Sign in to use this feature.

Years

Between: -

Subjects

remove_circle_outline
remove_circle_outline
remove_circle_outline
remove_circle_outline
remove_circle_outline
remove_circle_outline
remove_circle_outline
remove_circle_outline

Journals

Article Types

Countries / Regions

Search Results (187)

Search Parameters:
Keywords = lumbar stabilization

Order results
Result details
Results per page
Select all
Export citation of selected articles as:
8 pages, 417 KB  
Brief Report
Diverging Safety Signals: A Trend Analysis of Suspected Adverse Drug Reactions Reporting for Spinal Muscular Atrophy Therapies in the European Union
by Andrej Belančić, Petar Mas, Ivana Stević, Dinko Vitezić and Slobodan Janković
Neurol. Int. 2025, 17(10), 165; https://doi.org/10.3390/neurolint17100165 - 8 Oct 2025
Abstract
Background/Objectives: The approval of disease-modifying therapies has significantly improved outcomes for patients with spinal muscular atrophy (SMA), yet their long-term safety profiles remain under continuous evaluation. This study aimed to assess trends in the reporting of suspected adverse drug reactions (ADRs) associated [...] Read more.
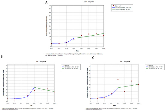
Background/Objectives: The approval of disease-modifying therapies has significantly improved outcomes for patients with spinal muscular atrophy (SMA), yet their long-term safety profiles remain under continuous evaluation. This study aimed to assess trends in the reporting of suspected adverse drug reactions (ADRs) associated with nusinersen, onasemnogene abeparvovec, and risdiplam across the European Union. Methods: We conducted a secondary analysis of annual suspected ADR data reported to EudraVigilance from 2017 to 2024 for the three approved disease-modifying therapies for SMA. On top of general reporting trend, specific adverse reactions of interest included post-lumbar puncture syndrome for nusinersen, liver toxicity and elevated serum troponin for onasemnogene abeparvovec, and respiratory and gastrointestinal reactions for risdiplam. Joinpoint regression analysis was used to evaluate annual percent changes and identify statistically significant trend segments for each medicine. Results: The reporting of suspected ADRs for nusinersen showed an initial increase, followed by a significant decline after 2019. Onasemnogene abeparvovec exhibited a continued but decelerating increase in suspected ADRs, while risdiplam demonstrated a consistent upward trend across all reported reactions. Conclusions: Diverging patterns in adverse reaction reporting suggest a stabilizing safety profile for nusinersen and potential emerging safety signals for risdiplam and onasemnogene abeparvovec, underscoring the need for ongoing continued pharmacovigilance (e.g., post-authorization studies and spontaneous reporting). Full article
Show Figures

Figure 1

16 pages, 619 KB  
Systematic Review
Risk Factors and Prevention of Musculoskeletal Injuries in Adolescent and Adult High-Performance Tennis Players: A Systematic Review
by María Soledad Amor-Salamanca, Eva María Rodríguez-González, Domingo Rosselló, María de Lluc-Bauza, Francisco Hermosilla-Perona, Adrián Martín-Castellanos and Ivan Herrera-Peco
Sports 2025, 13(10), 336; https://doi.org/10.3390/sports13100336 - 1 Oct 2025
Viewed by 470
Abstract
Background: High-performance tennis exposes players to repetitive high-load strokes and abrupt directional changes, which substantially increase musculoskeletal injury risk. This systematic review synthesized evidence on epidemiology, risk factors, and physiotherapy-led preventive strategies in elite adolescent and adult players. Methods: Following a PROSPERO-registered protocol, [...] Read more.
Background: High-performance tennis exposes players to repetitive high-load strokes and abrupt directional changes, which substantially increase musculoskeletal injury risk. This systematic review synthesized evidence on epidemiology, risk factors, and physiotherapy-led preventive strategies in elite adolescent and adult players. Methods: Following a PROSPERO-registered protocol, MEDLINE, Web of Science, and Scopus were searched (2011–2024) for observational studies reporting epidemiological outcomes in high-performance tennis. Methodological quality was appraised with NIH tools, and certainty of evidence was graded with GRADE. Results: Thirty-seven studies met inclusion criteria: 16 in adolescents, 18 in adults, and 3 mixed. Incidence ranged from 2.1 to 3.5 injuries/1000 h in juniors and 1.25 to 56.6/1000 h in adults. Seasonal prevalence was 46–54% in juniors and 30–54% in professionals. Lower-limb trauma (48–56%) predominated, followed by lumbar (12–39%) and shoulder overuse syndromes. Across age groups, abrupt increases in the acute-to-chronic workload ratio (≥1.3 in juniors; ≥1.5 in adults) were the strongest extrinsic predictor of injury. Intrinsic contributors included reduced glenohumeral internal rotation, scapular dyskinesis, and poor core stability. Three prevention clusters emerged: (1) External load control, four-week “ramp-up” strategies reduced injury incidence by up to 21%; (2) Kinetic-chain conditioning, core stability plus eccentric rotator-cuff training decreased overuse by 26% and preserved shoulder mobility; and (3) Technique/equipment adjustments, grip-size personalization halved lateral epicondylalgia, while serve-timing modifications reduced shoulder torque. Conclusions: Injury risk in high-performance tennis is quantifiable and preventable. Progressive load management targeted kinetic-chain conditioning, and tailored technique/equipment modifications represent the most effective evidence-based safeguards for adolescent and adult elite players. Full article
Show Figures

Figure 1

16 pages, 6280 KB  
Article
Stratifying ALS Patients by Mode of Inheritance Reveals Transcriptomic Signatures Specific to sALS and fALS
by Alexandria Awai, Erica L. Johnson, Tiandong Leng, John Patrickson, Michael C. Zody, James W. Lillard and on behalf of the NYGC ALS Consortium
Int. J. Mol. Sci. 2025, 26(18), 9234; https://doi.org/10.3390/ijms26189234 - 22 Sep 2025
Viewed by 443
Abstract
Amyotrophic lateral sclerosis (ALS) is a terminal neurodegenerative disease, marked by considerable clinical and molecular heterogeneity. While several genetic drivers have been linked to familial ALS (fALS), the biology of sporadic ALS (sALS)—which accounts for the majority of ALS cases—remains poorly defined. To [...] Read more.
Amyotrophic lateral sclerosis (ALS) is a terminal neurodegenerative disease, marked by considerable clinical and molecular heterogeneity. While several genetic drivers have been linked to familial ALS (fALS), the biology of sporadic ALS (sALS)—which accounts for the majority of ALS cases—remains poorly defined. To address this gap, we analyzed 247 bulk mRNA-sequenced post-mortem tissue samples from the lumbar spinal cord and motor cortex and compared expression profiles between fALS, sALS, and controls. Variance-stabilized DEGs from DESeq2 analysis were used as inputs for weighted gene co-expression network analysis (WGCNA). Finally, gene ontology was used to identify transcriptomic signatures and biological pathways unique to sALS and fALS. In the spinal cord, sALS samples exhibited specific downregulation of mitochondrial complex I subunits (e.g., NDUFS8 and NDUFB7) and regulatory genes (e.g., AURKAIP1 and ATP5F1D), suggesting compromised metabolic resilience. In the motor cortex, a co-expression module associated with adaptive immune function and leukocyte infiltration was downregulated in sALS yet upregulated in fALS, indicating distinct inflammatory pathways between these two forms of ALS. Together, our findings highlight that while sALS and fALS are largely the same disease, they exhibit distinct transcriptomic signatures. By accounting for mode of inheritance in study designs—particularly sALS, which represents ~90% of ALS cases—researchers may reveal deeper insights into ALS pathology. This perspective could enable more targeted therapeutic strategies, ultimately improving outcomes for all ALS patients. Full article
(This article belongs to the Section Molecular Genetics and Genomics)
Show Figures

Figure 1

12 pages, 727 KB  
Review
Evidence of Multifidus Changes Post-Lumbar Radiofrequency Ablation: A Narrative Literature Review
by Abigail Joy Garcia, David W. Lee, Logan Leavitt and Vinicius Tieppo Francio
J. Clin. Med. 2025, 14(18), 6462; https://doi.org/10.3390/jcm14186462 - 13 Sep 2025
Viewed by 1199
Abstract
Background/Objectives: Chronic low back pain (CLBP) is a leading cause of disability worldwide, with lumbar medial branch radiofrequency ablation (LRFA) widely used to manage facet-mediated pain; however, emerging evidence raises concerns regarding its potential to denervate the multifidus muscle—an essential stabilizer of [...] Read more.
Background/Objectives: Chronic low back pain (CLBP) is a leading cause of disability worldwide, with lumbar medial branch radiofrequency ablation (LRFA) widely used to manage facet-mediated pain; however, emerging evidence raises concerns regarding its potential to denervate the multifidus muscle—an essential stabilizer of the lumbar spine—thereby exacerbating dysfunction. This narrative review synthesizes current evidence on multifidus atrophy and dysfunction following LRFA, emphasizes its clinical significance, and highlights gaps that warrant further research and therapeutic development. Methods: A comprehensive literature search was conducted using SANRA criteria across the Cochrane Library, Web of Science Core Collection, Scopus, PubMed, and MEDLINE. Studies assessing multifidus morphology or function after LRFA were identified and analyzed. Data were extracted from studies meeting predefined inclusion criteria. The narrative synthesis included a thematic analysis and interpretive integration focusing on clinical practice. Results: Six eligible studies were identified, five cohort studies and one case series. Of these, two confirmed decreased multifidus function post-LRFA. Four studies analyzed post-LRFA structural changes, two of which reported reduced cross-sectional area/fatty infiltration, one no measurable difference, and another an apparent enlargement. The findings are constrained by substantial differences in study design, patient populations, and outcome measures, which limit the ability to establish consistent conclusions. Conclusions: Current evidence suggests that LRFA may lead to structural and functional changes in the multifidus muscle, although findings remain inconsistent due to significant study heterogeneity. Further high-quality, prospective research with standardized imaging and functional assessments is needed to clarify the long-term clinical impact. Full article
(This article belongs to the Special Issue Evidence-Based Diagnosis and Clinical Management of Low Back Pain)
Show Figures

Figure 1

6 pages, 165 KB  
Article
Anterior Skull Base Fractures Treated with Surgical Correction: Factors Associated with Development of Infection
by Laura Zima, Delani Woods, Silin Wu, Xuefang Sophie Ren and Ryan Kitagawa
Trauma Care 2025, 5(3), 21; https://doi.org/10.3390/traumacare5030021 - 30 Aug 2025
Viewed by 378
Abstract
Objective: Traumatic anterior skull base fractures can be associated with significant morbidity and are managed based on the method of injury, presence of cerebrospinal leak, clinical stability and other factors. Our objective is to determine factors associated with the development of infection in [...] Read more.
Objective: Traumatic anterior skull base fractures can be associated with significant morbidity and are managed based on the method of injury, presence of cerebrospinal leak, clinical stability and other factors. Our objective is to determine factors associated with the development of infection in the management of surgical anterior skull base fractures. Methods: We completed a retrospective review of adult patients with traumatic anterior skull base fractures treated operatively with bi-frontal craniotomy from 2012 to 2022. The statistical analysis was completed with Prism 9.0 software for spearman correlation coefficient analysis. Results: Our study had a total of 51 patients. The average time from arrival to surgery was four days. A total of 20 patients were injured via gunshot wound (GSW) and 31 via other methods of injury. A total of 81% of patients were started on antibiotics prior to surgery, and all patients were kept on antibiotics after surgery. Five patients developed infections. Infection was not correlated with time to surgery, length of stay, type/duration of antibiotics, EVD placement/duration, or lumbar drain placement. However, all but one of the infections were in patients injured by GSWs vs. other mechanisms of injury (p < 0.01), and duration, not merely presence, of lumbar drain was correlated with development of infection (p < 0.01). Conclusions: In the treatment of anterior skull base fractures, time to surgery does not significantly increase risk of infection. However, patients with gunshot wounds have higher risks of infection, and thus more aggressive management should be considered. Full article
21 pages, 583 KB  
Article
Gender Differences in the Relationship Between Fatigue, Different Types of Physical Activity, Postural Changes, and Sleep Quality in University Students—Part II Analyses from a Cross-Sectional Study
by Verner Marijančić, Silvije Šegulja, Mirela Vučković, Ivana Sović, Stanislav Peharec, Tanja Grubić Kezele and Gordana Starčević-Klasan
J. Funct. Morphol. Kinesiol. 2025, 10(3), 307; https://doi.org/10.3390/jfmk10030307 - 8 Aug 2025
Viewed by 1061
Abstract
Background: Fatigue can be a useful tool to understand the effects of physical activity (PA) and sedentary behavior on musculoskeletal health in university students. Methods: The aim of this cross-sectional study was to examine gender differences in the relationships between fatigue and specific [...] Read more.
Background: Fatigue can be a useful tool to understand the effects of physical activity (PA) and sedentary behavior on musculoskeletal health in university students. Methods: The aim of this cross-sectional study was to examine gender differences in the relationships between fatigue and specific types and levels of PA, posture, sleep quality (SQ), and non-specific low back pain (NS-LBP) in young adult university students aged 18–25 years. A total of 180 students completed all required tests. Results: Female students had higher total fatigue as they generally engaged in more PA in contrast to male students, who had higher total fatigue when they engaged in less moderate and less vigorous PA. With increasing sedentary behavior, overall fatigue was pronounced in both sexes, although female students spent significantly more time sitting. Poorer SQ correlated with NS-LBP and higher levels of sleep-related fatigue in female students. Males with pronounced hypekyphosis and females with pronounced lordosis were more fatigued. In addition, fatigue was more pronounced in female students with a higher extensor/flexor ratio, suggesting that trunk extensors are more fatigued due to the need to maintain lumbar spine stability. Conclusions: Our findings suggest that the choice of PA should be gender-specific to prevent chronic musculoskeletal disorders and fatigue in young adult university students. Full article
(This article belongs to the Special Issue Physical Activity for Optimal Health: 2nd Edition)
Show Figures

Figure 1

17 pages, 511 KB  
Systematic Review
Effects of Exercise-Based Rehabilitation on Lumbar Degenerative Disc Disease: A Systematic Review
by Shirin Aali, Farhad Rezazadeh, Fariborz Imani, Mahsa Nabati Sefidekhan, Georgian Badicu, Luca Poli, Francesco Fischetti, Stefania Cataldi and Gianpiero Greco
Healthcare 2025, 13(15), 1938; https://doi.org/10.3390/healthcare13151938 - 7 Aug 2025
Viewed by 4030
Abstract
Background: This systematic review evaluates the efficacy of rehabilitation-focused exercise interventions for lumbar degenerative disc disease (DDD), a leading cause of chronic low back pain. Methods: Following PRISMA guidelines, a comprehensive search was conducted across international and regional databases (PubMed, Scopus, Web of [...] Read more.
Background: This systematic review evaluates the efficacy of rehabilitation-focused exercise interventions for lumbar degenerative disc disease (DDD), a leading cause of chronic low back pain. Methods: Following PRISMA guidelines, a comprehensive search was conducted across international and regional databases (PubMed, Scopus, Web of Science, Magiran, SID, and Noormags) covering the period from January 2010 to January 2025. The review protocol was registered with the International Prospective Register of Systematic Reviews (PROSPERO) under registration number CRD420251088811. Using keywords such as “lumbar DDD,” “exercise therapy,” and “rehabilitation,” a total of 2495 records were identified. After screening, 20 studies—including clinical trials, quasi-experimental, and experimental designs—met the inclusion criteria and were assessed using the McMaster Critical Review Form for Quantitative Studies. Results: Interventions such as hydrotherapy, core stability training, Pilates, and suspension exercises were found to significantly reduce pain and improve functional outcomes. While multimodal approaches (e.g., aquatic exercise combined with acupuncture) showed positive effects, the comparative studies revealed no significant differences between modalities. Suspension training demonstrated superior efficacy in pain reduction compared to isolated core stability exercises. The methodological quality of included studies ranged from good to excellent, with the majority rated as very good or excellent (McMaster scores: 8 “excellent,” 7 “very good,” and 5 “good”). Common limitations among the studies included methodological heterogeneity, small sample sizes (n = 14–30), and insufficient long-term follow-up. Conclusions: Exercise-based rehabilitation is an effective strategy for managing lumbar DDD. Evidence particularly supports the use of suspension training and aquatic therapy for superior improvements in pain and functional outcomes. Future research should aim to adopt standardized protocols, recruit larger sample sizes, and include extended follow-up periods to produce more robust and generalizable findings. Full article
(This article belongs to the Special Issue Exercise Biomechanics: Pathways to Improve Health)
Show Figures

Figure 1

12 pages, 742 KB  
Article
Postoperative Recovery of Balance Function in Lumbar Spinal Stenosis: A 12-Month Longitudinal Study Using the Brief BESTest and Its Association with Patient-Reported Outcomes
by Tomoyoshi Sakaguchi, Masato Tanaka, Shinya Arataki, Tadashi Komatsubara, Akiyoshi Miyamoto, Mandar Borde, Umarani Arvind, Kazuhiko Takamatsu, Yosuke Yasuda, Adrian Doană-Prodan and Kaoruko Ishihara
J. Clin. Med. 2025, 14(15), 5520; https://doi.org/10.3390/jcm14155520 - 5 Aug 2025
Viewed by 677
Abstract
Study Design: Prospective observational study. Background: Lumbar spinal stenosis (LSS) impairs balance and gait function, increasing fall risk and limiting quality of life. Although postoperative recovery of balance is clinically important, longitudinal data using multidimensional balance assessments are limited. Methods: A prospective cohort [...] Read more.
Study Design: Prospective observational study. Background: Lumbar spinal stenosis (LSS) impairs balance and gait function, increasing fall risk and limiting quality of life. Although postoperative recovery of balance is clinically important, longitudinal data using multidimensional balance assessments are limited. Methods: A prospective cohort study was conducted in 101 patients (mean age 74.9 ± 6.9 years) undergoing surgery for LSS. The Brief Balance Evaluation Systems Test (Brief BESTest), Oswestry Disability Index (ODI), Modified Falls Efficacy Scale (MFES), Zurich Claudication Questionnaire (ZCQ), and Visual Analog Scales (VAS) for pain/numbness were evaluated preoperatively and at 6 and 12 months postoperatively. Changes over time and correlations between Brief BESTest and PROMs were analyzed. Results: The total Brief BESTest score significantly improved from 13.3 ± 5.3 preoperatively to 16.1 ± 5.1 at 6 months and 16.0 ± 5.1 at 12 months (p < 0.01). Subdomains including Anticipatory Adjustments, Postural Responses, Sensory Orientation, and Stability in Gait improved significantly, while Stability Limits did not. At 12 months postoperatively, ODI decreased by 19.1%, ZCQ symptom and function scores improved by 0.8 and 0.9 points, respectively, and VAS scores improved by 17.1 mm for low back pain, 26.5 mm for lower limb pain, and 19.5 mm for numbness, all showing marked improvements from baseline. MFES also increased significantly postoperatively. The Brief BESTest score correlated significantly with MFES and ZCQ-PFS at baseline, and with ODI, ZCQ, and VAS scores at 12 months. Conclusions: Balance ability in LSS patients improved after surgery, as measured by the Brief BESTest, with clinically meaningful changes maintained for 12 months. Improvements in balance were significantly associated with reductions in pain, disability, and fear of falling, suggesting the Brief BESTest is a comprehensive indicator of postoperative recovery. Full article
Show Figures

Figure 1

14 pages, 2221 KB  
Article
Dynamic vs. Rigid: Transforming the Treatment Landscape for Multisegmental Lumbar Degeneration
by Caner Gunerbuyuk, Mehmet Yigit Akgun, Nazenin Durmus, Ege Anil Ucar, Helin Ilkay Orak, Tunc Oktenoglu, Ozkan Ates, Turgut Akgul and Ali fahir Ozer
J. Clin. Med. 2025, 14(15), 5472; https://doi.org/10.3390/jcm14155472 - 4 Aug 2025
Viewed by 555
Abstract
Background: Multisegmental lumbar degenerative disease (ms-LDD) is a common condition in older adults, often requiring surgical intervention. While rigid stabilization remains the gold standard, it is associated with complications such as adjacent segment disease (ASD), higher blood loss, and longer recovery times. The [...] Read more.
Background: Multisegmental lumbar degenerative disease (ms-LDD) is a common condition in older adults, often requiring surgical intervention. While rigid stabilization remains the gold standard, it is associated with complications such as adjacent segment disease (ASD), higher blood loss, and longer recovery times. The Dynesys dynamic stabilization system offers an alternative by preserving motion while stabilizing the spine. However, data comparing Dynesys with fusion in multisegmental cases are limited. Objective: This study evaluates the clinical and radiographic outcomes of Dynesys dynamic stabilization versus rigid stabilization in the treatment of ms-LDD. Methods: A retrospective analysis was conducted on 53 patients (mean age: 62.25 ± 15.37 years) who underwent either Dynesys dynamic stabilization (n = 27) or PLIF (n = 26) for ms-LDD involving at least seven motion segments. Clinical outcomes were assessed using the Visual Analog Scale (VAS) and Oswestry Disability Index (ODI), while radiological parameters such as lumbar lordosis (LL), sagittal vertical axis (SVA), and spinopelvic parameters (pelvic incidence, pelvic tilt and, sacral slope) were analyzed. A two-stage surgical approach was employed in the Dynesys group to enhance osseointegration, particularly in elderly osteoporotic patients. Results: Both groups showed significant improvements in VAS and ODI scores postoperatively (p < 0.001), with no significant differences between them. However, the Dynesys group demonstrated superior sagittal alignment correction, with a significant increase in LL (p < 0.002) and a significant decrease in SVA (p < 0.0015), whereas changes in the rigid stabilization group were not statistically significant. Additionally, the Dynesys group had fewer complications, including a lower incidence of ASD (0 vs. 6 cases). The two-stage technique facilitated improved screw osseointegration and reduced surgical risks in osteoporotic patients. Conclusions: Dynesys dynamic stabilization is an effective alternative to rigid stabilization in ms-LDD, offering comparable pain relief and functional improvement while preserving motion and reducing ASD risk. The two-stage approach enhances long-term stability, making it particularly suitable for elderly or osteoporotic patients. Further long-term studies are needed to confirm these findings. Full article
(This article belongs to the Special Issue Orthopedic Surgery: Latest Advances and Perspectives)
Show Figures

Figure 1

11 pages, 4175 KB  
Article
Comparison of Hybrid Dynamic Stabilization with TLIF Versus Dynamic Stabilization Alone in Degenerative Lumbar Instability
by Uzay Erdogan, Gurkan Berikol, Ibrahim Taha Albas, Mehmet Yigit Akgun, Tunc Oktenoglu, Ozkan Ates and Ali Fahir Ozer
Diagnostics 2025, 15(15), 1887; https://doi.org/10.3390/diagnostics15151887 - 28 Jul 2025
Viewed by 539
Abstract
Objective: This study aimed to compare the clinical and radiological outcomes of dynamic rod stabilization with and without transforaminal lumbar interbody fusion (TLIF) in patients undergoing surgery for degenerative lumbar instability. Specifically, we evaluated the prognostic value of hybrid systems in reducing [...] Read more.
Objective: This study aimed to compare the clinical and radiological outcomes of dynamic rod stabilization with and without transforaminal lumbar interbody fusion (TLIF) in patients undergoing surgery for degenerative lumbar instability. Specifically, we evaluated the prognostic value of hybrid systems in reducing adjacent segment disease (ASD), enhancing fusion rates, and improving functional outcomes. Methods: A retrospective analysis was conducted on 62 patients treated between 2019 and 2022. Group 1 (n = 34) underwent dynamic rod stabilization alone, while Group 2 (n = 28) received dynamic stabilization combined with TLIF. Radiological assessments included disk height index (DHI) and fusion rates. Clinical outcomes were measured using the Visual Analog Scale (VAS) for back and leg pain at baseline, 12, and 24 months. Statistical analysis was performed using Jamovi® software (version 2.4.1). Results: The hybrid group (dynamic + TLIF) demonstrated significantly higher anterior fusion rates (p < 0.001) and greater improvement in VAS scores for back (p = 0.005) and leg pain (p < 0.001) at 12 months. Although operative time was longer (p = 0.002), there was no significant difference in hospital stay (p = 0.635). No significant differences were observed in ASD development (p = 0.11) or pseudoarthrosis (p = 0.396). The hybrid group maintained better lumbar lordosis and higher adjacent segment DHI. Conclusions: Hybrid dynamic stabilization combined with TLIF provides superior clinical outcomes and fusion rates compared to dynamic stabilization alone, without significantly increasing the risk of ASD. These findings support the use of hybrid constructs as a balanced strategy for treating degenerative lumbar instability. Full article
(This article belongs to the Special Issue Recent Advances in Bone and Joint Imaging—3rd Edition)
Show Figures

Figure 1

11 pages, 948 KB  
Article
Finite Element Analysis of Stress Distribution in Canine Lumbar Fractures with Different Pedicle Screw Insertion Angles
by Ziyao Zhou, Xiaogang Shi, Jiahui Peng, Xiaoxiao Zhou, Liuqing Yang, Zhijun Zhong, Haifeng Liu, Guangneng Peng, Chengli Zheng and Ming Zhang
Vet. Sci. 2025, 12(7), 682; https://doi.org/10.3390/vetsci12070682 - 19 Jul 2025
Viewed by 733
Abstract
Pedicle screw fixation is a critical technique for stabilizing lumbar fractures in canines, yet the biomechanical implications of insertion angles remain underexplored. This study aims to identify optimal screw trajectories by analyzing stress distribution and deformation patterns in beagle lumbar segments (L6-L7) using [...] Read more.
Pedicle screw fixation is a critical technique for stabilizing lumbar fractures in canines, yet the biomechanical implications of insertion angles remain underexplored. This study aims to identify optimal screw trajectories by analyzing stress distribution and deformation patterns in beagle lumbar segments (L6-L7) using finite element analysis (FEA). A 3D finite element model was reconstructed from CT scans of a healthy beagle, incorporating cortical/cancellous bone, intervertebral disks, and cartilage. Pedicle screws (2.4 mm diameter, 22 mm length) were virtually implanted at angles ranging from 45° to 65°. A 10 N vertical load simulated standing conditions. Equivalent stress and total deformation were evaluated under static loading. The equivalent stress occurred at screw–rod junctions, with maxima at 50° (11.73 MPa) and minima at 58° (3.25 MPa). Total deformation ranged from 0.0033 to 0.0064 mm, with the highest at 55° and the lowest at 54°. The 58° insertion angle demonstrated optimal biomechanical stability with minimal stress concentration, with 56–60° as a biomechanically favorable range for pedicle screw fixation in canine lumbar fractures, balancing stress distribution and deformation control. Future studies should validate these findings in multi-level models and clinical settings. Full article
(This article belongs to the Special Issue Advanced Therapy in Companion Animals—2nd Edition)
Show Figures

Figure 1

12 pages, 1366 KB  
Article
Influence of Main Thoracic and Thoracic Kyphosis Morphology on Gait Characteristics in Adolescents with Idiopathic Scoliosis: Gait Analysis Using an Inertial Measurement Unit
by Kento Takahashi, Yuta Tsubouchi, Tetsutaro Abe, Yuhi Takeo, Marino Iwakiri, Takashi Kataoka, Kohei Inoue, Noriaki Sako, Masashi Kataoka, Masashi Miyazaki and Nobuhiro Kaku
Sensors 2025, 25(14), 4265; https://doi.org/10.3390/s25144265 - 9 Jul 2025
Viewed by 883
Abstract
This study examined the relationship between spinal morphological changes and gait characteristics in patients with adolescent idiopathic scoliosis (AIS) using inertial measurement unit (IMU) analysis. Twenty-three female patients with AIS scheduled for corrective surgery underwent a preoperative gait analysis using an IMU positioned [...] Read more.
This study examined the relationship between spinal morphological changes and gait characteristics in patients with adolescent idiopathic scoliosis (AIS) using inertial measurement unit (IMU) analysis. Twenty-three female patients with AIS scheduled for corrective surgery underwent a preoperative gait analysis using an IMU positioned at the third lumbar vertebra. Gait stability indicators were calculated, including root mean square (RMS) values for mediolateral (RMSx), anteroposterior, and vertical components. Peak mediolateral components in four coronal plane quadrants were also analyzed. Relationships with the main thoracic (MT) curve, the thoracolumbar (TL) curve, and thoracic kyphosis (TK) were assessed using Spearman’s rank correlation. The MT curve is positively correlated with RMSx, whereas TK exhibited a negative correlation. Gait symmetry analysis revealed a positive correlation between the MT curve and peak mediolateral trunk acceleration in the second (left upper) quadrant, and negative correlations for TK in the first (right upper) and fourth (right lower) quadrants. Patients with AIS who have right-convex MT curves demonstrated leftward center-of-gravity shifts, although reduced TK limited this compensatory mechanism. These findings may inform the development of rehabilitation strategies for AIS. Full article
(This article belongs to the Collection Sensors in Biomechanics)
Show Figures

Graphical abstract

21 pages, 518 KB  
Study Protocol
Development and Implementation of a Core Training Protocol: Effects on Muscle Activation, Hypertrophy, Balance, and Quality of Life in Recreationally Active Adults
by Ioannis Tsartsapakis, Aglaia Zafeiroudi, Ioannis Trigonis, Christos Lyrtzis and Konstantinos Astrapellos
Methods Protoc. 2025, 8(4), 77; https://doi.org/10.3390/mps8040077 - 8 Jul 2025
Viewed by 2224
Abstract
Core stability is fundamental to posture, balance, and force transmission throughout the kinetic chain. Although traditionally associated with athletic performance, emerging research highlights its broader applicability to recreational fitness. This study investigates the effects of an eight-week core training program on muscle hypertrophy, [...] Read more.
Core stability is fundamental to posture, balance, and force transmission throughout the kinetic chain. Although traditionally associated with athletic performance, emerging research highlights its broader applicability to recreational fitness. This study investigates the effects of an eight-week core training program on muscle hypertrophy, static balance, and neuromuscular control in recreationally active, non-athletic adults. Participants will undertake a structured intervention comprising progressive triads targeting core stability, strength, and power. Assessment methods include surface electromyography (EMG), ultrasound imaging, three-dimensional force plates, Kinovea motion analysis, and the Satisfaction With Life Scale (SWLS) questionnaire. Expected outcomes include enhanced core muscle activation, improved static balance, and increased core-generated force during overhead medicine ball slam trials. Additionally, the intervention aims to facilitate hypertrophy of the transverse abdominis, internal oblique, and lumbar multifidus muscles, contributing to spinal resilience and motor control. This protocol bridges gaps in core training methodologies and advances their scalability for recreational populations. The proposed model offers a structured, evidence-informed framework for improving core activation, postural stability, muscle adaptation, movement efficiency, and perceived quality of life in recreationally active individuals. Full article
(This article belongs to the Section Biomedical Sciences and Physiology)
Show Figures

Figure 1

11 pages, 3920 KB  
Article
The Effectiveness and Practical Application of Different Reduction Techniques in Burst Fractures of the Thoracolumbar Spine
by Jan Cerny, Jan Soukup, Lucie Loukotova, Marek Zrzavecky and Tomas Novotny
J. Clin. Med. 2025, 14(13), 4700; https://doi.org/10.3390/jcm14134700 - 3 Jul 2025
Viewed by 516
Abstract
Background: The objective was to evaluate and compare the efficacy of direct fragment impaction, indirect reduction through ligamentotaxis, and the combination of both techniques in burst fractures of the thoracolumbar (TL) spine. Methods: The fractures were categorized using the Arbeitsgemeinschaft für Osteosynthesefragen (AO) [...] Read more.
Background: The objective was to evaluate and compare the efficacy of direct fragment impaction, indirect reduction through ligamentotaxis, and the combination of both techniques in burst fractures of the thoracolumbar (TL) spine. Methods: The fractures were categorized using the Arbeitsgemeinschaft für Osteosynthesefragen (AO) classification and assessed via standard computed tomography (CT) scans for spinal canal area (SCA) and mid-sagittal diameter (MSD). The Frankel classification was used to assess neurological deficits. Only single vertebrae AO types A3 and A4 thoracic or lumbar fractures were included. All patients received bisegmental posterior stabilization, one of the reduction techniques, and, if neurological deficits were present, a spinal decompression. Mean preoperative (µSCApre/µMSDpre), postoperative (µSCApost/µMSDpost) and difference (∆SCA/∆MSD) in radiographic values were obtained and analyzed using the Mumford formula. The significance of the reduction from preoperative stenosis was assessed using a t-test, while the effectiveness of the reduction techniques was compared using the Kruskal–Wallis test and Dunn’s post hoc test. The manuscript was focused primarily on radiographic outcomes; therefore, aside from the neurostatus, no other clinical parameters were statistically analyzed. Results: Thirteen patients (38.2%) received stand-alone indirect reduction, 13 patients (38.2%) underwent direct reduction, and a combined reduction was used in eight patients (23.6%). All methods resulted in a statistically significant reduction in spinal canal stenosis (p < 0.05), with a minimal mean ∆SCA of 19%. Patients in the direct reduction group had significantly higher µSCApre values compared to those in the indirect reduction group (p = 0.02). Conclusions: All of the tested reduction techniques provided a significant reduction in spinal canal stenosis. Patients who underwent mere direct reduction had significantly higher preoperative spinal canal stenosis compared to the indirect reduction group. Full article
(This article belongs to the Special Issue Clinical Advancements in Spine Surgery: Best Practices and Outcomes)
Show Figures

Figure 1

10 pages, 894 KB  
Article
High Fusion Rates with Structured Titanium TLIF Cages: A Retrospective 1-Year Study with and Without Adjacent Level Dynamic Stabilization
by Sonja Häckel, Jessica Gaff, Alana Celenza, Gregory Cunningham, Michael Kern, Paul Taylor and Andrew Miles
Surgeries 2025, 6(3), 52; https://doi.org/10.3390/surgeries6030052 - 30 Jun 2025
Viewed by 1530
Abstract
Background: Structured titanium (ST) cages are designed to enhance osseointegration and fusion in lumbar interbody procedures. However, clinical and radiological outcomes following TLIF using ST cages—particularly with or without adjacent-level dynamic stabilization (DSS)—have not been widely reported. Objective: To evaluate 12-month [...] Read more.
Background: Structured titanium (ST) cages are designed to enhance osseointegration and fusion in lumbar interbody procedures. However, clinical and radiological outcomes following TLIF using ST cages—particularly with or without adjacent-level dynamic stabilization (DSS)—have not been widely reported. Objective: To evaluate 12-month fusion outcomes and patient-reported outcomes (PROMs) after TLIF with structured titanium cages, comparing cases with and without adjacent-level DSS. Methods: In this retrospective cohort study, 82 patients undergoing TLIF with ST cages were analyzed—41 with hybrid instrumentation (TLIF + DSS) and 41 with TLIF alone. PROMs (ODI, VAS for back and leg pain, EQ-5D-5L) were assessed preoperatively and at 12 months. Fusion was assessed via CT scans at 12 months. Results: PROMs significantly improved over time in both groups (p < 0.001 for ODI, VAS back, VAS leg), but there were no significant differences between the hybrid and non-hybrid groups. Overall, the interbody fusion rate was 84%. Complete fusion was observed in 84% of the hybrid group and 80% of the TLIF-only group (p = 0.716), with very low rates of non-union. Conclusions: Structured titanium cages demonstrated excellent 1-year fusion rates and supported significant clinical improvement after TLIF. The addition of dynamic stabilization had no measurable effect on patient-reported or radiological outcomes at 12 months. Long-term studies are needed to assess any potential effect of DSS on adjacent segment disease. Full article
Show Figures

Figure 1

Back to TopTop