Sign in to use this feature.

Years

Between: -

Subjects

remove_circle_outline
remove_circle_outline
remove_circle_outline
remove_circle_outline
remove_circle_outline

Journals

Article Types

Countries / Regions

Search Results (12)

Search Parameters:
Keywords = metallocarboxypeptidase

Order results
Result details
Results per page
Select all
Export citation of selected articles as:
18 pages, 8401 KB  
Article
Identification of the Metallocarboxypeptidase M14 Gene Family in Lysiosquillina maculata, Odontodactylus scyllarus and Oratosquilla oratoria Based on the Full-Length Transcriptome
by Jiantong Zhang, Xiuqiang Dong, Xinyan Hu, Xiaowen Duan, Bin Xu and Fangrui Lou
Fishes 2025, 10(10), 515; https://doi.org/10.3390/fishes10100515 - 10 Oct 2025
Viewed by 666
Abstract
Metallocarboxypeptidase (MCP) is a crucial protein enzyme involved in food digestion and absorption in animals, which has a potential influence on the differentiation of the trophic niche. Considering that stomatopods have raptorial appendage-specific trophic niches, the present study screened and compared [...] Read more.
Metallocarboxypeptidase (MCP) is a crucial protein enzyme involved in food digestion and absorption in animals, which has a potential influence on the differentiation of the trophic niche. Considering that stomatopods have raptorial appendage-specific trophic niches, the present study screened and compared the MCP M14 gene family of three stomatopods (Lysiosquillina maculata, Odontodactylus scyllarus, and Oratosquilla oratoria) with different raptorial appendage morphologies based on full-length transcriptome information. There are 13 and 17 MCP M14 gene family members identified in L. maculata and O. scyllarus, respectively, which are classified as M14A, M14B, and M14D subfamilies. However, 15 MCP M14 family members have been identified in O. oratoria, all belonging to the M14A subfamily. The physicochemical properties, phylogenetic relationships, conserved motifs, and secondary and tertiary structures of the MCP M14 amino acid sequences were also analyzed in the present study. The results revealed that each amino acid sequence had unique physicochemical properties. Ten conserved motifs were further characterized across the MCP M14 amino acid sequences, and the type and number of motifs from the same subfamily remained highly conserved. Meanwhile, we found that most of the MCP M14 gene family members have critical residues (including Zn2+ binding sites [His69, Glu72, and His196], substrate-binding residues [Arg124, Arg127, and Arg145], and disulfide bond-forming residues [Cys138 and Cys161]) involved in disulfide bond formation and enzyme activity stabilization. Furthermore, the random coil is the predominant structural feature of the MCP M14 amino acid sequence. In conclusion, these results are undoubtedly valuable for exploring the evolution and regulation mechanisms of the trophic niche in stomatopods. Full article
(This article belongs to the Section Genetics and Biotechnology)
Show Figures

Graphical abstract

11 pages, 6590 KB  
Article
Genome-Wide Analysis of the Metallocarboxypeptidase Inhibitor Family Reveals That AbMCPI8 Affects Root Development and Tropane Alkaloid Production in Atropa belladonna
by Shengyu Yang, Yi Wang, Shiyu Wan, Can Zhang, Siyuan Liao, Min Chen, Xiaozhong Lan, Zhihua Liao and Lingjiang Zeng
Int. J. Mol. Sci. 2024, 25(24), 13729; https://doi.org/10.3390/ijms252413729 - 23 Dec 2024
Cited by 1 | Viewed by 1335
Abstract
Atropa belladonna is a medicinal plant and an important source for the commercial production of tropane alkaloids (TAs), such as scopolamine and hyoscyamine, which are used clinically for their anticholinergic properties. In this study, we identified 16 metallocarboxypeptidase inhibitor (MCPI) genes from A. [...] Read more.
Atropa belladonna is a medicinal plant and an important source for the commercial production of tropane alkaloids (TAs), such as scopolamine and hyoscyamine, which are used clinically for their anticholinergic properties. In this study, we identified 16 metallocarboxypeptidase inhibitor (MCPI) genes from A. belladonna (AbMCPIs), which are grouped into three subgroups based on phylogenetic relationships and are distributed across 10 chromosomes. Promoter analysis showed that most cis-regulatory elements were related to defense and stress responses, such as drought, low-temperature, ABA (abscisic acid), GA (gibberellin), auxin, light and MeJA responsiveness. A gene encoding a putative metallocarboxypeptidase inhibitor (AbMCPI8) is cloned from A. belladonna and characterized. AbMCPI8 shows similar tissue expression pattern to TA biosynthesis genes such as AbPMT, AbAT4, AbTRI, etc., with exclusive expression in the roots. When AbMCPI8 is silenced by virus-induced gene silencing (VIGS), the root growth is markedly inhibited and the production of hyoscyamine and scopolamine is significantly reduced. Our findings indicate a positive role of AbMCPI8 in root development, which could positively affect TA production in A. belladonna. Full article
(This article belongs to the Special Issue Regulation and Application of Bioactive Metabolites in Plants)
Show Figures

Figure 1

17 pages, 3164 KB  
Article
Isolation and Characterization of NpCI, a New Metallocarboxypeptidase Inhibitor from the Marine Snail Nerita peloronta with Anti-Plasmodium falciparum Activity
by Aymara Cabrera-Muñoz, Yusvel Sierra-Gómez, Giovanni Covaleda-Cortés, Mey L. Reytor, Yamile González-González, José M. Bautista, Francesc Xavier Avilés and Maday Alonso-del-Rivero
Mar. Drugs 2023, 21(2), 94; https://doi.org/10.3390/md21020094 - 28 Jan 2023
Cited by 2 | Viewed by 2427
Abstract
Metallocarboxypeptidases are zinc-dependent peptide-hydrolysing enzymes involved in several important physiological and pathological processes. They have been a target of growing interest in the search for natural or synthetic compound binders with biomedical and drug discovery purposes, i.e., with potential as antimicrobials or antiparasitics. [...] Read more.
Metallocarboxypeptidases are zinc-dependent peptide-hydrolysing enzymes involved in several important physiological and pathological processes. They have been a target of growing interest in the search for natural or synthetic compound binders with biomedical and drug discovery purposes, i.e., with potential as antimicrobials or antiparasitics. Given that marine resources are an extraordinary source of bioactive molecules, we screened marine invertebrates for new inhibitory compounds with such capabilities. In this work, we report the isolation and molecular and functional characterization of NpCI, a novel strong metallocarboxypeptidase inhibitor from the marine snail Nerita peloronta. NpCI was purified until homogeneity using a combination of affinity chromatography and RP-HPLC. It appeared as a 5921.557 Da protein with 53 residues and six disulphide-linked cysteines, displaying a high sequence similarity with NvCI, a carboxypeptidase inhibitor isolated from Nerita versicolor, a mollusc of the same genus. The purified inhibitor was determined to be a slow- and tight-binding inhibitor of bovine CPA (Ki = 1.1·× 10−8 mol/L) and porcine CPB (Ki = 8.15·× 10−8 mol/L) and was not able to inhibit proteases from other mechanistic classes. Importantly, this inhibitor showed antiplasmodial activity against Plasmodium falciparum in an in vitro culture (IC50 = 5.5 μmol/L), reducing parasitaemia mainly by inhibiting the later stages of the parasite’s intraerythrocytic cycle whilst having no cytotoxic effects on human fibroblasts. Interestingly, initial attempts with other related proteinaceous carboxypeptidase inhibitors also displayed similar antiplasmodial effects. Coincidentally, in recent years, a metallocarboxypeptidase named PfNna1, which is expressed in the schizont phase during the late intraerythrocytic stage of the parasite’s life cycle, has been described. Given that NpCI showed a specific parasiticidal effect on P. falciparum, eliciting pyknotic/dead parasites, our results suggest that this and related inhibitors could be promising starting agents or lead compounds for antimalarial drug discovery strategies. Full article
(This article belongs to the Special Issue Enzyme Inhibitors from Marine Resources)
Show Figures

Figure 1

16 pages, 1668 KB  
Article
Effects of α-Naphthylacetic Acid on Cadmium Stress and Related Factors of Tomato by Regulation of Gene Expression
by Xiaoxi Guan, Changling Sui, Kecui Luo, Zhifeng Chen, Chaoyang Feng, Xiufen Dong, Boping Zeng, Xian Dong and Xiaofang Liu
Agronomy 2022, 12(9), 2141; https://doi.org/10.3390/agronomy12092141 - 9 Sep 2022
Cited by 8 | Viewed by 2854
Abstract
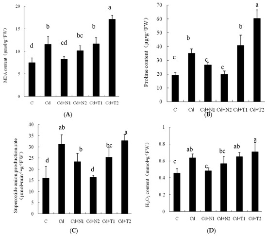
Cadmium (Cd) is absorbed and accumulated by crops, and it adversely affects plant growth and development. To explore the effect of exogenous auxin on Cd stress, we applied different concentrations of α-naphthaleneacetic acid (NAA) and the auxin transport inhibitor 2,3,5-triiodobenzoic acid (TIBA) to [...] Read more.
Cadmium (Cd) is absorbed and accumulated by crops, and it adversely affects plant growth and development. To explore the effect of exogenous auxin on Cd stress, we applied different concentrations of α-naphthaleneacetic acid (NAA) and the auxin transport inhibitor 2,3,5-triiodobenzoic acid (TIBA) to tomato plants exposed to Cd stress in a hydroponic system. NAA and TIBA at different concentrations were used under Cd stress. Plant growth, root morphology, and auxin distribution were observed. Lipid peroxidation and antioxidant enzyme activities in leaves, cadmiumcontent, and migration coefficient of plants were determined. Transcriptome sequencing and qRT-PCR were used to analyze the differentially expressed genes. Results showed that auxin was concentrated in the leaf veins, stem base, and roots in P5::GUS “Chico III” transgenic tomato, indicating NAA polar transport to the roots and promotion of root growth under Cd stress. Cd was absorbed by the roots and transported to the shoots. It then inhibited plant growth and promoted antioxidant enzyme activities, O2 production, H2O2 accumulation, and membrane lipid peroxidation. Treatment with 0.5 μM NAA improved antioxidant enzyme activities, reduced reactive oxygen, maintained membrane permeability, and decreased malondialdehyde and proline contents. Transcriptome analysis revealed that NAA activated a large number of genes in the roots: 1998 genes were differentially expressed in response to Cd or NAA treatment, and 1736 genes were specifically expressed in response to NAA treatment under Cd stress. Among the differentially expressed genes, tomato metallocarboxypeptidase inhibitor TCMP-2 (2A11) and Solanum lycopersicum heavy metal-associated isoprenylated plant protein (HIPP) 7-like (LOC101264884), which are closely related to plant response to heavy metal stress, may be the key sites of NAA. In conclusion, the NAA-mediated response to Cd stress was closely associated with “defense response” genes in shoots and “oxidoreductase activity, oxidizing metal ions” and “response to auxin” genes in roots. Full article
Show Figures

Figure 1

13 pages, 2165 KB  
Article
MiRNA-29b and miRNA-497 Modulate the Expression of Carboxypeptidase X Member 2, a Candidate Gene Associated with Left Ventricular Hypertrophy
by Jana Subrova, Karen Böhme, Allan Gillespie, Miriam Orphal, Claudia Plum, Reinhold Kreutz and Andreas Eisenreich
Int. J. Mol. Sci. 2022, 23(4), 2263; https://doi.org/10.3390/ijms23042263 - 18 Feb 2022
Cited by 4 | Viewed by 3477
Abstract
Left ventricular hypertrophy (LVH) is a major risk factor for adverse cardiovascular events. Recently, a novel candidate gene encoding the carboxypeptidase X member 2 (CPXM2) was found to be associated with hypertension-induced LVH. CPXM2 belongs to the M14 family of metallocarboxypeptidases, yet it [...] Read more.
Left ventricular hypertrophy (LVH) is a major risk factor for adverse cardiovascular events. Recently, a novel candidate gene encoding the carboxypeptidase X member 2 (CPXM2) was found to be associated with hypertension-induced LVH. CPXM2 belongs to the M14 family of metallocarboxypeptidases, yet it lacks detectable enzyme activity, and its function remains unknown. Here, we investigated the impact of micro (mi)RNA-29b, miRNA-195, and miRNA-497 on the posttranscriptional expression control of CPXM2. Candidate miRNAs for CPXM2 expression control were identified in silico. CPXM2 expression in rat cardiomyocytes (H9C2) was characterized via real-time PCR, Western blotting, and immunofluorescence. Direct miRNA/target mRNA interaction was analysed by dual luciferase assay. CPXM2 was expressed in H9C2 and co-localised with z-disc associated protein PDZ and LIM domain 3 (Pdlim3). Transfection of H9C2 with miRNA-29b, miRNA-195, and miRNA-497 led to decreased levels of CPXM2 mRNA and protein, respectively. Results of dual luciferase assays revealed that miRNA-29b and miRNA-497, but not miRNA-195, directly regulated CPXM2 expression on a posttranscriptional level via binding to the 3′UTR of CPXM2 mRNA. We identified two miRNAs capable of the direct posttranscriptional expression control of CPXM2 expression in rat cardiomyocytes. This novel data may help to shed more light on the—so far—widely unexplored expression control of CPXM2 and its potential role in LVH. Full article
(This article belongs to the Special Issue The Role of microRNA in Human Diseases)
Show Figures

Figure 1

16 pages, 2374 KB  
Article
Comprehensive Assessment of the Virulence Factors sub 3, sub 6 and mcpA in the Zoonotic Dermatophyte Trichophyton benhamiae Using FISH and qPCR
by Christina-Marie Baumbach, Antje Rückner, Lena Partusch, Eric Engel, Wieland Schrödl and Jule Kristin Michler
J. Fungi 2022, 8(1), 24; https://doi.org/10.3390/jof8010024 - 28 Dec 2021
Cited by 2 | Viewed by 2784
Abstract
Skin infections by keratinophilic fungi are commonly referred to as dermatophytosis and represent a major health burden worldwide. Although patient numbers are on the rise, data on virulence factors, their function and kinetics are scarce. We employed an ex vivo infection model based [...] Read more.
Skin infections by keratinophilic fungi are commonly referred to as dermatophytosis and represent a major health burden worldwide. Although patient numbers are on the rise, data on virulence factors, their function and kinetics are scarce. We employed an ex vivo infection model based on guinea pig skin explants (GPSE) for the zoonotic dermatophyte Trichophyton (T.) benhamiae to investigate kinetics of the virulence factors subtilisin (sub) 3, sub 6, metallocarboxypeptidase A (mcpA) and isocitrate lyase (isol) at gene level for ten days. Fluorescence in situ hybridization (FISH) and quantitative polymerase chain reaction (qPCR) were used to detect and quantify the transcripts, respectively. Kingdom-spanning, species-specific and virulence factor-specific probes were successfully applied to isolated fungal elements showing inhomogeneous fluorescence signals along hyphae. Staining results for inoculated GPSE remained inconsistent despite thorough optimization. qPCR revealed a significant increase of sub 3- and mcpA-transcripts toward the end of culture, sub 6 and isol remained at a low level throughout the entire culture period. Sub 3 is tightly connected to the de novo formation of conidia during culture. Since sub 6 is considered an in vivo disease marker. However, the presented findings urgently call for further research on the role of certain virulence factors during infection and disease. Full article
(This article belongs to the Section Fungal Genomics, Genetics and Molecular Biology)
Show Figures

Figure 1

14 pages, 1418 KB  
Review
Effects of SARS-CoV-2 on Cardiovascular System: The Dual Role of Angiotensin-Converting Enzyme 2 (ACE2) as the Virus Receptor and Homeostasis Regulator-Review
by Aneta Aleksova, Giulia Gagno, Gianfranco Sinagra, Antonio Paolo Beltrami, Milijana Janjusevic, Giuseppe Ippolito, Alimuddin Zumla, Alessandra Lucia Fluca and Federico Ferro
Int. J. Mol. Sci. 2021, 22(9), 4526; https://doi.org/10.3390/ijms22094526 - 26 Apr 2021
Cited by 56 | Viewed by 8235
Abstract
Angiotensin-converting enzyme 2 (ACE2) is the entry receptor for severe acute respiratory syndrome coronavirus-2 (SARS-CoV-2), the cause of Coronavirus Disease-2019 (COVID-19) in humans. ACE-2 is a type I transmembrane metallocarboxypeptidase expressed in vascular endothelial cells, alveolar type 2 lung epithelial cells, renal tubular [...] Read more.
Angiotensin-converting enzyme 2 (ACE2) is the entry receptor for severe acute respiratory syndrome coronavirus-2 (SARS-CoV-2), the cause of Coronavirus Disease-2019 (COVID-19) in humans. ACE-2 is a type I transmembrane metallocarboxypeptidase expressed in vascular endothelial cells, alveolar type 2 lung epithelial cells, renal tubular epithelium, Leydig cells in testes and gastrointestinal tract. ACE2 mediates the interaction between host cells and SARS-CoV-2 spike (S) protein. However, ACE2 is not only a SARS-CoV-2 receptor, but it has also an important homeostatic function regulating renin-angiotensin system (RAS), which is pivotal for both the cardiovascular and immune systems. Therefore, ACE2 is the key link between SARS-CoV-2 infection, cardiovascular diseases (CVDs) and immune response. Susceptibility to SARS-CoV-2 seems to be tightly associated with ACE2 availability, which in turn is determined by genetics, age, gender and comorbidities. Severe COVID-19 is due to an uncontrolled and excessive immune response, which leads to acute respiratory distress syndrome (ARDS) and multi-organ failure. In spite of a lower ACE2 expression on cells surface, patients with CVDs have a higher COVID-19 mortality rate, which is likely driven by the imbalance between ADAM metallopeptidase domain 17 (ADAM17) protein (which is required for cleavage of ACE-2 ectodomain resulting in increased ACE2 shedding), and TMPRSS2 (which is required for spike glycoprotein priming). To date, ACE inhibitors and Angiotensin II Receptor Blockers (ARBs) treatment interruption in patients with chronic comorbidities appears unjustified. The rollout of COVID-19 vaccines provides opportunities to study the effects of different COVID-19 vaccines on ACE2 in patients on treatment with ACEi/ARB. Full article
(This article belongs to the Special Issue Molecular Interactions and Mechanisms of COVID-19 Inhibition)
Show Figures

Figure 1

17 pages, 3703 KB  
Article
From Data Mining of Chitinophaga sp. Genome to Enzyme Discovery of a Hyperthermophilic Metallocarboxypeptidase
by Gabriela Cabral Fernandes, Elwi Guillermo Machado Sierra, Paul Brear, Mariana Rangel Pereira and Eliana G. M. Lemos
Microorganisms 2021, 9(2), 393; https://doi.org/10.3390/microorganisms9020393 - 14 Feb 2021
Cited by 11 | Viewed by 3888
Abstract
For several centuries, microorganisms and enzymes have been used for many different applications. Although many enzymes with industrial applications have already been reported, different screening technologies, methods and approaches are constantly being developed in order to allow the identification of enzymes with even [...] Read more.
For several centuries, microorganisms and enzymes have been used for many different applications. Although many enzymes with industrial applications have already been reported, different screening technologies, methods and approaches are constantly being developed in order to allow the identification of enzymes with even more interesting applications. In our work, we have performed data mining on the Chitinophaga sp. genome, a gram-negative bacterium isolated from a bacterial consortium of sugarcane bagasse isolated from an ethanol plant. The analysis of 8 Mb allowed the identification of the chtcp gene, previously annotated as putative Cht4039. The corresponding codified enzyme, denominated as ChtCP, showed the HEXXH conserved motif of family M32 from thermostable carboxypeptidases. After expression in E. coli, the recombinant enzyme was characterized biochemically. ChtCP showed the highest activity versus benziloxicarbonil Ala-Trp at pH 7.5, suggesting a preference for hydrophobic substrates. Surprisingly, the highest activity of ChtCP observed was between 55 °C and 75 °C, and 62% activity was still displayed at 100 °C. We observed that Ca2+, Ba2+, Mn2+ and Mg2+ ions had a positive effect on the activity of ChtCP, and an increase of 30 °C in the melting temperature was observed in the presence of Co2+. These features together with the structure of ChtCP at 1.2 Å highlight the relevance of ChtCP for further biotechnological applications. Full article
(This article belongs to the Special Issue Advanced Biotechnology of Microbial Enzymes)
Show Figures

Figure 1

24 pages, 3994 KB  
Article
Substrate Specificity and Structural Modeling of Human Carboxypeptidase Z: A Unique Protease with a Frizzled-Like Domain
by Javier Garcia-Pardo, Sebastian Tanco, Maria C. Garcia-Guerrero, Sayani Dasgupta, Francesc Xavier Avilés, Julia Lorenzo and Lloyd D. Fricker
Int. J. Mol. Sci. 2020, 21(22), 8687; https://doi.org/10.3390/ijms21228687 - 18 Nov 2020
Cited by 5 | Viewed by 5322
Abstract
Metallocarboxypeptidase Z (CPZ) is a secreted enzyme that is distinguished from all other members of the M14 metallocarboxypeptidase family by the presence of an N-terminal cysteine-rich Frizzled-like (Fz) domain that binds Wnt proteins. Here, we present a comprehensive analysis of the enzymatic properties [...] Read more.
Metallocarboxypeptidase Z (CPZ) is a secreted enzyme that is distinguished from all other members of the M14 metallocarboxypeptidase family by the presence of an N-terminal cysteine-rich Frizzled-like (Fz) domain that binds Wnt proteins. Here, we present a comprehensive analysis of the enzymatic properties and substrate specificity of human CPZ. To investigate the enzymatic properties, we employed dansylated peptide substrates. For substrate specificity profiling, we generated two different large peptide libraries and employed isotopic labeling and quantitative mass spectrometry to study the substrate preference of this enzyme. Our findings revealed that CPZ has a strict requirement for substrates with C-terminal Arg or Lys at the P1′ position. For the P1 position, CPZ was found to display specificity towards substrates with basic, small hydrophobic, or polar uncharged side chains. Deletion of the Fz domain did not affect CPZ activity as a carboxypeptidase. Finally, we modeled the structure of the Fz and catalytic domains of CPZ. Taken together, these studies provide the molecular elucidation of substrate recognition and specificity of the CPZ catalytic domain, as well as important insights into how the Fz domain binds Wnt proteins to modulate their functions. Full article
(This article belongs to the Special Issue Biocatalysis: Mechanisms of Proteolytic Enzymes)
Show Figures

Graphical abstract

17 pages, 2285 KB  
Article
The Tomato Metallocarboxypeptidase Inhibitor I, which Interacts with a Heavy Metal-Associated Isoprenylated Protein, Is Implicated in Plant Response to Cadmium
by Anna Manara, Elisa Fasani, Barbara Molesini, Giovanni DalCorso, Federica Pennisi, Tiziana Pandolfini and Antonella Furini
Molecules 2020, 25(3), 700; https://doi.org/10.3390/molecules25030700 - 6 Feb 2020
Cited by 41 | Viewed by 4867
Abstract
Metallocarboxypeptidases are metal-dependent enzymes, whose biological activity is regulated by inhibitors directed on the metal-containing active site. Some metallocarboxypeptidase inhibitors are induced under stress conditions and have a role in defense against pests. This paper is aimed at investigating the response of the [...] Read more.
Metallocarboxypeptidases are metal-dependent enzymes, whose biological activity is regulated by inhibitors directed on the metal-containing active site. Some metallocarboxypeptidase inhibitors are induced under stress conditions and have a role in defense against pests. This paper is aimed at investigating the response of the tomato metallocarboxypeptidase inhibitor (TCMP)-1 to Cd and other abiotic stresses. To this aim, the tomato TCMP-1 was ectopically expressed in the model species Arabidopsis thaliana, and a yeast two-hybrid analysis was performed to identify interacting proteins. We demonstrate that TCMP-1 is responsive to Cd, NaCl, and abscisic acid (ABA) and interacts with the tomato heavy metal-associated isoprenylated plant protein (HIPP)26. A. thaliana plants overexpressing TCMP-1 accumulate lower amount of Cd in shoots, display an increased expression of AtHIPP26 in comparison with wild-type plants, and are characterized by a modulation in the expression of antioxidant enzymes. Overall, these results suggest a possible role for the TCMP-1/HIPP26 complex in Cd response and compartmentalization. Full article
(This article belongs to the Special Issue Design and Application of Metal-Binding Proteins)
Show Figures

Figure 1

19 pages, 4199 KB  
Article
Characterization, Recombinant Production and Structure-Function Analysis of NvCI, A Picomolar Metallocarboxypeptidase Inhibitor from the Marine Snail Nerita versicolor
by Giovanni Covaleda-Cortés, Martha Hernández, Sebastián Alejandro Trejo, Manuel Mansur, Sergi Rodríguez-Calado, Javier García-Pardo, Julia Lorenzo, Josep Vendrell, María Ángeles Chávez, Maday Alonso-del-Rivero and Francesc Xavier Avilés
Mar. Drugs 2019, 17(9), 511; https://doi.org/10.3390/md17090511 - 29 Aug 2019
Cited by 7 | Viewed by 4244
Abstract
A very powerful proteinaceous inhibitor of metallocarboxypeptidases has been isolated from the marine snail Nerita versicolor and characterized in depth. The most abundant of four, very similar isoforms, NvCla, was taken as reference and N-terminally sequenced to obtain a 372-nucleotide band coding for [...] Read more.
A very powerful proteinaceous inhibitor of metallocarboxypeptidases has been isolated from the marine snail Nerita versicolor and characterized in depth. The most abundant of four, very similar isoforms, NvCla, was taken as reference and N-terminally sequenced to obtain a 372-nucleotide band coding for the protein cDNA. The mature protein contains 53 residues and three disulphide bonds. NvCIa and the other isoforms show an exceptionally high inhibitory capacity of around 1.8 pM for human Carboxypeptidase A1 (hCPA1) and for other A-like members of the M14 CPA subfamily, whereas a twofold decrease in inhibitory potency is observed for carboxypeptidase B-like members as hCPB and hTAFIa. A recombinant form, rNvCI, was produced in high yield and HPLC, mass spectrometry and spectroscopic analyses by CD and NMR indicated its homogeneous, compact and thermally resistant nature. Using antibodies raised with rNvCI and histochemical analyses, a preferential distribution of the inhibitor in the surface regions of the animal body was observed, particularly nearby the open entrance of the shell and gut, suggesting its involvement in biological defense mechanisms. The properties of this strong, small and stable inhibitor of metallocarboxypeptidases envisage potentialities for its direct applicability, as well as leading or minimized forms, in biotechnological/biomedical uses. Full article
(This article belongs to the Collection Bioactive Compounds from Marine Invertebrates)
Show Figures

Figure 1

19 pages, 3287 KB  
Article
Biochemical and MALDI-TOF Mass Spectrometric Characterization of a Novel Native and Recombinant Cystine Knot Miniprotein from Solanum tuberosum subsp. andigenum cv. Churqueña
by Juliana Cotabarren, Mariana Edith Tellechea, Sebastián Martín Tanco, Julia Lorenzo, Javier Garcia-Pardo, Francesc Xavier Avilés and Walter David Obregón
Int. J. Mol. Sci. 2018, 19(3), 678; https://doi.org/10.3390/ijms19030678 - 28 Feb 2018
Cited by 8 | Viewed by 4859
Abstract
Cystine-knot miniproteins (CKMPs) are an intriguing group of cysteine-rich molecules that combine the characteristics of proteins and peptides. Typically, CKMPs are fewer than 50 residues in length and share a characteristic knotted scaffold characterized by the presence of three intramolecular disulfide bonds that [...] Read more.
Cystine-knot miniproteins (CKMPs) are an intriguing group of cysteine-rich molecules that combine the characteristics of proteins and peptides. Typically, CKMPs are fewer than 50 residues in length and share a characteristic knotted scaffold characterized by the presence of three intramolecular disulfide bonds that form the singular knotted structure. The knot scaffold confers on these proteins remarkable chemical, thermal, and proteolytic stability. Recently, CKMPs have emerged as a novel class of natural molecules with interesting pharmacological properties. In the present work, a novel cystine-knot metallocarboxypeptidase inhibitor (chuPCI) was isolated from tubers of Solanum tuberosum, subsp. andigenum cv. Churqueña. Our results demonstrated that chuPCI is a member of the A/B-type family of metallocarboxypeptidases inhibitors. chuPCI was expressed and characterized by a combination of biochemical and mass spectrometric techniques. Direct comparison of the MALDI-TOF mass spectra for the native and recombinant molecules allowed us to confirm the presence of four different forms of chuPCI in the tubers. The majority of such forms have a molecular weight of 4309 Da and contain a cyclized Gln in the N-terminus. The other three forms are derived from N-terminal and/or C-terminal proteolytic cleavages. Taken together, our results contribute to increase the current repertoire of natural CKMPs. Full article
Show Figures

Graphical abstract

Back to TopTop