlight the suitability of Bayesian functional modelling as a reliable tool for induction motor condition monitoring. Full article
(This article belongs to the Section D: Energy Storage and Application)
Show Figures

Figure 1

47 pages, 2578 KB  
Article
Machine Learning-Based Prediction of Compressive Strength in Recycled Aggregate Self-Compacting Concrete: An Ensemble Modeling Approach with SHAP Interpretability Analysis
by Zhengyang Zhang, Biao Luo and Ya Su
Appl. Sci. 2026, 16(5), 2432; https://doi.org/10.3390/app16052432 - 3 Mar 2026
Viewed by 257
Abstract
The incorporation of recycled concrete aggregates (RCAs) into self-compacting concrete (SCC) represents a critical sustainable construction strategy addressing both construction waste management and natural resource conservation. However, predicting the compressive strength of recycled aggregate self-compacting concrete (RASCC) remains challenging due to complex nonlinear [...] Read more.
The incorporation of recycled concrete aggregates (RCAs) into self-compacting concrete (SCC) represents a critical sustainable construction strategy addressing both construction waste management and natural resource conservation. However, predicting the compressive strength of recycled aggregate self-compacting concrete (RASCC) remains challenging due to complex nonlinear interactions among mixture parameters. This study develops a robust predictive framework using ensemble machine learning algorithms to accurately estimate RASCC compressive strength across diverse mixture compositions. A comprehensive database comprising 301 experimental specimens with 18 input variables—including curing age, binder components, water-to-binder ratio, recycled aggregate properties, and supplementary cementitious materials—was systematically analyzed. Four advanced modeling approaches were evaluated: Light Gradient Boosting Machine (LightGBM), Categorical Boosting (CatBoost), Stacked Generalization with Ridge regression meta-learner, and Voting ensemble with Non-Negative Least Squares optimization. The Stacking ensemble model demonstrated superior predictive performance on the independent test set, with R2 = 0.963, RMSE = 3.321 MPa, and MAE = 2.506 MPa. Rigorous residual analysis confirmed model validity through satisfaction of normality, homoscedasticity, and independence assumptions. SHAP interpretability analysis identified specimen age as the dominant predictor, followed by recycled aggregate density and water-to-binder ratio, while elucidating the complex nonlinear contributions of supplementary cementitious materials including fly ash and ground granulated blast furnace slag. The developed framework demonstrates practical applicability for predicting RASCC compressive strength across conventional to high-performance grades, facilitating sustainable mix design optimization while maintaining structural performance requirements, and advancing circular economy principles through confident integration of recycled aggregates in SCC applications. Full article
Show Figures

Figure 1

14 pages, 1148 KB  
Article
Cognitive and Executive Function Scores at Age 7 in Relation to Maternal Mid-Pregnancy Plasma Nutrient Mixtures in a Singaporean Family Follow-Up Cohort
by Jordana Leader, Shiwen Li, Stefano Renzetti, Jun Shi Lai, Yap-Seng Chong, Kok Hian Tan, Johan G. Eriksson, Keith M. Godfrey, Evelyn C. Law, Mary Foong-Fong Chong, Shiao-Yng Chan, Damaskini Valvi, Jonathan Huang and Youssef Oulhote
Nutrients 2026, 18(5), 818; https://doi.org/10.3390/nu18050818 - 3 Mar 2026
Viewed by 347
Abstract
Background: Although there is substantial research into individual nutrients during pregnancy, such as folate, iron, and vitamin D, little is known about the impact of mixtures of essential nutrients. We investigated the associations between mixtures of maternal essential minerals and vitamin concentrations [...] Read more.
Background: Although there is substantial research into individual nutrients during pregnancy, such as folate, iron, and vitamin D, little is known about the impact of mixtures of essential nutrients. We investigated the associations between mixtures of maternal essential minerals and vitamin concentrations and child cognition and executive functions at age 7. Methods: Data from 348 mother–child pairs in the Growing up in Singapore Towards Healthy Outcomes birth cohort with both plasma nutrient and neurodevelopmental outcome data were used. Gestational fasting plasma samples between 26 and 28 weeks of gestation were analyzed for 10 essential minerals and 12 B and D vitamers. Child cognition and executive functions at 7 years were assessed using the Wechsler Abbreviated Scale of Intelligence 2nd Edition (WASI-II) [n = 331] and the Behavior Rating Inventory of Executive Function 2nd Edition (BRIEF-2) [n = 348], respectively. Generalized weighted quantile sum regression (gWQS) was used to investigate the associations between nutrient mixtures and child cognitive executive function scores. Single-nutrient analysis using covariate-adjusted multivariable regressions was performed as a sensitivity analysis. Results: A one-quartile increase in the positively weighted nutrient mixture index was associated with higher block design T-scores (β = 2.17, 95% CI: 0.03, 4.31). Additionally, the negatively weighted mixture was associated with lower block design (β = −2.25, 95% CI: −4.92, 0.41, p = 0.02) and perceptual reasoning (β = −1.94, 95% CI: −5.17, 1.29, p = 0.04) scores in boys only. We found no association between the nutrient mixture and BRIEF-2 subscale T-scores. Conclusions: In this study, we found that a positively weighted nutrient mixture index of maternal gestational minerals and vitamins was associated with a greater ability in children to analyze and understand abstract visual items. Full article
Show Figures

Figure 1

24 pages, 4999 KB  
Article
PhysGMM-MoE: A Physics-Aware GMM-Mixture-of-Experts Framework for Small-Sample Engine Fault Classification
by Qingang Xu, Hongwei Wang, Yunhang Wang and Xicong Chen
Appl. Sci. 2026, 16(5), 2417; https://doi.org/10.3390/app16052417 - 2 Mar 2026
Viewed by 236
Abstract
Accurate engine fault classification with limited labeled data is critical for the safety and reliability of rotating machinery. This task is challenging because operating regimes are time-varying, and key variables must satisfy physical constraints, under which traditional feature classifier pipelines degrade and deep [...] Read more.
Accurate engine fault classification with limited labeled data is critical for the safety and reliability of rotating machinery. This task is challenging because operating regimes are time-varying, and key variables must satisfy physical constraints, under which traditional feature classifier pipelines degrade and deep networks tend to overfit. We propose PhysGMM-MoE, a physics-aware Gaussian Mixture Model (GMM)-Mixture-of-Experts (MoE) framework for small-sample engine fault classification. At the data level, PhysGMM-MoE fits class-conditional, regime-aware GMMs and performs physically constrained, distance-based quality control to selectively augment minority classes while preserving engine operating semantics. At the model level, a heterogeneous pool of lightweight statistical experts and a lightweight Transformer-based deep expert (ECFT-Transformer) capture complementary neighborhood cues and high order multi-sensor correlations, and an L2-regularized logistic regression meta-learner fuses expert outputs via stacking. We evaluate fault classification on the 3500-DEFault diesel-engine dataset using the adopted eight-class cylinder-fault labeling (H, F1–F7) built from in-cylinder pressure statistics and torsional-vibration harmonics; although severity levels exist in the dataset, this study focuses on classification rather than severity estimation. With 40 training samples per class, PhysGMM-MoE achieves a mean accuracy of 0.9875, exceeding SMOTE+XGBoost by 0.0086, and attains the best macro precision/recall/F1 of 0.9878/0.9826/0.9889, demonstrating strong performance under the adopted small-sample setting. Full article
Show Figures

Figure 1

22 pages, 1933 KB  
Article
Associations of Exposure to Parabens During Pregnancy with Behavior in Early Childhood
by Megan L. Woodbury, Nicholas G. Cragoe and Susan L. Schantz
Toxics 2026, 14(3), 211; https://doi.org/10.3390/toxics14030211 - 28 Feb 2026
Viewed by 411
Abstract
(1) Background: Few studies have examined gestational paraben exposure and early childhood neurodevelopment. We evaluated associations between gestational exposure to methyl, ethyl and propyl paraben and neurodevelopment via the Child Behavior Checklist (CBCL) administered at ages 2, 3, and 4 years. (2) Methods: [...] Read more.
(1) Background: Few studies have examined gestational paraben exposure and early childhood neurodevelopment. We evaluated associations between gestational exposure to methyl, ethyl and propyl paraben and neurodevelopment via the Child Behavior Checklist (CBCL) administered at ages 2, 3, and 4 years. (2) Methods: Gestational exposures were assessed using pooled prenatal urine samples from five time points across pregnancy. CBCL outcomes included internalizing, externalizing, and sub-scale scores. Covariate-adjusted generalized linear regression was employed to assess individual paraben exposures. Mixture analysis was performed using Bayesian Kernel Machine Regression and Quantile g-computation. (3) Results: In individual paraben analyses, each paraben was associated with increased externalizing behaviors, particularly ethylparaben (age 2: β = 0.40, 95% CI = −0.02, 0.83; age 3: β = 0.42, 95% CI = −0.19, 0.01; age 4: β = 0.18, 95% CI = −0.34, 0.70), ADHD problems at age 2 (β = 0.21, 95% CI = 0.05, 0.37), and both aggressive behavior (β = 0.38, 95% CI = 0.01, 0.74) and oppositional defiant problems (β = 0.25, 95% CI = 0.09, 0.41) at age 3. All three parabens were also associated with a reduction in withdrawn symptoms for males, especially at age 2 (ethylparaben: β = −0.09, 95% CI = −0.01, 0.85; methylparaben: β = −0.20, 95% CI = −0.34, −0.05; propylparaben: β = −0.13, 95% CI = −0.24, −0.03). The parabens mixture was associated with elevated scores in multiple CBCL subscales, though only association with oppositional defiant scores at age 3 reached significance in both BKMR (change in score when all components are at 50th percentile values compared with their 75th percentile values = 0.15; 95% CI = 0.01, 0.29) and quantile g-computation (β = 0.33, 95% CI = 0.02, 0.65), driven primarily by ethylparaben. (4) Conclusions: Individual parabens and the paraben mixture showed significant association with domains of childhood neurodevelopment, with possible detriments especially evident (a) at earlier time points, (b) in male children, and (c) in terms of externalizing behaviors. Full article
Show Figures

Figure 1

29 pages, 1017 KB  
Article
Bayesian Elastic Net Cox Models for Time-to-Event Prediction: Application to a Breast Cancer Cohort
by Ersin Yılmaz, Syed Ejaz Ahmed and Dursun Aydın
Entropy 2026, 28(3), 264; https://doi.org/10.3390/e28030264 - 27 Feb 2026
Viewed by 246
Abstract
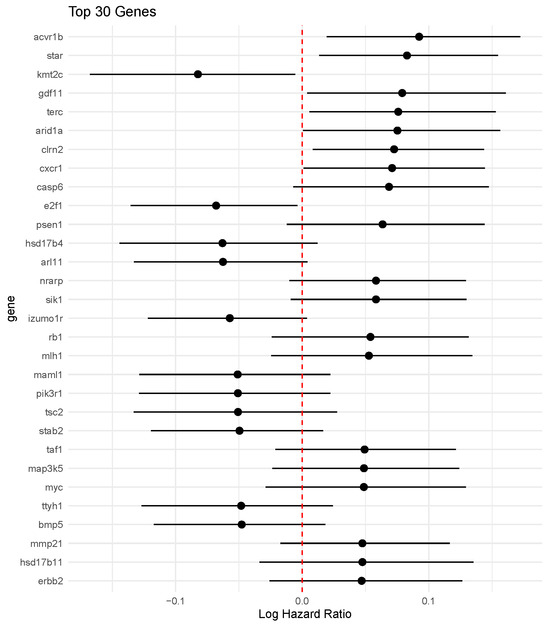
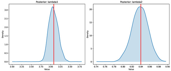
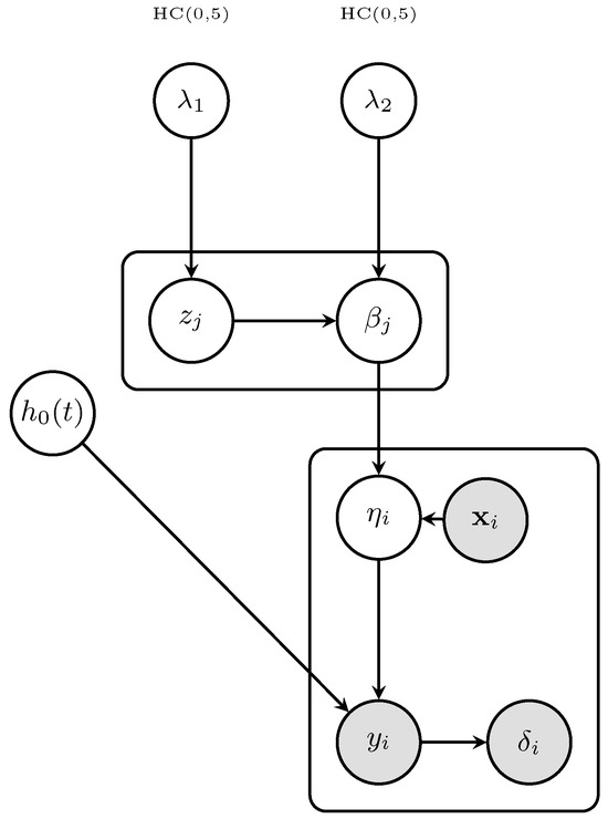
High-dimensional survival analyses require calibrated risk and measurable uncertainty, but standard elastic net Cox models provide only point estimates. We develop a Bayesian elastic net Cox (BEN–Cox) model for high-dimensional proportional hazards regression that places a hierarchical global–local shrinkage prior on coefficients and [...] Read more.
High-dimensional survival analyses require calibrated risk and measurable uncertainty, but standard elastic net Cox models provide only point estimates. We develop a Bayesian elastic net Cox (BEN–Cox) model for high-dimensional proportional hazards regression that places a hierarchical global–local shrinkage prior on coefficients and performs full Bayesian inference via Hamiltonian Monte Carlo. We represent the elastic net penalty as a global–local Gaussian scale mixture with hyperpriors that learn the 1/2 trade-off, enabling adaptive sparsity that preserves correlated gene groups; using HMC with the Cox partial likelihood, we obtain full posterior distributions for hazard ratios and patient-level survival curves. Methodologically, we formalize a Bayesian analogue of the elastic net grouping effect at the posterior mode and establish posterior contraction under sparsity for the Cox partial likelihood, supporting the stability of the resulting risk scores. On the METABRIC breast cancer cohort (n=1903; p=440 gene-level features after preprocessing, derived from an Illumina HT-12 array with ≈24,000 probes at the raw feature level), BEN–Cox achieves slightly lower prediction error, higher discrimination, and better global calibration than a tuned ridge Cox, lasso Cox, and elastic net Cox baselines on a held-out test set. Posterior summaries provide credible intervals for hazard ratios and identify a compact gene panel that remains biologically plausible. BEN–Cox provides an uncertainty-aware alternative to tuned penalized Cox models with theoretical support, offering modest improvements in calibration and providing an interpretable sparse signature in highly-correlated survival data. Full article
Show Figures

Figure 1

38 pages, 3811 KB  
Article
Interpretable Machine Learning for Compressive Strength Prediction of Fly Ash-Based Geopolymer Concrete
by Farnaz Ahadian, Ümit Işıkdağ, Gebrail Bekdaş, Sinan Melih Nigdeli, Celal Cakiroglu and Zong Woo Geem
Sustainability 2026, 18(5), 2227; https://doi.org/10.3390/su18052227 - 25 Feb 2026
Viewed by 243
Abstract
Fly ash-based geopolymer concrete (GPC) is a sustainable alternative to conventional cementitious materials; however, its compressive strength is governed by complex and highly correlated mixture parameters, making experimental optimization expensive and data-driven modeling challenging. While machine learning (ML) techniques have been widely applied [...] Read more.
Fly ash-based geopolymer concrete (GPC) is a sustainable alternative to conventional cementitious materials; however, its compressive strength is governed by complex and highly correlated mixture parameters, making experimental optimization expensive and data-driven modeling challenging. While machine learning (ML) techniques have been widely applied to predict GPC strength, most studies prioritize predictive accuracy without explicitly addressing multicollinearity among input variables, which can distort feature importance, reduce model stability, and limit engineering interpretability. This study proposes a multicollinearity-integrated and interpretable ML framework that systematically embeds correlation diagnostics and structured feature screening within the modeling pipeline rather than treating interpretability as a post-processing step. Multiple conventional and ensemble learning algorithms were comparatively evaluated using cross-validation to ensure generalization robustness. The proposed framework achieved a maximum coefficient of determination (R2) of 0.96 with low prediction error, outperforming baseline regression models while demonstrating improved stability under correlated input conditions. Unlike existing studies that rely solely on black-box optimization, the integrated interpretability analysis revealed physically consistent dominance of curing temperature, alkali content, and water-related parameters in governing strength development. By explicitly coupling predictive performance with multicollinearity mitigation and engineering-oriented interpretability, this work advances beyond accuracy-driven ML applications and provides a robust and transparent decision-support tool for sustainable geopolymer mix design. Full article
Show Figures

Figure 1

11 pages, 779 KB  
Article
Frailty Trajectories and Their Predictors in Chinese Empty-Nest Older Adults: An 8-Year Longitudinal Study
by Mingyue Zhou and Huijun Zhang
Healthcare 2026, 14(4), 537; https://doi.org/10.3390/healthcare14040537 - 22 Feb 2026
Viewed by 282
Abstract
Background: Empty-nest older adults are considered a high-risk group for frailty due to constrained social support systems, yet the heterogeneity in their frailty progression remains poorly characterized. This study aimed to identify distinct frailty trajectory classes among Chinese empty-nest older adults and explore [...] Read more.
Background: Empty-nest older adults are considered a high-risk group for frailty due to constrained social support systems, yet the heterogeneity in their frailty progression remains poorly characterized. This study aimed to identify distinct frailty trajectory classes among Chinese empty-nest older adults and explore class-specific predictive factors. Methods: We analyzed eight years of data from the China Health and Retirement Longitudinal Study. The analysis included 1399 empty-nest older adults after eligibility screening. Frailty was assessed by the frailty index (FI). Growth Mixture Modeling was employed to identify FI trajectory classes, an linear, quadratic, and freely estimated forms were compared. Variable selection was performed via LASSO regression with bootstrap stability verification. Final predictors were analyzed using multinomial logistic regression. Results: A three-class quadratic model best represented the FI trajectories: “Low-increasing”, “High-fluctuating”, and “Elevated-stable”. Common risk factors included older age, rural residence, lower grip strength, death of children, and lower life satisfaction. The “High-fluctuating” trajectory was associated with poorer childhood health and smoking. The “Elevated-stable” trajectory was predicted by worklessness and by drinking. Physiological indicators showed no independent associations. Conclusions: Frailty among Chinese empty-nest older adults follows heterogeneous pathways shaped by life-course, socioeconomic, and psychophysiological factors. These results support the need for trajectory-specific screening, early risk detection, and tailored interventions for high-risk subgroups. Full article
(This article belongs to the Section Public Health and Preventive Medicine)
Show Figures

Figure 1

22 pages, 3288 KB  
Article
Assessing the Porosity-Binder Ratio and Machine Learning Models for Predicting the Strength and Durability of Soil-Cement-Glass Powder Geomaterial
by Jair Arrieta Baldovino, Oscar E. Coronado-Hernández and Yamid E. Nuñez de la Rosa
Materials 2026, 19(4), 823; https://doi.org/10.3390/ma19040823 - 21 Feb 2026
Viewed by 345
Abstract
This study evaluates the mechanical behavior and durability of a silty soil stabilized with Portland cement and recycled ground glass powder (GGP). The porosity–cement index (η/Civ) was applied to predict unconfined compressive strength (qu), splitting tensile [...] Read more.
This study evaluates the mechanical behavior and durability of a silty soil stabilized with Portland cement and recycled ground glass powder (GGP). The porosity–cement index (η/Civ) was applied to predict unconfined compressive strength (qu), splitting tensile strength (qt), and accumulated mass loss (ALM) under wetting–drying cycles. Mixtures were prepared with cement contents of 3%, 6%, and 9%, GGP contents of 5%, 15%, and 30%, and dry unit weights of 13.5, 14.5, and 15.5 kN/m3, and were cured for 7, 28, and 90 days. The experimental program consisted of a large dataset, comprising 486 mechanical tests (unconfined compressive and splitting tensile strength) and 81 durability tests, providing a robust basis for both empirical modeling and machine learning analysis. The results confirmed a strong power-law relationship between η/Civ and both qu and qt, achieving high coefficients of determination (R2 > 0.98). The strength coefficient (A) increased consistently with curing time and GGP addition, indicating enhanced pozzolanic reactivity and matrix densification. After 90 days, qu increased by over 250% and qt by nearly 700%. Durability tests revealed exponential reductions in ALM with higher density and binder content, achieving values below 0.5% for the densest mixtures, which contained 30% GGP. These findings validate the η/Civ index as an effective predictor of strength and durability in soil–cement–GGP geomaterials, establishing a solid basis for future integration with machine learning models. The implementation of twenty-eight machine learning presets for predicting qu, qt, and ALM demonstrated that the Matern 5/2 Gaussian Process Regression and the trilayered neural network are the most suitable algorithms, achieving R2 values higher than 0.987 in both the validation and testing stages. Full article
(This article belongs to the Section Construction and Building Materials)
Show Figures

Figure 1

Back to TopTop