Sign in to use this feature.

Years

Between: -

Subjects

remove_circle_outline
remove_circle_outline
remove_circle_outline
remove_circle_outline
remove_circle_outline
remove_circle_outline
remove_circle_outline
remove_circle_outline
remove_circle_outline

Journals

remove_circle_outline
remove_circle_outline
remove_circle_outline
remove_circle_outline
remove_circle_outline
remove_circle_outline
remove_circle_outline
remove_circle_outline
remove_circle_outline
remove_circle_outline
remove_circle_outline
remove_circle_outline
remove_circle_outline
remove_circle_outline

Article Types

Countries / Regions

remove_circle_outline
remove_circle_outline
remove_circle_outline
remove_circle_outline

Search Results (481)

Search Parameters:
Keywords = lateral circulation

Order results
Result details
Results per page
Select all
Export citation of selected articles as:
15 pages, 510 KB  
Article
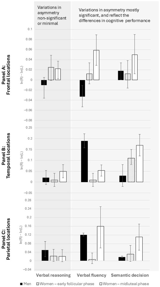
Menstrual Cycle Modulation of Verbal Performance and Hemispheric Asymmetry
by Ivana Hromatko and Meri Tadinac
Brain Sci. 2025, 15(11), 1141; https://doi.org/10.3390/brainsci15111141 - 24 Oct 2025
Viewed by 224
Abstract
Background/Objectives: It has been postulated that sex differences in certain types of verbal abilities arise from sex-dimorphic patterns of hemispheric activation, and that these patterns might be modulated by circulating levels of sex hormones. The aim of this study was to explore [...] Read more.
Background/Objectives: It has been postulated that sex differences in certain types of verbal abilities arise from sex-dimorphic patterns of hemispheric activation, and that these patterns might be modulated by circulating levels of sex hormones. The aim of this study was to explore the activational effects of sex hormones (throughout the menstrual cycle) on both verbal performance and functional hemispheric asymmetries (qEEG laterality) in three types of verbal tasks: sex-differentiated (verbal fluency and semantic decision) vs. sex-neutral (verbal reasoning) tasks. Methods: A group (n = 32) of healthy young women was tested twice, once during the mid-luteal (high levels of circulating sex hormones) and once during the early follicular (low levels of sex hormones) phases of the menstrual cycle. A comparable group of healthy young men (n = 32) was tested once. EEG was continuously recorded. The differences in alpha power on homologous sites of the left and right hemispheres were then calculated. Results: We found a clear congruence between performance on a task and laterality score: for sex-differentiated tasks, the activational effects of sex hormones were observed in both performance and laterality scores, while there were neither performance nor laterality scores shifts throughout the menstrual cycle for the sex-neutral task. Interestingly, measures of functional asymmetry were higher in the luteal compared to the menstrual phase. Conclusions: These findings suggest that sex hormones modulate verbal performance through their influence on hemispheric asymmetry. Full article
(This article belongs to the Special Issue Language Perception and Processing)
Show Figures

Figure 1

12 pages, 537 KB  
Article
Sex-Independent Upregulation of miR-146a-5p in Parkinson’s Disease Patients: A Longitudinal Study
by Annamaria Vallelunga, Tommaso Iannitti, Giovanna Dati, Julio César Morales-Medina, Marina Picillo, Marianna Amboni, Calogero Edoardo Cicero, Roberto Cilia, Rosa De Micco, Anna De Rosa, Alessio Di Fonzo, Roberto Eleopra, Augusta Giglio, Giulia Lazzeri, Alessandra Nicoletti, Claudio Pacchetti, Andrea Soricelli, Alessandro Tessitore, Roberta Zangaglia, Paolo Barone and Maria Teresa Pellecchiaadd Show full author list remove Hide full author list
Int. J. Mol. Sci. 2025, 26(21), 10315; https://doi.org/10.3390/ijms262110315 - 23 Oct 2025
Viewed by 524
Abstract
Parkinson’s disease (PD) is a progressive neurodegenerative disorder characterized by motor and non-motor symptoms. The absence of reliable fluid biomarkers continues to hinder early diagnosis and effective monitoring of disease progression. Circulating microRNAs (cmiRNAs) are potential candidates, given their stability in biofluids and [...] Read more.
Parkinson’s disease (PD) is a progressive neurodegenerative disorder characterized by motor and non-motor symptoms. The absence of reliable fluid biomarkers continues to hinder early diagnosis and effective monitoring of disease progression. Circulating microRNAs (cmiRNAs) are potential candidates, given their stability in biofluids and their ability to mirror pathological processes. We conducted a longitudinal study in 30 early-stage levodopa-naive PD patients (22 men, 8 women). Serum samples were collected at baseline (T0) and at a follow-up time point two years later (T2). A panel of MicroRNAs (miRNAs) (miR-146a-5p, miR-34a-5p, miR-155-5p, miR-29a-3p, miR-106a-5p) were quantified by quantitative real-time PCR. Data were expressed as relative expression (2^−ΔCt), and statistical analyses included sex-stratified comparisons and paired tests for longitudinal changes. At baseline, no significant differences were found in the expression of the miRNAs between male and female PD patients. In contrast, longitudinal within-subject analysis revealed a highly significant upregulation in miR-146a-5p expression from T0 to T2 in both sexes (p < 0.0001). No other miRNAs in the panel exhibited significant changes over time. CmiR-146a-5p levels rise markedly over time in PD patients, independent of sex, suggesting that this miRNA could be a dynamic biomarker of disease progression. Full article
Show Figures

Figure 1

14 pages, 1813 KB  
Article
Epidemiological Shifts in Respiratory Virus Infections Among Older Adults (≥65 Years) Before and After the COVID-19 Pandemic: An 18-Year Retrospective Study in the Republic of Korea
by Jeong Su Han, Sung Hun Jang, Jae-Sik Jeon, Kyung Bae Lee and Jae Kyung Kim
Microorganisms 2025, 13(10), 2301; https://doi.org/10.3390/microorganisms13102301 - 3 Oct 2025
Cited by 1 | Viewed by 1070
Abstract
We investigated respiratory virus epidemiology in older adults across pre-pandemic (2007–2019), pandemic (2020–2022), and post-pandemic (2023–2024) periods, focusing on how public health interventions shaped surveillance, prevalence, and sex-specific trends. We conducted a retrospective cross-sectional study at a 1000-bed tertiary hospital in the Republic [...] Read more.
We investigated respiratory virus epidemiology in older adults across pre-pandemic (2007–2019), pandemic (2020–2022), and post-pandemic (2023–2024) periods, focusing on how public health interventions shaped surveillance, prevalence, and sex-specific trends. We conducted a retrospective cross-sectional study at a 1000-bed tertiary hospital in the Republic of Korea during 2007–2024, analyzing 4692 nasopharyngeal swab specimens collected from adults aged ≥ 65 years with suspected respiratory infections during 2007–2024. The specimens were tested for 15 respiratory viruses using multiplex real-time polymerase chain reaction. The outcomes included virus-specific detection rates and seasonal, sex-based and temporal trends before and after the COVID-19 pandemic. During the pre-pandemic period, older adults accounted for 13.2% of the tested individuals, which significantly increased to 52.0% in the later periods. Influenza A was the most frequently detected virus, followed by rhinovirus and human metapneumovirus. Influenza, RSV A/B, and coronaviruses 229E and OC43 showed peak positivity in winter, parainfluenza virus type 3 peaked in summer, and rhinovirus circulated year-round. Virus circulation was markedly suppressed during 2020–2022 and partially rebounded during 2023–2024. This study highlights the shift in diagnostic access and epidemiologic patterns of respiratory virus infections in older adults following the COVID-19 pandemic. Full article
Show Figures

Figure 1

23 pages, 7422 KB  
Article
Adaptive–Predictive Lateral Web Movement Control Algorithm for Flexible Material Winding Systems
by Piotr Urbanek, Andrzej Fraczyk and Jacek Kucharski
Appl. Sci. 2025, 15(19), 10638; https://doi.org/10.3390/app151910638 - 1 Oct 2025
Viewed by 329
Abstract
Various industrial technologies require flexible material webs to undergo processes such as thermal treatment (e.g., drying), printing, or laminating. Such processes are usually performed within winding systems, where the web goes through a set of rolls, and the precision of the web movement [...] Read more.
Various industrial technologies require flexible material webs to undergo processes such as thermal treatment (e.g., drying), printing, or laminating. Such processes are usually performed within winding systems, where the web goes through a set of rolls, and the precision of the web movement determines the quality of the final product. Therefore, high accuracy in the control of both the longitudinal and lateral movement of the web is of paramount importance. Designing the proper control system requires insightful analysis of the technological setup and precise modeling of its dynamic properties. In this paper, the transfer function model of the roll-to-roll system with closed-loop web circulation has been developed based on the mathematical description of the open-loop system. It has been proven that the analyzed system can be efficiently represented by an integral block with negligible inertia. Having established this, several control algorithms have been analyzed, and, as a result, the dedicated adaptive–predictive control algorithm has been proposed. The developed solutions have been verified both by simulations and real experiments performed using the semi-industrial laboratory setup. The high control quality of the proposed algorithm (e.g., considerable reductions in overshoot and settling time compared to PI control), outperforming classical approaches, has been confirmed under various disturbances. Full article
Show Figures

Figure 1

19 pages, 15250 KB  
Article
Responses of the East Asian Winter Climate to Global Warming in CMIP6 Models
by Yuxi Jiang, Yutao Chi, Weidong Wang, Wenshan Li, Hui Wang and Jianxiang Sun
Atmosphere 2025, 16(10), 1143; https://doi.org/10.3390/atmos16101143 - 29 Sep 2025
Viewed by 520
Abstract
Global warming has been altering the East Asian climate at an unprecedented rate since the 20th century. In order to evaluate the changes in the East Asian winter climate (EAWC) and support policy-making for climate mitigation and adaptation strategies, this paper utilizes the [...] Read more.
Global warming has been altering the East Asian climate at an unprecedented rate since the 20th century. In order to evaluate the changes in the East Asian winter climate (EAWC) and support policy-making for climate mitigation and adaptation strategies, this paper utilizes the multimodel ensemble from the Couple Model Intercomparison Project 6 and a temperature threshold method to investigate the EAWC changes during the period 1979–2100. The results show that the EAWC has been undergoing widespread and robust changes in response to global warming. The winter length in East Asia has shortened and will continue shortening owing to later onsets and earlier withdrawals, leading to a drastic contraction in length from 100 days in 1979 to 43 days (27 days) in 2100 under SSP2-4.5 (SSP5-8.5). While most regions of the East Asian continent are projected to become warmer in winter, the Japan and marginal seas of northeastern Asia will face the risks from colder winters with more frequent extreme cold events, accompanied by less precipitation. Meanwhile, the Tibetan Plateau is very likely to have colder winters in the future, though its surface snow amounts will significantly decline. Greenhouse gas (GHG) emissions are found to be responsible for the EAWC changes. GHG traps heat inside the Earth’s atmosphere and notably increases the air temperature; moreover, its force modulates large-scale atmospheric circulation, facilitating an enhanced and northward-positioned Aleutian low together with a weakened Siberian high, East Asian trough, and East Asian jet stream. These two effects work together, resulting in a contracted winter with robust and uneven regional changes in the EAWC. This finding highlights the urgency of curbing GHG emissions and improving forecasts of the EAWC, which are crucial for mitigating their major ecological and social impacts. Full article
(This article belongs to the Section Climatology)
Show Figures

Figure 1

18 pages, 1240 KB  
Article
Short-Chain Fatty Acid Profiles in Amyotrophic Lateral Sclerosis: Longitudinal Effects of Disease and Mediterranean Diet Intervention
by Anca Moțățăianu, Valentin Ion, Mihai Dumitreasă, Ioana Ormenișan, Lenard Farczadi, Sebastian Andone, Rodica Bălașa and Medeea Maria Roman
Biomolecules 2025, 15(10), 1380; https://doi.org/10.3390/biom15101380 - 28 Sep 2025
Viewed by 615
Abstract
Background: Amyotrophic lateral sclerosis (ALS) evolution is influenced by many dietary factors, biochemical and hormonal inter-relations and gut microbiota. This study focuses on dynamics by conducting a plasmatic quantitative analysis of six of the main short-chain fatty acids (SCFAs) for ALS patients [...] Read more.
Background: Amyotrophic lateral sclerosis (ALS) evolution is influenced by many dietary factors, biochemical and hormonal inter-relations and gut microbiota. This study focuses on dynamics by conducting a plasmatic quantitative analysis of six of the main short-chain fatty acids (SCFAs) for ALS patients and the shifts in circulating SCFA profiles during ALS progression as well as their potential responsiveness or change due to dietary modulation. Methods: A 12-month prospective study in parallel with control group determinations was conducted. The patients diagnosed with ALS were evaluated at the start of the study (T0) followed by a six-month observation time frame (T1) and after another six months of a Mediterranean diet intervention (T2). Plasma SCFAs were determined using liquid chromatography coupled to mass spectrometry to showcase the plasmatic profiles. Correlation between plasma levels of SCFAs and patients’ clinical characteristics next to correlations between plasma SCFA levels at T1 and T2 were performed. Results: A significant increase between control group and patients at T0 was observed for acetic, propionic, butyric and hydroxy-butyric acid. Hexanoic acid levels stagnated and 4-methyl-valeric acid concentrations decreased. Evolutions from T1 and T2 impacted acetate, propionate and 4-methyl-valerate. Conclusions: The study offers a better understanding regarding the differences in SCFA levels in ALS patients. The Mediterranean diet may impact the levels of acetic and propionic acid, indicating the modulation of SCFA production by gut microbiota. Full article
(This article belongs to the Section Bioinformatics and Systems Biology)
Show Figures

Figure 1

20 pages, 2930 KB  
Article
Global Mobility Networks of Smart City Researchers: Spatiotemporal and Multi-Scale Perspectives, 2000–2020
by Ying Na and Xintao Liu
Smart Cities 2025, 8(5), 159; https://doi.org/10.3390/smartcities8050159 - 25 Sep 2025
Viewed by 928
Abstract
This study examines the global mobility of researchers in the smart city domain from 2000 to 2020, using inter-country and intercity affiliation data from the Web of Science. Employing network analysis and spatial econometric models, the paper maps the structural reconfiguration of scientific [...] Read more.
This study examines the global mobility of researchers in the smart city domain from 2000 to 2020, using inter-country and intercity affiliation data from the Web of Science. Employing network analysis and spatial econometric models, the paper maps the structural reconfiguration of scientific labor circulation. The results show that the international mobility network is dense yet asymmetric, dominated by a small set of high-frequency corridors such as China–United States, which intensified markedly over the two decades. While early networks were fragmented and polycentric, the later period reveals a multipolar configuration with significant growth in South–South and intra-European exchanges. At the city level, Beijing, Shanghai, Wuhan, and Nanjing emerged as central nodes, reflecting the consolidation of East Asian hubs within the global knowledge system. Mesoscale community detection highlights the coexistence of territorially embedded ecosystems and transregional corridors sustained by thematic and reputational affinities. Growth decomposition indicates that high-income countries benefit from both talent retention and international inflows, while upper-middle-income countries rely heavily on inbound mobility. Spatial regression and quantile models confirm that economic growth and baseline scientific visibility remain robust drivers of urban smart city performance. In contrast, mobility effects are context-dependent and heterogeneous across city positions. Together, these findings demonstrate that researcher mobility is not only a vector of knowledge exchange but also a mechanism that reinforces spatial hierarchies and reshapes the geography of global smart city innovation. Full article
Show Figures

Figure 1

13 pages, 1412 KB  
Article
Molecular and Serological Detection of Leishmania spp. in Mediterranean Wild Carnivores and Feral Cats: Implications for Wildlife Health and One Health Surveillance
by Francesca Suita, Víctor Lizana, Jordi Aguiló-Gisbert, Jordi López-Ramon, João Torres Da Silva, Eduardo A. Díaz and Jesús Cardells
Animals 2025, 15(18), 2751; https://doi.org/10.3390/ani15182751 - 20 Sep 2025
Viewed by 673
Abstract
Leishmaniasis is a zoonotic disease caused by protozoan parasites of the genus Leishmania, transmitted by phlebotomine sandflies. While domestic dogs are the main hosts in the Mediterranean basin, wild carnivores have also been proposed as potential reservoirs. This study assessed the presence [...] Read more.
Leishmaniasis is a zoonotic disease caused by protozoan parasites of the genus Leishmania, transmitted by phlebotomine sandflies. While domestic dogs are the main hosts in the Mediterranean basin, wild carnivores have also been proposed as potential reservoirs. This study assessed the presence of Leishmania spp. in 250 animals from the Valencian Community, eastern Spain—an endemic region—using TaqMan qPCR on spleen samples from 216 wild carnivores and sera from 34 feral cats, and ELISA serology on 174 wild carnivores. DNA of Leishmania spp. was detected in 14 out of 250 individuals (5.6%), with red foxes representing most positive cases (10/102; 9.8%). Seropositivity was observed only in red foxes, with 5 out of 174 individuals testing positive (2.9%). Most qPCR-positive animals had high Ct values, consistent with low parasite loads. One fox, positive by both methods, showed advanced skin lesions and was later diagnosed with sarcoptic mange, suggesting possible interaction with Leishmania infection. The overall low prevalence and parasite burden suggest limited circulation in the surveyed wildlife. These findings contribute to understanding the epidemiological role of wild mesocarnivores and highlight the relevance of wildlife monitoring within a One Health approach. Full article
Show Figures

Graphical abstract

13 pages, 739 KB  
Article
Circulating Plasma Syncytin-1 mRNA in Preeclampsia—A Pilot Study
by Lisa Lorenz-Meyer, Christoph Bührer, Stefan Verlohren and Stefanie Endesfelder
Int. J. Mol. Sci. 2025, 26(18), 9015; https://doi.org/10.3390/ijms26189015 - 16 Sep 2025
Viewed by 482
Abstract
The endogenous human retroviral protein syncytin-1 is vital for placental integrity via syncytiotrophoblast formation. Preeclampsia has been associated with reduced placental syncytin-1 expression. The goal of the prospective pilot study was to investigate the role of circulating fetal syncytin-1 mRNA in women with [...] Read more.
The endogenous human retroviral protein syncytin-1 is vital for placental integrity via syncytiotrophoblast formation. Preeclampsia has been associated with reduced placental syncytin-1 expression. The goal of the prospective pilot study was to investigate the role of circulating fetal syncytin-1 mRNA in women with and without preeclampsia (PE). We therefore determined syncytin-1 mRNA in maternal plasma of n = 26 women without and n = 43 women with PE with quantitative real-time PCR. Median circulating syncytin-1 mRNA concentrations were significantly lower in women with PE [1 217 050 copies; IQR 610 900–1 482 069] vs. those without PE [1 992 739 copies; IQR 1 616 811–3 126 225], p < 0.001. The area under the receiver operating curve used to diagnose PE at the time of delivery was 0.913 (95% CI: 0.850–0.977). Sub-analysis of patients with PE at sampling and patients who later developed PE vs. gestational-age-matched controls yielded a diagnostic accuracy of fetal syncytin-1 expression with an AUC of 0.962 (95% CI 0.877–1.000) and a predictive accuracy of 0.924 (95% CI 0.842–0.983). Quantification of the fetal syncytin-1 expression in maternal plasma might be used as a diagnostic and predictive tool in PE. Full article
Show Figures

Figure 1

12 pages, 583 KB  
Article
Circulating Serum Cell-Free Mitochondrial DNA in Amyotrophic Lateral Sclerosis
by Giada Zanini, Ilaria Martinelli, Giorgia Sinigaglia, Elisabetta Zucchi, Federico Banchelli, Cecilia Simonini, Giulia Gianferrari, Andrea Ghezzi, Jessica Mandrioli and Marcello Pinti
Cells 2025, 14(18), 1433; https://doi.org/10.3390/cells14181433 - 12 Sep 2025
Viewed by 664
Abstract
Mitochondrial dysfunction is a key pathological hallmark in amyotrophic lateral sclerosis (ALS), yet the role of circulating cell-free mitochondrial DNA (Cf-mtDNA) as a biomarker remains unclear. This study aimed to investigate serum Cf-mtDNA levels in ALS patients compared to healthy controls and explore [...] Read more.
Mitochondrial dysfunction is a key pathological hallmark in amyotrophic lateral sclerosis (ALS), yet the role of circulating cell-free mitochondrial DNA (Cf-mtDNA) as a biomarker remains unclear. This study aimed to investigate serum Cf-mtDNA levels in ALS patients compared to healthy controls and explore its associations with disease biomarkers, clinical progression, and survival. We conducted a case–control study measuring Cf-mtDNA levels in serum samples from 54 ALS patients and 36 age- and sex-matched healthy controls using quantitative droplet digital PCR. Correlations between Cf-mtDNA levels and clinical features, neurofilament concentrations, inflammatory indices, and survival were assessed. The average Cf-mtDNA level in ALS patients was 2,426,315 copies/mL of serum (IQR: 865000–2475000), compared to 1,885,667 copies/mL of serum (IQR: 394250–2492500) in controls (p = 0.308). ROC analysis yielded an AUC of 0.595 (95% CI: 0.468–0.721), indicating very limited discriminant ability. Cf-mtDNA levels were inversely correlated with serum creatinine concentrations (r = –0.335, p = 0.018), but showed no significant associations with ALS phenotype, disease staging, neurofilaments, inflammatory indices, or survival. These findings suggest that, in a predominantly sporadic ALS cohort, serum Cf-mtDNA may not serve as a standalone diagnostic or prognostic biomarker, in contrast to previous reports. Methodological differences, cohort composition, and genetic heterogeneity may account for these discrepancies. Our results underscore the importance of further large-scale, longitudinal studies incorporating genetic stratification and multi-biomarker approaches to better elucidate the role of Cf-mtDNA in ALS pathophysiology. Full article
Show Figures

Figure 1

13 pages, 653 KB  
Article
Uncovering Hidden Transmission: Active Surveillance Reveals Cryptic Circulation of Yellow Fever Virus in Urban Marmosets in Belo Horizonte, Brazil, 2024
by Matheus Soares Arruda, Thaís Alkifeles Costa, Gabriel Dias Moreira, Daniel Jacob, Marcelle Alves de Oliveira, Mikaelly Frasson Biccas, Ana Maria de Oliveira Paschoal, Anna Catarina Dias Soares Guimarães, Samantha Stephany Fiuza Meneses Viegas, Gabriela Fernanda Garcia-Oliveira, Ana Luiza Campos Cruz, Letícia Trindade Almeida, Maria Fernanda Alves Souza e Silva, Daniel Ambrózio da Rocha Vilela, Thais Melo Mendes, Pedro Augusto Alves, Kathryn A. Hanley, Nikos Vasilakis, Marina do Vale Beirão and Betânia Paiva Drumond
Pathogens 2025, 14(9), 866; https://doi.org/10.3390/pathogens14090866 - 1 Sep 2025
Viewed by 925
Abstract
Between 2016 and 2018, the state of Minas Gerais, Brazil, experienced its most significant yellow fever (YF) outbreak in 80 years. Yellow fever virus (YFV) circulation persisted afterward, with continued non-human primate (NHP) epizootics and, recently, human cases. In June 2024, YFV RNA [...] Read more.
Between 2016 and 2018, the state of Minas Gerais, Brazil, experienced its most significant yellow fever (YF) outbreak in 80 years. Yellow fever virus (YFV) circulation persisted afterward, with continued non-human primate (NHP) epizootics and, recently, human cases. In June 2024, YFV RNA was detected in a dead marmoset (Callithrix penicillata) in an urban square in Belo Horizonte (BH), prompting a field investigation in an adjacent park to assess infection in potential mosquito vectors and NHPs. A total of 250 mosquitoes representing nine species were collected at ground and canopy level, of which Aedes fluviatilis and Aedes scapularis comprised 78.8% of the specimens. Haemagogus spp. and Sabethes spp. mosquitoes were not collected, possibly due to the short sampling window during the dry season. No active YFV infection was detected in any of the mosquito pools tested. Eight marmosets (Callithrix penicillata) were captured and tested for arboviral infections. Five out of eight sera, representing both adult and juvenile (less than 17 months old) animals, tested positive for anti-YFV IgM. Interestingly, two adults recaptured in later expeditions revealed seroconversion. One was IgM-positive in July 2024 but negative by September 2024, consistent with the expected decline in IgM levels. The other, initially IgM-negative (as of July 2024), tested positive in April 2025, indicating recent exposure to YFV. These findings provide evidence for the ongoing, low-level circulation of YFV among urban NHPs, posing a continued risk of viral spillover to humans. Moreover, these results highlight the importance of active surveillance in detecting recent infections that would likely be missed by passive monitoring. This integrated approach enhances our understanding of local YF epidemiology and supports early, evidence-based public health interventions to prevent future human outbreaks. Full article
Show Figures

Figure 1

14 pages, 336 KB  
Article
United Under the Dao: Facets of Integration Between Wang Yangming and Daoism
by Yongtao Yang and Zhenren Ouyang
Religions 2025, 16(9), 1137; https://doi.org/10.3390/rel16091137 - 31 Aug 2025
Viewed by 895
Abstract
This article examines the interactions between Wang Yangming’s School of Mind and Daoist traditions, focusing on specific instances of contact, adaptation, and reinterpretation. Drawing on both historically attested events and later hagiographical narratives—treated here as cultural representations rather than literal biographies—the study traces [...] Read more.
This article examines the interactions between Wang Yangming’s School of Mind and Daoist traditions, focusing on specific instances of contact, adaptation, and reinterpretation. Drawing on both historically attested events and later hagiographical narratives—treated here as cultural representations rather than literal biographies—the study traces how Wang encountered Daoist religious sites, imagery, and technical vocabulary over the course of his life. Particular attention is given to parallels between Wang’s use of concepts such as liangzhi (innate moral knowledge) and Daoist terms from inner alchemy, as well as his adaptation of practices like stillness-sitting (jingzuo) and the metaphor of “forming the sacred embryo” (jie shengtai). The analysis shows that these elements were selectively reframed within his own intellectual framework, often shifting their emphasis from physical cultivation or longevity to moral and practical self-cultivation. Such a reorientation may have something to do with the Jingming Sect 淨明道. By situating Wang’s reinterpretations within the broader religious and philosophical environment of early sixteenth-century China, the article contributes to a more nuanced understanding of cross-tradition engagement and the circulation of ideas between Confucianism and Daoism. Full article
(This article belongs to the Special Issue The Diversity and Harmony of Taoism: Ideas, Behaviors and Influences)
21 pages, 1692 KB  
Review
Unraveling the Mystery of Hemoglobin in Hypoxia-Accelerated Neurodegenerative Diseases
by Zhengming Tian, Feiyang Jin, Zhuowen Geng, Zirui Xu, Qianqian Shao, Guiyou Liu, Xunming Ji and Jia Liu
Biomolecules 2025, 15(9), 1221; https://doi.org/10.3390/biom15091221 - 25 Aug 2025
Viewed by 1426
Abstract
Hypoxic stress is increasingly recognized as a convergent pathological factor in various age-related neurodegenerative diseases (NDDs), encompassing both acute events such as stroke and traumatic brain injury (TBI), and chronic disorders including Parkinson’s disease (PD), Alzheimer’s disease (AD), and amyotrophic lateral sclerosis (ALS). [...] Read more.
Hypoxic stress is increasingly recognized as a convergent pathological factor in various age-related neurodegenerative diseases (NDDs), encompassing both acute events such as stroke and traumatic brain injury (TBI), and chronic disorders including Parkinson’s disease (PD), Alzheimer’s disease (AD), and amyotrophic lateral sclerosis (ALS). Recent studies have revealed that hemoglobin (Hb), beyond its classical oxygen-transport function, exhibits unexpected expression and functional relevance within the central nervous system. Notably, both cerebral and circulating Hb appear to be dysregulated under hypoxic and aging conditions, potentially influencing disease onset and progression of these diseases. However, Hb’s impact on neurodegeneration appears to be context-dependent: in acute NDDs, it may exert neuroprotective effects by stabilizing mitochondrial and iron homeostasis, whereas in chronic NDDs, aberrant Hb accumulation may contribute to toxic protein aggregation and neuronal dysfunction. This review provides an integrative overview of the emerging roles of Hb in hypoxia-related NDDs, highlighting both shared and distinct mechanisms across acute and chronic conditions. We further discuss potential therapeutic implications of targeting Hb-related pathways in NDDs and identify key gaps for future investigation. Full article
(This article belongs to the Section Molecular Medicine)
Show Figures

Figure 1

18 pages, 6274 KB  
Article
Seismic Performance of Multi-Floor Grain Warehouse Under Various Storage Conditions
by Huifen Wang, Yonggang Ding, Guiling Wang, Qikeng Xu and Yanan Zhang
Appl. Sci. 2025, 15(16), 9128; https://doi.org/10.3390/app15169128 - 19 Aug 2025
Viewed by 496
Abstract
The storage conditions of multi-floor grain warehouses change frequently during grain circulation. This paper investigates the effects of various storage conditions on the seismic performance of multi-floor grain warehouses. The numerical results indicate that the higher the storage material distribution position, the greater [...] Read more.
The storage conditions of multi-floor grain warehouses change frequently during grain circulation. This paper investigates the effects of various storage conditions on the seismic performance of multi-floor grain warehouses. The numerical results indicate that the higher the storage material distribution position, the greater the damping ratio of the structural model and the more obvious the contribution of storage material movement to the damping of the structure. The intensity of earthquake action and the spatial height of the floor where the storage material is located are negatively correlated with the acceleration response of the structure. Under full-silo conditions, when the peak ground acceleration (PGA) is 0.4 g, the acceleration amplification factor at the top of the structure is 69.7% of the corresponding parameter at 0.1 g. The discontinuity in the storage space of the structure results in a torsional effect on the structure. When PGA = 0.22 g, the peak inter-story displacement angle of the first floor differs by nearly 1.7 times under different operating conditions, and the peak inter-story displacement angle of the second floor during an earthquake with PGA = 0.40 g differs by about 1.5 times under different operating conditions. The lateral pressure of the silo wall at different burial depths under earthquake action shows a highly nonlinear distribution trend, and the overpressure coefficient at the same burial depth of the warehouse wall is proportional to the PGA of the earthquake action. During 0.1 g, 0.22 g, and 0.40 g earthquakes, the maximum overpressure coefficients at the bottom of the warehouse wall on different floors are 1.13, 1.21, and 1.66, respectively. Full article
(This article belongs to the Section Civil Engineering)
Show Figures

Figure 1

21 pages, 3177 KB  
Review
Immunological and Inflammatory Biomarkers in the Prognosis, Prevention, and Treatment of Ischemic Stroke: A Review of a Decade of Advancement
by Marius P. Iordache, Anca Buliman, Carmen Costea-Firan, Teodor Claudiu Ion Gligore, Ioana Simona Cazacu, Marius Stoian, Doroteea Teoibaș-Şerban, Corneliu-Dan Blendea, Mirela Gabriela-Irina Protosevici, Cristiana Tanase and Maria-Linda Popa
Int. J. Mol. Sci. 2025, 26(16), 7928; https://doi.org/10.3390/ijms26167928 - 16 Aug 2025
Cited by 2 | Viewed by 1474
Abstract
Ischemic stroke triggers a dynamic immune response that influences both acute damage and long-term recovery. This review synthesizes a decade of evidence on immunological and inflammatory biomarkers in ischemic stroke, emphasizing their prognostic and therapeutic significance. Following ischemic insult, levels of pro-inflammatory cytokines, [...] Read more.
Ischemic stroke triggers a dynamic immune response that influences both acute damage and long-term recovery. This review synthesizes a decade of evidence on immunological and inflammatory biomarkers in ischemic stroke, emphasizing their prognostic and therapeutic significance. Following ischemic insult, levels of pro-inflammatory cytokines, such as interleukin-1β (IL-1β), interleukin-6 (IL-6), and tumor necrosis factor-α (TNF-α), and chemokines like interleukin-8 (IL-8) rapidly rise, promoting blood–brain barrier disruption, leukocyte infiltration, and neuronal death. Conversely, anti-inflammatory mediators such as interleukin-10 (IL-10) and transforming growth factor-β (TGF-β) facilitate repair, neurogenesis, and immune regulation in later phases. The balance between these pathways determines outcomes and is reflected in circulating biomarkers. Composite hematological indices including the neutrophil-to-lymphocyte ratio (NLR), platelet-to-lymphocyte ratio (PLR), and systemic immune-inflammation index (SII) offer accessible and cost-effective prognostic tools. Several biomarkers correlate with infarct size, neurological deterioration, and mortality, and may predict complications like hemorrhagic transformation or infection. Therapeutic strategies targeting cytokines, especially IL-1 and IL-6, have shown promise in modulating inflammation and improving outcomes. Future directions include personalized immune profiling, real-time cytokine monitoring, and combining immunotherapy with neurorestorative approaches. By integrating immune biomarkers into stroke care, clinicians may enhance risk stratification, optimize treatment timing, and identify candidates for novel interventions. This review underscores inflammation’s dual role and evolving therapeutic and prognostic relevance in ischemic stroke. Full article
(This article belongs to the Section Molecular Neurobiology)
Show Figures

Figure 1

Back to TopTop