Sign in to use this feature.

Years

Between: -

Subjects

remove_circle_outline
remove_circle_outline
remove_circle_outline
remove_circle_outline
remove_circle_outline
remove_circle_outline
remove_circle_outline
remove_circle_outline
remove_circle_outline

Journals

remove_circle_outline
remove_circle_outline
remove_circle_outline
remove_circle_outline
remove_circle_outline
remove_circle_outline
remove_circle_outline
remove_circle_outline
remove_circle_outline
remove_circle_outline
remove_circle_outline
remove_circle_outline
remove_circle_outline
remove_circle_outline
remove_circle_outline

Article Types

Countries / Regions

remove_circle_outline
remove_circle_outline
remove_circle_outline
remove_circle_outline
remove_circle_outline
remove_circle_outline
remove_circle_outline
remove_circle_outline

Search Results (3,659)

Search Parameters:
Keywords = miRNA-target regulation

Order results
Result details
Results per page
Select all
Export citation of selected articles as:
37 pages, 3842 KB  
Article
Tyrosine–Peptide Analog Modulates Extracellular Vesicles miRNAs Cargo from Mesenchymal Stem/Stromal and Cancer Cells to Drive Immunoregeneration and Tumor Suppression
by Michelle B. R. G. Ley, Karina Galoian, Daniel A. Martinez, Arianna Patel, Reanna Thomas, Tressa R. Parker, Lee Friedman, Allie L. Andryski, Francis J. Hornicek, Thomas M. Best and Dimitrios Kouroupis
Biomolecules 2026, 16(2), 243; https://doi.org/10.3390/biom16020243 (registering DOI) - 3 Feb 2026
Abstract
Soft tissue sarcoma remains challenging to treat due to its heterogeneity, stemness-associated survival programs, and resistance to conventional therapies. Extracellular vesicles (EVs) mediate tumor–stroma communication, yet how stemness-targeted therapies reshape EVs-associated miRNAs networks remains unclear. This study profiled EVs miRNAs cargo from infrapatellar [...] Read more.
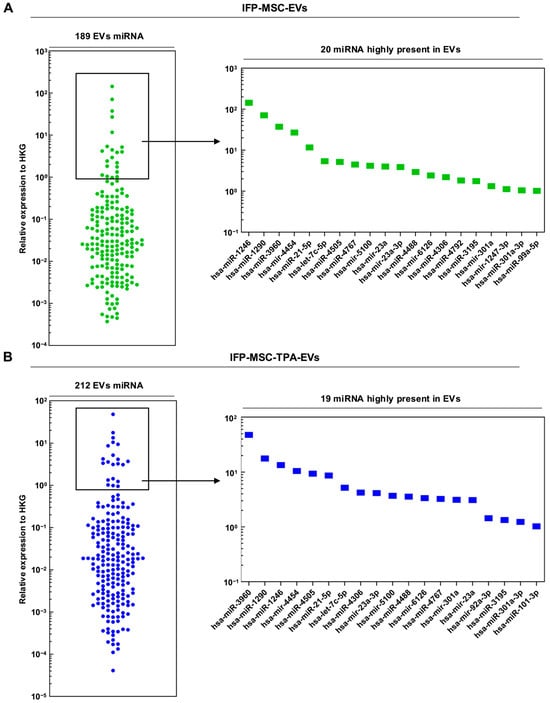
Soft tissue sarcoma remains challenging to treat due to its heterogeneity, stemness-associated survival programs, and resistance to conventional therapies. Extracellular vesicles (EVs) mediate tumor–stroma communication, yet how stemness-targeted therapies reshape EVs-associated miRNAs networks remains unclear. This study profiled EVs miRNAs cargo from infrapatellar fat pad mesenchymal stem/stromal cells (IFP-MSCs) and sarcoma cells (SCs) under basal conditions and following treatment with a synthetic tyrosine peptide analog (TPA). EVs were isolated, characterized, and subjected to miRNAs profiling and pathway enrichment analyses. TPA induced ≥2-fold regulation of 182 miRNAs, including 49 upregulated and 24 downregulated in IFP-MSC-EVs and 86 upregulated and 23 downregulated in SC-EVs. A conserved core of 149 miRNAs (67.1%) was shared across all EVs groups. Abundant species included miR-3960 and miR-21-5p, while TPA reduced tumor-associated miRNAs such as miR-1246 (~10-fold decrease in IFP-MSC-EVs). Pathway enrichment revealed consistent targeting of cancer, MAPK, Wnt, TGF-β, and immune signaling pathways, with modest increases in mapped gene coverage following TPA treatment. In silico analysis identified distinct EVs miRNA–gene interaction profiles, with VEGFA emerging as a recurrent predicted target. These results demonstrate that stemness-targeted modulation quantitatively reprograms EVs miRNA cargo in a cell-type-dependent manner, reshaping vesicle-mediated signaling networks in sarcoma. Full article
Show Figures

Graphical abstract

18 pages, 4365 KB  
Article
Stage-Specific miRNA Profiling Reveals Key Regulators of EMT and EGFR-TKI Resistance in Gallbladder Cancer
by Neeraj Saklani, Puja Sakhuja, Surbhi Goyal, Anil Kumar Agarwal, Sarangadhara Appala Raju Bagadi and Poonam Gautam
Cancers 2026, 18(3), 502; https://doi.org/10.3390/cancers18030502 - 3 Feb 2026
Abstract
Background: Gallbladder cancer (GBC) is a highly aggressive malignancy characterized by a poor prognosis, particularly in its advanced stages. While microRNAs (miRNAs) regulate cancer progression, their specific role in the transition from early to advanced GBC is poorly understood. Methods: We performed miRNA [...] Read more.
Background: Gallbladder cancer (GBC) is a highly aggressive malignancy characterized by a poor prognosis, particularly in its advanced stages. While microRNAs (miRNAs) regulate cancer progression, their specific role in the transition from early to advanced GBC is poorly understood. Methods: We performed miRNA expression profiling on 41 formalin-fixed paraffin-embedded (FFPE) tissues, including 10 gallstone disease (GSD) controls, 14 early-stage GBC (stage I and II), and 17 advanced-stage GBC cases (stage III and IV), using the NanoString nCounter platform. Differentially expressed miRNAs (DEMs) were identified followed by miRNA target identification using miRTarBase. Results: We identified 43 significantly dysregulated miRNAs in early-stage and 46 in advanced-stage GBC compared to controls. Based on the literature search, we found EMT-inhibiting miRNAs (miR-200 family) to be overexpressed in early stage and downregulated in advanced stages (miR-574-3p, miR-195-5p) in our study. Pathway analysis revealed significant enrichment of the ‘EGFR tyrosine kinase inhibitor resistance’ pathway in both the stages. The correlation of DEMs with clinicopathological features revealed that the expression of miR-361-3p and miR-423-5p was significantly associated with tumor grade (r = −0.605, p = 0.0003) and lymph node status (r = −0.621, p = 0.0001), respectively. Conclusions: This study identifies distinct miRNA signatures associated with GBC initiation and progression, offering insights into the molecular pathogenesis of the disease. Furthermore, functional studies of the miRNAs implicated in EMT and EGFR-TKI resistance may be conducted using GBC cell lines to dissect the precise roles of key miRNAs and explore their potential as novel therapeutic targets in GBC. Full article
(This article belongs to the Special Issue MicroRNA (miRNA) in Cancers)
Show Figures

Figure 1

22 pages, 7755 KB  
Article
Transcriptomic Insights into lncRNA–miRNA–mRNA Networks Regulating Angiogenesis and Metastasis in Prostate Cancer
by Jonathan Puente-Rivera, Stephanie I. Nuñez Olvera, Ameyatzin Ereth Robles-Chávez, Nayeli Goreti Nieto-Velázquez and María Elizbeth Alvarez-Sánchez
BioTech 2026, 15(1), 12; https://doi.org/10.3390/biotech15010012 - 1 Feb 2026
Viewed by 48
Abstract
Prostate cancer (PCa) is a leading cause of cancer-related mortality in men and is often characterized by aggressive growth and bone metastasis. Angiogenesis plays a central role in tumor progression and dissemination. This study aimed to explore the regulatory roles of long non-coding [...] Read more.
Prostate cancer (PCa) is a leading cause of cancer-related mortality in men and is often characterized by aggressive growth and bone metastasis. Angiogenesis plays a central role in tumor progression and dissemination. This study aimed to explore the regulatory roles of long non-coding RNAs (lncRNAs) and microRNAs (miRNAs) in angiogenesis and metastasis during PCa progression. Publicly available RNA-seq datasets were analyzed to identify differentially expressed miRNAs between metastatic (N1) and nonmetastatic (N0) PCa. Bioinformatic tools were used to reconstruct co-regulatory networks involving miRNAs, lncRNAs, and angiogenesis-related mRNAs. RT-qPCR was performed on serum-derived liquid biopsies from N0 and N1 patients and healthy controls to validate the key regulatory axes. Transcriptomic analysis revealed that miRNAs such as hsa-miR-183-5p and hsa-miR-216a-5p were upregulated in N1 PCa and associated with pro-angiogenic signaling, whereas hsa-miR-206 and hsa-miR-184, known for their anti-angiogenic functions, were downregulated. Network analysis identified the LINC00261–miR-206–HIF1A axis as the central regulatory module. RT-qPCR validation confirmed the significant downregulation of LINC00261 and miR-206, along with HIF1A overexpression in N1 samples compared to N0 and controls (p < 0.001), supporting in silico predictions. These findings highlight the role of ncRNA-mediated regulation of PCa angiogenesis and metastasis. The LINC00261–miR-206–HIF1A axis may serve as a promising noninvasive biomarker and potential therapeutic target. The integration of computational and experimental data provides a strong rationale for the further functional validation of advanced PCa. Full article
Show Figures

Figure 1

21 pages, 2280 KB  
Article
An Integrated Analysis of circRNA and lncRNA Expression of Bovine Granulosa Cells Induced by Melatonin Reveals the Pathways Potentially Involved in Follicular Development
by Shujuan Wang, Shiji Zhu, Yukang Wu, Yuhao Zhang, Dengxu Zhu, Huiyu Wang and Wenju Liu
Genes 2026, 17(2), 178; https://doi.org/10.3390/genes17020178 - 31 Jan 2026
Viewed by 67
Abstract
Objective: Accumulating evidence demonstrates that melatonin is involved in modulating granulosa cell function and follicular development. lncRNAs (long non-coding RNAs) and circRNAs (circular RNAs) have been reported to participate in multiple biological processes. This study aimed to explore the candidate circRNAs and [...] Read more.
Objective: Accumulating evidence demonstrates that melatonin is involved in modulating granulosa cell function and follicular development. lncRNAs (long non-coding RNAs) and circRNAs (circular RNAs) have been reported to participate in multiple biological processes. This study aimed to explore the candidate circRNAs and lncRNAs related to molecular mechanisms when exploring the role of melatonin in regulating ovarian function. Methods: Bovine ovary granulosa cells were collected 48 h after treatment with melatonin at 10−7 M. The lncRNA and circRNA profiles of bovine granulosa cells were further explored using high-throughput sequencing in the absence/presence of melatonin. The differentially expressed lncRNAs and circRNAs were analyzed through the annotation information of source transcripts for GO (Gene Ontology) and KEGG (Kyoto Encyclopedia of Genes and Genomes). Results: We identified 99 differentially expressed lncRNAs and 28 differentially expressed circRNAs. Enrichment analysis of differentially expressed lncRNAs and circRNAs showed they were enriched in multiple pathways involved in development, apoptosis, and reproductive function, such as the mTOR (mammalian Target of Rapamycin) signaling pathway, FoxO (Forkhead box O) signaling pathway, MAPK (Mitogen-Activated Protein Kinase) signaling pathway, Hippo signaling pathway, TGF-beta (Transforming Growth Factor-β) signaling pathway, PI3K-Akt (Phosphatidylinositol 3-Kinase-Akt) signaling pathway, apoptosis, and Rap1 (Ras-related protein 1), most of which were mainly related to granulosa cell function and the crosstalk between granulosa cells and oocytes. The present analysis indicated the potential role of melatonin in granulosa cell function by regulating lncRNA and circRNA expression and, thus, mediating follicular development. An lncRNA/circRNA and miRNA regulatory network was also constructed to take their interactions into account. Conclusions: Our study offers details of lncRNA and circRNA expression in bovine granulosa cells and further provides insight into the potential role of melatonin in regulating reproduction by modulating lncRNA and circRNA expression. Full article
(This article belongs to the Special Issue Buffalo Genetics and Genomics)
29 pages, 986 KB  
Review
The Multi-Target lncRNA–miRNA–mRNA TRIAD in Pancreatic Cancer Diagnosis and Therapy
by Hyeon-su Jeong, Yun Ju Lee, Du Hyeong Lee, Hyun-Young Roh, Ga-ram Jeong and Heui-Soo Kim
Int. J. Mol. Sci. 2026, 27(3), 1400; https://doi.org/10.3390/ijms27031400 - 30 Jan 2026
Viewed by 73
Abstract
Pancreatic cancer (PC) is one of the most lethal malignancies worldwide, characterized by late diagnosis, aggressive progression, and limited responsiveness to current therapeutic strategies. Although extensive genomic analyses have identified key driver protein-coding genes (PCGs), therapeutic approaches targeting individual genes have shown limited [...] Read more.
Pancreatic cancer (PC) is one of the most lethal malignancies worldwide, characterized by late diagnosis, aggressive progression, and limited responsiveness to current therapeutic strategies. Although extensive genomic analyses have identified key driver protein-coding genes (PCGs), therapeutic approaches targeting individual genes have shown limited clinical benefit. This limitation highlights the molecular complexity of PC, where tumor progression is governed by regulatory networks that extend beyond genetic alterations. Non-coding RNAs (ncRNAs), which constitute nearly 98% of the human genome, have emerged as regulators of gene expression in cancer. Among them, microRNAs (miRNAs) and long non-coding RNAs (lncRNAs) regulate oncogenic processes, including aberrant signaling activation, tumor microenvironment remodeling, epithelial–mesenchymal transition, immune evasion, and resistance. Beyond their independent functions, lncRNAs, miRNAs, and mRNAs form an integrated regulatory network known as the lncRNA–miRNA–mRNA TRIAD, enabling control of gene expression. Such network-based regulation provides a framework for multi-target therapeutic strategies. Moreover, the rapid responsiveness and disease-specific expression patterns of ncRNAs suggest strong potential as diagnostic and prognostic biomarkers in PC, where early detection remains challenging. This review summarizes the regulatory roles of PCGs, miRNAs, and lncRNAs in PC and highlights the lncRNA–miRNA–mRNA TRIAD as a framework for understanding gene regulatory networks. Full article
(This article belongs to the Collection Latest Review Papers in Molecular Genetics and Genomics)
42 pages, 1094 KB  
Review
Gastric Cancer Epithelial-Mesenchymal Transition-The Role of Micro-RNA
by Maciej Biskupski, Adam Brachet, Gabriela Hunek, Agnieszka Karabin, Michał Czerski, Wiktoria Bojarska, Robert Karpiński, Grzegorz Teresiński, Alicja Forma and Jacek Baj
Cancers 2026, 18(3), 462; https://doi.org/10.3390/cancers18030462 - 30 Jan 2026
Viewed by 86
Abstract
Epithelial-mesenchymal transition (EMT) is a key driver of invasion, metastasis, and treatment resistance in gastric cancer, yet its post-transcriptional regulation by microRNAs (miRNAs) is not fully delineated. We performed a structured literature search in PubMed, Web of Science, and Scopus for studies evaluating [...] Read more.
Epithelial-mesenchymal transition (EMT) is a key driver of invasion, metastasis, and treatment resistance in gastric cancer, yet its post-transcriptional regulation by microRNAs (miRNAs) is not fully delineated. We performed a structured literature search in PubMed, Web of Science, and Scopus for studies evaluating miRNAs in relation to EMT in gastric cancer and synthesised tumor-intrinsic, microenvironmental, and circulating EMT-related miRNA networks. Downregulated, predominantly tumor-suppressive miRNAs, including miR-34a, miR-200 family, miR-148a, miR-204, miR-30a, miR-101, miR-218, miR-26a, miR-375, miR-506, and others, converge on EMT transcription factors and pathways such as ZEB1/2, Snail, TGF-β/SMAD, Wnt/β-catenin, c-Met, and PI3K/AKT, and their restoration reverses EMT phenotypes in preclinical models. Upregulated oncomiRs, such as miR-21, miR-17-5p, miR-106b-5p, miR-23a, miR-130a-3p, miR-196a-5p, miR-181a, miR-616-3p, miR-301a-3p, miR-150, miR-27a-3p and miR-192/215, target tumor suppressors and reinforce these pathways. Cancer-associated fibroblast, macrophage, neutrophil, and natural killer cell-derived miRNAs, together with systemic indices such as the neutrophil-to-lymphocyte ratio and mediators like FAM3C, add microenvironmental layers of EMT regulation. Several EMT-related miRNAs show consistent associations with invasion, metastasis, peritoneal dissemination, prognosis, and chemoresistance, and many are detectable in circulation. Overall, EMT-related miRNAs orchestrate gastric cancer cell plasticity and tumor-microenvironment crosstalk and represent promising biomarker and therapeutic candidates that warrant validation in prospective, subtype-stratified, and translational studies. Full article
22 pages, 86801 KB  
Article
Transcriptome Sequencing Unveils a Novel Mechanism Underlying Breed Distinctions Between Thin- and Fat-Tailed Sheep
by Lei Gao, Yunyun Zhang, Yiyuan Zhang, Weifeng Peng, Zhenliang Zhang, Yucheng Liu, Jingjing Wang, Pengcheng Wan and Zongsheng Zhao
Genes 2026, 17(2), 162; https://doi.org/10.3390/genes17020162 - 30 Jan 2026
Viewed by 124
Abstract
Background: Sheep (Ovis aries) tail fat serves as a crucial energy reserve for adapting to harsh environments. However, excessive deposition can reduce farming efficiency and product quality. Elucidating the regulatory mechanisms of tail fat deposition is of great significance for genetic [...] Read more.
Background: Sheep (Ovis aries) tail fat serves as a crucial energy reserve for adapting to harsh environments. However, excessive deposition can reduce farming efficiency and product quality. Elucidating the regulatory mechanisms of tail fat deposition is of great significance for genetic improvement in sheep. Methods: In this study, transcriptome sequencing was conducted on tail fat tissues from fat-tailed Kazakh sheep (KAZ), thin-tailed Suffolk sheep (SFK), and their F2 hybrid sheep (CSH) (3 individuals per group). Subsequently, qRT-PCR validation, Enrichr, and KEGG database analyses were performed to investigate the molecular pathways involved in tail fat deposition. Results: High-quality clean reads were obtained from sequencing, with a genome alignment rate ranging from 76.15% to 79.43% and good data reproducibility. Differential expression analysis revealed multiple differentially expressed genes (DEGs) between KAZ and CSH groups, KAZ and SFK groups, as well as SFK and CSH groups. Five core candidate genes (BDH1, EPHX1, BCAT2, FASN, ACACA) were identified, all enriched in the fatty acid synthesis pathway and highly expressed in fat-tailed sheep, which was confirmed by qRT-PCR. Additionally, 189 lncRNAs were identified to collectively regulate target genes (e.g., FABP family, AGPAT2), along with three common differentially expressed miRNAs (novel_120, novel_171, novel_440) targeting genes enriched in lipid transport and lipid droplet formation pathways. Conclusions: This study confirms that the lncRNA-mRNA-miRNA regulatory axis is a key pathway in tail fat formation, providing important theoretical support and molecular targets for genetic improvement of ovine tail fat deposition traits. Full article
(This article belongs to the Section Animal Genetics and Genomics)
Show Figures

Figure 1

16 pages, 1160 KB  
Article
Down-Regulation of Acyloxyacyl Hydrolase Expression in Alzheimer’s Disease Impairs LPS Detoxification and Contributes to Brain Pro-Inflammatory Signaling
by Yuhai Zhao, Nathan M. Sharfman, Vivian R. Jaber, Christopher M. Taylor, Walter J. Lukiw and Nicolas G. Bazan
Molecules 2026, 31(3), 486; https://doi.org/10.3390/molecules31030486 - 30 Jan 2026
Viewed by 153
Abstract
Lipopolysaccharides (LPSs) are potent pro-inflammatory neurotoxins abundant in the gut microbiome and originate primarily from Gram-negative bacteria, such as Escherichia coli. LPS levels increase with brain aging and accumulate around neurons in Alzheimer’s disease (AD) brains. Microbiome-generated LPS and other endotoxins cross [...] Read more.
Lipopolysaccharides (LPSs) are potent pro-inflammatory neurotoxins abundant in the gut microbiome and originate primarily from Gram-negative bacteria, such as Escherichia coli. LPS levels increase with brain aging and accumulate around neurons in Alzheimer’s disease (AD) brains. Microbiome-generated LPS and other endotoxins cross gut barriers, enter systemic circulation, and translocate across the blood–brain barrier into vascularized brain regions. These processes are exacerbated by aging and neurovascular diseases. Although pro-homeostatic systems mitigate LPS effects, these defenses can fail. This study provides the first evidence that acyloxyacyl hydrolase (AOAH; EC 3.1.1.77), a microglia-enriched LPS detoxifying enzyme, shows reduced expression in AD brain tissue. Analysis of AD patient brains revealed reduced AOAH messenger RNA (mRNA) levels, accompanied by elevated expression of microRNA (hsa-miR-450b-5p), an inflammation regulator. Furthermore, luciferase reporter assays demonstrated that miR-450b-5p specifically targets the AOAH 3′-UTR, leading to a dose-dependent suppression of reporter activity. Also, in vitro experiments on human neuronal glial (HNG) cells further confirmed down-regulation of AOAH expression at protein levels by miR-450b-5p. These findings suggest miR-450b-5p-mediated AOAH deficiency drives LPS-associated neurotoxicity and inflammatory neurodegeneration in AD. Full article
Show Figures

Graphical abstract

10 pages, 3218 KB  
Communication
miR-195 and miR-549a Are Essential Biomarkers for Early-Onset Colorectal Cancer
by Jossimar Coronel-Hernández, Frida Rodríguez-Izquierdo, Berenice Carbajal-López, Eduardo O. Madrigal-Santillán, José Antonio Morales-González, Ayelén Xicohtencatl-Muñoz, Carlos Perez-Plasencia, Claudia M. García-Cuellar, German Calderillo-Ruiz and Yesennia Sánchez-Pérez
Int. J. Mol. Sci. 2026, 27(3), 1379; https://doi.org/10.3390/ijms27031379 - 30 Jan 2026
Viewed by 73
Abstract
Colorectal cancer (CRC) is one of the leading causes of mortality worldwide, with rising cases in individuals under 50 years old, classified as early-onset CRC (EO-CRC). EO-CRC is characterized by having clinical features related to a worse prognosis and outcome. This underscores the [...] Read more.
Colorectal cancer (CRC) is one of the leading causes of mortality worldwide, with rising cases in individuals under 50 years old, classified as early-onset CRC (EO-CRC). EO-CRC is characterized by having clinical features related to a worse prognosis and outcome. This underscores the critical need for early detection biomarkers. ncRNAs emerge as potential biomarkers for diagnosis, prognosis, and treatment response in other types of cancers. Sequencing data from the NCBI Bioproject PRJNA787417 were analyzed to identify differentially expressed miRNAs in early- and late-onset colorectal cancer (EO-CRC and LO-CRC). Differential expressions were assessed with a log fold change threshold of 1 and an adjusted p-value of 0.05. Predicted mRNA targets were identified via ENCORI and analyzed for pathway enrichment using the SHINYGO algorithm. RNA-seq analysis identified a 25-ncRNA EO-CRC signature, including hsa-miR-195 (downregulated) and hsa-miR-549a (upregulated), with enrichment analyses suggesting associations with MAPK, PI3K, VEGF, and KRAS pathways commonly linked to angiogenesis, migration, and invasion. This preliminary report highlights a 25-gene deregulated signature in EO-CRC, in which hsa-miR-195 and hsa-miR-549a emerge as biomarkers of clinical relevance, regulating key genes involved in angiogenesis, migration, and invasion. Their dysregulation could contribute to the aggressive clinical features and poor outcomes observed in EO-CRC. Full article
(This article belongs to the Special Issue Advances in Molecular Biomarkers in Cancer and Metabolic Diseases)
Show Figures

Figure 1

15 pages, 5280 KB  
Article
Adipose Tissue-Derived Exosome and miR-142a-3p Alleviate Acute Lung Injury by Inhibiting HMGB1-Driven Autophagy
by Qianlin Long, Kejie Chen, Yizhu Li, Ruinan Peng, Yijian Yan, Jintao Ma, Jia Wang, Qiuyu Song, Yu Xue and Fengyuan Wang
Cells 2026, 15(3), 264; https://doi.org/10.3390/cells15030264 - 30 Jan 2026
Viewed by 227
Abstract
Acute lung injury (ALI) is a clinically severe respiratory disorder, of which autophagy is the crucial mechanism. Exosomes have the potential to treat ALI, but the role of adipose-derived exosomes (ADEs) in the autophagy of ALI remains unclear. Using an LPS-induced ALI model, [...] Read more.
Acute lung injury (ALI) is a clinically severe respiratory disorder, of which autophagy is the crucial mechanism. Exosomes have the potential to treat ALI, but the role of adipose-derived exosomes (ADEs) in the autophagy of ALI remains unclear. Using an LPS-induced ALI model, the effects of ADE isolated from a lean or diet-induced-obese (DIO) mouse and ADE-carried miRNAs were investigated. After administration of ADEs, the levels of autophagy-related molecules were determined by qRT-PCR, Western blotting, and immunohistochemical staining. Then, a miRNA targeting HMGB1 was screened by bioinformatic analysis and a dual-luciferase reporter assay, and its effect on the HMGB1-driven autophagy in an ALI mouse was investigated as ADEs. The data showed that LPS caused lung injury and activated HMGB1-driven autophagy. The ADEs from a lean mouse or DIO mouse significantly alleviated histopathological lesions, and they inhibited HMGB1-driven autophagy by down-regulating LC3, Beclin-1, and Atg5; the effects of ADEs were not significantly different between a lean and DIO mouse. Of the miRNAs carried by ADE, moreover, miR-142a-3p could specifically bind to HMGB1 mRNA, and up-regulation of pulmonary miR-142a-3p suppressed HMGB1-driven autophagy and relieved lung injuries. Our results indicated that miR-142a-3p and ADEs mitigate LPS-induced ALI by inhibiting HMGB1-driven autophagy, providing new insights on the prevention and treatment of ALI. Full article
Show Figures

Figure 1

18 pages, 2183 KB  
Article
Uncovering miRNA–Disease Associations Through Graph Based Neural Network Representations
by Alessandro Orro
Biomedicines 2026, 14(2), 289; https://doi.org/10.3390/biomedicines14020289 - 28 Jan 2026
Viewed by 115
Abstract
Background: MicroRNAs (miRNAs) are an important class of non-coding RNAs that regulate gene expression by binding to target mRNAs and influencing cellular processes such as differentiation, proliferation, and apoptosis. Dysregulation in miRNA expression has been reported to be implicated in many human diseases, [...] Read more.
Background: MicroRNAs (miRNAs) are an important class of non-coding RNAs that regulate gene expression by binding to target mRNAs and influencing cellular processes such as differentiation, proliferation, and apoptosis. Dysregulation in miRNA expression has been reported to be implicated in many human diseases, including cancer, cardiovascular, and neurodegenerative disorders. Identifying disease-related miRNAs is therefore essential for understanding disease mechanisms and supporting biomarker discovery, but time and cost of experimental validation are the main limitations. Methods: We present a graph-based learning framework that models the complex relationships between miRNAs, diseases, and related biological entities within a heterogeneous network. The model employs a message-passing neural architecture to learn structured embeddings from multiple node and edge types, integrating biological priors from curated resources. This network representation enables the inference of novel miRNA–disease associations, even in sparsely annotated regions of the network. The approach was trained and validated on a dataset benchmark using ten replicated experiments to ensure robustness. Results: The method achieved an average AUC–ROC of ~98%, outperforming previously reported computational approaches on the same dataset. Moreover, predictions were consistent across validation folds and robustness analyses were conducted to evaluate stability and highlight the most important information. Conclusions: Integrating heterogeneous biological information and representing it through graph neural network representation learning offers a powerful and generalizable way to predict relevant associations, including miRNA–disease, and provide a robust computational framework to support biomedical discovery and translational research. Full article
(This article belongs to the Special Issue Bioinformatics Analysis of RNA for Human Health and Disease)
Show Figures

Figure 1

17 pages, 4617 KB  
Article
Integrated mRNA-miRNA Analysis Reveals the Regulatory Network Under Salt–Alkali Stress in Alfalfa (Medicago sativa L.)
by Mengya Liu, Yanran Xu, Lijun Zhao, Haojie Yu, Lijun Shi, Wenxuan Zhu, Bai Du, Xiao Li and Ruicai Long
Agriculture 2026, 16(3), 323; https://doi.org/10.3390/agriculture16030323 - 28 Jan 2026
Viewed by 136
Abstract
Soil salinization and alkalinization critically constrain alfalfa (Medicago sativa L.) productivity, yet the regulatory mechanisms underlying its responses to salt–alkali stress are not fully understood. In this study, the alfalfa variety “Zhongmu No. 1” was used as experimental material. The seeds were [...] Read more.
Soil salinization and alkalinization critically constrain alfalfa (Medicago sativa L.) productivity, yet the regulatory mechanisms underlying its responses to salt–alkali stress are not fully understood. In this study, the alfalfa variety “Zhongmu No. 1” was used as experimental material. The seeds were subjected to salt stress (75 mM NaCl), alkali stress (15 mM NaHCO3), and combined salt–alkali stress (50 mM NaCl + 5 mM NaHCO3) in dishes, with ddH2O serving as the control (CK). After 7 days of germination, the seedlings were transferred to a hydroponic system containing Hoagland nutrient solution supplemented with the corresponding treatments. Following 32 days of stress exposure, leaf and root tissue samples were collected for morphological and physiological measurements, as well as mRNA and miRNA sequencing analyses. Physiological assays revealed significant growth inhibition and increased electrolyte leakage under stress conditions. Transcriptome profiling identified over 5000 common differentially expressed genes (DEGs) in both leaves and roots under stress conditions, mainly enriched in pathways related to “iron ion binding”, “flavonoid biosynthesis”, “MAPK signaling”, and “alpha-Linolenic acid metabolism”. MiRNA sequencing detected 453 miRNAs, including 188 novel candidates, with several differentially expressed miRNAs (DEMs) exhibiting tissue- and stress-specific patterns. Integrated analysis revealed 147, 81, and 140 negatively correlated miRNA–mRNA pairs across three treatment groups, highlighting key regulatory modules in hormone signaling and metabolic pathways. Notably, in the ethylene and abscisic acid signaling pathways, ERF (XLOC_006645) and PP2C (MsG0180000476.01) were found to be regulated by miR5255 and miR172c, respectively, suggesting a post-transcriptional layer of hormonal control. DEM target genes enrichment pathway analyses also identified stress-specific regulation of “Fatty acid degradation”, “Galactose metabolism”, and “Fructose and mannose metabolism”. qRT-PCR validation confirmed the expression trends of selected DEGs and DEMs. Collectively, these findings reveal the complexity of miRNA–mRNA regulatory networks in alfalfa’s response to salt–alkali stress and provide candidate regulators for breeding stress-resilient cultivars. Full article
(This article belongs to the Special Issue Forage Breeding and Cultivation—2nd Edition)
Show Figures

Figure 1

14 pages, 613 KB  
Article
MicroRNA Markers of Previous Traumatic Brain Injury in Juvenile Offenders: Implications for Neuronal Dysfunction and Repair
by Adam T. Schmidt, Steven D. Hicks, Victoria E. Dennis, Becca K. Bergquist, Alexandra C. Bammel and Angelica Galdamez-Avila
Genes 2026, 17(2), 134; https://doi.org/10.3390/genes17020134 - 27 Jan 2026
Viewed by 179
Abstract
Background/Objectives: Justice-involved (JI) youth frequently endorse a history of traumatic brain injury (TBI). TBI, even mild TBI, can have substantial implications for long-term neurocognitive and psychosocial functioning. However, reliable, noninvasive biological indicators of chronic brain changes remain elusive. Micro-ribonucleic acids (miRNAs) are small [...] Read more.
Background/Objectives: Justice-involved (JI) youth frequently endorse a history of traumatic brain injury (TBI). TBI, even mild TBI, can have substantial implications for long-term neurocognitive and psychosocial functioning. However, reliable, noninvasive biological indicators of chronic brain changes remain elusive. Micro-ribonucleic acids (miRNAs) are small non-coding segments of RNA that regulate a host of cellular processes. miRNAs are perturbed immediately following TBI but may continue to show changes in the chronic phase of TBI recovery. Methods: We investigated miRNA expression in a group of JI youth (n = 42, ages 12–17 [M = 14.42, SD = 1.21; 57.1% male]) with (n = 22) and without reported histories of TBI. Results: After controlling multiple comparisons, independent samples t-tests revealed five miRNAs (miR-425-3p, miR-30b-5p, miR-582-5p, miR-200c-3p, and miR-150-5p) were significantly different between youth with and without a history of TBI. Among these, four (miR-425-3p, miR-30b-5p, miR-582-5p, and miR-200c-3p) showed higher expression in youth with TBI history, whereas miR-150-5 showed lower expression in youth with TBI history. Three miRNAs (miR-584-5p, miR-10b-5p, and miR-30b-5p) were significantly different between youth with and without a history of loss of consciousness (LOC). MiR-584-5p was lower in youth with LOC history, whereas miR-30b-5p and miR-10b-5p were higher in youth with a history of LOC. Many of these miRNAs have been implicated in prior studies as being involved with inflammatory processes, including neuroinflammation. Conclusions: These results, although preliminary, provide a starting point for understanding the cellular processes related to long-term TBI outcomes within adolescents. For example, they suggest that molecular pathways involved in stress and inflammation (as well as in certain types of behavioral disorders such as substance abuse) may be implicated in long-term brain changes following TBI during development. If replicated, it may suggest future targets for pharmacological intervention. Full article
(This article belongs to the Special Issue Genetics of Nerve Regeneration)
Show Figures

Figure 1

16 pages, 3102 KB  
Article
Hypercholesterolemia Impairs the Expression of Angiogenic MicroRNAs in Extracellular Vesicles Within Ischemic Skeletal Muscles
by Nozha Raguema, Sylvie Dussault, Kevin Sawaya, Michel Desjarlais, Eric Boilard, Sylvain Chemtob and Alain Rivard
Non-Coding RNA 2026, 12(1), 3; https://doi.org/10.3390/ncrna12010003 - 26 Jan 2026
Viewed by 158
Abstract
Background/Objectives: In severe peripheral artery disease (PAD) with limb ischemia, hypercholesterolemia (HC) is associated with impaired neovascularization. Extracellular vesicles (EVs) are present within ischemic muscles, and they contain microRNAs (miRs) involved in several biological functions, including angiogenesis and neovascularization. Methods: We [...] Read more.
Background/Objectives: In severe peripheral artery disease (PAD) with limb ischemia, hypercholesterolemia (HC) is associated with impaired neovascularization. Extracellular vesicles (EVs) are present within ischemic muscles, and they contain microRNAs (miRs) involved in several biological functions, including angiogenesis and neovascularization. Methods: We used a mouse model of PAD and compared the response to hindlimb ischemia in hypercholesterolemic ApoE−/− vs. normocholesterolemic mice. Next-generation sequencing (NGS) was used to perform full miR expression profiling in ischemic skeletal muscles and in EVs of varying sizes—large EVs (lEVs) and small EVs (sEVs)—within these muscles. Results: We identified several miRs with potential pro-angiogenic effects (angiomiRs) that are reduced by HC in lEVs (Let-7b-5p, miR-151-3p, Let-7c-5p) or sEVs (miR-21a-5p, miR-196b-5p, miR-340-5p). As proof of principle, we showed that the overexpression of Let-7b-5p in lEVs, or miR-21a-5p in sEVs, can significantly increase the angiogenic capacity of these EVs in vitro. HC also impaired the enrichment of specific angiomiRs in lEVs (miR-100-5p), sEVs (miR-142a-3p), or in both lEVs and sEVs (miR-146b-5p). In silico approaches, including the prediction of miR targets, pathway unions, and gene unions, identified the resulting predictive effects of HC-modulated miRs in EVs on processes with key roles in the modulation of angiogenesis and neovascularization, such as the regulation of the actin cytoskeleton and focal adhesion and the HIF-1, MAPK, AMPK, and PI3K-Akt signaling pathways. Conclusions: Our results constitute an important first step towards the identification of specific miRs that could be targeted to improve EV angiogenic function in hypercholesterolemic conditions and reduce tissue ischemia in patients with severe PAD. Full article
Show Figures

Figure 1

33 pages, 1642 KB  
Review
Controlling Biogenesis and Engineering of Exosomes to Inhibit Growth and Promote Death in Glioblastoma Multiforme
by Srikar Alapati and Swapan K. Ray
Brain Sci. 2026, 16(2), 130; https://doi.org/10.3390/brainsci16020130 - 25 Jan 2026
Viewed by 137
Abstract
Glioblastoma multiforme (GBM) is characterized by aggressive growth, extensive vascularization, high metabolic malleability, and a striking capacity for therapy resistance. Current treatments involve surgical resection and concomitant radiation therapy and chemotherapy, prolonging survival times marginally due to the therapy resistance that is built [...] Read more.
Glioblastoma multiforme (GBM) is characterized by aggressive growth, extensive vascularization, high metabolic malleability, and a striking capacity for therapy resistance. Current treatments involve surgical resection and concomitant radiation therapy and chemotherapy, prolonging survival times marginally due to the therapy resistance that is built up by the tumor cells. A growing body of research has identified exosomes as critical enablers of therapy resistance. These nanoscale vesicles enable GBM cells to disseminate oncogenic proteins, nucleic acids, and lipids that collectively promote angiogenesis, maintain autophagy under metabolic pressure, and suppress apoptosis. As interest grows in targeting tumor communication networks, exosome-based therapeutic strategies have emerged as promising avenues for improving therapeutic outcomes in GBM. This review integrates current insights into two complementary therapeutic strategies: inhibiting exosome biogenesis and secretion, and engineering exosomes as precision vehicles for the delivery of anti-tumor molecular cargo. Key molecular regulators of exosome formation—including the endosomal sorting complex required for transport (ESCRT) machinery, tumor susceptibility gene 101 (TSG101) protein, ceramide-driven pathways, and Rab GTPases—govern the sorting and release of factors that enhance GBM survival. Targeting these pathways through pharmacological or genetic means has shown promise in suppressing angiogenic signaling, disrupting autophagic flux via modulation of autophagy-related gene (ATG) proteins, and sensitizing tumor cells to apoptosis by destabilizing mitochondria and associated survival networks. In parallel, advances in exosome engineering—encompassing siRNA loading, miRNA enrichment, and small-molecule drug packaging—offer new routes for delivering therapeutic agents across the blood–brain barrier with high cellular specificity. Engineered exosomes carrying anti-angiogenic, autophagy-inhibiting, or pro-apoptotic molecules can reprogram the tumor microenvironment and activate both the intrinsic mitochondrial and extrinsic ligand-mediated apoptotic pathways. Collectively, current evidence underscores the potential of strategically modulating endogenous exosome biogenesis and harnessing exogenous engineered therapeutic exosomes to interrupt the angiogenic and autophagic circuits that underpin therapy resistance, ultimately leading to the induction of apoptotic cell death in GBM. Full article
(This article belongs to the Section Molecular and Cellular Neuroscience)
Back to TopTop