Sign in to use this feature.

Years

Between: -

Subjects

remove_circle_outline
remove_circle_outline
remove_circle_outline
remove_circle_outline
remove_circle_outline
remove_circle_outline
remove_circle_outline
remove_circle_outline
remove_circle_outline

Journals

remove_circle_outline
remove_circle_outline
remove_circle_outline
remove_circle_outline
remove_circle_outline
remove_circle_outline
remove_circle_outline
remove_circle_outline
remove_circle_outline
remove_circle_outline
remove_circle_outline
remove_circle_outline
remove_circle_outline
remove_circle_outline
remove_circle_outline
remove_circle_outline
remove_circle_outline
remove_circle_outline
remove_circle_outline
remove_circle_outline
remove_circle_outline
remove_circle_outline
remove_circle_outline
remove_circle_outline
remove_circle_outline
remove_circle_outline
remove_circle_outline
remove_circle_outline
remove_circle_outline
remove_circle_outline
remove_circle_outline
remove_circle_outline
remove_circle_outline
remove_circle_outline
remove_circle_outline
remove_circle_outline

Article Types

Countries / Regions

remove_circle_outline
remove_circle_outline
remove_circle_outline
remove_circle_outline
remove_circle_outline
remove_circle_outline
remove_circle_outline
remove_circle_outline
remove_circle_outline
remove_circle_outline
remove_circle_outline

Search Results (3,817)

Search Parameters:
Keywords = limit of movement

Order results
Result details
Results per page
Select all
Export citation of selected articles as:
25 pages, 5664 KB  
Article
Bridging Heterogeneous Experimental Data and Soil Mechanics: An Interpretable Machine Learning Framework for Displacement-Dependent Earth Pressure
by Tianqin Zeng, Zhe Zhang and Yongge Zeng
Buildings 2026, 16(3), 601; https://doi.org/10.3390/buildings16030601 (registering DOI) - 1 Feb 2026
Abstract
Classical earth pressure theories often struggle to account for the complex coupling effects of wall displacement and spatial non-uniformity under non-limit states. This study presents an interpretable machine learning framework designed to extract universal mechanical laws from heterogeneous experimental datasets. Using a multi-source [...] Read more.
Classical earth pressure theories often struggle to account for the complex coupling effects of wall displacement and spatial non-uniformity under non-limit states. This study presents an interpretable machine learning framework designed to extract universal mechanical laws from heterogeneous experimental datasets. Using a multi-source database of rigid retaining walls with sandy backfill, a three-stage feature refinement strategy is proposed that incorporates Recursive Feature Elimination, Collinearity Analysis, and Interpretability Comparison to identify a parsimonious set of five fundamental physical parameters. A SHapley Additive exPlanations-Categorical Boosting (CatBoost-SHAP) framework is established to predict the active earth pressure coefficient (K) and interpret the underlying mechanisms across various movement modes (RB, RT, and T). Results demonstrate that the model effectively captures the progressive evolution of shear bands and the soil arching effect. Specifically, a critical displacement threshold of Δ/H ≈ 0.006 is identified, marking the transition from mode-dominated stress non-uniformity to magnitude-driven limit states. Leave-One-Dataset-Out Cross-Validation (LODOCV) confirms the model’s ability to maintain physical consistency over purely statistical fitting despite significant inter-literature heterogeneity. Finally, a Graphical User Interface (GUI) is developed to facilitate rapid, displacement-based design in engineering practice. This research bridges the gap between empirical laboratory observations and generalized mechanical logic, providing a data-driven foundation for refined geotechnical design. Full article
Show Figures

Figure 1

28 pages, 4086 KB  
Article
Fractal-Controlled Multiscale Evolution of Gas–Water Two-Phase Flow Patterns in Rough Sheared Fractures: A Pressure-Based Predictive Framework
by Kangsheng Xue, Hai Pu, Junce Xu, Bowen Hu, Lulu Liu, Yanlong Chen, Yu Wu and Ming Li
Fractal Fract. 2026, 10(2), 97; https://doi.org/10.3390/fractalfract10020097 (registering DOI) - 1 Feb 2026
Abstract
The roughness of rock fractures has complex features that affect how fluids move through them. This research looks at how gas and water flows change in rough fractures when they are moved using a model based on fractal geometry. Rough surfaces are created [...] Read more.
The roughness of rock fractures has complex features that affect how fluids move through them. This research looks at how gas and water flows change in rough fractures when they are moved using a model based on fractal geometry. Rough surfaces are created using a method called fractional Brownian motion. When the surfaces are moved, the space in the fractures becomes uneven. By using a level-set method together with a fluid flow model, the study explores how the speed the fluid enters, the roughness of the surface, and the movement of the surfaces affect the change between bubble, slug, and ring-like flow. The results indicate that more roughness and movement make the flow less stable, which causes a reverse change from ring-like flow to slug and bubble flow. A framework based on pressure is built, showing that the outlet pressure decreases quickly with fluid speed, rises steadily with roughness, and changes in a square relation with movement. A single prediction formula is made with R2 = 0.98, allowing precise identification of the flow types using pressure change limits. This research gives insights into flow changes in fractured reservoirs and offers a way to predict flow in real-time. Full article
(This article belongs to the Section Engineering)
19 pages, 2059 KB  
Article
WM-Classroom v1.0: A Didactic Multi-Species Agent-Based Model to Explore Predator–Prey–Harvest Dynamics
by Alberto Caccin and Alice Stocco
Wild 2026, 3(1), 8; https://doi.org/10.3390/wild3010008 (registering DOI) - 1 Feb 2026
Abstract
We present WM-Classroom v1.0, a pedagogical multi-species agent-based model (ABM) designed for educational purposes in predator–prey–harvest systems. The model embeds a predator, two prey breeds, and human harvesters on a homogeneous 50 × 50 grid with weekly time steps, implementing random movement, abstract [...] Read more.
We present WM-Classroom v1.0, a pedagogical multi-species agent-based model (ABM) designed for educational purposes in predator–prey–harvest systems. The model embeds a predator, two prey breeds, and human harvesters on a homogeneous 50 × 50 grid with weekly time steps, implementing random movement, abstract energetics, prey consumption, reproduction, legal harvest with species-specific cut-offs and seasons, optional predator control, and a poaching switch. After basic technical checks (energetic calibration, prey composition, herbivore viability), we explore the consistency of the model under illustrative scenarios including no hunting, single-prey harvest, hunter-density and season-length gradients, predator removal, and poaching. In the no-hunting baseline (n = 100), mean end-of-run abundances were 22 deer, 159 boar, and 45 wolves, with limited extinction events. Deer-only harvest often drove deer to very low end-of-run counts (mean 1–16) with extinctions in 2–7/10 replicates across cut-offs, whereas boar-only harvest showed higher persistence (mean 11–74) and boar extinctions occurred only at the lowest cut-off (3/10). Increasing hunter numbers or season length depressed prey and could indirectly reduce wolves via prey depletion. Legal predator control reduced predators as designed, while poaching had little effect under the implemented rules. Because interaction and prey-choice rules are simplified for transparency, outcomes should be interpreted as conditional on model assumptions. WM-Classroom v1.0 provides a didactic sandbox for courses, professional training, and outreach, with extensions (habitat heterogeneity, age/sex structure, probabilistic diet/kill success, and calibration/validation) outlined for future versions. Full article
Show Figures

Figure 1

33 pages, 963 KB  
Review
Transcranial Magnetic Stimulation in Parkinson’s Disease and Parkinsonian Syndromes: A Narrative Expert Review
by Mariagiovanna Cantone, Manuela Pennisi, Rita Bella, Raffaele Ferri, Francesco Fisicaro, Giuseppe Lanza, Maria P. Mogavero, Aurora Palmigiano, Angelica Quercia and Mario Zappia
Life 2026, 16(2), 233; https://doi.org/10.3390/life16020233 (registering DOI) - 1 Feb 2026
Abstract
Transcranial magnetic stimulation (TMS) is a non-invasive brain stimulation tool for investigating the neurophysiology of different neurological and neuropsychiatric disorders, including Parkinson’s disease (PD) and other parkinsonian syndromes and movement disorders. Briefly, TMS enables targeted stimulation of specific cortical regions through externally applied [...] Read more.
Transcranial magnetic stimulation (TMS) is a non-invasive brain stimulation tool for investigating the neurophysiology of different neurological and neuropsychiatric disorders, including Parkinson’s disease (PD) and other parkinsonian syndromes and movement disorders. Briefly, TMS enables targeted stimulation of specific cortical regions through externally applied magnetic pulses, avoiding surgical intervention (as it occurs in deep brain stimulation) and making it a safe, repeatable, and well-tolerated approach. Over the past two decades, extensive research has explored the clinical utility of TMS in PD, with particular emphasis on motor cortex excitability, synaptic plasticity, and functional connectivity, which are central contributors to both motor and non-motor symptoms in PD patients. In addition, repetitive TMS and related stimulation paradigms have been shown to positively modulate cortical plasticity, i.e., the brain’s capacity to reorganize neural circuits, suggesting potential benefits for longer-term non-pharmacological management and rehabilitation protocols. More recently, studies have also investigated the role of TMS in atypical and secondary parkinsonisms, indicating that it may help characterize distinct neurophysiological abnormalities and provide symptomatic improvement in selected patients. This narrative expert review provides a comprehensive summary of TMS applications across the wide spectrum of parkinsonian syndromes, highlighting not only clinical potential, but also methodological limitations and future research directions. Full article
(This article belongs to the Special Issue Advances in Non-Invasive Brain Stimulation)
Show Figures

Figure 1

35 pages, 8263 KB  
Article
Multi-Strategy Variable Secretary Bird Optimization Algorithm (MSVSBOA) for Global Optimization and UAV 3D Path Planning
by Amir Seyyedabbasi
Symmetry 2026, 18(2), 273; https://doi.org/10.3390/sym18020273 (registering DOI) - 31 Jan 2026
Abstract
In this study, an enhanced variant of the Secretary Bird Optimization Algorithm (SBOA), named MSVSBOA, is proposed to address the limitations of the SBOA in global optimization and UAV 3D path-planning. The proposed MSVSBOA integrates three complementary strategies to achieve a balanced exploration [...] Read more.
In this study, an enhanced variant of the Secretary Bird Optimization Algorithm (SBOA), named MSVSBOA, is proposed to address the limitations of the SBOA in global optimization and UAV 3D path-planning. The proposed MSVSBOA integrates three complementary strategies to achieve a balanced exploration and exploitation trade-off. First, a Levy-based Directed Exploration mechanism is introduced to enrich the global search capability and prevent premature convergence. Second, a spiral movement mechanism is incorporated to strengthen the local exploitation behavior and improve convergence accuracy. Third, a Differential Evolution-inspired refinement strategy (DE-Refinement) is employed to accelerate fine-grained exploitation during the later stages of optimization. The performance of the MSVSBOA is extensively evaluated on the CEC 2014 and CEC 2022 benchmark suites. Experimental results demonstrate that the MSVSBOA achieves superior accuracy, faster convergence, and improved robustness compared to the SBOA and other multi-strategy variants. Furthermore, the MSVSBOA is applied to a challenging UAV 3D path planning problem, where it successfully generates safe, smooth, and collision-free trajectories while outperforming competing algorithms. These findings confirm the effectiveness of the proposed MSVSBOA for both global optimization problems and real-world UAV applications. Full article
15 pages, 1283 KB  
Article
From Walking to Climbing: Electromyography Analysis of Locomotion Transition Demands for Prioritizing Exoskeleton Assistance in Construction
by Ehsan Shourangiz, Chao Wang and Fereydoun Aghazadeh
Theor. Appl. Ergon. 2026, 2(1), 2; https://doi.org/10.3390/tae2010002 (registering DOI) - 31 Jan 2026
Abstract
Exoskeletons are increasingly used in industrial settings, yet most are designed for structured, repetitive tasks, limiting adaptability to dynamic movements. In construction, frequent locomotion tasks demand continuous lower-limb engagement, and ladder climbing places substantial loads on coordination and flexibility. This study aimed to [...] Read more.
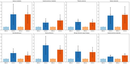
Exoskeletons are increasingly used in industrial settings, yet most are designed for structured, repetitive tasks, limiting adaptability to dynamic movements. In construction, frequent locomotion tasks demand continuous lower-limb engagement, and ladder climbing places substantial loads on coordination and flexibility. This study aimed to identify key muscles involved in climbing to support the development of adaptive exoskeletons. Ten healthy male participants (33.8 ± 3.4 years; 178.7 ± 5.0 cm; 87.4 ± 16.1 kg) performed vertical and A-frame ladder ascents in a controlled laboratory setting. Surface electromyography was recorded from eight right-leg muscles and processed using band-pass filtering, rectification, and root mean square smoothing. Two normalization strategies were applied: walking normalization, expressing climbing activity relative to level walking, and maximum voluntary contraction normalization, with amplitudes expressed as a percentage of maximum voluntary contraction. Our results showed that all muscles were more active in climbing than walking, with quadriceps (vastus medialis, vastus lateralis, rectus femoris) exhibiting the greatest increases. Gastrocnemius also approached or exceeded 100%MVC, tibialis anterior averaged 70–80%MVC, and hamstrings contributed 20–40%MVC mainly for stabilization. Vertical and A-frame ladders followed similar patterns with subtle posture-related variations. These findings highlight knee extensors as primary targets for adaptive exoskeleton assistance during ladder climbing tasks commonly performed on construction sites. Full article
Show Figures

Figure 1

12 pages, 7125 KB  
Case Report
Exome Sequencing Resolving a Complex Pediatric Neurodevelopmental Disorder After Inconclusive Prenatal Testing: A Case Report
by Margarita Panova, Hristo Ivanov and Iglika Sotkova-Ivanova
Children 2026, 13(2), 202; https://doi.org/10.3390/children13020202 (registering DOI) - 31 Jan 2026
Abstract
Background: Prenatal detection of fetal structural anomalies often prompts chromosomal analysis; however, chromosomal microarray analysis (CMA) has limited diagnostic yield for monogenic disorders. Whole-exome sequencing (WES) has emerged as a powerful tool for identifying single-gene etiologies, particularly in cases with complex neurodevelopmental phenotypes. [...] Read more.
Background: Prenatal detection of fetal structural anomalies often prompts chromosomal analysis; however, chromosomal microarray analysis (CMA) has limited diagnostic yield for monogenic disorders. Whole-exome sequencing (WES) has emerged as a powerful tool for identifying single-gene etiologies, particularly in cases with complex neurodevelopmental phenotypes. Case Presentation: We report a female infant presenting with prenatally detected ventriculomegaly and inconclusive chromosomal testing. Prenatal investigations, including karyotyping and genome-wide chromosomal sequencing, identified several copy number variants classified as variants of uncertain significance but failed to establish a definitive diagnosis. Postnatally, the patient developed progressive neurological abnormalities, including microcephaly, facial dysmorphism, dystonic movements, and severe global developmental delay. Trio-based whole-exome sequencing identified a heterozygous de novo pathogenic missense variant in the DDX3X gene (c.976C>T; p.Arg326Cys), establishing the diagnosis of DDX3X-related neurodevelopmental disorder. Conclusions: This case highlights the diagnostic limitations of standard prenatal chromosomal testing in detecting monogenic neurodevelopmental disorders and underscores the critical role of timely genetic counseling and exome sequencing. Earlier selective implementation of WES during pregnancy could have enabled an earlier diagnosis, improved prognostic counseling, and optimized clinical decision-making. Full article
Show Figures

Figure 1

21 pages, 8060 KB  
Article
Multi-Scale Space Syntax Analysis of Hybrid Urban Street Networks for Accessibility and Mobility Efficiency: The Case of Mandalay in Myanmar
by Thwe Thwe Lay Maw and Ducksu Seo
ISPRS Int. J. Geo-Inf. 2026, 15(2), 62; https://doi.org/10.3390/ijgi15020062 (registering DOI) - 31 Jan 2026
Abstract
Street layout has a significant effect on accessibility and intelligibility, which ultimately affects navigation and movement efficiency. While previous research has examined planned and unplanned street patterns, most studies focus on single-scale analyses or isolated typologies, limiting understanding of how hybrid networks function [...] Read more.
Street layout has a significant effect on accessibility and intelligibility, which ultimately affects navigation and movement efficiency. While previous research has examined planned and unplanned street patterns, most studies focus on single-scale analyses or isolated typologies, limiting understanding of how hybrid networks function across multiple spatial levels. Addressing this gap, this study investigates the effects of hybrid planned and organically evolved street layouts on spatial accessibility in Mandalay, Myanmar. The research employs space syntax analysis to assess the citywide, township-level, and micro-scale networks through measures of angular integration, choice, axial connectivity, and intelligibility. Using the Four-Point Star Model to identify Mandalay’s distinct spatial features, a global accessibility assessment compares it to 50 other cities. The results show that grid-based layouts with central townships exhibit the highest integration and connectivity, while organic and fragmented networks, particularly in Amarapura, reduce spatial coherence and accessibility. Micro-scale analysis indicates that hybrid layouts with cul-de-sacs and distorted grids can improve accessibility when they connect effectively with secondary roads. By analysing street networks across multiple spatial scales, this research presents significant implications for efficient accessibility and transport planning in mixed-pattern cities. Full article
(This article belongs to the Special Issue Spatial Data Science and Knowledge Discovery)
Show Figures

Figure 1

16 pages, 530 KB  
Article
Associations Between 24 h Movement Behaviours and Cognitive Abilities in Slovak Adolescents: A Cross-Sectional Study
by Beata Ruzbarska, Lenka Hnidkova, Mojmir Trebunak, Erika Chovanova, Dalibor Dzugas and Peter Kacur
Healthcare 2026, 14(3), 360; https://doi.org/10.3390/healthcare14030360 - 30 Jan 2026
Abstract
Background: Twenty-four-hour movement behaviours (physical activity, sedentary time, and sleep) may be associated with adolescent cognitive performance, but evidence from Central/Eastern Europe is limited. Methods: A total of 82 Slovak adolescents (15–19 years) completed tests of IQ, attention, and visual memory. Participants wore [...] Read more.
Background: Twenty-four-hour movement behaviours (physical activity, sedentary time, and sleep) may be associated with adolescent cognitive performance, but evidence from Central/Eastern Europe is limited. Methods: A total of 82 Slovak adolescents (15–19 years) completed tests of IQ, attention, and visual memory. Participants wore a wrist accelerometer 24/7 for seven consecutive days (processed in GGIR v3.0–3). Moderate-to-vigorous physical activity (MVPA), total sedentary time, and sleep duration were derived from accelerometry; physical activity was also self-reported using the Physical Activity Questionnaire for Adolescents (PAQ-A). Non-parametric tests and Spearman correlations were applied; sleep × MVPA interaction models (robust HC3 standard errors) were adjusted for age and sex. Results: MVPA was low (median 32.9 min/day; 11% met ≥60 min/day), while sedentary time was high (median 652.6 min/day). Associations between movement behaviours and cognition were generally small, and no sleep × MVPA interaction effects were observed. The PAQ-A overestimated device-based MVPA (mean bias +1.68 units; 95% limits of agreement +1.10 to +2.25), with greater overestimation in girls and older adolescents. Conclusions: In this convenience sample, 24 h movement patterns were suboptimal, and their associations with cognition were modest and exploratory. Larger longitudinal studies are needed to confirm these findings. Full article
24 pages, 341 KB  
Review
WADD-SEPD Consensus on Psychological Treatment of Dual Disorders II: Neurodevelopmental, Anxiety, Post-Traumatic Stress, Somatic Symptom, Eating, and Personality Disorders and Recommendations for Future Research
by Ana Benito, Susana Jiménez-Murcia, Judit Tirado-Muñoz and Ana Adan
J. Clin. Med. 2026, 15(3), 1105; https://doi.org/10.3390/jcm15031105 - 30 Jan 2026
Viewed by 58
Abstract
Background/Objectives: The treatment of dual disorders (DDs) must be comprehensive and multidisciplinary. Evidence supports the effectiveness of psychotherapy in treating DDs. The second part of this consensus synthesizes the available evidence on psychological treatment for specific DDs. Methods: Two consensus methods [...] Read more.
Background/Objectives: The treatment of dual disorders (DDs) must be comprehensive and multidisciplinary. Evidence supports the effectiveness of psychotherapy in treating DDs. The second part of this consensus synthesizes the available evidence on psychological treatment for specific DDs. Methods: Two consensus methods were sequentially implemented: the nominal group technique and the Delphi method. Results: This consensus review encompassed a compilation of recommendations for the psychological treatment of neurodevelopmental, anxiety, post-traumatic stress, somatic symptom, eating, and personality disorders. Finally, recommendations for the future research agenda on the psychological treatment of DD were included. Conclusions: (1) Psychological treatment, particularly integrated treatment, is effective. (2) In the case of dual autism, interventions for substance use disorders should be adapted to this population’s characteristics. (3) More research is needed on dual social anxiety, panic, generalized anxiety, somatic symptom, and eating disorders, for which Cognitive Behavioral Therapy (CBT) is the most commonly used treatment. (4) For dual attention deficit hyperactivity disorder, multicomponent treatment is recommended (psychoeducation, CBT, and peer or family support). (5) For dual anxiety disorders, CBT is the first-line treatment. (6) For dual post-traumatic stress disorder, CBT (cognitive processing therapy and prolonged exposure therapy), acceptance and commitment therapy, stress inoculation training, and Eye Movement Desensitization and Reprocessing (EMDR) are effective. (7) For dual personality disorders, evidence is scarce. (8) For borderline personality disorder, dialectical behavior therapy, dynamic deconstructive psychotherapy, and dual-focus schema therapy show promise. (9) For antisocial personality disorder, CBT, contingency management, and counseling on impulsive lifestyles may be useful. (10) Much more evidence is needed from studies that overcome the methodological limitations of existing ones. Full article
18 pages, 615 KB  
Article
DOTSSA: Directed Acyclic Graph-Based Online Trajectory Simplification with Stay Areas
by Masaharu Hirota
Network 2026, 6(1), 8; https://doi.org/10.3390/network6010008 - 29 Jan 2026
Viewed by 40
Abstract
Devices equipped with the Global Positioning System (GPS) generate massive volumes of trajectory data on a daily basis, imposing substantial computational, network, and storage burdens. Online trajectory simplification reduces redundant points in a streaming manner while preserving essential spatial and temporal characteristics. A [...] Read more.
Devices equipped with the Global Positioning System (GPS) generate massive volumes of trajectory data on a daily basis, imposing substantial computational, network, and storage burdens. Online trajectory simplification reduces redundant points in a streaming manner while preserving essential spatial and temporal characteristics. A representative method in this line of research is Directed acyclic graph-based Online Trajectory Simplification (DOTS). However, DOTS does not preserve stay-related information and can incur high computational cost. To address these limitations, we propose Directed acyclic graph-based Online Trajectory Simplification with Stay Areas (DOTSSA), a fast online simplification method that integrates DOTS with an online stay area detection algorithm (SA). In DOTSSA, SA continuously monitors movement patterns to detect stay areas and segments the incoming trajectory accordingly, after which DOTS is applied to the extracted segments. This approach ensures the preservation of stay areas while reducing computational overhead through localized DAG construction. Experimental evaluations on a real-world dataset show that, compared with DOTS, DOTSSA can reduce compression time, while achieving comparable compression ratios and preserving key trajectory features. Full article
(This article belongs to the Special Issue Advanced Technologies in Network and Service Management, 2nd Edition)
Show Figures

Figure 1

16 pages, 1456 KB  
Article
Secondary Plants Improve the Settlement of Orius laevigatus in Greenhouses
by Miguel Ángel Macho Rivero, Eladio López, Miguel Fouquet, Mireia Corell and José E. González-Zamora
Agronomy 2026, 16(3), 335; https://doi.org/10.3390/agronomy16030335 - 29 Jan 2026
Viewed by 68
Abstract
In greenhouse systems, secondary plants are used to attract and support the multiplication of beneficial arthropods, thereby improving biological control. Three plants were selected for this study: alyssum (Lobularia maritima (L.) Desv.), yarrow (Achillea millefolium L.), and dill (Anethum graveolens [...] Read more.
In greenhouse systems, secondary plants are used to attract and support the multiplication of beneficial arthropods, thereby improving biological control. Three plants were selected for this study: alyssum (Lobularia maritima (L.) Desv.), yarrow (Achillea millefolium L.), and dill (Anethum graveolens L.). This study was performed in two years, 2021 and 2025, and focused on Orius laevigatus (Fieber) (Hemiptera, Anthocoridae), one of the most important predators of Thysanoptera pests in greenhouse crops. Four ornamental crops (carnation, sweet William, statice, and gerbera daisy) were included to analyse the movement and installation of the predator. Alyssum and yarrow housed O. laevigatus in both years (total mean values per sampling date of 3.0 ± 1.3 and 2.7 ± 1.0 on alyssum and 7.0 ± 2.8 and 1.8 ± 0.8 on yarrow in 2021 and 2025, respectively), increasing its population in the greenhouse. Dill was unsuitable for sustaining predator populations and attracted additional potential pests. Its short flowering period and rapid decline further limited its usefulness. Orius laevigatus adults did not show great mobility during the study and had small populations among the ornamental crops in the greenhouse. Ornamental plant statice (Limonium sinuatum (L.) Mill.) had the highest predator population. The interest of the secondary plants is discussed, highlighting their potential for biological control in greenhouses. Full article
Show Figures

Figure 1

22 pages, 6628 KB  
Article
The Chamber Gap Assay Is a Simple and Sensitive In Vitro Method for Studying Pancreatic Cancer-Induced Macrophage Recruitment and Morphological Alteration
by Maik Lenz, Stefanie Muliawan, Florian Nowak, Lea Miebach, Stephan Kersting, Tobias Schulze, Sander Bekeschus, Theresa Kordaß and Aydar Khabipov
Biology 2026, 15(3), 240; https://doi.org/10.3390/biology15030240 - 28 Jan 2026
Viewed by 83
Abstract
Pancreatic cancer is characterized by an immunosuppressive tumor environment in which macrophages are recruited and reprogrammed to support tumor growth. Studying macrophage migration and polarization is crucial for understanding disease progression and identifying therapeutic targets. However, existing in vitro methods such as the [...] Read more.
Pancreatic cancer is characterized by an immunosuppressive tumor environment in which macrophages are recruited and reprogrammed to support tumor growth. Studying macrophage migration and polarization is crucial for understanding disease progression and identifying therapeutic targets. However, existing in vitro methods such as the transwell assay provide limited spatial resolution and do not allow visualization of cell movement or morphological changes. Here, we established and evaluated the Chamber Gap Assay, a modified two-compartment culture system that enables direct, time-resolved observation and quantification of macrophage migration toward pancreatic cancer cells as well as phenotypic alterations. Using murine and human macrophage–cancer cell models, we compared the performance of the Chamber Gap Assay with the transwell assay. We found that macrophage monocultures displayed substantial spontaneous migration in the transwell system, while cancer cells induced only modest additional macrophage recruitment. In contrast, the Chamber Gap Assay demonstrated clear and highly significant directional macrophage movement toward cancer cells, with distinct migration patterns and improved sensitivity for detecting group differences. The method also enabled visualization of cancer cell movement within the same system. Furthermore, CGA offers observations of morphological changes in immune cells under the influence of pancreatic cancer cells. Our findings indicate that the Chamber Gap Assay provides a robust and physiologically relevant method for studying tumor-induced immune cell recruitment and associated morphological changes. Full article
(This article belongs to the Special Issue Tumor Biomechanics and Mechanobiology)
Show Figures

Figure 1

10 pages, 1327 KB  
Case Report
Possibilities and Limitations of Prenatal Diagnosis of Rare Imprinting Syndromes: Prader–Willi Syndrome
by Simona Anzhel, Nikolinka Yordanova, Emil Kovachev, Darina Krumova and Elis Ismail
Children 2026, 13(2), 177; https://doi.org/10.3390/children13020177 - 28 Jan 2026
Viewed by 71
Abstract
Background: Prader–Willi syndrome (PWS) is a multisystemic complex imprinting disorder. Prenatal diagnosis of PWS is still a challenge with non-specific ultrasound markers and limitations for diagnosis with non-invasive screening methods. Prenatal suspicion and early postnatal diagnosis are essential for promoting healthy growth and [...] Read more.
Background: Prader–Willi syndrome (PWS) is a multisystemic complex imprinting disorder. Prenatal diagnosis of PWS is still a challenge with non-specific ultrasound markers and limitations for diagnosis with non-invasive screening methods. Prenatal suspicion and early postnatal diagnosis are essential for promoting healthy growth and development, preventing complications, and providing healthcare professionals and families with the necessary support and resources for effective management. Presentation: We report two PWS cases caused by maternal uniparental disomy, who presented with IUGR, characterized by reduced fetal abdominal circumference (AC) in the second and early third trimesters, reduced fetal movements, normal Doppler indices and oligohydramnios. They were diagnosed in the early neonatal period with no prenatal suspicion but with similar ultrasound markers of the developing pregnancies, analyzed retrospectively. Aim: This study aims to emphasize the need to raise awareness among specialists about genetic syndromes such as Prader–Willi syndrome, to improve the information provided to couples regarding the limitations of current prenatal screening methods, as well as to ensure that, in cases of prenatal suspicion, appropriate genetic testing can be initiated. A confirmed diagnosis would allow timely and adequate measures to be taken, given the complications of the postnatal period in these patients and their need for specialized care and management. Conclusions: The presence of the aforementioned prenatal characteristics may raise suspicion for PWS. In such cases, invasive diagnostic procedures and methylation testing may be indicated, enabling earlier diagnosis and timely management, which can ultimately improve the quality of life of affected individuals and their families. Full article
(This article belongs to the Special Issue Prenatal Screening and Diagnosis: Fetal Medicine Perspectives)
Show Figures

Figure 1

24 pages, 6313 KB  
Article
IoT-Driven Pull Scheduling to Avoid Congestion in Human Emergency Evacuation
by Erol Gelenbe and Yuting Ma
Sensors 2026, 26(3), 837; https://doi.org/10.3390/s26030837 - 27 Jan 2026
Viewed by 182
Abstract
The efficient and timely management of human evacuation during emergency events is an important area of research where the Internet of Things (IoT) can be of great value. Significant areas of application for optimum evacuation strategies include buildings, sports arenas, cultural venues, such [...] Read more.
The efficient and timely management of human evacuation during emergency events is an important area of research where the Internet of Things (IoT) can be of great value. Significant areas of application for optimum evacuation strategies include buildings, sports arenas, cultural venues, such as museums and concert halls, and ships that carry passengers, such as cruise ships. In many cases, the evacuation process is complicated by constraints on space and movement, such as corridors, staircases, and passageways, that can cause congestion and slow the evacuation process. In such circumstances, the Internet of Things (IoT) can be used to sense the presence of evacuees in different locations, to sense hazards and congestion, to assist in making decisions based on sensing to guide the evacuees dynamically in the most effective direction to limit or eliminate congestion and maximize safety, and notify to the passengers the directions they should take or whether they should stop and wait, through signaling with active IoT devices that can include voice and visual indications and signposts. This paper uses an analytical queueing network approach to analyze an emergency evacuation system, and suggests the use of the Pull Policy, which employs the IoT to direct evacuees in a manner that reduces downstream congestion by signalling them to move forward when the preceding evacuees exit the system. The IoT-based Pull Policy is analyzed using a realistic representation of evacuation from an existing commercial cruise ship, with a queueing network model that also allows for a computationally very efficient comparison of different routing rules with wide-ranging variations in speed parameters of each of the individual evacuees.Numerical examples are used to demonstrate its value for the timely evacuation of passengers within the confined space of a cruise ship. Full article
(This article belongs to the Section Internet of Things)
Show Figures

Figure 1

Back to TopTop