Sign in to use this feature.

Years

Between: -

Subjects

remove_circle_outline
remove_circle_outline
remove_circle_outline
remove_circle_outline
remove_circle_outline
remove_circle_outline

Journals

Article Types

Countries / Regions

Search Results (40)

Search Parameters:
Keywords = milrinone

Order results
Result details
Results per page
Select all
Export citation of selected articles as:
11 pages, 899 KB  
Article
The Effects of Vasoactive Medications on Mean Circulatory Filling Pressure, Venous Resistance, Systemic Vascular Resistance, Cardiac Index, and Oxygen Extraction After Pediatric Heart Transplant: Leveraging High-Fidelity Physiologic Data
by Julia Behrend, George Hoffman, John N. Kheir, Wesam Sourour, Anna Joong and Rohit S. Loomba
Children 2026, 13(2), 262; https://doi.org/10.3390/children13020262 - 13 Feb 2026
Viewed by 349
Abstract
Background: The physiologic effects of vasoactive medications on the venous circulation remain incompletely understood. Contemporary bedside management often emphasizes the arterial circulation, whereas Guytonian physiology emphasizes the venous circulation and mean circulatory filling pressure in determining steady-state cardiac output. The primary aim [...] Read more.
Background: The physiologic effects of vasoactive medications on the venous circulation remain incompletely understood. Contemporary bedside management often emphasizes the arterial circulation, whereas Guytonian physiology emphasizes the venous circulation and mean circulatory filling pressure in determining steady-state cardiac output. The primary aim of this study was to characterize the effect of vasoactive medications on mean circulatory filling pressure and venous resistance. Methods: Demographic data and vasoactive data were collected from the electronic health record and collated with high-fidelity physiologic monitoring data. Mean circulatory filling pressure and venous resistance were calculated using clinically validated equations and then were modeled using a random forest regression incorporating postoperative time and infusion doses of epinephrine, norepinephrine, milrinone, vasopressin, phenylephrine, calcium, sodium nitroprusside, and nicardipine. Similar models were constructed for indexed systemic vascular resistance, cardiac index, cerebral oxygen extraction, and renal oxygen extraction. Results: Data from a total of 57 unique patients comprising 9,654,239 data points were analyzed. The model explained 57% of the variance in mean circulatory filling pressure and 59% of the variance in venous resistance. Vasopressin and norepinephrine were the most influential for mean circulatory filling pressure and venous resistance. Conclusions: Vasoactive medications appear to modulate venous tone and impact mean circulatory filling pressure and venous resistance. High-fidelity physiologic data allow for characterizing these effects and guide titration of vasoactive medications at the bedside. Full article
(This article belongs to the Section Pediatric Cardiology)
Show Figures

Figure 1

23 pages, 2737 KB  
Article
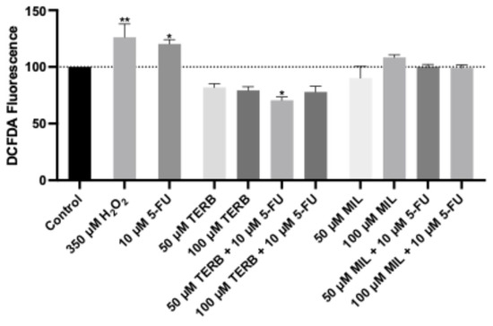
Personalized Combination Therapy in Bladder Cancer: cAMP Modulators Synergize with 5-FU and Modulate Redox Programs
by Eduarda Ribeiro and Nuno Vale
Cancers 2026, 18(4), 562; https://doi.org/10.3390/cancers18040562 - 9 Feb 2026
Viewed by 465
Abstract
Background/Objectives: Repurposed cAMP-elevating agents may personalize fluoropyrimidine therapy by exploiting pathway-specific vulnerabilities. Methods: We tested the PDE3 inhibitor milrinone and the β2-agonist terbutaline alone or combined with 10 μM 5-fluorouracil (5-FU) in UM-UC-5 (bladder), A549 (lung), and PC-3 (prostate) cells. Viability, migration, clonogenicity, [...] Read more.
Background/Objectives: Repurposed cAMP-elevating agents may personalize fluoropyrimidine therapy by exploiting pathway-specific vulnerabilities. Methods: We tested the PDE3 inhibitor milrinone and the β2-agonist terbutaline alone or combined with 10 μM 5-fluorouracil (5-FU) in UM-UC-5 (bladder), A549 (lung), and PC-3 (prostate) cells. Viability, migration, clonogenicity, and intracellular ROS (DCFDA) were measured; drug interactions used Chou–Talalay/CompuSyn. Results: In UM-UC-5, both agents reduced viability, migration, and clonogenicity and synergized with 5-FU (CI < 1 across Fa ≈ 0.42–0.57). 5-FU increased ROS, whereas terbutaline consistently lowered ROS below baseline and blunted 5-FU-induced oxidative signals; milrinone showed a dose-dependent redox profile without consistent ROS suppression. A549 combinations did not outperform 5-FU; PC-3 was largely unresponsive. Conclusions: cAMP modulators selectively potentiate 5-FU in bladder cancer cells and modulate redox programs (notably with terbutaline), supporting a biomarker-guided combination strategy (e.g., β2-AR/PDE3/PI3K–Akt features) for personalized therapy in bladder cancer; mechanistic and in vivo validation are warranted. Full article
Show Figures

Figure 1

21 pages, 480 KB  
Review
Neonatologist-Performed Echocardiography in Neonatal Pulmonary Hypertension: A Narrative Review of the Literature
by Anna Chiara Titolo, Mandy Ferrocino, Eleonora Biagi, Luisa Rizzo, Hajrie Seferi, Valentina Dell’Orto, Serafina Perrone and Susanna Esposito
Diagnostics 2025, 15(24), 3154; https://doi.org/10.3390/diagnostics15243154 - 11 Dec 2025
Viewed by 917
Abstract
Neonatal pulmonary hypertension (PH) is a major cause of illness and death in newborns. Neonatologist-performed echocardiography (NPE) is increasingly used as a bedside tool to assess heart function, shunt patterns, and pulmonary blood flow in real time, helping clinicians better understand the severity [...] Read more.
Neonatal pulmonary hypertension (PH) is a major cause of illness and death in newborns. Neonatologist-performed echocardiography (NPE) is increasingly used as a bedside tool to assess heart function, shunt patterns, and pulmonary blood flow in real time, helping clinicians better understand the severity and type of PH. This narrative review summarizes current evidence on the use of NPE in diagnosing, monitoring, and treating neonatal PH, drawing on clinical studies, guidelines, and expert recommendations. NPE provides key diagnostic and therapeutic information, including evaluation of ventricular function, estimation of pulmonary pressures, and assessment of shunt direction. Advanced measures—such as tricuspid annular plane systolic excursion (TAPSE), myocardial performance index, pulmonary artery acceleration time (PAAT), and deformation imaging—improve accuracy and help guide therapies like inhaled nitric oxide, milrinone, and sildenafil. NPE is also useful in chronic conditions such as bronchopulmonary dysplasia (BPD)- and congenital diaphragmatic hernia (CDH)-associated PH. Despite its clear clinical value, NPE use remains limited by variations in training, protocols, and resource availability. Standardized curricula, accreditation, and unified reporting practices are needed to ensure safe, consistent integration of NPE into neonatal care pathways. Full article
(This article belongs to the Special Issue Critical Ultrasound in Newborns/Children)
Show Figures

Figure 1

12 pages, 668 KB  
Case Report
Can Milrinone Be a Therapeutic Alternative in Persistent Pulmonary Hypertension of the Newborn? A Case Series and Narrative Review
by Eliza Wasilewska, Norbert Dera, Łukasz Minarowski, Łukasz Osiński, Anna Doboszynska, Sławomir Szajda and Alina Minarowska
Pediatr. Rep. 2025, 17(6), 116; https://doi.org/10.3390/pediatric17060116 - 3 Nov 2025
Viewed by 1746
Abstract
Background: Persistent pulmonary hypertension of the newborn (PPHN) remains a life-threatening condition resulting from failure of postnatal circulatory adaptation. Inhaled nitric oxide (iNO) is the standard first-line therapy; however, limited access or inadequate response highlight the need for alternative treatments. Milrinone, a selective [...] Read more.
Background: Persistent pulmonary hypertension of the newborn (PPHN) remains a life-threatening condition resulting from failure of postnatal circulatory adaptation. Inhaled nitric oxide (iNO) is the standard first-line therapy; however, limited access or inadequate response highlight the need for alternative treatments. Milrinone, a selective phosphodiesterase-3 inhibitor with nitric oxide-independent vasodilatory and inotropic properties, has been proposed as one such option. Methods: In this study we present a case series of three neonates with PPHN—term (41 weeks), late preterm (35 weeks), and extremely preterm (23 weeks)—treated with intravenous milrinone in a neonatal unit without immediate access to iNO. A narrative literature review was also conducted, focusing on clinical outcomes, safety, and therapeutic applicability. Results: Milrinone was initiated within the first 24 h of life. In the term and late-preterm infants, oxygenation and echocardiographic parameters improved within 48 h, with normalization of shunt direction and successful extubation by days 4–10. Transient systemic hypotension occurred in both cases and required dose adjustment or vasoactive support. In the extremely preterm neonate, only temporary hemodynamic improvement was achieved, followed by severe intraventricular hemorrhage and coagulopathy, possibly exacerbated by vasodilatory and antiplatelet effects of milrinone. Conclusions: Milrinone may serve as a feasible adjunct or bridging therapy for PPHN when iNO is unavailable. However, its use requires careful hemodynamic and neurological monitoring, particularly in very preterm infants. Further studies are needed to confirm safety and define optimal dosing across gestational ages. Full article
Show Figures

Graphical abstract

18 pages, 1097 KB  
Review
Pharmacokinetic Alterations in Patients with Chronic Heart Failure: A Systematic Review
by Olga Butranova, Sergey Zyryanov and Yury Kustov
Int. J. Mol. Sci. 2025, 26(19), 9495; https://doi.org/10.3390/ijms26199495 - 28 Sep 2025
Cited by 2 | Viewed by 2179
Abstract
(1) Chronic heart failure (CHF) is a typical component of the polymorbid profile of an elderly patient. The aim of this systematic review was to search for data from pharmacokinetic (PK) studies of any drugs in patients with CHF to systematize information on [...] Read more.
(1) Chronic heart failure (CHF) is a typical component of the polymorbid profile of an elderly patient. The aim of this systematic review was to search for data from pharmacokinetic (PK) studies of any drugs in patients with CHF to systematize information on changes in PK parameters depending on the physicochemical properties (PCPs) of the drug and route of its administration. (2) A systematic review of PK studies in patients with CHF was performed using Elibrary.ru, United States National Library of Medicine (PubMed), China National Knowledge Infrastructure (CNKI), and Directory of Open Access Journals (DOAJ). The final number of included articles was 106. A descriptive and correlation analysis of PK data and PCPs of drugs included in the study was carried out. Inclusion criteria: PK study, available PK parameters, demographic data, and diagnosed CHF. Risk of bias was assessed using ROBINS-I. (3) Evaluation of correlations between PCPs of drugs and their PK revealed a link between (i) plasma protein binding (PPB) and volume of distribution for lipophilic drugs; (ii) PCPs, half-life, and clearance for drugs with high PPB; and (iii) PPB and clearance for hydrophilic and amphiphilic drugs. (4) Hypoalbuminemia associated with CHF may lead to an increased volume of distribution of lipophilic drugs; lipophilic drugs used in CHF patients may be associated with prolongation of the half-life period and reduction in clearance; highly protein-bound drugs may manifest with reduced clearance. PK characteristics identified in this review should guide modifications to dosing regimens in CHF patients receiving medications from different groups. Full article
(This article belongs to the Special Issue Advanced Molecular Research on Chronic Heart Failure)
Show Figures

Figure 1

17 pages, 6323 KB  
Review
Persistent Pulmonary Hypertension of the Newborn: A Pragmatic Review of Pathophysiology, Diagnosis, and Advances in Management
by Karolina Chojnacka, Yogen Singh, Sheen Gahlaut, Witold Blaz, Agata Jerzak and Tomasz Szczapa
Biomedicines 2025, 13(10), 2332; https://doi.org/10.3390/biomedicines13102332 - 24 Sep 2025
Cited by 3 | Viewed by 5493
Abstract
Persistent pulmonary hypertension of the newborn (PPHN) results from disrupted fetal–neonatal circulatory transition, characterized by elevated pulmonary vascular resistance (PVR), right-to-left shunting, and refractory hypoxemia. Despite improved perinatal care, PPHN remains a major source of neonatal morbidity and mortality. This review details PPHN [...] Read more.
Persistent pulmonary hypertension of the newborn (PPHN) results from disrupted fetal–neonatal circulatory transition, characterized by elevated pulmonary vascular resistance (PVR), right-to-left shunting, and refractory hypoxemia. Despite improved perinatal care, PPHN remains a major source of neonatal morbidity and mortality. This review details PPHN phenotypes, pathophysiology, etiology, diagnostics including echocardiography and biomarkers like B-type Natriuretic Peptide (BNP) or N-terminal pro-B-type Natriuretic Peptide (NT-proBNP), and current therapeutic modalities, from lung recruitment and surfactant to targeted vasodilator therapy (iNO, sildenafil, milrinone, bosentan) and extracorporeal membrane oxygenation (ECMO). We emphasize the role of endothelial and molecular mechanisms in precision therapy and outline guidelines for clinical decision-making in diverse care settings. Full article
Show Figures

Figure 1

20 pages, 1116 KB  
Review
Repurposing Terbutaline and Milrinone for Cancer Therapy: A Comprehensive Review
by Eduarda Ribeiro and Nuno Vale
Future Pharmacol. 2025, 5(3), 38; https://doi.org/10.3390/futurepharmacol5030038 - 11 Jul 2025
Cited by 1 | Viewed by 2144
Abstract
Cancer remains a leading cause of mortality worldwide, necessitating innovative therapeutic strategies. Drug repurposing offers a cost-effective approach to cancer treatment by identifying new anticancer applications for existing drugs. Terbutaline, a β2-adrenergic receptor agonist, and Milrinone, a phosphodiesterase-3 inhibitor, are traditionally used as [...] Read more.
Cancer remains a leading cause of mortality worldwide, necessitating innovative therapeutic strategies. Drug repurposing offers a cost-effective approach to cancer treatment by identifying new anticancer applications for existing drugs. Terbutaline, a β2-adrenergic receptor agonist, and Milrinone, a phosphodiesterase-3 inhibitor, are traditionally used as positive inotropic agents but have shown potential anticancer effects. This review explores their mechanisms of action in cancer, focusing on their roles in modulating cyclic adenosine monophosphate (cAMP) levels, oxidative stress, and the tumor microenvironment. Terbutaline influences β2-adrenergic signaling, impacting cell proliferation, angiogenesis, and immune evasion. Milrinone, through PDE3 inhibition, elevates cAMP, promoting apoptosis and reducing tumor growth. Both agents exhibit anti-inflammatory and anti-angiogenic properties, suggesting their potential as adjuvant therapies in oncology. Despite promising preclinical data, clinical validation is required to confirm their efficacy and safety in cancer patients. This review highlights the therapeutic promise of repurposing Terbutaline and Milrinone, emphasizing the need for further research to optimize their application in cancer therapy. Full article
Show Figures

Graphical abstract

15 pages, 2582 KB  
Article
Intraoperative Hemoadsorption in Heart Transplant Surgery: A 5-Year Experience
by Nikola Sliskovic, Gloria Sestan, Savica Gjorgjievska, Davor Baric, Daniel Unic, Josip Varvodic, Marko Kusurin, Dubravka Susnjar, Sarah Singer and Igor Rudez
J. Cardiovasc. Dev. Dis. 2025, 12(4), 119; https://doi.org/10.3390/jcdd12040119 - 28 Mar 2025
Cited by 1 | Viewed by 1300
Abstract
Background: Hyperimmune response and cytokine release post-reperfusion might occur after orthotopic heart transplantation (HTx). Intraoperative hemoadsorption (HA) has been introduced to remove such elevated cytokines. We aimed to analyze the effect of intraoperative HA in patients undergoing orthotopic HTx. Methods: Between 2018 and [...] Read more.
Background: Hyperimmune response and cytokine release post-reperfusion might occur after orthotopic heart transplantation (HTx). Intraoperative hemoadsorption (HA) has been introduced to remove such elevated cytokines. We aimed to analyze the effect of intraoperative HA in patients undergoing orthotopic HTx. Methods: Between 2018 and 2022, 40 consecutive orthotopic HTx patients who underwent intraoperative hemoadsorption HA integrated into the cardiopulmonary bypass were compared to 41 historical controls. Primary outcome measures included postoperative hemodynamic stability and blood product requirements, while secondary outcomes were the incidence of acute kidney injury requiring dialysis (AKI-d) and 30-day mortality. Results: Postoperatively, the vasoactive-inotropic score (VIS) did not significantly differ between the groups. However, the use duration for milrinone and dobutamine was shortened by one day compared to controls. The HA group had fewer red blood cell transfusions (765 vs. 1330 mL, p = 0.01) and lower fresh frozen plasma requirements (945 vs. 1200 mL, p = 0.04). Mechanical ventilation duration was reduced (22 vs. 28 h, p = 0.02). AKI-d rates were similar, and 30-day mortality favored non-significantly the HA group (5% vs. 14.6%, p = ns). No device-related adverse events were observed. Conclusion: These findings suggest that intraoperative HA might improve immediate postoperative outcomes; however, further validation in larger randomized controlled trials is warranted. Full article
(This article belongs to the Collection Current Challenges in Heart Failure and Cardiac Transplantation)
Show Figures

Figure 1

20 pages, 3290 KB  
Review
Evidence-Based Approach to Cerebral Vasospasm and Delayed Cerebral Ischemia: Milrinone as a Therapeutic Option—A Narrative Literature Review and Algorithm Treatment Proposition
by Pedro Batarda Sena, Marta Gonçalves, Bruno Maia, Margarida Fernandes and Luís Bento
Neurol. Int. 2025, 17(3), 32; https://doi.org/10.3390/neurolint17030032 - 21 Feb 2025
Cited by 2 | Viewed by 10535
Abstract
Aneurysmal subarachnoid hemorrhage (aSAH) is a severe neurocritical condition often complicated by cerebral vasospasm (CVS), leading to delayed cerebral ischemia (DCI) and significant morbidity and mortality. Despite advancements in management, therapeutic options with robust evidence remain limited. Milrinone, a phosphodiesterase type 3 (PDE3) [...] Read more.
Aneurysmal subarachnoid hemorrhage (aSAH) is a severe neurocritical condition often complicated by cerebral vasospasm (CVS), leading to delayed cerebral ischemia (DCI) and significant morbidity and mortality. Despite advancements in management, therapeutic options with robust evidence remain limited. Milrinone, a phosphodiesterase type 3 (PDE3) inhibitor, has emerged as a potential therapeutic option. Intravenous milrinone demonstrated clinical and angiographic improvement in 67% of patients, reducing the need for mechanical angioplasty and the risk of functional disability at 6 months (mRS ≤ 2). Side effects, including hypotension, tachycardia, and electrolyte disturbances, were observed in 33% of patients, occasionally leading to early drug discontinuation. Based on the evidence, we propose a treatment algorithm for using milrinone to optimize outcomes and standardize its application in neurocritical care settings. Full article
Show Figures

Figure 1

18 pages, 3024 KB  
Article
Dobutamine, Epinephrine, and Milrinone Accelerate Particle Transport Velocity in Murine Tracheal Epithelium via Ca2+ Release from Caffeine-Sensitive Internal Stores
by Götz Schmidt, Frederic Borchers, Sabrina Müller, Amir Ali Akbari, Fabian Edinger, Michael Sander, Christian Koch and Michael Henrich
Cells 2025, 14(3), 228; https://doi.org/10.3390/cells14030228 - 5 Feb 2025
Cited by 1 | Viewed by 1691
Abstract
Mucociliary clearance, the ability of the respiratory tract to protect the integrity of the airways through the mechanical removal of potentially harmful substances, is of enormous importance during intensive care treatment. The present study aimed to evaluate the influence of clinically relevant inotropic [...] Read more.
Mucociliary clearance, the ability of the respiratory tract to protect the integrity of the airways through the mechanical removal of potentially harmful substances, is of enormous importance during intensive care treatment. The present study aimed to evaluate the influence of clinically relevant inotropic agents on mucociliary clearance. The particle transport velocity (PTV) of isolated murine tracheae was measured as a surrogate for mucociliary clearance in the presence of dobutamine, epinephrine, and milrinone. Inhibitory substances were applied to elucidate the signal transduction cascades and the value and origin of calcium ions which provoke alterations in mucociliary clearance function. Dobutamine, epinephrine, and milrinone increased the PTV in a dose-dependent manner with half maximal effective concentrations of 75.7 nM, 87.0 nM, and 13.7 µM, respectively. After the depletion of intracellular calcium stores, no increase in PTV was observed after administering any of the three inotropic agents. While dobutamine and epinephrine activated β-adrenergic receptors, epinephrine used both the phospholipase C (PLC) and protein kinase A (PKA) pathway to promote the release of intracellular Ca2+. However, dobutamine primarily acted on the PKA pathway, having only a minor influence on the PLC pathway. The induced changes in PTV following milrinone administration required both the PKA and PLC pathway, although the PKA pathway was responsible for most of the induced changes. In conclusion, the common inotropic agents dobutamine, epinephrine, and milrinone increase murine PTV in a concentration-dependent manner and ultimately release Ca2+ from intracellular calcium stores, suggesting the function of changes in mucociliary clearance in the respiratory tract. Full article
Show Figures

Figure 1

17 pages, 657 KB  
Article
Intravenous Levosimendan versus Inhalational Milrinone in the Management of Pulmonary Hypertension during Adult Cardiac Surgery: A Randomized Clinical Trial
by Panagiotis Ftikos, Georgios Gkantinas, Vlasios Karageorgos, Anna Smirli, Nektarios Kogerakis, Evangelos Leontiadis, Konstantinos Petsios, Theofani Antoniou and Kassiani Theodoraki
Life 2024, 14(9), 1164; https://doi.org/10.3390/life14091164 - 14 Sep 2024
Cited by 2 | Viewed by 3093
Abstract
Introduction: The perioperative management of patients with pulmonary hypertension (PH) undergoing cardiac surgery is challenging, mainly due to the potential risk of right ventricular failure (RVF). Levosimendan is a calcium-sensitizing agent that has primarily been used in the treatment of decompensated heart failure. [...] Read more.
Introduction: The perioperative management of patients with pulmonary hypertension (PH) undergoing cardiac surgery is challenging, mainly due to the potential risk of right ventricular failure (RVF). Levosimendan is a calcium-sensitizing agent that has primarily been used in the treatment of decompensated heart failure. However, recently levosimendan has been shown to be an effective and safe therapeutic strategy for patients with pulmonary arterial hypertension and PH associated with left heart disease. The aim of this study was to investigate the potential utility of the preemptive administration of levosimendan in cardiac surgical patients with preexisting PH and to compare its effectiveness with milrinone, which represents an already established therapeutic option in the management of PH during cardiac surgery. Materials and Methods: In this study, 40 adult cardiac surgical patients with PH were randomly assigned to receive either levosimendan intravenously or milrinone via inhalation in a double-blind fashion prior to a cardiopulmonary bypass (CPB). Hemodynamic and echocardiographic parameters were recorded and evaluated before and after the administration of the drugs. Results and Conclusions: The results of this study demonstrated that both levosimendan and milrinone administered before CPB in cardiac surgical patients with PH may offer protective benefits, reducing pulmonary artery pressure and preventing the exacerbation of PH and RVF. Pulmonary vasodilation attributed to levosimendan is of longer duration and greater magnitude compared to pulmonary vasodilation afforded by milrinone. Full article
(This article belongs to the Special Issue Pulmonary Hypertension: From Bench to Bedside: 2nd Edition)
Show Figures

Figure 1

10 pages, 515 KB  
Review
Dobutamine in the Management of Advanced Heart Failure
by Tanjeev Ahmad, Shamitha A. Manohar, Jason D. Stencel and Thierry H. Le Jemtel
J. Clin. Med. 2024, 13(13), 3782; https://doi.org/10.3390/jcm13133782 - 27 Jun 2024
Cited by 3 | Viewed by 21283
Abstract
Background: The potential harm and clinical benefits of inotropic therapy in patients with decompensated heart failure with reduced ejection fraction or advanced heart failure were debated for three decades. Nonetheless, confronted with a dismal quality of life in the last months to [...] Read more.
Background: The potential harm and clinical benefits of inotropic therapy in patients with decompensated heart failure with reduced ejection fraction or advanced heart failure were debated for three decades. Nonetheless, confronted with a dismal quality of life in the last months to years of life, continuous home inotropic therapy has recently gained traction for palliative therapy in patients who are not candidates for left ventricular mechanical circulatory support or heart transplantation. Methods: As continuous inotropic therapy is only considered for patients who experience symptomatic relief and display objective evidence of improvement, clinical equipoise is no longer present, and randomized controlled trials are hard to conduct. Results: We first outline the transient use of inotropic therapy in patients with decompensated heart failure with reduced ejection fraction and emphasize the hemodynamic requisite for inotropic therapy, which is a demonstration of a low cardiac output through a low mixed venous oxygen saturation. Lastly, we review the current experience with the use of home inotropic therapy in patients who are not candidates or are awaiting mechanical circulatory support or heart transplantation. Conclusions: Evidence-based clinical data are needed to guide inotropic therapy for refractory decompensated heart failure with reduced ejection fraction in patients who are ineligible or awaiting mechanical circulatory support or heart transplantation. Full article
(This article belongs to the Special Issue New Insights into the Management of Advanced (Stage D) Heart Failure)
Show Figures

Figure 1

13 pages, 1028 KB  
Article
Vasoactive Management of Pulmonary Hypertension and Ventricular Dysfunction in Neonates Following Complicated Monochorionic Twin Pregnancies: A Single-Center Experience
by Lukas Schroeder, Leon Soltesz, Judith Leyens, Brigitte Strizek, Christoph Berg, Andreas Mueller and Florian Kipfmueller
Children 2024, 11(5), 548; https://doi.org/10.3390/children11050548 - 3 May 2024
Viewed by 2523
Abstract
Objectives: Twins resulting from a complicated monochorionic (MC) twin pregnancy are at risk for postnatal evolution of pulmonary hypertension (PH) and cardiac dysfunction (CD). Both pathologies are important contributors to short- and long-term morbidity in these infants. The aim of the present retrospective [...] Read more.
Objectives: Twins resulting from a complicated monochorionic (MC) twin pregnancy are at risk for postnatal evolution of pulmonary hypertension (PH) and cardiac dysfunction (CD). Both pathologies are important contributors to short- and long-term morbidity in these infants. The aim of the present retrospective single-center cohort study was to evaluate the need for vasoactive treatment for PH and CD in these neonates. Methodology: In-born neonates following a complicated MC twin pregnancy admitted to the department of neonatology of the University Children’s Hospital Bonn (UKB) between October 2019 and December 2023 were screened for study inclusion. Finally, 70 neonates were included in the final analysis, with 37 neonates subclassified as recipient twins (group A) and 33 neonates as donor twins (group B). Results: The overall PH incidence at day of life (DOL) 1 was 17% and decreased to 6% at DOL 7 (p = 0.013), with no PH findings at DOL 28. The overall incidence of CD was 56% at DOL 1 and decreased strongly until DOL 7 (10%, p = 0.015), with no diagnosis of CD at DOL 28. The use of dobutamine, norepinephrine, and vasopressin at DOL 1 until DOL 7 did not differ between the subgroups, whereas the dosing of milrinone was significantly higher in Group B at DOL 1 (p = 0.043). Inhaled nitric oxide (iNO) was used in 16% of the cohort, and a levosimendan therapy was administered in 34% of the neonates. One-third of the cohort was treated with oral beta blockers, and in 10%, an intravenous beta blockade (landiolol) was administered. The maximum levosimendan vasoactive–inotropic score (LVISmax) increased from DOL 1 (12.4 [3/27]) to DOL 2 (14.6 [1/68], p = 0.777), with a significant decrease thereafter as measured at DOL 7 (9.5 [2/30], p = 0.011). Conclusion: Early PH and CD are frequent diagnoses in neonates following a complicated MC twin pregnancy, and an individualized vasoactive treatment strategy is required in the management of these infants. Full article
(This article belongs to the Special Issue The Management of Pulmonary Hypertension in Infants and Children)
Show Figures

Figure 1

36 pages, 1026 KB  
Review
An Update on Pharmacologic Management of Neonatal Hypotension: When, Why, and Which Medication
by Eleni Agakidou, Ilias Chatziioannidis, Angeliki Kontou, Theodora Stathopoulou, William Chotas and Kosmas Sarafidis
Children 2024, 11(4), 490; https://doi.org/10.3390/children11040490 - 19 Apr 2024
Cited by 14 | Viewed by 19680
Abstract
Anti-hypotensive treatment, which includes dopamine, dobutamine, epinephrine, norepinephrine, milrinone, vasopressin, terlipressin, levosimendan, and glucocorticoids, is a long-established intervention in neonates with arterial hypotension (AH). However, there are still gaps in knowledge and issues that need clarification. The main questions and challenges that neonatologists [...] Read more.
Anti-hypotensive treatment, which includes dopamine, dobutamine, epinephrine, norepinephrine, milrinone, vasopressin, terlipressin, levosimendan, and glucocorticoids, is a long-established intervention in neonates with arterial hypotension (AH). However, there are still gaps in knowledge and issues that need clarification. The main questions and challenges that neonatologists face relate to the reference ranges of arterial blood pressure in presumably healthy neonates in relation to gestational and postnatal age; the arterial blood pressure level that potentially affects perfusion of critical organs; the incorporation of targeted echocardiography and near-infrared spectroscopy for assessing heart function and cerebral perfusion in clinical practice; the indication, timing, and choice of medication for each individual patient; the limited randomized clinical trials in neonates with sometimes conflicting results; and the sparse data regarding the potential effect of early hypotension or anti-hypotensive medications on long-term neurodevelopment. In this review, after a short review of AH definitions used in neonates and existing data on pathophysiology of AH, we discuss currently available data on pharmacokinetic and hemodynamic effects, as well as the effectiveness and safety of anti-hypotensive medications in neonates. In addition, data on the comparisons between anti-hypotensive medications and current suggestions for the main indications of each medication are discussed. Full article
(This article belongs to the Special Issue Neonatal Clinical Pharmacology)
Show Figures

Figure 1

10 pages, 1739 KB  
Case Report
Contrast-Associated Acute Kidney Injury Requiring Continuous Renal Replacement Therapy in A Neonate with Aortic Stenosis—A Case Report
by Catalin Cirstoveanu, Carmina Georgescu, Nicolae Ruxandra, Mihaela Bizubac, Eliza Cinteza, Corina Maria Vasile, Cristina Filip and Irina Margarint
Pediatr. Rep. 2023, 15(2), 323-332; https://doi.org/10.3390/pediatric15020028 - 22 May 2023
Cited by 3 | Viewed by 4062
Abstract
Background: Acute kidney injury occurs commonly in the Neonatal Intensive Care Unit and is associated with increased mortality and morbidity. We report a case of a neonate with congenital heart disease who developed acute kidney injury after cardiac surgery, administration of iodinated contrast [...] Read more.
Background: Acute kidney injury occurs commonly in the Neonatal Intensive Care Unit and is associated with increased mortality and morbidity. We report a case of a neonate with congenital heart disease who developed acute kidney injury after cardiac surgery, administration of iodinated contrast media for cardiac catheterization, and a combination of nephrotoxic drugs. Case report: A term neonate without a prenatal diagnosis of congenital heart disease and with a good postnatal transition was transferred at 13 days of life to the MS Curie Emergency Hospital for Children, Newborn Intensive Care Unit, from a regional hospital where he was admitted at 10 days of life with severe general status, respiratory distress, cyanosis, and arterial hypotension. The cardiac ultrasound detected critical aortic valve stenosis, hypoplastic descending aorta, acute heart failure, and pulmonary hypertension. The patient was intubated and mechanically ventilated and received antibiotherapy (meropenem, vancomycin, and colistin), inotropic and vasoactive support (epinephrine, norepinephrine, dopamine, and milrinone), and diuretic support (furosemide, aminophylline, and ethacrynic acid). A balloon aortic valvuloplasty was performed several hours after admission, but after two days the patient required reintervention by open heart surgery due to relapsing severe aortic stenosis. He developed oligo-anuria, generalized edema, and altered renal function tests on the second postoperative and fourth day post-contrast media administration. Continuous renal replacement therapy was initiated for 75 h, leading to almost instant improvement in blood pressure, then diuresis and creatinine levels. The patient required long-term treatment for heart, respiratory, and liver failure. He was discharged at almost four months of age with normal renal function tests, blood pressure, and good urine output without diuretic support. The literature review indicates that contrast-associated acute kidney injury (CA-AKI) requiring continuous renal replacement therapy is rare. Conclusions: Our current case proves that iodinated contrast media administration in a neonate with concomitant insults, such as cardiac surgery for a specific pathology, aortic stenosis, coarctation, arch stenosis, arterial hypotension, and administration of nephrotoxic drugs, may lead to severe kidney injury. Full article
Show Figures

Figure 1

Back to TopTop