Sign in to use this feature.

Years

Between: -

Subjects

remove_circle_outline
remove_circle_outline
remove_circle_outline
remove_circle_outline
remove_circle_outline
remove_circle_outline
remove_circle_outline
remove_circle_outline
remove_circle_outline

Journals

remove_circle_outline
remove_circle_outline
remove_circle_outline
remove_circle_outline
remove_circle_outline
remove_circle_outline
remove_circle_outline
remove_circle_outline
remove_circle_outline
remove_circle_outline
remove_circle_outline
remove_circle_outline
remove_circle_outline
remove_circle_outline
remove_circle_outline
remove_circle_outline
remove_circle_outline
remove_circle_outline
remove_circle_outline
remove_circle_outline
remove_circle_outline
remove_circle_outline
remove_circle_outline
remove_circle_outline
remove_circle_outline
remove_circle_outline
remove_circle_outline
remove_circle_outline
remove_circle_outline
remove_circle_outline
remove_circle_outline
remove_circle_outline
remove_circle_outline
remove_circle_outline
remove_circle_outline

Article Types

Countries / Regions

remove_circle_outline
remove_circle_outline
remove_circle_outline
remove_circle_outline
remove_circle_outline
remove_circle_outline
remove_circle_outline

Search Results (2,718)

Search Parameters:
Keywords = linear potential generalization of potentials

Order results
Result details
Results per page
Select all
Export citation of selected articles as:
33 pages, 22526 KB  
Article
The Analysis of a Column of the Tomb 7 Colonnade at the Tombs of the Kings Archeological Site: A Comparative Evaluation of Scan-to-FEM Methodologies
by Francesca Turchetti, Daniela Oreni, Renos Votsis, Nicholas Kyriakides, Branka Cuca and Athos Agapiou
Heritage 2026, 9(3), 100; https://doi.org/10.3390/heritage9030100 - 3 Mar 2026
Abstract
This research investigates the colonnade of Tomb 7 at the UNESCO World Heritage site of the Tombs of the Kings in Paphos, Cyprus. Specifically, a multi-drum column located at the south-east corner of the tomb is examined from both geometric and structural perspectives. [...] Read more.
This research investigates the colonnade of Tomb 7 at the UNESCO World Heritage site of the Tombs of the Kings in Paphos, Cyprus. Specifically, a multi-drum column located at the south-east corner of the tomb is examined from both geometric and structural perspectives. Being the only standing element to support the entablature on that side of the tomb, the column is crucial for maintaining the structural stability of the monument. Numerical structural analyses are performed on the column via the finite element method (FEM), supported by close-range recording techniques—particularly terrestrial laser scanning (TLS)—to generate finite element (FE) models. Several modelling strategies capable of converting point cloud data into reliable structural models are developed and compared with the aim of identifying the most effective and cost-efficient approach. Each method is analyzed in detail to evaluate its workflow, assumptions, strengths, and limitations in the context of heritage structures with complex irregular geometries. Linear static and dynamic analyses are performed on five different FE models to assess the column’s mechanical response and to understand how differences in geometric representation affect the structural behaviour. The results indicate that all approaches adequately capture the general structural response. The comparison of the different modelling strategies highlights the trade-offs between geometric accuracy, computational efficiency, and practical usability. These outcomes indicate the potential and the current limitations of exploiting point cloud data for structural analysis and contribute to the development of more robust and accurate scan-to-FEM methodologies for the conservation and assessment of cultural heritage structures. Full article
(This article belongs to the Special Issue Applications of Digital Technologies in the Heritage Preservation)
Show Figures

Figure 1

14 pages, 1647 KB  
Systematic Review
No Concurrent Association Found Between Maternal Thyroid Hormone Concentrations (TSH, FT4, FT3) and Antepartum Depression in Late Pregnancy: A Meta-Analysis Highlighting the Need for Categorical Risk Assessment
by Larisa-Mihaela Holbanel, Ruxandra Stefania Dragota, Mihaela Popescu, Daniela Gabriela Glavan, Mihail Cristian Pirlog and Adina Turcu-Stiolica
Psychiatry Int. 2026, 7(2), 53; https://doi.org/10.3390/psychiatryint7020053 - 3 Mar 2026
Abstract
Background: The relationship between maternal thyroid function and psychiatric morbidity remains inconclusive, particularly regarding the association with antepartum depression (APD). This meta-analysis aimed to precisely quantify the association between the three primary maternal thyroid hormone concentrations—thyroid-stimulating hormone (TSH), free thyroxine (FT4), and free [...] Read more.
Background: The relationship between maternal thyroid function and psychiatric morbidity remains inconclusive, particularly regarding the association with antepartum depression (APD). This meta-analysis aimed to precisely quantify the association between the three primary maternal thyroid hormone concentrations—thyroid-stimulating hormone (TSH), free thyroxine (FT4), and free triiodothyronine (FT3)—measured in late pregnancy and in the presence of APD. Methods: We conducted a systematic review and meta-analysis of observational studies identified through comprehensive database searches (PubMed, Web of Science, Scopus). Four exploratory studies were ultimately included, enrolling a total of 689 participants. We used random-effects models to pool the mean difference (MD) in hormone concentrations between depressed and non-depressed cohorts. Subgroup analyses were performed based on the study population (general versus hypothyroid), and publication bias was assessed using Begg’s and Egger’s tests. Results: None of the pooled hormone concentrations demonstrated a statistically significant association with APD. The overall MDs were non-significant for TSH (MD = −0.07, 95% CI: [−0.32, 0.18], p = 0.59), FT4 (MD = −0.11, 95% CI: [−1.14, 0.92], p = 0.83), and FT3 (MD = 0.53, 95% CI: [−0.20, 1.25], p = 0.15). Substantial and significant heterogeneity was detected across all models (I2 ranging from 70% to 94%). This heterogeneity was largely driven by conflicting directional findings (some studies linking APD to hypothyroid trends, others to hyperthyroid trends), masking a potential non-linear or categorical effect. Statistical tests found no significant evidence of publication bias for TSH (p = 0.33), FT4 (p = 0.12), or FT3 (p = 0.33). Conclusions: The absolute mean concentrations of TSH, FT4, and FT3 in late pregnancy are not robust concurrent biomarkers for antepartum depressive symptoms. The high heterogeneity suggests that APD may be associated with categorical dysfunction (i.e., TSH levels at the extreme high or low ends of the reference range) rather than linear changes in hormone concentration. Future research should prioritize investigating categorical risks, the influence of thyroid autoimmunity, and employing gold-standard diagnostic interviews to better delineate the complex endocrinological risk factors for APD. Due to the limited number of studies, these results should be considered hypothesis-generating rather than confirmatory. PROSPERO registration: CRD420251233154. Full article
Show Figures

Figure 1

15 pages, 2081 KB  
Communication
Characterization of Salmonella spp. Based on CRISPR PCR and FT-IR Approaches: A Pilot Study in Northern Italy
by Clara Tramuta, Irene Floris, Monica Pitti, Giulia Federica Cazzaniga, Miriam Cordovana and Daniela Manila Bianchi
Pathogens 2026, 15(3), 267; https://doi.org/10.3390/pathogens15030267 - 2 Mar 2026
Abstract
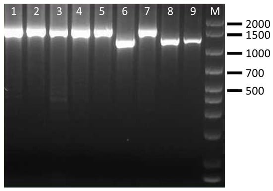
The aim of the present study was to employ a genotypic method (CRISPR PCR) and a phenotypic method (FT-IR combined with Linear Discriminant Analysis, LDA) for the rapid identification and discrimination of major virulent Salmonella serovars. Specifically, a total of 24 Salmonella Enteritidis, [...] Read more.
The aim of the present study was to employ a genotypic method (CRISPR PCR) and a phenotypic method (FT-IR combined with Linear Discriminant Analysis, LDA) for the rapid identification and discrimination of major virulent Salmonella serovars. Specifically, a total of 24 Salmonella Enteritidis, 24 Salmonella Typhimurium, 24 S. Typhimurium 4,5,12:i:-, and 14 Salmonella Infantis strains, previously serotyped according to the Kaufmann–White scheme, were analyzed. CRISPR PCR generated serotype-specific amplicons: 850 bp for S. Enteritidis, 700 bp and 2000 bp for S. Typhimurium, 1300 bp and 1500 bp for S. Typhimurium 4,5,12:i:-, and 1000 bp and 1900 bp for S. Infantis. FT-IR spectra of all serotypes were analyzed by LDA, which revealed a clear separation of three serotype-defined groups: S. Enteritidis, S. Infantis, and a group comprising S. Typhimurium and its monophasic variant 4,5,12:i:-. Further discrimination based on CRISPR-defined classes was observed within each serovar: two classes for S. Typhimurium, two for S. Typhimurium 4,5,12:i:-, and three for S. Infantis. Overall, the combined CRISPR PCR and FT-IR-LDA approach provides preliminary evidence supporting the potential application of a combined approach for the epidemiological surveillance of Salmonella. Full article
(This article belongs to the Special Issue Advances in Salmonella Epidemiology and Pathogenesis)
Show Figures

Figure 1

15 pages, 2233 KB  
Article
From Patient Liver Tissue to Organoids: Establishment of a Translational Platform Using Healthy, Steatotic, and Cirrhotic Tissue Sources
by Robert F. Pohlberger, Katharina S. Hardt, Mark P. Kühnel, Julian Palzer, Johanna Luisa Reinhardt, Oliver Beetz, Felix Oldhafer, Franziska A. Meister, Katja S. Just, Sarah K. Schröder-Lange, Danny Jonigk, Florian W. R. Vondran, Ralf Weiskirchen, Thomas Stiehl and Anjali A. Roeth
Cells 2026, 15(5), 432; https://doi.org/10.3390/cells15050432 - 28 Feb 2026
Viewed by 130
Abstract
Metabolic dysfunction-associated steatotic liver disease (MASLD) and its consequences represent a growing global health burden that urgently requires physiologically relevant in vitro models beyond conventional 2D culture systems. In this study, we report the successful establishment of 45 patient-derived liver organoid lines. These [...] Read more.
Metabolic dysfunction-associated steatotic liver disease (MASLD) and its consequences represent a growing global health burden that urgently requires physiologically relevant in vitro models beyond conventional 2D culture systems. In this study, we report the successful establishment of 45 patient-derived liver organoid lines. These organoids were generated from healthy, steatotic and cirrhotic tissues collected from 207 liver surgeries at RWTH University Hospital Aachen, with an initiation success rate of 82%. The organoids were propagated for at least six passages using an optimized protocol. Multiplex immunofluorescence analysis revealed highly proliferative structures with approximately 40% Ki-67-positive cells expressing hepatocyte (Albumin and HNF4α) and cholangiocyte (CK19) markers. Intermittent LGR5 staining suggested the presence of liver progenitor cell features. Quantitative PCR results confirmed variable HNF4α expression, indicating inter-patient heterogeneity in differentiation status. Time-lapse imaging combined with mathematical modeling uncovered a biphasic growth dynamic with an initial linear expansion in the first 15 h, followed by exponential growth (doubling time ≈ 20.6 h) between 30 and 72 h. Overall, our workflow produced genetically and phenotypically stable liver organoids that recapitulate essential features of various hepatic conditions. This provides a solid foundation for disease modeling, potential drug testing, and quantitative systems biology. Full article
(This article belongs to the Section Tissues and Organs)
Show Figures

Figure 1

16 pages, 3556 KB  
Article
FeMnO3: Synthesis, Morphology, Dielectric Properties, and Electrochemical Behavior Toward HER by LSV
by Mukhametkali Mataev, Zamira Sarsenbaeva, Marzhan Nurbekova, Ramachandran Krishnamoorthy, Bahadir Keskin, Moldir Abdraimova, Zhanar Tursyn, Karima Seitbekova and Zhadyra Durmenbayeva
Nanomaterials 2026, 16(5), 310; https://doi.org/10.3390/nano16050310 - 27 Feb 2026
Viewed by 109
Abstract
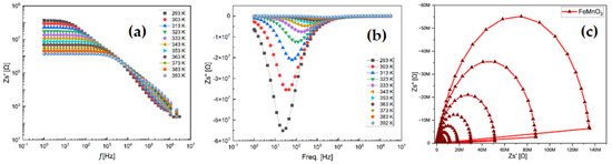
This paper presents a comprehensive investigation into the synthesis, morphological characteristics, electrical conductivity, dielectric behavior, and electrocatalytic activity of perovskite-structured iron manganite (FeMnO3), with a specific focus on its performance in the hydrogen evolution reaction (HER). FeMnO3(FMO) nanoparticles (NPs) [...] Read more.
This paper presents a comprehensive investigation into the synthesis, morphological characteristics, electrical conductivity, dielectric behavior, and electrocatalytic activity of perovskite-structured iron manganite (FeMnO3), with a specific focus on its performance in the hydrogen evolution reaction (HER). FeMnO3(FMO) nanoparticles (NPs) were synthesized using a sol–gel-type Pechini method and characterized by X-ray diffraction (XRD), Fourier-transform infrared spectroscopy (FT-IR), and field-emission scanning electron microscopy combined with energy-dispersive X-ray spectroscopy (FESEM-EDS). XRD analysis confirmed the formation of a crystalline structure with cubic symmetry assigned to the Ia-3 space group, with an average crystallite size of 52.47 nm. FESEM images revealed a relatively uniform morphology with an average particle diameter of 55.84 nm. The redox and oxidation states of Fe and Mn can be studied by temperature-programmed oxidation (TPO-O2) in order to understand oxygen uptake and metal oxidation processes occurring within the FMO lattice. The dielectric constant, dielectric loss, electric modulus and electrical conductivity were calculated as a function of frequency and temperature using a Novocontrol Alpha-A broadband dielectric spectrometer (Novocontrol system) coupled with the LCR-800 precision meter. The dielectric data reveal that the FMO has semiconducting behavior with dominant charge- or ionic-relaxation processes. The electrocatalytic activity toward the HER was evaluated using linear sweep voltammetry (LSV), with the working electrode modified by an FMO catalyst ink. The material exhibited significant catalytic activity within the HER potential range, and an increase in the number of cycles led to stabilized current and enhanced hydrogen evolution. These results highlight the stability of FeMnO3 for hydrogen generation. Full article
Show Figures

Figure 1

18 pages, 491 KB  
Article
Relationship Between Diet Quality, Intestinal Permeability, and Gut Microbiota Features in Individuals with Obesity
by Sarah M. Eaton, Weiwen Chai, Olivia Moss, Edward C. Deehan, Victoria Texieira Reis, Ali Keshavarzian and Heather E. Rasmussen
Nutrients 2026, 18(5), 775; https://doi.org/10.3390/nu18050775 - 27 Feb 2026
Viewed by 141
Abstract
Background/Objectives: This study examined relationships between diet quality, as determined using three a priori-defined dietary patterns (Healthy Eating Index of 2010 dietary guidelines [HEI-2010], Mediterranean Dietary Pattern [MDP], and Dietary Approaches to Stop Hypertension [DASH]), intestinal permeability, and features of the gut microbiota [...] Read more.
Background/Objectives: This study examined relationships between diet quality, as determined using three a priori-defined dietary patterns (Healthy Eating Index of 2010 dietary guidelines [HEI-2010], Mediterranean Dietary Pattern [MDP], and Dietary Approaches to Stop Hypertension [DASH]), intestinal permeability, and features of the gut microbiota in a diverse, obese sample. Methods: This was a post hoc, cross-sectional study including 103 healthy, obese individuals (43.8 ± 11.3 years, BMI: 37.5 ± 6.1 kg/m2, 64.1% African American). Dietary intake was assessed using the Vioscreen food frequency questionnaire. Intestinal permeability was assessed via urinary sugar excretion and microbiota features were characterized using 16S rRNA gene amplicon sequencing. Relationships between dietary pattern adherence, intestinal permeability, and gut microbiota were assessed using correlation coefficients and a general linear model. Results: Higher dietary pattern scores correlated with lower levels of intestinal permeability measures such as 24 h urinary sucralose (HEI-2010: r = −0.33, p = 0.002; MDP: r = −0.31, p = 0.004; DASH: r = −0.38, p < 0.0001) and 24 h sucralose-to-lactulose ratio (HEI-2010: r = −0.23, p = 0.03; MDP: r = −0.32, p = 0.003; DASH: r = −0.24, p = 0.03). Fruit intake consistently correlated with lower intestinal permeability measures (p < 0.05) across all three dietary patterns. Higher DASH scores correlated with lower Proteobacteria (r = −0.28, p = 0.004) and higher Verrucomicrobia (r = 0.30, p = 0.002) phylum abundance. Conclusions: The current results suggest a potential role for diet quality in promoting intestinal health. Full article
Show Figures

Figure 1

18 pages, 1120 KB  
Article
Elixhauser Comorbidity Index to Predict Perioperative Bleeding and Adverse Spine Surgery Outcomes
by Mitchell K. Ng, Michael A. Mont, Mosadoluwa Afolabi, Prathiksha N. V, Amitha Kumar and Stephen S. Johnston
J. Clin. Med. 2026, 15(5), 1791; https://doi.org/10.3390/jcm15051791 - 27 Feb 2026
Viewed by 84
Abstract
Introduction: As spine surgery volume continues to grow, ensuring patient safety and minimizing complications are increasingly critical. Disruptive bleeding—defined as hemorrhagic events requiring clinical intervention—is a significant perioperative challenge. This study aimed to: (1) quantify disruptive bleeding incidence; (2) evaluate associations between patient [...] Read more.
Introduction: As spine surgery volume continues to grow, ensuring patient safety and minimizing complications are increasingly critical. Disruptive bleeding—defined as hemorrhagic events requiring clinical intervention—is a significant perioperative challenge. This study aimed to: (1) quantify disruptive bleeding incidence; (2) evaluate associations between patient demographics, Elixhauser Comorbidity Index (ECI), and bleeding risk; and (3) assess the impact of disruptive bleeding on mortality, ventilator use, length of inpatient stay, 90-day readmissions, and inpatient costs. Methods: A nationwide healthcare database was used to identify patients who underwent spine surgery in 2019. Patients were subdivided by the Elixhauser Comorbidity Index (ECI) from 0 to ≥6, and multivariate logistic regression was employed to analyze for potential association with disruptive bleeding. Odds ratios (ORs) and corresponding 95% confidence intervals (CIs) were calculated for each ECI classification. After controlling for baseline demographics, generalized linear models were used to evaluate how disruptive bleeding influenced hospital mortality, ventilator use, 90-day readmission rates, lengths of inpatient stay, and inpatient costs. Results: Among 165,461 patients undergoing spine surgery, 15,337 (9.3%) experienced disruptive bleeding. Women and Medicare coverage were associated with higher bleeding risk (p < 0.05). Disruptive bleeding odds increased with comorbidity burden, ranging from OR = 2.31 (95% CI 1.92–2.77) for ECI = 5 to OR = 3.32 (95% CI 2.73–4.06) for ECI ≥ 6. Disruptive bleeding was associated with increased ventilator use (18.4 versus 8.2% for ECI ≥ 6; p < 0.001) and inpatient mortality (3.0 versus 0.7% for ECI ≥ 6; p < 0.001). Hospital stays were significantly prolonged (10.4 versus 6.6 days for ECI ≥ 6; p < 0.001), 90-day readmission rates were higher (19.8 versus 14.7%; p < 0.001), and inpatient costs increased substantially ($68,000 versus $37,500; p < 0.001). Conclusions: Disruptive bleeding in spine surgery is more frequent among patients with elevated comorbidity burdens and is linked to greater mortality, ventilator dependence, and healthcare resource use. These findings highlight the importance of proactive risk stratification and targeted perioperative management strategies for high-risk patients undergoing spine surgery. Full article
(This article belongs to the Special Issue Clinical Advancements in Spine Surgery: Best Practices and Outcomes)
Show Figures

Figure 1

19 pages, 5660 KB  
Article
Efficient Determination of β-Agonists in Environmental Water and Animal-Derived Matrices by NH2-UiO-66 Based d-SPE Coupled with UPLC-MS/MS: Performance, Mechanism and Application
by Chujun Liu, Yuliang Xu, Sihan Wang, Boyan Sun, Zimo Liu, Qian Ran, Jiankang Ren, Zhiyue Feng, Jie Xie and Haiyang Jiang
Agriculture 2026, 16(5), 519; https://doi.org/10.3390/agriculture16050519 - 26 Feb 2026
Viewed by 157
Abstract
β-agonists are prohibited antibiotics that have raised concerns due to their illegal use in the livestock industry, posing potential toxicity risks to human health. For ultra-performance liquid chromatography–tandem mass spectrometry (UPLC-MS/MS) analysis of β-agonists, effective sample pretreatment is a crucial and [...] Read more.
β-agonists are prohibited antibiotics that have raised concerns due to their illegal use in the livestock industry, posing potential toxicity risks to human health. For ultra-performance liquid chromatography–tandem mass spectrometry (UPLC-MS/MS) analysis of β-agonists, effective sample pretreatment is a crucial and challenging process that dictates the overall reliability and sensitivity of the method. Thus, this study developed a reliable method utilizing dispersive solid-phase extraction (d-SPE) with NH2-UiO-66 as a superior adsorbent, coupled with UPLC-MS/MS, to extract and quantify β-agonists in environmental water, swine urine, and milk. The synthesized NH2-UiO-66 exhibited outstanding adsorption capacities (146.06–358.00 mg/g) towards the target analytes. The optimized method demonstrated excellent performance: low matrix effects (−13.10–15.30%), wide linearity (0.1–50 μg/L), low limits of detection (0.04–0.09 μg/L), and satisfactory recoveries (81.48–106.67%) with good precision (intra-day RSDs 1.51–6.24%; inter-day RSDs 2.06–10.96%). Adsorption mechanism studies revealed that the extraction process, which followed the Langmuir isotherm and pseudo-second-order kinetic models, was driven primarily by electrostatic interactions, π-π stacking, and hydrogen bonding. Moreover, the material could be reused up to 10 times, with satisfactory recoveries of 81.30% to 116.10%. The proposed NH2-UiO-66-d-SPE-UPLC-MS/MS protocol is generic and provides a robust and practical solution for monitoring trace β-agonists in animal-derived foods and environmental samples, ensuring food safety and environmental health. Full article
(This article belongs to the Special Issue Antibiotic Detection in Animal-Derived Agricultural Products)
Show Figures

Figure 1

18 pages, 1912 KB  
Article
Synergistic Enhancement of Electrochemical-Oxidative Chlorine-Free Bromine Extraction from Oil and Gas Field Water by Zero-Gap Electrolyzer and Carbon Cloth Electrode: A Study on Efficient, Selective Extraction and Resistance to Other Ions
by Shiyong Zhou, Rong Ji and Yuan Li
Materials 2026, 19(5), 850; https://doi.org/10.3390/ma19050850 - 25 Feb 2026
Viewed by 145
Abstract
Bromine, as a strategic fundamental chemical raw material, is crucial for modern industry, but the traditional chlorine displacement method poses safety risks in oilfield brine development and faces challenges like resource depletion and inefficient utilization. Addressing the need for high-concentration bromine brine development [...] Read more.
Bromine, as a strategic fundamental chemical raw material, is crucial for modern industry, but the traditional chlorine displacement method poses safety risks in oilfield brine development and faces challenges like resource depletion and inefficient utilization. Addressing the need for high-concentration bromine brine development in underground oilfields, this study developed an electrochemical oxidation-based chlorine-free bromine extraction technology. Leveraging the standard redox potential difference between Br and Cl (0.271 V), the effective potential window for selective Br oxidation was determined as 1.0–1.52 V (vs. SHE) via linear sweep voltammetry (LSV). Within this window, efficient and preferential oxidation of Br over Cl and OH was achieved. In simulated brine with high chloride and low bromide concentrations, a Br conversion rate of 92.3% was attained with no Cl2 generation. The self-designed zero-gap electrolyzer with carbon cloth as the anode reduced the reaction time by over 75% compared to a traditional H-type cell, oxidizing over 90% of Br within 12 min. Kinetic studies revealed that the reaction follows first-order kinetics, with current intensity positively correlated with Br concentration. Investigation of coexisting ions revealed that low concentrations of Cl promote the reaction, while high concentrations exert inhibitory effects. CO32− exhibits a weak promoting effect, and Ca2+/Mg2+ show negligible impact. Notably, organic matter (e.g., ethylene glycol) concentrations exceeding 80 mg/L substantially compromise bromine recovery efficiency. This technology provides a feasible solution for the safe and green development of high-concentration bromine resources and holds significant importance for the upgrading of the bromine chemical industry. Full article
Show Figures

Graphical abstract

18 pages, 1444 KB  
Article
Molecular Modelling of Anti-Inflammatory Activity: Application of the ToSS-MoDE Approach to Synthetic and Natural Compounds
by Manuel Londa Vueba, Ana Figueiras and Luis Alberto Torres Goméz
Biophysica 2026, 6(2), 16; https://doi.org/10.3390/biophysica6020016 - 24 Feb 2026
Viewed by 116
Abstract
Traditional drug design methods based on trial and error are costly and inefficient. The computational approach ToSS-MoDE (Topological Substructural Molecular Design) offers an alternative by linking molecular descriptors to biological activity. To develop a QSAR model to predict the anti-inflammatory activity of synthetic [...] Read more.
Traditional drug design methods based on trial and error are costly and inefficient. The computational approach ToSS-MoDE (Topological Substructural Molecular Design) offers an alternative by linking molecular descriptors to biological activity. To develop a QSAR model to predict the anti-inflammatory activity of synthetic and natural compounds using weighted spectral moments. Spectral moments (µk) were calculated from the adjacency matrix between bonds for 410 compounds (180 active and 230 inactive). MODESLAB software (MICROSOFT OFFICE 365) was used to generate descriptors, and Linear Discriminant Analysis (LDA) was applied to classify activity. The model was validated with an external series of 62 compounds. Results. The model showed an overall classification of 91.59% in the training series and 90.2% in validation. The spectral moments µ0, µ3, µ4, and µ5 were the most significant. Diosgenin, a natural metabolite, showed potential anti-inflammatory activity (classification probability: 81%). The model showed strong training performance (91.7% accuracy) and promising external performance for confidently classified compounds. All datasets, descriptor-generation settings, coefficients, and posterior probabilities are fully described in the main text to ensure full reproducibility. Full article
(This article belongs to the Collection Feature Papers in Biophysics)
Show Figures

Figure 1

15 pages, 1494 KB  
Article
Non-Destructive Structural Deformation Reconstruction via Data-Driven Modal Superposition
by Gabriele Liuzzo and Pierluigi Fanelli
Appl. Sci. 2026, 16(5), 2168; https://doi.org/10.3390/app16052168 - 24 Feb 2026
Viewed by 92
Abstract
Modal superposition enables efficient estimation of full-field structural displacements from sparse measurements, forming a keystone of structural health monitoring (SHM) in linear elastic systems. Accurate reconstruction critically depends on selection of the most relevant vibration modes, traditionally guided by the Internal Strain Potential [...] Read more.
Modal superposition enables efficient estimation of full-field structural displacements from sparse measurements, forming a keystone of structural health monitoring (SHM) in linear elastic systems. Accurate reconstruction critically depends on selection of the most relevant vibration modes, traditionally guided by the Internal Strain Potential Energy Criterion (ISPEC), which identifies modes contributing most to internal strain energy. However, the purely analytical formulation of ISPEC requires full knowledge of the deformation field, limiting its applicability in real-time monitoring. This study extends ISPEC using supervised machine learning to enable adaptive mode selection for previously unseen deformation states. A Random Forest classifier is trained on synthetic deformation data generated from a finite element model of a square steel plate. Measurement signals are obtained from a transient analysis in which harmonic displacements are applied to four nodes at the plate plane. Reconstruction performance is evaluated numerically by comparing predicted displacements against reference finite element solutions, using instantaneous residuals, normalised root-mean-square error (NRMSE) and normalised cross-correlation. Results demonstrate that the hybrid ISPEC–machine learning approach accurately reconstructs full-field deflections from eight measurement nodes, with NRMSE typically below 5% and cross-correlation above 0.75. Minor overestimation at peak deflections indicates conservative predictions, while computational efficiency allows real-time implementation. Full article
(This article belongs to the Special Issue Innovative Approaches to Non-Destructive Evaluation)
Show Figures

Figure 1

13 pages, 1195 KB  
Article
Exposure to Environmental Levels of Fluoxetine and Atrazine Increases Latency to Aggression in the Siamese Fighting Fish, Betta splendens
by Katelyn Rose Lee, Sedona Gillard, Ben McDonnell, Jenna Dubrule, David MacLaren and William G. McDowell
Fishes 2026, 11(2), 126; https://doi.org/10.3390/fishes11020126 - 23 Feb 2026
Viewed by 289
Abstract
This study investigates the effects of environmentally relevant concentrations of atrazine and fluoxetine, both individually and in combination, on aggressive behavior in male Betta splendens (B. splendens). Controlled behavioral assays were used to test the hypothesis that both individual and combined [...] Read more.
This study investigates the effects of environmentally relevant concentrations of atrazine and fluoxetine, both individually and in combination, on aggressive behavior in male Betta splendens (B. splendens). Controlled behavioral assays were used to test the hypothesis that both individual and combined exposures would alter aggressive behavior, primarily by delaying the initiation of aggression and reducing the duration of specific displays. Twelve low-concentration (15 µg/L atrazine; 0.54 µg/L fluoxetine) and six high-concentration (30 µg/L atrazine; 1.08 µg/L fluoxetine) acute exposure trials were conducted. Latency to respond (LTR), broadside display (BSD), and frontal display (FD) were recorded over three days of male conspecific interactions. We analyzed the results using a negative binomial general linear model with day, atrazine, fluoxetine, and the interaction between the two compounds as predictors of the three behavioral responses. Results found that exposure to both compounds at either concentration significantly reduced aggressive behaviors compared to controls, increasing the latency to respond and decreasing broadside display and frontal display. For the low-concentration experiments, there were significant antagonistic effects from the interaction between fluoxetine and atrazine for all three behavioral responses (LTR p = 0.002, BSD p < 0.001, FD p < 0.001), with the combination of the two compounds showing a smaller impact than predicted by each singly. For the high-concentration experiments, there was a significant antagonistic interaction for BSD (p < 0.0001) and a marginally significant antagonistic interaction for LTR (p = 0.078). These findings suggest that these compounds can delay the onset and reduce the intensity of aggressive behaviors, underscoring the potential disruption of neurobehavioral pathways essential for survival, though the impact of these chemicals is altered by exposure conditions. This research highlights how environmental concentrations of common contaminants, especially in combination, may impair ecologically relevant behaviors in chemically impacted freshwater habitats. Full article
(This article belongs to the Special Issue Toxicology of Anthropogenic Pollutants on Fish)
Show Figures

Graphical abstract

37 pages, 6774 KB  
Article
Evaluating WELL-Informed Biophilic Façades in Automated Retail Environments: A Multimodal Eye-Tracking and Facial Expression Analysis
by Jie Yun and Nayeon Kim
Buildings 2026, 16(4), 876; https://doi.org/10.3390/buildings16040876 - 22 Feb 2026
Viewed by 279
Abstract
Global urbanization redirects attention toward the sensory quality of the built environment as a decisive factor in public health and psychological resilience. In automated retail, façades function as sensory interfaces to mitigate the psychological alienation and sensory deprivation inherent in automated nodes. This [...] Read more.
Global urbanization redirects attention toward the sensory quality of the built environment as a decisive factor in public health and psychological resilience. In automated retail, façades function as sensory interfaces to mitigate the psychological alienation and sensory deprivation inherent in automated nodes. This preliminary study proposes and empirically validates a multimodal evaluation framework for assessing WELL-informed, AI-generated biophilic façade designs in automated retail contexts. Grounded in Environment-Based Design (EBD) theory, the framework systematically integrates health-oriented design logic with generative AI–based façade synthesis and multimodal human-response evaluation. To evaluate the effectiveness of the proposed methodology, this study pursued three specific objectives: (1) to utilize a curated series of architectural façade variations with calibrated biophilic complexity derived from an environment-based AI generative framework, as experimental stimuli, (2) to quantify subconscious responses represented by gaze patterns and behavioral indicators elicited by these configurations, and (3) to analyze the correlation and potential divergence between implicit physiological responses and explicit conscious aesthetic appraisals. The multimodal experiment involving 30 participants integrated eye-tracking, facial expression analysis, and Semantic Differential (SD) scales. Area of Interest (AOI)-based visual attention analysis indicated that biophilic complexity, particularly the integration of organic patterns and natural materials, significantly enhanced subconscious visual interest and sustained engagement within specific design zones. The findings unveiled a complexity–aesthetic paradox where subconscious physiological and behavioral indicators exhibited peak engagement with high-complexity patterns while conscious aesthetic preference favored material-driven structural clarity. Statistical verification via repeated measures correlation analysis revealed a lack of significant linear association between instinctive physiological engagement and explicit aesthetic appraisal, highlighting a notable divergence between implicit and explicit responses. In conclusion, grounded in an EBD–driven evaluation framework, this research establishes a systematic evaluation methodology for health-conscious design, recommending a material-first strategy with pattern as an enhancement to align subconscious fascination with psychological comfort. Full article
Show Figures

Figure 1

11 pages, 329 KB  
Article
Evaluation of the Effectiveness of a School-Based Smoking Prevention Program Among Young Adolescents in Central Greece: An Analytical, Non-Randomized Interventional Study
by Sofia Maria Panagiotidou, Maria Tziastoudi, Marios Politis, Chrissi Hatzoglou, Ioannis Stefanidis, Panagiotis Behrakis, Christos Hadjichristodoulou and Georgios Rachiotis
Int. J. Environ. Res. Public Health 2026, 23(2), 270; https://doi.org/10.3390/ijerph23020270 - 22 Feb 2026
Viewed by 225
Abstract
Background: Smoking remains a major global public health challenge. As smoking often begins in early adolescence, early preventive programs are essential, yet research focusing exclusively on elementary school students is limited. This study measured smoking prevalence, smoking-related knowledge and attitudes, and the impact [...] Read more.
Background: Smoking remains a major global public health challenge. As smoking often begins in early adolescence, early preventive programs are essential, yet research focusing exclusively on elementary school students is limited. This study measured smoking prevalence, smoking-related knowledge and attitudes, and the impact of a school-based intervention on these outcomes among 12–13-year-old students in Larissa, Greece. Methods: A total of 769 students participated (response rate: 75%). Knowledge, attitudes, and smoking prevalence were assessed at baseline. The intervention group (n = 316) was exposed to audiovisual and printed materials, and both groups were followed up at three- and twelve months post-intervention. Multivariable linear mixed-effects models and generalized estimating equations were used to evaluate intervention effects. Results: Baseline characteristics were balanced between groups. A statistically significant stage × group interaction was observed, indicating improvements in smoking-related knowledge and attitudes (p < 0.001) and a reduced likelihood of smoking initiation (p = 0.011) in the intervention group. Conclusions: This school-based intervention demonstrated significant improvements in knowledge and attitudes toward smoking and reduced the likelihood of smoking initiation. These findings support integrating early prevention programs into school curricula as a potentially effective approach to improving smoking-related outcomes. Full article
Show Figures

Figure 1

30 pages, 1710 KB  
Article
Potential Analysis of a Novel Disposition Approach for Mixed-Electrified Truck Fleets Using Bidirectional Charging for Vehicle-to-Grid Integration
by Tom Winkler, Marcel Brödel, Niclas Klein, Anna Paper and Markus Lienkamp
Future Transp. 2026, 6(1), 50; https://doi.org/10.3390/futuretransp6010050 - 20 Feb 2026
Viewed by 237
Abstract
Global greenhouse gas emissions must be reduced to meet the targets of the Paris Climate Accords. This study quantifies the potential energy cost savings of a holistic disposition approach for mixed-electrified heavy-duty truck fleets. Electrifying heavy-duty trucks reduces energy costs compared to traditional [...] Read more.
Global greenhouse gas emissions must be reduced to meet the targets of the Paris Climate Accords. This study quantifies the potential energy cost savings of a holistic disposition approach for mixed-electrified heavy-duty truck fleets. Electrifying heavy-duty trucks reduces energy costs compared to traditional diesel-powered baselines. On-site energy generation further decreases electrification expenses. Bidirectional vehicle-to-grid participation also contributes to lowering energy costs. A mixed-integer linear programming optimization algorithm has been developed to incorporate these three approaches into the fleet’s disposition decisions. Real-world data have been utilized, including commercial order datasets, diesel prices, on-site-generated electrical energy prices, and vehicle-to-grid prices. Cost savings start at an average of 17% for small fleets with limited electrification and unfavorable price scenarios. However, they can reach net revenue generation for large fleets with high electrification and favorable price scenarios. A daily surplus of fleet energy costs can be achieved, with vehicle-to-grid revenues surpassing the costs of energy consumed. Ensuring battery electric heavy-duty trucks are available during high-revenue periods and operating during low-revenue times can lower overall fleet energy costs for commercial operators and improve power grid stability. By turning energy costs into net surpluses, this approach provides a financial incentive that could accelerate the transition to greenhouse-gas-neutral transport. Full article
(This article belongs to the Special Issue Advanced Research on Electric Vehicles)
Show Figures

Figure 1

Back to TopTop