Sign in to use this feature.

Years

Between: -

Subjects

remove_circle_outline
remove_circle_outline
remove_circle_outline
remove_circle_outline
remove_circle_outline
remove_circle_outline
remove_circle_outline
remove_circle_outline
remove_circle_outline

Journals

Article Types

Countries / Regions

Search Results (54)

Search Parameters:
Keywords = maleic acid copolymer

Order results
Result details
Results per page
Select all
Export citation of selected articles as:
17 pages, 5455 KB  
Article
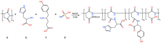
Synthesis and Characterization of Biodegradable Terpolymer Scale Inhibitors
by Fei Gao, Peng Xu, Yongqing Zhang and Hui Zhang
Materials 2025, 18(17), 4163; https://doi.org/10.3390/ma18174163 - 5 Sep 2025
Cited by 1 | Viewed by 1187
Abstract
To address scaling issues in oilfield water injection, a degradable terpolymer scale inhibitor MA-AA-AMPS (terpolymer)was synthesized via aqueous solution polymerization using maleic anhydride, acrylic acid, and 2-acrylamido-2-methylpropanesulfonic acid as monomers. Characterization confirmed the presence of carboxyl, sulfonic, and amide groups in the copolymer [...] Read more.
To address scaling issues in oilfield water injection, a degradable terpolymer scale inhibitor MA-AA-AMPS (terpolymer)was synthesized via aqueous solution polymerization using maleic anhydride, acrylic acid, and 2-acrylamido-2-methylpropanesulfonic acid as monomers. Characterization confirmed the presence of carboxyl, sulfonic, and amide groups in the copolymer with good thermal stability. Scale inhibition tests showed that at 2% dosage, its scale inhibition efficiency exceeded 80%, remaining above 80% in the pH range of 3–8 and over 50% at 150 °C, with excellent tolerance to high-calcium environments. Biodegradation tests revealed BOD5/COD > 0.3, with a biodegradation rate exceeding 50% in 15 days and reaching 83.4% in 30 days, indicating environmental friendliness. This scale inhibitor effectively solves scaling problems in oilfield water injection systems. Full article
(This article belongs to the Special Issue Advances in the Mechanical Behavior of Biopolymer Materials)
Show Figures

Figure 1

13 pages, 1068 KB  
Article
Styrene–Maleic Acid Copolymer-Based Nanoprobes for Enhanced Boron Neutron Capture Therapy
by Mingjie Zhang, Shanghui Gao, Kai Yang, Benchun Jiang, Wei Xu, Waliul Islam, Shinnosuke Koike, Yusei Kinoshita, Hiroto Nakayama, Jianrong Zhou, Kazumi Yokomizo and Jun Fang
Pharmaceutics 2025, 17(6), 738; https://doi.org/10.3390/pharmaceutics17060738 - 4 Jun 2025
Viewed by 946
Abstract
Background/Objectives: Boron neutron capture therapy (BNCT) is a promising, less-invasive anticancer treatment. However, the development of effective boron-based agents (BNCT probes) remains a critical and challenging issue. Previously, we developed a styrene–maleic acid (SMA) copolymer conjugated with glucosamine, encapsulating boronic acid, which [...] Read more.
Background/Objectives: Boron neutron capture therapy (BNCT) is a promising, less-invasive anticancer treatment. However, the development of effective boron-based agents (BNCT probes) remains a critical and challenging issue. Previously, we developed a styrene–maleic acid (SMA) copolymer conjugated with glucosamine, encapsulating boronic acid, which exhibited tumor-targeted distribution via the enhanced permeability and retention (EPR) effect. Building upon this approach, in this study, we designed and synthesized a series of SMA-based polymeric probes for BNCT and evaluated their biological activities, with a particular focus on tumor-targeting properties. Methods: Two SMA-based BNCT nanoprobes, SMA–glucosamine conjugated Borax (SG@B) and SMA-conjugated aminophenylboronic acid encapsulating tavaborole (S-APB@TB), were designed and synthesized. The boron content in the conjugates was quantified using inductively coupled plasma mass spectrometry (ICP-MS), while particle sizes were measured via dynamic light scattering (DLS). In vitro cytotoxicity was assessed using the MTT assay in mouse colon cancer C26 cells. The tissue distribution of the conjugates was analyzed in a mouse sarcoma S180 solid tumor model using ICP-MS. Results: Both SG@B and S-APB@TB formed nanoformulations with average particle sizes of 137 nm and 99 nm, respectively. The boron content of SG@B was 2%, whereas S-APB@TB exhibited a significantly higher boron content of 14.4%. Both conjugates demonstrated dose-dependent cytotoxicity against C26 cells, even in the absence of neutron irradiation. Notably, tissue distribution analysis following intravenous injection revealed higher boron concentrations in plasma and tumor tissues compared to most normal tissues, with S-APB@TB showing particularly favorable tumor accumulation. Conclusions: These findings highlight the tumor-targeting potential of SMA-based BNCT nanoprobes. Further investigations are warranted to advance their clinical development as BNCT agents. Full article
(This article belongs to the Section Nanomedicine and Nanotechnology)
Show Figures

Graphical abstract

15 pages, 2336 KB  
Article
On the Properties of Styrene–Maleic Acid Copolymer–Lipid Nanoparticles: A Solution NMR Perspective
by Vladislav V. Motov, Erik F. Kot, Svetlana O. Kislova, Eduard V. Bocharov, Alexander S. Arseniev, Ivan A. Boldyrev, Sergey A. Goncharuk and Konstantin S. Mineev
Polymers 2024, 16(21), 3009; https://doi.org/10.3390/polym16213009 - 26 Oct 2024
Cited by 2 | Viewed by 2860
Abstract
The production of functionally active membrane proteins (MPs) in an adequate membrane environment is a key step in structural biology. Polymer–lipid particles based on styrene and maleic acid (SMA) represent a promising type of membrane mimic, as they can extract properly folded MPs [...] Read more.
The production of functionally active membrane proteins (MPs) in an adequate membrane environment is a key step in structural biology. Polymer–lipid particles based on styrene and maleic acid (SMA) represent a promising type of membrane mimic, as they can extract properly folded MPs directly from their native lipid environment. However, the original SMA polymer is sensitive to acidic pH levels, which has led to the development of several modifications: SMA-EA, SMA-QA, and others. Here, we introduce a novel SMA derivative with a negatively charged taurine moiety, SMA-tau, and investigate the formation and characteristics of lipid–SMA-EA and lipid–SMA-tau membrane-mimicking particles. Our findings demonstrate that both polymers can form nanodiscs with a patch of lipid bilayer that can undergo phase transitions at temperatures close to those of the lipid bilayer membranes. Finally, we discuss the potential applications of these SMAs for NMR spectroscopy. Full article
(This article belongs to the Special Issue Advances and Applications of Block Copolymers II)
Show Figures

Graphical abstract

24 pages, 5139 KB  
Article
Evaluation of Additives on the Cell Metabolic Activity of New PHB/PLA-Based Formulations by Means of Material Extrusion 3D Printing for Scaffold Applications
by Ivan Dominguez-Candela, Lluc Sempere-José, Ignacio Sandoval-Perez and Asunción Martínez-García
Polymers 2024, 16(19), 2784; https://doi.org/10.3390/polym16192784 - 30 Sep 2024
Cited by 2 | Viewed by 2280
Abstract
In this study, specific additives were incorporated in polyhydroxyalcanoate (PHB) and polylactic acid (PLA) blend to improve its compatibility, and so enhance the cell metabolic activity of scaffolds for tissue engineering. The formulations were manufactured through material extrusion (MEX) additive manufacturing (AM) technology. [...] Read more.
In this study, specific additives were incorporated in polyhydroxyalcanoate (PHB) and polylactic acid (PLA) blend to improve its compatibility, and so enhance the cell metabolic activity of scaffolds for tissue engineering. The formulations were manufactured through material extrusion (MEX) additive manufacturing (AM) technology. As additives, petroleum-based poly(ethylene) with glicidyl metacrylate (EGM) and methyl acrylate-co-glycidyl methacrylate (EMAG); poly(styrene-co-maleic anhydride) copolymer (Xibond); and bio-based epoxidized linseed oil (ELO) were used. On one hand, standard geometries manufactured were assessed to evaluate the compatibilizing effect. The additives improved the compatibility of PHB/PLA blend, highlighting the effect of EMAG and ELO in ductile properties. The processability was also enhanced for the decrease in melt temperature as well as the improvement of thermal stability. On the other hand, manufactured scaffolds were evaluated for the purpose of bone regeneration. The mean pore size and porosity exhibited values between 675 and 718 μm and 50 and 53%, respectively. According to the results, the compression stress was higher (11–13 MPa) than the required for trabecular bones (5–10 MPa). The best results in cell metabolic activity were obtained by incorporating ELO and Xibond due to the decrease in water contact angle, showing a stable cell attachment after 7 days of culture as observed in SEM. Full article
(This article belongs to the Special Issue 3D-Printed Polymers for Tissue Engineering or Bioelectronics)
Show Figures

Figure 1

15 pages, 5158 KB  
Article
Development of Poly(lactic acid)-Based Biocomposites with Silver Nanoparticles and Investigation of Their Characteristics
by Kristine V. Aleksanyan, Regina S. Smykovskaya, Nadezhda A. Samoilova, Viktor A. Novikov, Aleksander M. Shakhov, Arseny V. Aybush, Olga P. Kuznetsova, Sergey M. Lomakin and Yana V. Ryzhmanova
Polymers 2024, 16(19), 2758; https://doi.org/10.3390/polym16192758 - 29 Sep 2024
Cited by 6 | Viewed by 1916
Abstract
Nowadays, the demand for food packaging that maintains the safety and quality of products has become one of the leading challenges. It can be solved by developing functional materials based on biodegradable polymers, such as poly(lactic acid) (PLA). In order to develop PLA-based [...] Read more.
Nowadays, the demand for food packaging that maintains the safety and quality of products has become one of the leading challenges. It can be solved by developing functional materials based on biodegradable polymers, such as poly(lactic acid) (PLA). In order to develop PLA-based functional materials with antibacterial activity, silver nanoparticles (AgNPs) were introduced. In the present study, AgNPs stabilized by a copolymer of ethylene and maleic acid were used. Under the joint action of shear deformations and high temperature, the biocomposites of PLA with poly(ethylene glycol) and AgNPs were produced. Their mechanical and thermal characteristics, water absorption, and structure were investigated using modern methods (DSC, FTIR, Raman spectroscopy, SEM). The effect of AgNP concentration on the characteristics of PLA-based biocomposites was detected. Based on the results of antibacterial activity tests (against Gram-positive and Gram-negative bacteria, along with yeast) it is assumed that these systems have potential as materials for extending the storage of food products. At the same time, PLA–PEG biocomposites with AgNPs possess biodegradability. Full article
Show Figures

Figure 1

20 pages, 5037 KB  
Article
The Coordination of Aluminum Sulfate with a Water-Soluble Block Copolymer Containing Carboxyl, Amide, Sulfonic and Anhydride Groups Providing Both Accelerating and Hardening Effects in Cement Setting
by Zhiyuan Song, Sidra Chaudhary, Zainab Bibi, Yong Wu, Qinxiang Jia, Xiaoyong Li, Weiyi Ouyang and Yang Sun
Molecules 2024, 29(19), 4543; https://doi.org/10.3390/molecules29194543 - 25 Sep 2024
Viewed by 1595
Abstract
Two water-soluble block copolymers composed of acrylic acid (AA), 2-acrylamido-2-methylpropane sulfonic acid (AMPS), and optionally maleic anhydride (MAH) were synthesized through ammonium persulfate-catalyzed free radical polymerization in water. The introduction of aluminum sulfate (AS) into the resulting mixtures significantly reduced the setting times [...] Read more.
Two water-soluble block copolymers composed of acrylic acid (AA), 2-acrylamido-2-methylpropane sulfonic acid (AMPS), and optionally maleic anhydride (MAH) were synthesized through ammonium persulfate-catalyzed free radical polymerization in water. The introduction of aluminum sulfate (AS) into the resulting mixtures significantly reduced the setting times of the paste and enhanced the mechanical strength of the mortar compared to both the additive-free control and experiments facilitated solely by pure AS. This improvement was primarily attributed to the inhibition of rapid Al3+ hydrolysis, which was achieved through coordination of the synthesized block copolymers, along with the formation of newly identified hydrolytic intermediates. Notably, the ternary copolymer (AA–AMPS–MAH) exhibited superior performance compared to that of the binary copolymer (AA–AMPS). In the early stages of cement setting, clusters of ettringite (AFt) were found to be immobilized over newly detected linkage phases, including unusual calcium silicate hydrate and epistilbite. In contrast to the well-documented role of polymers in retarding cement hydration, this study presents a novel approach by providing both accelerating and hardening agents for cement setting, which has significant implications for the future design of cement additives. Full article
Show Figures

Graphical abstract

19 pages, 4868 KB  
Article
Chitosan/Poly(maleic acid-alt-vinyl acetate) Hydrogel Beads for the Removal of Cu2+ from Aqueous Solution
by Irina Popescu, Irina Mihaela Pelin, Dana Mihaela Suflet, Magdalena Cristina Stanciu and Marieta Constantin
Gels 2024, 10(8), 500; https://doi.org/10.3390/gels10080500 - 28 Jul 2024
Cited by 2 | Viewed by 1903
Abstract
Covalent cross-linked hydrogels based on chitosan and poly(maleic acid-alt-vinyl acetate) were prepared as spherical beads. The structural modifications of the beads during the preparation steps (dropping in liquid nitrogen and lyophilization, thermal treatment, washing with water, and treatment with NaOH) were [...] Read more.
Covalent cross-linked hydrogels based on chitosan and poly(maleic acid-alt-vinyl acetate) were prepared as spherical beads. The structural modifications of the beads during the preparation steps (dropping in liquid nitrogen and lyophilization, thermal treatment, washing with water, and treatment with NaOH) were monitored by FT-IR spectroscopy. The hydrogel beads have a porous inner structure, as shown by SEM microscopy; moreover, they are stable in acidic and basic pH due to the covalent crosslinking. The swelling degree is strongly influenced by the pH since the beads possess ionizable amine and carboxylic groups. The binding capacity for Cu2+ ions was examined in batch mode as a function of sorbent composition, pH, contact time, and the initial concentration of Cu2+. The kinetic data were well-fitted with the pseudo-second-order kinetic, while the sorption equilibrium data were better fitted with Langmuir and Sips isotherms. The maximum equilibrium sorption capacity was higher for the beads obtained with a 3:1 molar ratio between the maleic copolymer and chitosan (142.4 mg Cu2+ g−1), compared with the beads obtained using a 1:1 molar ratio (103.7 mg Cu2+ g−1). The beads show a high degree of reusability since no notable decrease in the sorption capacity was observed after five consecutive sorption/desorption cycles. Full article
(This article belongs to the Special Issue High-Performance Hydrogel)
Show Figures

Figure 1

12 pages, 2239 KB  
Article
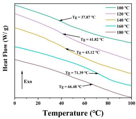
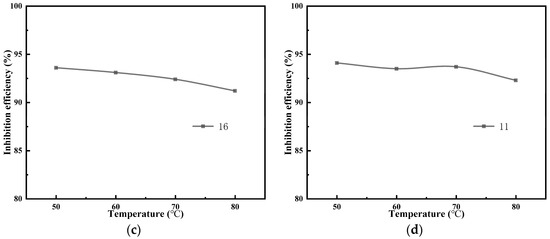
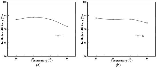
Synthesis and Performance Evaluation of Modified Polyaspartic-Acid-Based Scale Inhibitor
by WenLong Gao, LiWei Sun, Miao Li, XiAn Ye, QingChun Gao, DongLiang Kong, JunPu An, KuoBo Wang and Fan Yang
Energies 2024, 17(13), 3195; https://doi.org/10.3390/en17133195 - 28 Jun 2024
Cited by 3 | Viewed by 2330
Abstract
This paper focuses on the selection and application of scale inhibitor by studying the problem of pipeline scaling in geothermal well development. Adding scale inhibitor can effectively reduce the treatment cost and achieve a good scale resistance effect, but the commonly used polyaspartic [...] Read more.
This paper focuses on the selection and application of scale inhibitor by studying the problem of pipeline scaling in geothermal well development. Adding scale inhibitor can effectively reduce the treatment cost and achieve a good scale resistance effect, but the commonly used polyaspartic acid scale inhibitor has problems such as poor scale inhibition effect and large use limitations. Therefore, a new modified polyaspartic acid scale inhibitor (His-Tyr-SA-PASP) was prepared using polysuccinimide (PSI) as the raw material and histidine (His), tyrosine (Tyr), and sulfonic acid (SA) as the modification reagent. When the dosage of His-Tyr-SA-PASP was 8 mg/L, the scale inhibition rate of CaCO3 was 94.40%. In addition, the scale inhibition effect of His-Tyr-SA-PASP on CaCO3 was better than that of PASP. At the same time, under the condition of a static experiment at 75 °C, according to the ion concentration of water samples in different scale zones, this paper also identified the ratio of four composite scale inhibitors. When the dosage of compound scale inhibitor was 100 mg/L, Sodium of Polyaspartic Acid–Diethylene Triamine Penta (Methylene Phosphonic Acid)–2-Phosphonobutane-1,2,4-Tricarboxylic Acid–Amino Trimethylene Phosphonic Acid–Copolymer of Maleic and Acrylic Acid = (10:10:5:1:9), (15:10:5:2.5:2.5), (12.5:5:10:1:6.5), and (15:5:10:4:1) and the scale inhibition rate was more than 95%. Under the condition of a dynamic experiment, the optimized composite scale inhibitor still showed a scale inhibition rate of more than 90%. It provides a useful reference for the practical application of water treatment in geothermal wells and has the prospect of industrial application. Full article
(This article belongs to the Section H: Geo-Energy)
Show Figures

Figure 1

15 pages, 2880 KB  
Article
Hydrophilization and Functionalization of Fullerene C60 with Maleic Acid Copolymers by Forming a Non-Covalent Complex
by Nadezhda A. Samoilova, Maria A. Krayukhina, Zinaida S. Klemenkova, Alexander V. Naumkin, Michail I. Buzin, Yaroslav O. Mezhuev, Evgeniy A. Turetsky, Sergey M. Andreev, Nelya M. Anuchina and Dmitry A. Popov
Polymers 2024, 16(12), 1736; https://doi.org/10.3390/polym16121736 - 19 Jun 2024
Cited by 6 | Viewed by 2569
Abstract
In this study, we report an easy approach for the production of aqueous dispersions of C60 fullerene with good stability. Maleic acid copolymers, poly(styrene-alt-maleic acid) (SM), poly(N-vinyl-2-pyrrolidone-alt-maleic acid) (VM) and poly(ethylene-alt-maleic acid) (EM) were used to [...] Read more.
In this study, we report an easy approach for the production of aqueous dispersions of C60 fullerene with good stability. Maleic acid copolymers, poly(styrene-alt-maleic acid) (SM), poly(N-vinyl-2-pyrrolidone-alt-maleic acid) (VM) and poly(ethylene-alt-maleic acid) (EM) were used to stabilize C60 fullerene molecules in an aqueous environment by forming non-covalent complexes. Polymer conjugates were prepared by mixing a solution of fullerene in N-methylpyrrolidone (NMP) with an aqueous solution of the copolymer, followed by exhaustive dialysis against water. The molar ratios of maleic acid residues in the copolymer and C60 were 5/1 for SM and VM and 10/1 for EM. The volume ratio of NMP and water used was 1:1.2–1.6. Water-soluble complexes (composites) dried lyophilically retained solubility in NMP and water but were practically insoluble in non-polar solvents. The optical and physical properties of the preparations were characterized by UV-Vis spectroscopy, FTIR, DLS, TGA and XPS. The average diameter of the composites in water was 120–200 nm, and the ξ-potential ranged from −16 to −20 mV. The bactericidal properties of the obtained nanostructures were studied. Toxic reagents and time-consuming procedures were not used in the preparation of water-soluble C60 nanocomposites stabilized by the proposed copolymers. Full article
(This article belongs to the Special Issue Polymer-Containing Nanomaterials: Synthesis, Properties, Applications)
Show Figures

Figure 1

21 pages, 6611 KB  
Article
Fabrication of Eco-Friendly Hydrolyzed Ethylene–Maleic Anhydride Copolymer–Avermectin Nanoemulsion with High Stability, Adhesion Property, pH, and Temperature-Responsive Releasing Behaviors
by Yuxin Cheng, Zeyu Pan, Liming Tang, Yanbin Huang and Wantai Yang
Molecules 2024, 29(5), 1148; https://doi.org/10.3390/molecules29051148 - 5 Mar 2024
Cited by 7 | Viewed by 3165
Abstract
In this study, novel amphiphilic polymer emulsifiers for avermectin (Avm) were synthesized facilely via the hydrolysis of ethylene-maleic anhydride copolymer (EMA) with different agents, and their structures were confirmed by various techniques. Then, water-based Avm-nanoemulsions were fabricated with the emulsifiers via phase inversion [...] Read more.
In this study, novel amphiphilic polymer emulsifiers for avermectin (Avm) were synthesized facilely via the hydrolysis of ethylene-maleic anhydride copolymer (EMA) with different agents, and their structures were confirmed by various techniques. Then, water-based Avm-nanoemulsions were fabricated with the emulsifiers via phase inversion emulsification process, and superior emulsifier was selected via the emulsification effects. Using the superior emulsifier, an optimal Avm-nanoemulsion (defined as Avm@HEMA) with satisfying particle size of 156.8 ± 4.9 nm, encapsulation efficiency (EE) of 69.72 ± 4.01% and drug loading capacity (DLC) of 54.93 ± 1.12% was constructed based on response surface methodology (RSM). Owing to the emulsifier, the Avm@HEMA showed a series of advantages, including high stability, ultraviolet resistance, low surface tension, good spreading and high affinity to different leaves. Additionally, compared to pure Avm and Avm-emulsifiable concentrate (Avm-EC), Avm@HEMA displayed a controlled releasing feature. The encapsulated Avm was released quite slowly at normal conditions (pH 7.0, 25 °C or 15 °C) but could be released at an accelerated rate in weak acid (pH 5.5) or weak alkali (pH 8.5) media or at high temperature (40 °C). The drug releasing profiles of Avm@HEMA fit the Korsmeyer–Peppas model quite well at pH 7.0 and 25 °C (controlled by Fickian diffusion) and at pH 7.0 and 10 °C (controlled by non-Fickian diffusion), while it fits the logistic model under other conditions (pH 5.5 and 25 °C, pH 8.5 and 25 °C, pH 7.0 and 40 °C). Full article
(This article belongs to the Section Nanochemistry)
Show Figures

Graphical abstract

18 pages, 2767 KB  
Article
Polymer-Stabilized Silver (Gold)–Zinc Oxide Nanoheterodimer Structures as Antimicrobials
by Nadezhda A. Samoilova, Maria A. Krayukhina, Alexander V. Naumkin, Alexander A. Korlyukov, Nelya M. Anuchina and Dmitry A. Popov
Appl. Sci. 2023, 13(20), 11121; https://doi.org/10.3390/app132011121 - 10 Oct 2023
Cited by 3 | Viewed by 1793
Abstract
A simple one-pot method is proposed for obtaining the colloidal nanohybrid structures of silver (gold) and zinc oxide as well as nanostructures doped with zinc ions. The copolymers of maleic acid were used for the stabilization of nanoheterostructures. To characterize the preparation, UV–Vis [...] Read more.
A simple one-pot method is proposed for obtaining the colloidal nanohybrid structures of silver (gold) and zinc oxide as well as nanostructures doped with zinc ions. The copolymers of maleic acid were used for the stabilization of nanoheterostructures. To characterize the preparation, UV–Vis spectroscopy, TEM, FTIR, XPS, and XRD were used. The bactericidal properties of the nanoheterostructures were studied in relation to the fungus C. albicans and the bacteria E. coli and S. aureus, used in planktonic form. In general, the samples containing nanosilver were the most active, and the preparations containing gold nanoparticles were the least active. The minimum inhibitory concentrations (MICs) of the Ag/ZnO samples, based on all copolymers, were in the ranges of 1.4–1.7 μg/mL for C. albicans, 2.9–6.8 μg/mL for E. coli, and 23–27 μg/mL for S. aureus; the MIC values of Au/ZnO samples were 472 μg/mL for S. aureus and 945 μg/mL for C. albicans and E. coli. The additional introduction of zinc cations into heterodimers had practically no effect on the antimicrobial properties of the composites. For all prepared composites and all tested microorganisms, the fractional inhibitory concentration indexes were in the range of 0.5–2.2, which indicates a close-to-additive contribution of the bioactive components in the samples used in the bactericidal process. Full article
(This article belongs to the Special Issue Functional Polymers: Synthesis, Properties and Applications)
Show Figures

Figure 1

15 pages, 10258 KB  
Article
Exploration of Optimal Reaction Conditions for Constructing Hydrophobic Polymers with Low Deformation to Facilitate the Dimensional Stability of Laminated Bamboo Lumber
by Jianchao Zhou, Li Jin, Xinxing Wu, Hui Wang, Shuaibo Han, Yan Zhang and Fangli Sun
Polymers 2023, 15(12), 2637; https://doi.org/10.3390/polym15122637 - 9 Jun 2023
Cited by 2 | Viewed by 1779
Abstract
The environmental moisture changes would result in the deformation and cracking of laminated bamboo lumber (LBL) easily due to the unreleased internal stress, leading to poor durability. In this study, a hydrophobic cross-linking polymer with low deformation was successfully fabricated and introduced in [...] Read more.
The environmental moisture changes would result in the deformation and cracking of laminated bamboo lumber (LBL) easily due to the unreleased internal stress, leading to poor durability. In this study, a hydrophobic cross-linking polymer with low deformation was successfully fabricated and introduced in the LBL by polymerization and esterification to improve its dimensional stability. In an aqueous solution, the 2-hydroxyethyl methacrylate (HEMA) and Maleic anhydride (MAh) were employed as the base compounds for synthesizing the copolymer of 2-hydroxyethyl methacrylate and maleic acid (PHM). The hydrophobicity and swelling performance of the PHM was adjusted by controlling the reaction temperatures. PHM-modified LBL’s hydrophobicity as indicated by the contact angle, increased from 58.5° to 115.2°. The anti-swelling efficiency was also improved. Moreover, multiple characterizations were applied to clarify the structure of PHM and its bonding linkages in LBL. This study demonstrates an efficient avenue to facilitate the dimensional stability of LBL by PHM modification and sheds new light on the efficient utilization of LBL using a hydrophobic polymer with low deformation. Full article
(This article belongs to the Section Biobased and Biodegradable Polymers)
Show Figures

Figure 1

24 pages, 5224 KB  
Article
Wettability of Amino Acid-Functionalized PSMA Electrospun Fibers for the Modulated Release of Active Agents and Its Effect on Their Bioactivity
by Sebastián Santander, Nicolás Padilla-Manzano, Bastián Díaz, Renato Bacchiega, Elizabeth Jara, Luis Felipe Álvarez, Cristóbal Pinto, Juan C. Forero, Paula Santana, Eugenio Hamm, Marcela Urzúa and Laura Tamayo
Pharmaceutics 2023, 15(6), 1659; https://doi.org/10.3390/pharmaceutics15061659 - 5 Jun 2023
Cited by 4 | Viewed by 2554
Abstract
The ideal treatment for chronic wounds is based on the use of bioactive dressings capable of releasing active agents. However, the control of the rate at which these active agents are released is still a challenge. Bioactive polymeric fiber mats of poly(styrene-co [...] Read more.
The ideal treatment for chronic wounds is based on the use of bioactive dressings capable of releasing active agents. However, the control of the rate at which these active agents are released is still a challenge. Bioactive polymeric fiber mats of poly(styrene-co-maleic anhydride) [PSMA] functionalized with amino acids of different hydropathic indices and L-glutamine, L-phenylalanine and L-tyrosine levels allowed obtaining derivatives of the copolymers named PSMA@Gln, PSMA@Phe and PSMA@Tyr, respectively, with the aim of modulating the wettability of the mats. The bioactive characteristics of mats were obtained by the incorporation of the active agents Calendula officinalis (Cal) and silver nanoparticles (AgNPs). A higher wettability for PSMA@Gln was observed, which is in accordance with the hydropathic index value of the amino acid. However, the release of AgNPs was higher for PSMA and more controlled for functionalized PSMA (PSMAf), while the release curves of Cal did not show behavior related to the wettability of the mats due to the apolar character of the active agent. Finally, the differences in the wettability of the mats also affected their bioactivity, which was evaluated in bacterial cultures of Staphylococcus aureus ATCC 25923 and methicillin-resistant Staphylococcus aureus ATCC 33592, an NIH/3T3 fibroblast cell line and red blood cells. Full article
Show Figures

Graphical abstract

17 pages, 2727 KB  
Article
One-Pot Synthesis of Colloidal Hybrid Au (Ag)/ZnO Nanostructures with the Participation of Maleic Acid Copolymers
by Nadezhda A. Samoilova, Maria A. Krayukhina, Alexander A. Korlyukov, Zinaida S. Klemenkova, Alexander V. Naumkin and Yaroslav O. Mezhuev
Polymers 2023, 15(7), 1670; https://doi.org/10.3390/polym15071670 - 27 Mar 2023
Cited by 5 | Viewed by 2412
Abstract
One-pot synthesis of colloidal Au/ZnO and Ag/ZnO nanohybrid structures was carried out. The copolymers of maleic acid—poly(N-vinyl-2-pyrrolidone-alt-maleic acid), poly(ethylene-alt-maleic acid), or poly(styrene-alt-maleic acid) were used as templates for the sorption of cations of metals-precursors and stabilization of [...] Read more.
One-pot synthesis of colloidal Au/ZnO and Ag/ZnO nanohybrid structures was carried out. The copolymers of maleic acid—poly(N-vinyl-2-pyrrolidone-alt-maleic acid), poly(ethylene-alt-maleic acid), or poly(styrene-alt-maleic acid) were used as templates for the sorption of cations of metals-precursors and stabilization of the resulting nanoheterostructures. Simultaneous production of two types of nanoparticles has been implemented under mild conditions in an aqueous alkaline medium and without additional reagents. Equimolar ratios of the metal cations and appropriate load on all copolymers were used: molar ratio of maleic acid monomeric units of copolymer/gold (silver)cations/zinc cations was 1/0.15/0.23 (1/0.3/0.15). The process of obtaining the heterostructures was studied using UV-Vis spectroscopy. The kinetics of the formation of heterostructures was influenced by the nature of the maleic acid copolymer and noble metal cations used. A high reaction rate was observed in the case of using zinc and gold cations-precursors and a copolymer of maleic acid with N-vinylpyrrolidone as a stabilizer of nanoparticles. The structure of the synthesized polymer-stabilized heterostructures was studied using instrumental methods of analysis—XPS, FTIR, PXRD, and TEM. Under the conditions used, stable colloidal solutions of heterodimers were obtained, and such structure can be converted to a solid state and back without loss of properties. Full article
(This article belongs to the Special Issue Advanced Polymer Nanocomposites III)
Show Figures

Figure 1

16 pages, 3661 KB  
Article
Effect of Styrene-Maleic Anhydride Copolymer on Properties of PBST/PLA Blends
by Qing Zhang, Yongguang Gao, Baojing Luo, Yan Cui, Shili Shu, Wei Chen and Lei Wang
Polymers 2023, 15(4), 952; https://doi.org/10.3390/polym15040952 - 15 Feb 2023
Cited by 13 | Viewed by 4234
Abstract
Poly(butylene succinate-butylene terephthalate) (PBST) and polylactic acid (PLA) are both biodegradable polymeric materials. PBST has good ductility but low strength, while PLA exhibits high strength but poor toughness. Based on the complementary mechanical properties of the two polymers, PBST/PLA blends were prepared by [...] Read more.
Poly(butylene succinate-butylene terephthalate) (PBST) and polylactic acid (PLA) are both biodegradable polymeric materials. PBST has good ductility but low strength, while PLA exhibits high strength but poor toughness. Based on the complementary mechanical properties of the two polymers, PBST/PLA blends were prepared by melt blending in the mixing chamber of a torque rheometer using styrene-maleic anhydride copolymer (PSMA) as a compatibilizer. The effects of different contents of PSMA on the crystalline properties, thermal properties, mechanical properties, rheological behavior, and morphology of PBST/PLA blends were investigated. The results showed that the addition of PSMA improved the compatibility between PBST and PLA. When the amount of PSMA is 3–4 wt%, the comprehensive mechanical properties of the blends are optimal, and the tensile strength was increased by 61.7% compared with the binary blend without PSMA. Additionally, rheological tests illustrated that the blends exhibited a typical shear-thinning behavior and belonged to pseudoplastic non-Newtonian fluids. Full article
(This article belongs to the Special Issue Recent Developments in Biodegradable and Biobased Polymers)
Show Figures

Figure 1

Back to TopTop