Sign in to use this feature.

Years

Between: -

Subjects

remove_circle_outline
remove_circle_outline
remove_circle_outline
remove_circle_outline
remove_circle_outline

Journals

Article Types

Countries / Regions

Search Results (18)

Search Parameters:
Keywords = magneto-optical ceramic

Order results
Result details
Results per page
Select all
Export citation of selected articles as:
13 pages, 3650 KB  
Article
Electrophoretic Deposition of One- and Two-Layer Compacts of Holmium and Yttrium Oxide Nanopowders for Magneto-Optical Ceramics Fabrication
by Elena G. Kalinina, Nataliya D. Kundikova, Dmitrii K. Kuznetsov and Maxim G. Ivanov
Magnetochemistry 2023, 9(11), 227; https://doi.org/10.3390/magnetochemistry9110227 - 15 Nov 2023
Cited by 1 | Viewed by 2082
Abstract
In this work, the possibility of fabricating composite magneto-optical ceramics by electrophoretic deposition (EPD) of nanopowders and high-temperature vacuum sintering of the compacts was investigated. Holmium oxide was chosen as a magneto-optical material for the study because of its transparency in the mid-IR [...] Read more.
In this work, the possibility of fabricating composite magneto-optical ceramics by electrophoretic deposition (EPD) of nanopowders and high-temperature vacuum sintering of the compacts was investigated. Holmium oxide was chosen as a magneto-optical material for the study because of its transparency in the mid-IR range. Nanopowders of magneto-optical (Ho0.95La0.05)2O3 (HoLa) material were made by self-propagating high-temperature synthesis. Nanopowders of (Y0.9La0.1)2O3 (YLa) were made by laser synthesis for an inactive matrix. The process of formation of one- and two-layer compacts by EPD of the nanopowders from alcohol suspensions was studied in detail. Acetylacetone was shown to be a good dispersant to obtain alcohol suspensions of the nanopowders, characterized by high zeta potential values (+29–+80 mV), and to carry out a stable EPD process. One-layer compacts were made from the HoLa and YLa nanopowders with a density of 30–43%. It was found out that the introduction of polyvinyl butyral (PVB) into the suspension leads to a decrease in the mass and thickness of the green bodies deposited, but does not significantly affect their density. The possibility of making two-layer (YLa/HoLa) compacts with a thickness of up to 2.6 mm and a density of up to 46% was demonstrated. Sintering such compacts in a vacuum at a temperature of 1750 °C for 10 h leads to the formation of ceramics with a homogeneous boundary between the YLa/HoLa layers and a thickness of the interdiffused ion layer of about 30 μm. Full article
(This article belongs to the Special Issue New Trends in Magneto-Optical Ceramics)
Show Figures

Graphical abstract

7 pages, 1302 KB  
Communication
A Terahertz Circulator Based on Magneto Photonic Crystal Slab
by Biaogang Xu, Dengguo Zhang, Yong Wang, Binbin Hong, Guoxiang Shu and Wenlong He
Photonics 2023, 10(4), 360; https://doi.org/10.3390/photonics10040360 - 23 Mar 2023
Cited by 10 | Viewed by 2270
Abstract
In this paper, a terahertz circulator based on a magneto photonic crystal slab is envisaged. The triangular lattice photonic crystals with a line defect waveguide were constructed on an Al2O3 ceramic slab. Two cylindrical ferrites and two copper-clad plates in [...] Read more.
In this paper, a terahertz circulator based on a magneto photonic crystal slab is envisaged. The triangular lattice photonic crystals with a line defect waveguide were constructed on an Al2O3 ceramic slab. Two cylindrical ferrites and two copper-clad plates in the junction of the Y-shaped wave-guide worked as a magneto-optical cavity resonator to approve the nonreciprocal function. In the working frequency range, 0.212–0.238 THz, the isolation of the circulator was better than 20 dB, and the insertion loss was better than 1 dB. The designed circulator based on the magneto photonic crystal slab experienced low loss and a wide bandwidth that satisfied its use in the THz application. Full article
(This article belongs to the Special Issue Recent Advances in THz and Microwave Photonics)
Show Figures

Figure 1

13 pages, 6238 KB  
Article
Fine-Grained Tb3Al5O12 Transparent Ceramics Prepared by Co-Precipitation Synthesis and Two-Step Sintering
by Lixuan Zhang, Xiaoying Li, Dianjun Hu, Mariya Dobrotvorska, Roman Yavetskiy, Zhengfa Dai, Tengfei Xie, Qiang Yuan, Haohong Chen, Qiang Liu and Jiang Li
Magnetochemistry 2023, 9(2), 47; https://doi.org/10.3390/magnetochemistry9020047 - 1 Feb 2023
Cited by 8 | Viewed by 3163
Abstract
In recent years, transparent terbium aluminum garnet (TAG) ceramics have attracted much attention for use in high-power Faraday isolators. Fine-grained ceramics usually possess better mechanical properties and accordingly better service performance. In this work, transparent TAG ceramics with fine grains were prepared using [...] Read more.
In recent years, transparent terbium aluminum garnet (TAG) ceramics have attracted much attention for use in high-power Faraday isolators. Fine-grained ceramics usually possess better mechanical properties and accordingly better service performance. In this work, transparent TAG ceramics with fine grains were prepared using a two-step sintering procedure based on the low-temperature sintering process to suppress grain growth. The composition of TAG precursor and powders calcined at different temperatures was studied in detail. The microstructure and relative density of air pre-sintered TAG ceramics were studied to meet the requirements of hot isostatic pressing (HIP) post-treatment. Driven by the low pre-sintering temperature in air, the average grain sizes of the obtained TAG ceramics after HIP treatment are about 2.9–5.3 μm. The TAG ceramics (1.2 mm thick) pre-sintered at 1450 °C with HIP post-treatment at 1550 °C for 3 h under a 176 MPa Ar atmosphere possess the highest in-line transmittance of 80.3% at 1064 nm. The Verdet constant of the TAG ceramics at 632.8 nm is −180.5 rad·T−1·m−1 at room temperature, which is about 1.3 times larger than that of the commercial Tb3Ga5O12 single crystals. Full article
(This article belongs to the Special Issue New Trends in Magneto-Optical Ceramics)
Show Figures

Figure 1

36 pages, 3008 KB  
Review
Recent Advances in Yttrium Iron Garnet Films: Methodologies, Characterization, Properties, Applications, and Bibliometric Analysis for Future Research Directions
by Akmal Z. Arsad, Ahmad Wafi Mahmood Zuhdi, Noor Baa’yah Ibrahim and Mahammad A. Hannan
Appl. Sci. 2023, 13(2), 1218; https://doi.org/10.3390/app13021218 - 16 Jan 2023
Cited by 38 | Viewed by 10772
Abstract
Due to recent advances in communication systems, dielectric and magnetic ceramics (ferrites) are attractive for use in devices. Spinel-type ferrites were the first material utilized in microwave devices; however, yttrium iron garnet (YIG) has low dielectric losses and is exploited in many applications. [...] Read more.
Due to recent advances in communication systems, dielectric and magnetic ceramics (ferrites) are attractive for use in devices. Spinel-type ferrites were the first material utilized in microwave devices; however, yttrium iron garnet (YIG) has low dielectric losses and is exploited in many applications. Owing to its high Faraday rotation, YIG films are utilized in magneto-optical applications. This study intends to examine the research trends and scientific research progress on highly cited papers discussing YIG films published between 2012 and 2022 using a bibliometric method. A comprehensive review of 100 scientific papers about YIG was performed from the Scopus database. The assessment of these highly cited papers was highlighted based on the following factors: publication trends and performance, limitations/research gaps, keywords, sub-fields, methodology journal evaluations, document type evaluation, issues, difficulties, solutions, and applications as well as guiding future YIG research. The majority of publications (99%) comprise experimental analysis, whereas 1% provide a based state-of-the-art overview. Ninety-one percent of articles focused on magnetization characterization. This bibliometric survey indicates that YIG film research is an expanding and developing field. The results of the data analysis can be utilized to improve the researchers’ understanding of YIG research and to encourage additional study in this area. Full article
Show Figures

Figure 1

16 pages, 4520 KB  
Article
Preparation, Characterization and Magneto-Optical Properties of Sm-Doped Y2O3 Polycrystalline Material
by Andrzej Kruk and Krzysztof Ziewiec
Micromachines 2022, 13(12), 2254; https://doi.org/10.3390/mi13122254 - 18 Dec 2022
Cited by 7 | Viewed by 2819
Abstract
In this paper, physicochemical properties of pure Y2O3 and samarium (Sm)-doped Y2O3 transparent ceramics obtained via arc plasma melting are presented. Yttria powder with a selected molar fraction of Sm was first synthesized by a solid-state reaction [...] Read more.
In this paper, physicochemical properties of pure Y2O3 and samarium (Sm)-doped Y2O3 transparent ceramics obtained via arc plasma melting are presented. Yttria powder with a selected molar fraction of Sm was first synthesized by a solid-state reaction method. High transparent yttria ceramics were obtained by arc plasma melting from both the pure and Sm oxide-doped powders. The morphological, chemical and physical properties were investigated by X-ray diffraction and scanning electron microscopy. The optical band gap was calculated from the absorption spectra so as to understand the electronic band structure of the studied materials. Samples indicate a series of luminescence bands in the visible region after excitation by laser light in the range from 210 to 250 nm. Magneto-optical measurements were carried out in the 300–800 nm range at room temperature. It can be seen that a maximum Verdet constant ca. 24.81 deg/T cm was observed for 405 nm and this value decreases with increasing wavelength. The potential usefulness of the polycrystalline material dedicated to optics devices is presented. Full article
Show Figures

Figure 1

9 pages, 6488 KB  
Article
Effect of ZrO2 Content on Microstructure Evolution and Sintering Properties of (Tb0.7Lu0.3)2O3 Magneto-Optic Transparent Ceramics
by Yu Xin, Tao Xu, Yaozhi Wang, Peng Luo, Weiwei Li, Bin Kang, Bingchu Mei and Wei Jing
Magnetochemistry 2022, 8(12), 175; https://doi.org/10.3390/magnetochemistry8120175 - 1 Dec 2022
Cited by 9 | Viewed by 2532
Abstract
In this paper, (Tb0.7Lu0.3)2O3 magneto-optical transparent ceramics with different ZrO2 doping levels (0~5 at%) were prepared by hydrogen sintering and sequential HIP technique using ZrO2 as a sintering aid. The effect of ZrO2 [...] Read more.
In this paper, (Tb0.7Lu0.3)2O3 magneto-optical transparent ceramics with different ZrO2 doping levels (0~5 at%) were prepared by hydrogen sintering and sequential HIP technique using ZrO2 as a sintering aid. The effect of ZrO2 doping content on the microstructure and optical properties of (Tb0.7Lu0.3)2O3 ceramics was analyzed. We found that the optimal doping content of ZrO2 was 3 at%. The transmittance of 3 at% ZrO2-doped (Tb0.7Lu0.3)2O3 ceramics at the wavelength of 1064 nm was 74.84 %, and the Verdet constant was approximately 275.28 rad·T−1·m−1 at the wavelength of 650 nm. Full article
(This article belongs to the Special Issue New Trends in Magneto-Optical Ceramics)
Show Figures

Figure 1

14 pages, 1067 KB  
Review
Selection of Magneto-Optical Material for a Faraday Isolator Operating in High-Power Laser Radiation
by Ilya Snetkov and Jiang Li
Magnetochemistry 2022, 8(12), 168; https://doi.org/10.3390/magnetochemistry8120168 - 24 Nov 2022
Cited by 19 | Viewed by 4033
Abstract
Faraday isolators are the inherent components of complex laser systems. The isolation degree is essentially determined by the effects that occur in its magneto-optical element, so the choice of material from which it is made is very important. The principal approaches to choosing [...] Read more.
Faraday isolators are the inherent components of complex laser systems. The isolation degree is essentially determined by the effects that occur in its magneto-optical element, so the choice of material from which it is made is very important. The principal approaches to choosing a magneto-optical material for Faraday isolators are addressed. Characteristic features of materials for Faraday devices operating in laser radiation with high average and high peak power are considered. Some trends in magneto-optical ceramics and the advantages and shortcomings of a number of ceramic samples are analyzed. Using the proposed approaches and recommendations will allow to create devices with unique characteristics for any wavelength range for different practical applications. Full article
(This article belongs to the Special Issue New Trends in Magneto-Optical Ceramics)
Show Figures

Figure 1

13 pages, 5792 KB  
Article
Laser Ablation Synthesis and Characterization of Tb2O3 Nanoparticles for Magneto-Optical Ceramics
by Roman N. Maksimov, Vladimir V. Osipov, Garegin R. Karagedov, Vyacheslav V. Platonov, Artem S. Yurovskikh, Albert N. Orlov, Alfiya V. Spirina and Vladislav A. Shitov
Inorganics 2022, 10(10), 173; https://doi.org/10.3390/inorganics10100173 - 18 Oct 2022
Cited by 4 | Viewed by 2672
Abstract
In this study, nano-sized individual Tb2O3 particles synthesized by the laser ablation method were extensively characterized and assessed as suitable precursors for the fabrication of transparent magneto-optical ceramics without requiring the introduction of grain growth inhibitors and stabilizing additives. The [...] Read more.
In this study, nano-sized individual Tb2O3 particles synthesized by the laser ablation method were extensively characterized and assessed as suitable precursors for the fabrication of transparent magneto-optical ceramics without requiring the introduction of grain growth inhibitors and stabilizing additives. The as-produced powder comprised 13 nm particles with a spherical shape and monoclinic crystal structure, whose full transformation into cubic phase was achieved after heating at 950 °C and 700 °C under vacuum and Ar gas, respectively. After subjecting the nanopowder compact to pre-sintering at 1350 °C, the microstructural features were investigated along with their correlation to the optical transmittance of Tb2O3 ceramic hot isostatically pressed (HIPed) for 2 h at 1450 °C under 200 MPa. The as-HIPed sample had a brownish color, with an optical transmittance of 65.3% at a wavelength of 1060 nm and an average grain size of 14 μm. The Verdet constant measured at wavelengths of 633 nm and 1060 nm was 471 rad T−1 m−1 and 142 rad T−1 m−1 to confirm a very high content of magneto-active Tb3+ ions. The obtained results indicate that laser ablation synthesis of nanoparticles followed by pre-sintering and HIP is a promising approach for the manufacture of magneto-optical Tb2O3 ceramics without specific sintering aids. Full article
Show Figures

Graphical abstract

13 pages, 3909 KB  
Article
Terbium (III) Oxide (Tb2O3) Transparent Ceramics by Two-Step Sintering from Precipitated Powder
by Dianjun Hu, Xiaoying Li, Lixuan Zhang, Ilya Snetkov, Penghui Chen, Zhengfa Dai, Stanislav Balabanov, Oleg Palashov and Jiang Li
Magnetochemistry 2022, 8(7), 73; https://doi.org/10.3390/magnetochemistry8070073 - 12 Jul 2022
Cited by 15 | Viewed by 4538
Abstract
As a result of preliminary air calcination and subsequent reduction in a flowing NH3 atmosphere of the precursor from the liquid precipitation method for the first time, pure-phase Tb2O3 powder with an average particle size of 135 nm was [...] Read more.
As a result of preliminary air calcination and subsequent reduction in a flowing NH3 atmosphere of the precursor from the liquid precipitation method for the first time, pure-phase Tb2O3 powder with an average particle size of 135 nm was prepared. The Tb2O3 magneto-optical transparent ceramics with the average grain size of 1.3 μm were successfully fabricated by vacuum pre-sintering and hot isostatic pressing post-treatment from the as-synthesized Tb2O3 powder. In-line transmittance values of Tb2O3 ceramics reach 70.3% at 633 nm, 78.1% at 1064 nm, and 79.4% at 1400 nm, respectively. Thanks to the high intrinsic concentration of Tb3+, Tb2O3 ceramics present high Verdet constants of −427.3 and −123.7 rad·T−1·m−1 at 633 and 1064 nm, which are about 3.1 and 3.4 times higher than those of commercial Tb3Ga5O12 crystals, respectively. Due to the excellent magneto-optical properties, Tb2O3 ceramics are promising candidates for the development of Faraday isolator toward compaction used in visible and near-infrared bands. Full article
(This article belongs to the Special Issue New Trends in Magneto-Optical Ceramics)
Show Figures

Figure 1

39 pages, 10849 KB  
Review
Progress in Transparent Nano-Ceramics and Their Potential Applications
by Wuyi Ming, Zhiwen Jiang, Guofu Luo, Yingjie Xu, Wenbin He, Zhuobin Xie, Dili Shen and Liwei Li
Nanomaterials 2022, 12(9), 1491; https://doi.org/10.3390/nano12091491 - 27 Apr 2022
Cited by 38 | Viewed by 8594
Abstract
Transparent nano-ceramics have an important high-transmittance, material-integrating structure and function and a variety of potential applications, such as use in infrared windows, optical isolators, composite armors, intelligent terminal screens, and key materials of solid-state lasers. Transparent ceramics were originally developed to replace single [...] Read more.
Transparent nano-ceramics have an important high-transmittance, material-integrating structure and function and a variety of potential applications, such as use in infrared windows, optical isolators, composite armors, intelligent terminal screens, and key materials of solid-state lasers. Transparent ceramics were originally developed to replace single crystals because of their low fabricating cost, controllable shape, and variable composition. Therefore, this study reviews and summarizes the development trends in transparent nano-ceramics and their potential applications. First, we review the research progress and application of laser nano-ceramic materials, focusing on the influence of controllable doping of rare earth ions on thermal conductivity and the realization of large-scale fabrication technology. Second, the latest research progress on magneto-optical transparent nano-ceramics, mainly including terbium gallium garnet (Tb3Ga5O12, TGG) ceramics and terbium aluminum garnet (Tb3Al5O12, TAG) ceramics, are summarized, and their performance is compared. Third, the research progress of transparent armor nano-ceramic materials, represented by MgAl2O3 and Aluminum oxynitride (AlON), are reviewed. Lastly, the progress in electro-optical transparent nano-ceramics and scintillation transparent nano-ceramics is reported, and the influence of the material-fabrication process on electro-optic effect or luminous intensity is compared. Moreover, the effect of particle diameter on fabrication, the relationship between nano powder and performance, and different sintering methods are discussed. In summary, this study provides a meaningful reference for low-cost and sustainable production in the future. Full article
(This article belongs to the Topic Optoelectronic Materials)
Show Figures

Figure 1

28 pages, 4284 KB  
Review
Thermo-Optical Studies of Laser Ceramics
by Oleg V. Palashov, Aleksey V. Starobor, Evgeniy A. Perevezentsev, Ilya L. Snetkov, Evgeniy A. Mironov, Alexey I. Yakovlev, Stanislav S. Balabanov, Dmitry A. Permin and Alexander V. Belyaev
Materials 2021, 14(14), 3944; https://doi.org/10.3390/ma14143944 - 14 Jul 2021
Cited by 21 | Viewed by 3652
Abstract
A cycle of works on manufacturing and studying laser and magnetooptical ceramics with a focus on their thermo-optical characteristics performed by the research team is analyzed. Original results that have not been published before such as measurements of the Verdet constant in the [...] Read more.
A cycle of works on manufacturing and studying laser and magnetooptical ceramics with a focus on their thermo-optical characteristics performed by the research team is analyzed. Original results that have not been published before such as measurements of the Verdet constant in the Zr:TAG, Re:MgAl2O4, and ZnAl2O4 ceramics are also presented. Full article
(This article belongs to the Special Issue Novel Laser Ceramic Materials and Applications)
Show Figures

Figure 1

16 pages, 3280 KB  
Article
Effect of Phase Transformations of a Metal Component on the Magneto-Optical Properties of Thin-Films Nanocomposites (CoFeZr)x (MgF2)100−x
by Elena Alexandrovna Ganshina, Vladimir Valentinovich Garshin, Ilya Mikhailovich Pripechenkov, Sergey Alexandrovich Ivkov, Alexander Victorovich Sitnikov and Evelina Pavlovna Domashevskaya
Nanomaterials 2021, 11(7), 1666; https://doi.org/10.3390/nano11071666 - 24 Jun 2021
Cited by 7 | Viewed by 2063
Abstract
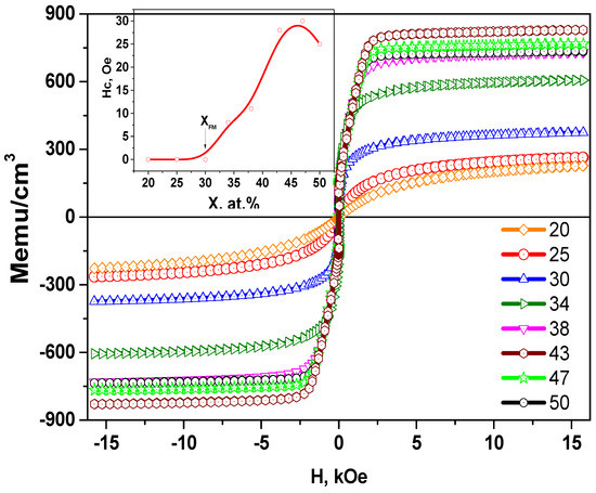
The results of complex studies of structural-phase transformations and magneto-optical properties of nanocomposites (CoFeZr)x (MgF2)100−x depending on the metal alloy content in the dielectric matrix are presented. Nanocomposites were deposited by ion-beam sputtering onto glass and glass-ceramic substrate. By [...] Read more.
The results of complex studies of structural-phase transformations and magneto-optical properties of nanocomposites (CoFeZr)x (MgF2)100−x depending on the metal alloy content in the dielectric matrix are presented. Nanocomposites were deposited by ion-beam sputtering onto glass and glass-ceramic substrate. By studying the spectral and field dependences of the transversal Kerr effect (TKE), it was found that the transition of nanocomposites from superparamagnetic to the ferromagnetic state occurs in the region of xfm~30 at%, that corresponds to the onset the formation of ferromagnetic nanocrystals CoFeZr with hexagonal syngony in amorphous dielectric matrix of MgF2. With an increase of concentrations of the metal alloy for x > xfm, the features associated with structural transitions in magnetic granules are revealed in the TKE spectra. Comparison of the spectral and concentration dependences of TKE for nanocomposites on the glass and glass-ceramics substrates showed that the strongest differences occur in the region of the phase structural transition of CoFeZr nanocrystals from a hexagonal to a body-centered cubic structure at x = 38 at.% on the glass substrates and at x = 46 at.% on glass-ceramics substrates, due to different diffusion rates and different size of metal nanocrystals on amorphous glass substrates and more rough polycrystalline glass-ceramics substrates. Full article
(This article belongs to the Section Synthesis, Interfaces and Nanostructures)
Show Figures

Figure 1

17 pages, 3912 KB  
Review
Recent Advances in Vertically Aligned Nanocomposites with Tunable Optical Anisotropy: Fundamentals and Beyond
by Xuejing Wang and Haiyan Wang
Chemosensors 2021, 9(6), 145; https://doi.org/10.3390/chemosensors9060145 - 16 Jun 2021
Cited by 7 | Viewed by 3995
Abstract
Developing reliable and tunable metamaterials is fundamental to next-generation optical-based nanodevices and computing schemes. In this review, an overview of recent progress made with a unique group of ceramic-based functional nanocomposites, i.e., vertically aligned nanocomposites (VANs), is presented, with the focus on the [...] Read more.
Developing reliable and tunable metamaterials is fundamental to next-generation optical-based nanodevices and computing schemes. In this review, an overview of recent progress made with a unique group of ceramic-based functional nanocomposites, i.e., vertically aligned nanocomposites (VANs), is presented, with the focus on the tunable anisotropic optical properties. Using a self-assembling bottom-up deposition method, the as-grown VANs present great promise in terms of structural flexibility and property tunability. Such broad tunability of functionalities is achieved through VAN designs, material selection, growth control, and strain coupling. The as-grown multi-phase VAN films also present enormous advantages, including wafer scale integration, epitaxial quality, sharp atomic interface, as well as designable materials and geometries. This review also covers the research directions with practical device potentials, such as multiplex sensing, high-temperature plasmonics, magneto-optical switching, as well as photonic circuits. Full article
(This article belongs to the Special Issue Anisotropic Nanomaterials for Sensing Applications)
Show Figures

Figure 1

7 pages, 2120 KB  
Article
Fabrication and Magneto-Optical Property of (Dy0.7Y0.25La0.05)2O3 Transparent Ceramics by PLSH Technology
by Ding Zhou, Xiaohui Li, Tun Wang, Jiayue Xu, Zhanyong Wang, Ying Shi, Dmitry Permin and Stanislav S. Balabanov
Magnetochemistry 2020, 6(4), 70; https://doi.org/10.3390/magnetochemistry6040070 - 15 Dec 2020
Cited by 13 | Viewed by 2729
Abstract
(Dy0.7Y0.25La0.05)2O3 magneto-optical transparent ceramics were successfully fabricated by pressureless sintering in reductive H2 atmosphere (PLSH). The raw powder of (Dy0.7Y0.25La0.05)2O3 was synthesized by a [...] Read more.
(Dy0.7Y0.25La0.05)2O3 magneto-optical transparent ceramics were successfully fabricated by pressureless sintering in reductive H2 atmosphere (PLSH). The raw powder of (Dy0.7Y0.25La0.05)2O3 was synthesized by a modified self-propagating high-temperature synthesis (SHS) and sintered to transparent ceramics at 1400–1600 °C in a flowing H2 atmosphere, showing good sinterability of the as-synthesized raw powder. The magneto-optical Verdet constant of (Dy0.7Y0.25La0.05)2O3 transparent ceramics was measured to be −191.57 rad/(T·m) at a wavelength of 632.8 nm. In this magneto-optical material of (Dy0.7Y0.25La0.05)2O3, relative cheaper Dy and Y were used to replace Tb, and the low cost and good magneto-optical property showed the advantage of application on Faraday isolators (FIs) and Faraday rotators (FRs). Full article
(This article belongs to the Special Issue Magneto-Optical Ceramics)
Show Figures

Figure 1

17 pages, 1811 KB  
Article
Faraday Rotation of Dy2O3, CeF3 and Y3Fe5O12 at the Mid-Infrared Wavelengths
by David Vojna, Ondřej Slezák, Ryo Yasuhara, Hiroaki Furuse, Antonio Lucianetti and Tomáš Mocek
Materials 2020, 13(23), 5324; https://doi.org/10.3390/ma13235324 - 24 Nov 2020
Cited by 30 | Viewed by 6072
Abstract
The relatively narrow choice of magneto-active materials that could be used to construct Faraday devices (such as rotators or isolators) for the mid-infrared wavelengths arguably represents a pressing issue that is currently limiting the development of the mid-infrared lasers. Furthermore, the knowledge of [...] Read more.
The relatively narrow choice of magneto-active materials that could be used to construct Faraday devices (such as rotators or isolators) for the mid-infrared wavelengths arguably represents a pressing issue that is currently limiting the development of the mid-infrared lasers. Furthermore, the knowledge of the magneto-optical properties of the yet-reported mid-infrared magneto-active materials is usually restricted to a single wavelength only. To address this issue, we have dedicated this work to a comprehensive investigation of the magneto-optical properties of both the emerging (Dy2O3 ceramics and CeF3 crystal) and established (Y3Fe5O12 crystal) mid-infrared magneto-active materials. A broadband radiation source was used in a combination with an advanced polarization-stepping method, enabling an in-depth analysis of the wavelength dependence of the investigated materials’ Faraday rotation. We were able to derive approximate models for the examined dependence, which, as we believe, may be conveniently used for designing the needed mid-infrared Faraday devices for lasers with the emission wavelengths in the 2-μm spectral region. In the case of Y3Fe5O12 crystal, the derived model may be used as a rough approximation of the material’s saturated Faraday rotation even beyond the 2-μm wavelengths. Full article
(This article belongs to the Special Issue Novel Laser Ceramic Materials and Applications)
Show Figures

Figure 1

Back to TopTop