Sign in to use this feature.

Years

Between: -

Subjects

remove_circle_outline
remove_circle_outline
remove_circle_outline
remove_circle_outline
remove_circle_outline
remove_circle_outline
remove_circle_outline
remove_circle_outline
remove_circle_outline

Journals

Article Types

Countries / Regions

Search Results (151)

Search Parameters:
Keywords = mainstream and branches

Order results
Result details
Results per page
Select all
Export citation of selected articles as:
25 pages, 2831 KB  
Article
Lightweight Vision–Transformer Network for Early Insect Pest Identification in Greenhouse Agricultural Environments
by Wenjie Hong, Shaozu Ling, Pinrui Zhu, Zihao Wang, Ruixiang Zhao, Yunpeng Liu and Min Dong
Insects 2026, 17(1), 74; https://doi.org/10.3390/insects17010074 - 8 Jan 2026
Abstract
This study addresses the challenges of early recognition of fruit and vegetable diseases and pests in facility horticultural greenhouses and the difficulty of real-time deployment on edge devices, and proposes a lightweight cross-scale intelligent recognition network, Light-HortiNet, designed to achieve a balance between [...] Read more.
This study addresses the challenges of early recognition of fruit and vegetable diseases and pests in facility horticultural greenhouses and the difficulty of real-time deployment on edge devices, and proposes a lightweight cross-scale intelligent recognition network, Light-HortiNet, designed to achieve a balance between high accuracy and high efficiency for automated greenhouse pest and disease detection. The method is built upon a lightweight Mobile-Transformer backbone and integrates a cross-scale lightweight attention mechanism, a small-object enhancement branch, and an alternative block distillation strategy, thereby effectively improving robustness and stability under complex illumination, high-humidity environments, and small-scale target scenarios. Systematic experimental evaluations were conducted on a greenhouse pest and disease dataset covering crops such as tomato, cucumber, strawberry, and pepper. The results demonstrate significant advantages in detection performance, with mAP@50 reaching 0.872, mAP@50:95 reaching 0.561, classification accuracy reaching 0.894, precision reaching 0.886, recall reaching 0.879, and F1-score reaching 0.882, substantially outperforming mainstream lightweight models such as YOLOv8n, YOLOv11n, MobileNetV3, and Tiny-DETR. In terms of small-object recognition capability, the model achieved an mAP-small of 0.536 and a recall-small of 0.589, markedly enhancing detection stability for micro pests such as whiteflies and thrips as well as early-stage disease lesions. In addition, real-time inference performance exceeding 20 FPS was achieved on edge platforms such as Jetson Nano, demonstrating favorable deployment adaptability. Full article
Show Figures

Figure 1

14 pages, 9038 KB  
Article
BSGNet: Vehicle Detection in UAV Imagery of Construction Scenes via Biomimetic Edge Awareness and Global Receptive Field Modeling
by Yongwei Wang, Yuan Chen, Yakun Xie, Jun Zhu, Chao Dang and Hao Zhu
Drones 2026, 10(1), 32; https://doi.org/10.3390/drones10010032 - 5 Jan 2026
Viewed by 86
Abstract
Detecting vehicles in remote sensing images of construction sites captured by Unmanned Aerial Vehicles (UAVs) faces severe challenges, including extremely small target scales, high inter-class visual similarity, cluttered backgrounds, and highly variable imaging conditions. To address these issues, we propose BSGNet (Biomimetic Sharpening [...] Read more.
Detecting vehicles in remote sensing images of construction sites captured by Unmanned Aerial Vehicles (UAVs) faces severe challenges, including extremely small target scales, high inter-class visual similarity, cluttered backgrounds, and highly variable imaging conditions. To address these issues, we propose BSGNet (Biomimetic Sharpening and Global Receptive Field Network)—a novel detection architecture that synergistically fuses biologically inspired visual mechanisms with global receptive field modeling. Inspired by the Sustained Contrast Detection (SCD) mechanism in frog retinal ganglion cells, we design a Perceptual Sharpening Module (PSM). This module combines dual-path contrast enhancement with spatial attention mechanisms to significantly improve sensitivity to the high-frequency edge structures of small targets while effectively suppressing interfering backgrounds. To overcome the inherent limitation of such biomimetic mechanisms—specifically their restricted local receptive fields—we further introduce a Global Heterogeneous Receptive Field Learning Module (GRM). This module employs parallel multi-branch dilated convolutions and local detail enhancement paths to achieve joint modeling of long-range semantic context and fine-grained local features. Extensive experiments on our newly constructed UAV Construction Vehicle (UCV) dataset demonstrate that BSGNet achieves state-of-the-art performance: obtaining 64.9% APs on small targets and 81.2% on the overall mAP@0.5 metric, with an inference latency of only 31.4 milliseconds, outperforming existing mainstream detection frameworks in multiple metrics. Furthermore, the model demonstrates robust generalization performance on public datasets. Full article
Show Figures

Figure 1

46 pages, 852 KB  
Systematic Review
The Intelligent Evolution of Radar Signal Deinterleaving: A Systematic Review from Foundational Algorithms to Cognitive AI Frontiers
by Zhijie Qu, Jinquan Zhang, Yuewei Zhou and Lina Ni
Sensors 2026, 26(1), 248; https://doi.org/10.3390/s26010248 - 31 Dec 2025
Viewed by 359
Abstract
The escalating complexity, density, and agility of the modern electromagnetic environment (CME) pose unprecedented challenges to radar signal deinterleaving, a cornerstone of electronic intelligence. While traditional methods face significant performance bottlenecks, the advent of artificial intelligence, particularly deep learning, has catalyzed a paradigm [...] Read more.
The escalating complexity, density, and agility of the modern electromagnetic environment (CME) pose unprecedented challenges to radar signal deinterleaving, a cornerstone of electronic intelligence. While traditional methods face significant performance bottlenecks, the advent of artificial intelligence, particularly deep learning, has catalyzed a paradigm shift. This review provides a systematic, comprehensive, and forward-looking analysis of the radar signal deinterleaving landscape, critically bridging foundational techniques with the cognitive frontiers. Previous reviews often focused on specific technical branches or predated the deep learning revolution. In contrast, our work offers a holistic synthesis. It explicitly links the evolution of algorithms to the persistent challenges of the CME. We first establish a unified mathematical framework and systematically evaluate classical approaches, such as PRI-based search and clustering algorithms, elucidating their contributions and inherent limitations. The core of our review then pivots to the deep learning-driven era, meticulously dissecting the application paradigms, innovations, and performance of mainstream architectures, including Recurrent Neural Networks (RNNs), Transformers, Convolutional Neural Networks (CNNs), and Graph Neural Networks (GNNs). Furthermore, we venture into emerging frontiers, exploring the transformative potential of self-supervised learning, meta-learning, multi-station fusion, and the integration of Large Language Models (LLMs) for enhanced semantic reasoning. A critical assessment of the current dataset landscape is also provided, highlighting the crucial need for standardized benchmarks. Finally, this paper culminates in a comprehensive comparative analysis, identifying key open challenges such as open-set recognition, model interpretability, and real-time deployment. We conclude by offering in-depth insights and a roadmap for future research, aimed at steering the field towards end-to-end intelligent and autonomous deinterleaving systems. This review is intended to serve as a definitive reference and insightful guide for researchers, catalyzing future innovation in intelligent radar signal processing. Full article
Show Figures

Figure 1

17 pages, 4039 KB  
Article
A Multi-Branch Training Strategy for Enhancing Neighborhood Signals in GNNs for Community Detection
by Yuning Guo, Qiang Wu and Linyuan Lü
Entropy 2026, 28(1), 46; https://doi.org/10.3390/e28010046 - 30 Dec 2025
Viewed by 183
Abstract
The tasks of community detection in complex networks have garnered increasing attention from researchers. Concurrently, with the emergence of graph neural networks (GNNs), these models have rapidly become the mainstream approach for solving this task. However, GNNs frequently encounter the Laplacian oversmoothing problem, [...] Read more.
The tasks of community detection in complex networks have garnered increasing attention from researchers. Concurrently, with the emergence of graph neural networks (GNNs), these models have rapidly become the mainstream approach for solving this task. However, GNNs frequently encounter the Laplacian oversmoothing problem, which dilutes the crucial neighborhood signals essential for community identification. These signals, particularly those from first-order neighbors, are the core source information defining community structure and identity. To address this contradiction, this paper proposes a novel training strategy focused on strengthening these key local signals. We design a multi-branch learning structure that injects a gradient into the GNN layer during backpropagation. This gradient is then modulated by the GNN’s native message-passing path, precisely supplementing the parameters of the initial layers with first-order topological information. Based on this, we construct the network structure-informed GNN (NIGNN). A large number of experiments show that the proposed method achieves a 0.6–3.6% improvement in multiple indicators compared with the basic model in the community detection task, and performs well in the t-test. The framework has good general applicability and can be effectively applied to GCN, GAT, and GraphSAGE architectures, and shows strong robustness in networks with incomplete information. This work offers a novel solution for effectively preserving core local information in deep GNNs. Full article
(This article belongs to the Special Issue Opportunities and Challenges of Network Science in the Age of AI)
Show Figures

Figure 1

22 pages, 3408 KB  
Article
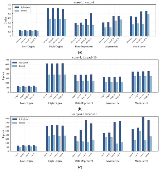
A High-Performance Branch Control Mechanism for GPGPU Based on RISC-V Architecture
by Yao Cheng, Yi Man and Xinbing Zhou
Electronics 2026, 15(1), 125; https://doi.org/10.3390/electronics15010125 - 26 Dec 2025
Viewed by 177
Abstract
General-Purpose Graphics Processing Units (GPGPUs) rely on warp scheduling and control flow management to organize parallel thread execution, making efficient control flow mechanisms essential for modern GPGPU design. Currently, the mainstream RISC-V GPGPU Vortex adopts the Single Instruction Multiple Threads (SIMT) stack control [...] Read more.
General-Purpose Graphics Processing Units (GPGPUs) rely on warp scheduling and control flow management to organize parallel thread execution, making efficient control flow mechanisms essential for modern GPGPU design. Currently, the mainstream RISC-V GPGPU Vortex adopts the Single Instruction Multiple Threads (SIMT) stack control mechanism. This approach introduces high complexity and performance overhead, becoming a major limitation for further improving control efficiency. To address this issue, this paper proposes a thread-mask-based branch control mechanism for the RISC-V architecture. The mechanism introduces explicit mask primitives at the Instruction Set Architecture (ISA) level and directly manages the active status of threads within a warp through logical operations, enabling branch execution without jumps and thus reducing the overhead of the original control flow mechanism. Unlike traditional thread mask mechanisms in GPUs, our design centers on RISC-V and realizes co-optimization at both the ISA and microarchitecture levels. The mechanism was modeled and validated on Vortex SimX. Experimental results show that, compared with the Vortex SIMT stack mechanism, the proposed approach maintains correct control semantics while reducing branch execution cycles by an average of 31% and up to 40%, providing a new approach for RISC-V GPGPU control flow optimization. Full article
Show Figures

Figure 1

20 pages, 7656 KB  
Article
Remote Sensing Extraction and Spatiotemporal Change Analysis of Time-Series Terraces in Complex Terrain on the Loess Plateau Based on a New Swin Transformer Dual-Branch Deformable Boundary Network (STDBNet)
by Guobin Kan, Jianhua Xiao, Benli Liu, Bao Wang, Chenchen He and Hong Yang
Remote Sens. 2026, 18(1), 85; https://doi.org/10.3390/rs18010085 - 26 Dec 2025
Viewed by 317
Abstract
Terrace construction is a critical engineering practice for soil and water conservation as well as sustainable agricultural development on the Loess Plateau (LP), China, where high-precision dynamic monitoring is essential for informed regional ecological governance. To address the challenges of inadequate extraction accuracy [...] Read more.
Terrace construction is a critical engineering practice for soil and water conservation as well as sustainable agricultural development on the Loess Plateau (LP), China, where high-precision dynamic monitoring is essential for informed regional ecological governance. To address the challenges of inadequate extraction accuracy and poor model generalization in time-series terrace mapping amid complex terrain and spectral confounding, this study proposes a novel Swin Transformer-based Terrace Dual-Branch Deformable Boundary Network (STDBNet) that seamlessly integrates multi-source remote sensing (RS) data with deep learning (DL). The STDBNet model integrates the Swin Transformer architecture with a dual-branch attention mechanism and introduces a boundary-assisted supervision strategy, thereby significantly enhancing terrace boundary recognition, multi-source feature fusion, and model generalization capability. Leveraging Sentinel-2 multi-temporal optical imagery and terrain-derived features, we constructed the first 10-m-resolution spatiotemporal dataset of terrace distribution across the LP, encompassing nine annual periods from 2017 to 2025. Performance evaluations demonstrate that STDBNet achieved an overall accuracy (OA) of 95.26% and a mean intersection over union (MIoU) of 86.84%, outperforming mainstream semantic segmentation models including U-Net and DeepLabV3+ by a significant margin. Further analysis reveals the spatiotemporal evolution dynamics of terraces over the nine-year period and their distribution patterns across gradients of key terrain factors. This study not only provides robust data support for research on terraced ecosystem processes and assessments of soil and water conservation efficacy on the LP but also lays a scientific foundation for informing the formulation of regional ecological restoration and land management policies. Full article
(This article belongs to the Special Issue Temporal and Spatial Analysis of Multi-Source Remote Sensing Images)
Show Figures

Figure 1

21 pages, 3646 KB  
Article
Short-Term Load Forecasting in Price-Volatile Markets: A Pattern-Clustering and Adaptive Modeling Approach
by Xiangluan Dong, Yan Yu, Hongyang Jin, Zhanshuo Hu and Jieqiu Bao
Processes 2026, 14(1), 5; https://doi.org/10.3390/pr14010005 - 19 Dec 2025
Viewed by 253
Abstract
Under the ongoing electricity market reforms, short-term load forecasting (STLF) is increasingly challenged by pronounced non-stationarity driven by price fluctuations. This study proposes an adaptive STLF framework tailored to price-induced non-stationarity. Firstly, a market state identification method based on load–price joint clustering is [...] Read more.
Under the ongoing electricity market reforms, short-term load forecasting (STLF) is increasingly challenged by pronounced non-stationarity driven by price fluctuations. This study proposes an adaptive STLF framework tailored to price-induced non-stationarity. Firstly, a market state identification method based on load–price joint clustering is developed to structurally model the temporal interactions between price and load. It allows the automatic extraction of typical market patterns and helps uncover how price fluctuations drive load variations. Secondly, a gated mixture forecasting network is proposed to dynamically adapt to the inertia of historical price fluctuations. By integrating parallel branches with an adaptive weighting mechanism, the model dynamically captures historical price features and achieves both rapid response and steady correction under market volatility. Finally, a Transformer-based expert model with multi-scale dependency learning is introduced to capture sequential dependencies and state transitions across different load regimes through self-attention, thereby enhancing model generalization and stability. Case studies using real market data confirm that the proposed approach delivers substantial performance improvements, offering reliable support for system dispatch and market operations. Relative to mainstream baseline models, it reduces MAPE by 1.08–2.62 percentage points. Full article
Show Figures

Figure 1

20 pages, 3287 KB  
Article
Dual-Branch Superpixel and Class-Center Attention Network for Efficient Semantic Segmentation
by Yunting Zhang, Hongbin Yu, Haonan Wang, Mengru Zhou, Tao Zhang and Yeh-Cheng Chen
Sensors 2025, 25(24), 7637; https://doi.org/10.3390/s25247637 - 16 Dec 2025
Viewed by 339
Abstract
With the advancement of deep learning, image semantic segmentation has achieved remarkable progress. However, the complexity and real-time requirements of practical applications pose greater challenges for segmentation algorithms. To address these, we propose a dual-branch network guided by attention mechanisms that tackles common [...] Read more.
With the advancement of deep learning, image semantic segmentation has achieved remarkable progress. However, the complexity and real-time requirements of practical applications pose greater challenges for segmentation algorithms. To address these, we propose a dual-branch network guided by attention mechanisms that tackles common limitations in existing methods, such as coarse edge segmentation, insufficient contextual understanding, and high computational overhead. Specifically, we introduce a superpixel sampling weighting module that models pixel dependencies based on different regional affiliations, thereby enhancing the network’s sensitivity to object boundaries while preserving local features. Furthermore, a class-center attention module is designed to extract class-centered features and facilitate category-aware modeling. This module reduces the computational overhead and redundancy of traditional self-attention mechanisms, thereby improving the network’s global feature representation. Additionally, learnable parameters are employed to adaptively fuse features from both branches, enabling the network to better focus on critical information. We validate our method on three benchmark datasets (PASCAL VOC 2012, Cityscapes, and ADE20K) by comparing it with mainstream models including FCN, DeepLabV3+, and DANet, with evaluation metrics of mIoU and PA. Our method delivers superior segmentation performance in these experiments. These results underscore the effectiveness of the proposed algorithm in balancing segmentation accuracy and model efficiency. Full article
(This article belongs to the Section Sensing and Imaging)
Show Figures

Figure 1

21 pages, 920 KB  
Article
Audio Deepfake Detection via a Fuzzy Dual-Path Time-Frequency Attention Network
by Jinzi Li, Hexu Wang, Fei Xie, Xiaozhou Feng, Jiayao Chen, Jindong Liu and Juan Wang
Sensors 2025, 25(24), 7608; https://doi.org/10.3390/s25247608 - 15 Dec 2025
Viewed by 545
Abstract
With the rapid advancement of speech synthesis and voice conversion technologies, audio deepfake techniques have posed serious threats to information security. Existing detection methods often lack robustness when confronted with environmental noise, signal compression, and ambiguous fake features, making it difficult to effectively [...] Read more.
With the rapid advancement of speech synthesis and voice conversion technologies, audio deepfake techniques have posed serious threats to information security. Existing detection methods often lack robustness when confronted with environmental noise, signal compression, and ambiguous fake features, making it difficult to effectively identify highly concealed fake audio. To address this issue, this paper proposes a Dual-Path Time-Frequency Attention Network (DPTFAN) based on Pythagorean Hesitant Fuzzy Sets (PHFS), which dynamically characterizes the reliability and ambiguity of fake features through uncertainty modeling. It introduces a dual-path attention mechanism in both time and frequency domains to enhance feature representation and discriminative capability. Additionally, a Lightweight Fuzzy Branch Network (LFBN) is designed to achieve explicit enhancement of ambiguous features, improving performance while maintaining computational efficiency. On the ASVspoof 2019 LA dataset, the proposed method achieves an accuracy of 98.94%, and on the FoR (Fake or Real) dataset, it reaches an accuracy of 99.40%, significantly outperforming existing mainstream methods and demonstrating excellent detection performance and robustness. Full article
(This article belongs to the Section Sensor Networks)
Show Figures

Figure 1

16 pages, 4888 KB  
Article
PGSUNet: A Phenology-Guided Deep Network for Tea Plantation Extraction from High-Resolution Remote Sensing Imagery
by Xiaoyong Zhang, Bochen Jiang and Hongrui Sun
Appl. Sci. 2025, 15(24), 13062; https://doi.org/10.3390/app152413062 - 11 Dec 2025
Viewed by 313
Abstract
Tea, recognized as one of the world’s three principal beverages, plays a significant role both economically and culturally. The accurate, large-scale mapping of tea plantations is crucial for quality control, industry regulation, and ecological assessments. Challenges arise in high-resolution imagery due to the [...] Read more.
Tea, recognized as one of the world’s three principal beverages, plays a significant role both economically and culturally. The accurate, large-scale mapping of tea plantations is crucial for quality control, industry regulation, and ecological assessments. Challenges arise in high-resolution imagery due to the spectral similarities with other land covers and the intricate nature of their boundaries. We introduce a Phenology-Guided SwinUnet (PGSUNet), a semantic segmentation network that amalgamates Swin Transformer encoding with a parallel phenology context branch. An intelligent fusion module within this network generates spatial attention informed by phenological priors, while a dual-head decoder enhances the precision through explicit edge supervision. Using Hangzhou City as the case study, PGSUNet was compared with seven mainstream models, including DeepLabV3+ and SegFormer. It achieved an F1-score of 0.84, outperforming the second-best model by 0.03, and obtained an mIoU of 84.53%, about 2% higher than the next-best result. This study demonstrates that the integration of phenological priors with edge supervision significantly improves the fine-scale extraction of agricultural land covers from complex remote sensing imagery. Full article
(This article belongs to the Section Agricultural Science and Technology)
Show Figures

Figure 1

22 pages, 33603 KB  
Article
YOLO-AMAS: Maturity Detection of ‘Jiang’ Pomegranate in Complex Orchard Environments
by Chunxu Hao, Wenhui Dong, Huiqin Li, Jiangchen Zan and Xiaoying Zhang
Agriculture 2025, 15(23), 2514; https://doi.org/10.3390/agriculture15232514 - 3 Dec 2025
Viewed by 403
Abstract
In the era of smart agriculture, intelligent fruit maturity detection has become a critical task. However, in complex orchard environments, factors such as occlusion by branches and leaves and interference from bagging materials pose significant challenges to detection accuracy. To address this issue, [...] Read more.
In the era of smart agriculture, intelligent fruit maturity detection has become a critical task. However, in complex orchard environments, factors such as occlusion by branches and leaves and interference from bagging materials pose significant challenges to detection accuracy. To address this issue, this study focuses on maturity detection of ‘Jiang’ pomegranates and proposes an improved YOLO-AMAS algorithm. The method integrates an Adaptive Feature Enhancement (AFE) module, a Multi-Scale Convolutional Attention Module (MSCAM), and an Adaptive Spatial Feature Fusion (ASFF) module. The AFE module effectively suppresses complex backgrounds through dual-channel spatial attention mechanisms; the MSCAM enhances multi-scale feature extraction capability using a pyramidal spatial convolution structure; and the ASFF optimizes the representation of both shallow details and deep semantic information via adaptive weighted fusion. A SlideLoss function based on Intersection over Union is introduced to alleviate class imbalance. Experimental validation conducted on a dataset comprising 6564 images from multiple scenarios demonstrates that the YOLO-AMAS model achieves a precision of 90.9%, recall of 86.0%, mAP@50 of 94.1% and mAP@50:95 of 67.6%. The model significantly outperforms mainstream detection models including RT-DETR-1, YOLOv3 to v6, v8, and 11 under multi-object, single-object, and occluded scenarios, with a mAP50 of 96.4% for bagged mature fruits. Through five-fold cross-validation, the model’s strong generalization capability and stability were demonstrated. Compared to YOLOv8, YOLO-AMAS reduces the false detection rate by 30.3%. This study provides a reliable and efficient solution for intelligent maturity detection of ‘Jiang’ pomegranates in complex orchard environments. Full article
(This article belongs to the Section Artificial Intelligence and Digital Agriculture)
Show Figures

Figure 1

26 pages, 5797 KB  
Article
ASGT-Net: A Multi-Modal Semantic Segmentation Network with Symmetric Feature Fusion and Adaptive Sparse Gating
by Wendie Yue, Kai Chang, Xinyu Liu, Kaijun Tan and Wenqian Chen
Symmetry 2025, 17(12), 2070; https://doi.org/10.3390/sym17122070 - 3 Dec 2025
Viewed by 428
Abstract
In the field of remote sensing, accurate semantic segmentation is crucial for applications such as environmental monitoring and urban planning. Effective fusion of multi-modal data is a key factor in improving land cover classification accuracy. To address the limitations of existing methods, such [...] Read more.
In the field of remote sensing, accurate semantic segmentation is crucial for applications such as environmental monitoring and urban planning. Effective fusion of multi-modal data is a key factor in improving land cover classification accuracy. To address the limitations of existing methods, such as inadequate feature fusion, noise interference, and insufficient modeling of long-range dependencies, this paper proposes ASGT-Net, an enhanced multi-modal fusion network. The network adopts an encoder-decoder architecture, with the encoder featuring a symmetric dual-branch structure based on a ResNet50 backbone and a hierarchical feature extraction framework. At each layer, Adaptive Weighted Fusion (AWF) modules are introduced to dynamically adjust the feature contributions from different modalities. Additionally, this paper innovatively introduces an alternating mechanism of Learnable Sparse Attention (LSA) and Adaptive Gating Fusion (AGF): LSA selectively activates salient features to capture critical spatial contextual information, while AGF adaptively gates multi-modal data flows to suppress common conflicting noise. These mechanisms work synergistically to significantly enhance feature integration, improve multi-scale representation, and reduce computational redundancy. Experiments on the ISPRS benchmark datasets (Vaihingen and Potsdam) demonstrate that ASGT-Net outperforms current mainstream multi-modal fusion techniques in both accuracy and efficiency. Full article
(This article belongs to the Section Computer)
Show Figures

Figure 1

23 pages, 2403 KB  
Article
LI-AGCN: A Lightweight Initialization-Enhanced Adaptive Graph Convolutional Network for Effective Skeleton-Based Action Recognition
by Qingsheng Xie and Hongmin Deng
Sensors 2025, 25(23), 7282; https://doi.org/10.3390/s25237282 - 29 Nov 2025
Viewed by 566
Abstract
The graph convolutional network (GCN) has become a mainstream technology in skeleton-based action recognition since it was first applied to this field. However, previous studies often overlooked the pivotal role of heuristic model initialization in the extraction of spatial features, impeding the model [...] Read more.
The graph convolutional network (GCN) has become a mainstream technology in skeleton-based action recognition since it was first applied to this field. However, previous studies often overlooked the pivotal role of heuristic model initialization in the extraction of spatial features, impeding the model from achieving its optimal performance. To address this issue, a lightweight initialization-enhanced adaptive graph convolutional network (LI-AGCN) is proposed, which effectively captures spatiotemporal features while maintaining low computational complexity. LI-AGCN employs three coordinate-based input branches (CIB) to dynamically adjust graph structures, which facilitates the extraction of informative spatial features. In addition, the model incorporates a lightweight and multi-scale temporal module to extract temporal feature, and employs an attention module that considers the temporal, spatial, and channel dimensions simultaneously to enhance key features. Finally, the performance of our proposed model is evaluated on three large-scale public datasets: NTU RGB+D, NTU RGB+D 120, and UAV-Human. The experimental results demonstrate that the LI-AGCN achieves excellent comprehensive performances on these datasets, especially obtaining 90.03% accuracy on the cross-subject benchmark of the NTU RGB+D dataset with only 0.18 million parameters, showcasing the effectiveness of the model. Full article
(This article belongs to the Special Issue Computer Vision Sensing and Pattern Recognition)
Show Figures

Figure 1

21 pages, 2683 KB  
Article
HSFAN: A Dual-Branch Hybrid-Scale Feature Aggregation Network for Remote Sensing Image Super-Resolution
by Jiawei Yang, Hongliang Ren, Mengjie Zeng and Zhichao He
Entropy 2025, 27(12), 1189; https://doi.org/10.3390/e27121189 - 24 Nov 2025
Viewed by 402
Abstract
To address the issues of insufficient feature utilization in high-entropy regions (such as complex textures and edges), difficulty in detail recovery, and excessive model parameters with high computational complexity in existing remote sensing image super-resolution networks, a novel dual-branch hybrid-scale feature aggregation network [...] Read more.
To address the issues of insufficient feature utilization in high-entropy regions (such as complex textures and edges), difficulty in detail recovery, and excessive model parameters with high computational complexity in existing remote sensing image super-resolution networks, a novel dual-branch hybrid-scale feature aggregation network (HSFAN) is proposed. The design of this network aims to achieve an optimal balance between model complexity and reconstruction quality. The main branch of the HSFAN effectively expands the receptive field through a multi-scale parallel large convolution kernel (MSPLCK) module, enhancing the ability to model global structures that contain rich information, while maintaining consistency constraints in the feature space. Meanwhile, an enhanced parallel attention (EPA) module is incorporated, optimizing feature allocation by prioritizing high-entropy feature channels and spatial locations, thereby improving the expression of key details. The auxiliary branch is designed with a multi-scale large-kernel attention (MSLA) module, employing depthwise separable convolutions to significantly reduce the computational overhead in the feature processing path, while adaptive attention weighting strengthens the capture and reconstruction of local high-frequency information. Experimental results show that, for the ×4 super-resolution task on the UC Merced dataset, the proposed algorithm achieves a PSNR of 27.91 dB and an SSIM of 0.7616, outperforming most current mainstream super-resolution algorithms, while maintaining a low computational cost and model parameter count. This provides a new research approach and technical route for remote sensing image super-resolution reconstruction. Full article
(This article belongs to the Section Multidisciplinary Applications)
Show Figures

Figure 1

28 pages, 5125 KB  
Article
Dual-Branch Hyperspectral Open-Set Classification with Reconstruction–Prototype Fusion for Satellite IoT Perception
by Jialing Tang, Shengwei Lei, Jingqi Liu, Ning Lv and Haibin Qi
Remote Sens. 2025, 17(22), 3722; https://doi.org/10.3390/rs17223722 - 14 Nov 2025
Viewed by 701
Abstract
The satellite Internet of Things (SatIoT) enables real-time acquisition and large-scale coverage of hyperspectral imagery, providing essential data support for decision-making in domains such as geological exploration, environmental monitoring, and urban management. Hyperspectral remote sensing classification constitutes a critical component of intelligent applications [...] Read more.
The satellite Internet of Things (SatIoT) enables real-time acquisition and large-scale coverage of hyperspectral imagery, providing essential data support for decision-making in domains such as geological exploration, environmental monitoring, and urban management. Hyperspectral remote sensing classification constitutes a critical component of intelligent applications driven by the SatIoT, yet it faces two major challenges: the massive data volume imposes heavy storage and processing burdens on conventional satellite systems, while dimensionality reduction often compromises classification accuracy; furthermore, mainstream neural network models are constrained by insufficient labeled data and spectral shifts, frequently leading to misclassification of unknown categories and degradation of cross-regional performance. To address these issues, this study proposes an open-set hyperspectral classification method with dual branches of reconstruction and prototype-based classification. Specifically, we build upon an autoencoder. We design a spectral–spatial attention module and an information residual connection module. These modules accurately capture spectral–spatial features. This improves the reconstruction accuracy of known classes. It also adapts to the high-dimensional characteristics of satellite data. Prototype representations of unknown classes are constructed by incorporating classification confidence, enabling effective separation in the feature space and targeted recognition of unknown categories in complex scenarios. By jointly leveraging prototype distance and reconstruction error, the proposed method achieves synergistic improvement in both accurate classification of known classes and reliable detection of unknown ones. Comparative experiments and visualization analyses on three publicly available datasets: Salinas-A, PaviaU, and Dioni-demonstrate that the proposed approach significantly outperforms baseline methods such as MDL4OW and IADMRN in terms of unknown detection rate (UDR), open-set overall accuracy (OpenOA), and open-set F1 score, while on the Salinas-A dataset, the performance gap between closed-set and open-set classification is as small as 1.82%, highlighting superior robustness. Full article
Show Figures

Figure 1

Back to TopTop