Sign in to use this feature.

Years

Between: -

Subjects

remove_circle_outline
remove_circle_outline
remove_circle_outline
remove_circle_outline
remove_circle_outline
remove_circle_outline
remove_circle_outline
remove_circle_outline
remove_circle_outline

Journals

remove_circle_outline
remove_circle_outline
remove_circle_outline
remove_circle_outline
remove_circle_outline
remove_circle_outline
remove_circle_outline
remove_circle_outline
remove_circle_outline
remove_circle_outline

Article Types

Countries / Regions

remove_circle_outline
remove_circle_outline
remove_circle_outline
remove_circle_outline
remove_circle_outline

Search Results (1,146)

Search Parameters:
Keywords = large scale solar

Order results
Result details
Results per page
Select all
Export citation of selected articles as:
11 pages, 556 KB  
Proceeding Paper
Assessing the Environmental Sustainability and Footprint of Industrial Packaging
by Sk. Tanjim Jaman Supto and Md. Nurjaman Ridoy
Eng. Proc. 2025, 117(1), 34; https://doi.org/10.3390/engproc2025117034 - 27 Jan 2026
Abstract
Industrial packaging systems exert substantial environmental pressures, including material resource depletion, greenhouse gas emissions, and the accumulation of post-consumer waste. As global supply chains expand and sustainability regulations intensify, demand for environmentally responsible packaging solutions continues to rise. This study evaluates the environmental [...] Read more.
Industrial packaging systems exert substantial environmental pressures, including material resource depletion, greenhouse gas emissions, and the accumulation of post-consumer waste. As global supply chains expand and sustainability regulations intensify, demand for environmentally responsible packaging solutions continues to rise. This study evaluates the environmental footprint of industrial packaging by integrating recent developments in life cycle assessment (LCA), ecological footprint (EF) methodologies, material innovations, and circular economy models. The assessment examines the sustainability performance of conventional and alternative packaging materials, plastics, aluminum, corrugated cardboard, and polylactic acid (PLA). Findings indicate that although corrugated cardboard is renewable, it still presents a measurable environmental burden, with evidence suggesting that incorporating solar energy into production can reduce its footprint by more than 12%. PLA-based trays demonstrate promising environmental performance when sourced from renewable feedstocks and directed to appropriate composting systems. Despite these advancements, several systemic challenges persist, including ecological overshoot in industrial regions where EF may exceed local biocapacity limitations in waste management infrastructure, and significant economic trade-offs. Transportation-related emissions and scalability constraints for bio-based materials further hinder large-scale adoption. Existing research suggests that integrating sustainable packaging across supply chains could meaningfully reduce environmental impacts. Achieving this transition requires coordinated cross-sector collaboration, standardized policy frameworks, and embedding advanced environmental criteria into packaging design and decision-making processes. Full article
Show Figures

Figure 1

31 pages, 5186 KB  
Article
Simulating Daily Evapotranspiration of Summer Soybean in the North China Plain Using Four Machine Learning Models
by Liyuan Han, Fukui Gao, Shenghua Dong, Yinping Song, Hao Liu and Ni Song
Agronomy 2026, 16(3), 315; https://doi.org/10.3390/agronomy16030315 - 26 Jan 2026
Abstract
Accurate estimation of crop evapotranspiration (ET) is essential for achieving efficient agricultural water use in the North China Plain. Although machine learning techniques have demonstrated considerable potential for ET simulation, a systematic evaluation of model-architecture suitability and hyperparameter optimization strategies specifically for summer [...] Read more.
Accurate estimation of crop evapotranspiration (ET) is essential for achieving efficient agricultural water use in the North China Plain. Although machine learning techniques have demonstrated considerable potential for ET simulation, a systematic evaluation of model-architecture suitability and hyperparameter optimization strategies specifically for summer soybean ET estimation in this region is still lacking. To address this gap, we systematically compared several machine learning architectures and their hyperparameter optimization schemes to develop a high-accuracy daily ET model for summer soybean in the North China Plain. Synchronous observations from a large-scale weighing lysimeter and an automatic weather station were first used to characterize the day-to-day dynamics of soybean ET and to identify the key driving variables. Four algorithms—support vector regression (SVR), Random Forest (RF), extreme gradient boosting (XGBoost), and a stacking ensemble—were then trained for ET simulation, while Particle Swarm Optimization (PSO), Genetic Algorithms (GAs), and Randomized Grid Search (RGS) were employed for hyperparameter tuning. Results show that solar radiation (RS), maximum air temperature (Tmax), and leaf area index (LAI) are the dominant drivers of ET. The Stacking-PSO-F3 combination, forced with Rs, Tmax, LAI, maximum relative humidity (RHmax), and minimum relative humidity (RHmin), achieved the highest accuracy, yielding R2 values of 0.948 on the test set and 0.900 in interannual validation, thereby demonstrating excellent precision, stability, and generalizability. The proposed model provides a robust technical tool for precision irrigation and regional water resource optimization. Full article
(This article belongs to the Special Issue Water and Fertilizer Regulation Theory and Technology in Crops)
Show Figures

Figure 1

26 pages, 14479 KB  
Article
SpeQNet: Query-Enhanced Spectral Graph Filtering for Spatiotemporal Forecasting
by Zongyao Feng and Konstantin Markov
Appl. Sci. 2026, 16(3), 1176; https://doi.org/10.3390/app16031176 - 23 Jan 2026
Viewed by 51
Abstract
Accurate spatiotemporal forecasting underpins high-stakes decision making in smart urban systems, from traffic control and energy scheduling to environment monitoring. Yet two persistent gaps limit current models: (i) spatial modules are often biased toward low-pass smoothing and struggle to reconcile slow global trends [...] Read more.
Accurate spatiotemporal forecasting underpins high-stakes decision making in smart urban systems, from traffic control and energy scheduling to environment monitoring. Yet two persistent gaps limit current models: (i) spatial modules are often biased toward low-pass smoothing and struggle to reconcile slow global trends with sharp local dynamics; and (ii) the graph structure required for forecasting is frequently latent, while learned graphs can be unstable when built from temporally derived node features alone. We propose SpeQNet, a query-enhanced spectral graph filtering framework that jointly strengthens node representations and graph construction while enabling frequency-selective spatial reasoning. SpeQNet injects global spatial context into temporal embeddings via lightweight learnable spatiotemporal queries, learns a task-oriented adaptive adjacency matrix, and refines node features with an enhanced ChebNetII-based spectral filtering block equipped with channel-wise recalibration and nonlinear refinement. Across twelve real-world benchmarks spanning traffic, electricity, solar power, and weather, SpeQNet achieves state-of-the-art performance and delivers consistent gains on large-scale graphs. Beyond accuracy, SpeQNet is interpretable and robust: the learned spectral operators exhibit a consistent band-stop-like frequency shaping behavior, and performance remains stable across a wide range of Chebyshev polynomial orders. These results suggest that query-enhanced spatiotemporal representation learning and adaptive spectral filtering form a complementary and effective foundation for effective spatiotemporal forecasting. Full article
(This article belongs to the Special Issue Research and Applications of Artificial Neural Network)
25 pages, 4518 KB  
Article
Time Series Analysis and Periodicity Analysis and Forecasting of the Dniester River Flow Using Spectral, SSA, and Hybrid Models
by Serhii Melnyk, Kateryna Vasiutynska, Oleksandr Butenko, Iryna Korduba, Roman Trach, Alla Pryshchepa, Yuliia Trach and Vitalii Protsiuk
Water 2026, 18(2), 291; https://doi.org/10.3390/w18020291 - 22 Jan 2026
Viewed by 123
Abstract
This study applies spectral analysis and singular spectrum analysis (SSA) to mean annual runoff of the Dniester River for 1950–2024 to identify dominant periodic components governing the hydrological regime of this transboundary basin shared by Ukraine and Moldova. The novelty lies in a [...] Read more.
This study applies spectral analysis and singular spectrum analysis (SSA) to mean annual runoff of the Dniester River for 1950–2024 to identify dominant periodic components governing the hydrological regime of this transboundary basin shared by Ukraine and Moldova. The novelty lies in a basin-specific integration in the first systematic application of a combined spectral–SSA framework to the Dniester River, enabling consistent characterization of runoff variability and assessment of large-scale natural drivers. Time series from three gauging stations are analysed to develop data-driven runoff models and medium-term forecasts. Four stable groups of periodic variability are identified, with characteristic timescales of approximately 30, 11, 3–5.8, and 2 years, corresponding to major atmospheric–oceanic oscillations (AMO, NAO, PDO, ENSO, QBO) and the 11-year solar cycle. Cross-spectral and coherence analyses reveal a statistically significant relationship between solar activity and river discharge, with an estimated lag of about 2 years. SSA reconstructions explain more than 80% of discharge variance, indicating high model reliability. Forecast comparisons show that spectral methods tend to amplify long-term trends, CNN–LSTM models produce conservative trajectories, while a hybrid ensemble approach provides the most balanced and physically interpretable projections. Ensemble forecasts indicate reduced runoff during 2025–2028, followed by recovery in 2029–2034, supporting long-term water-resources planning and climate adaptation. Full article
(This article belongs to the Section Hydrology)
Show Figures

Figure 1

21 pages, 8423 KB  
Article
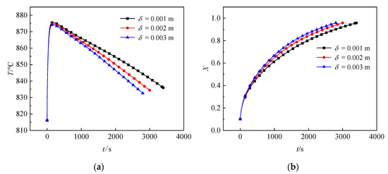
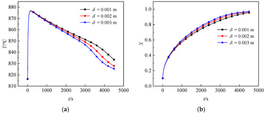
Effects of Fin Configuration and Structural Parameters on the Exothermic Performance of a CaCO3/CaO Thermochemical Energy Storage Reactor
by Shuai Luo, Zhengyue Zhu, Zhenming Liu, Yajun Deng, Wei Zhang and Bo Yu
Processes 2026, 14(2), 392; https://doi.org/10.3390/pr14020392 - 22 Jan 2026
Viewed by 96
Abstract
Thermochemical energy storage technology offers an effective approach to address the intermittency and instability of solar energy supply, thereby enhancing its utilization efficiency and reducing dependence on fossil fuels. The CaCO3/CaO system provides a low-cost, abundant, and safe thermal energy storage [...] Read more.
Thermochemical energy storage technology offers an effective approach to address the intermittency and instability of solar energy supply, thereby enhancing its utilization efficiency and reducing dependence on fossil fuels. The CaCO3/CaO system provides a low-cost, abundant, and safe thermal energy storage solution with high energy density, suitable for large-scale use. However, the low effective thermal conductivity of the storage material in fixed-bed reactors often leads to limited heat transfer performance. To address this issue, this study investigates the internal temperature distribution and reaction field in a finned reactor, with a focus on the effects of fin geometry (including layout, number, and dimensions) on the carbonation reaction performance. The results demonstrate that the incorporation of fins significantly enhances heat transfer within the reactor. Hor-izontal fins increased the reaction rate by 11.81%, while vertical fins resulted in a more pronounced improvement of 41.17%. Furthermore, variations in fin structural parameters markedly influenced the carbonation process. Increasing the number of vertical fins from four to eight improved the reaction rate by 24.23%. Under the conditions studied, the optimal fin configuration, with a thickness of 0.002 m, a length of 0.03 m, and a total of eight fins, achieved the shortest carbonation time. This study provides valuable insights into the design of efficient reactor structures for enhanced thermochemical energy storage. Full article
(This article belongs to the Section Petroleum and Low-Carbon Energy Process Engineering)
Show Figures

Figure 1

31 pages, 3765 KB  
Article
Rain Detection in Solar Insecticidal Lamp IoTs Systems Based on Multivariate Wireless Signal Feature Learning
by Lingxun Liu, Lei Shu, Yiling Xu, Kailiang Li, Ru Han, Qin Su and Jiarui Fang
Electronics 2026, 15(2), 465; https://doi.org/10.3390/electronics15020465 - 21 Jan 2026
Viewed by 95
Abstract
Solar insecticidal lamp Internet of Things (SIL-IoTs) systems are widely deployed in agricultural environments, where accurate and timely rain-detection is crucial for system stability and energy-efficient operation. However, existing rain-sensing solutions rely on additional hardware, leading to increased cost and maintenance complexity. This [...] Read more.
Solar insecticidal lamp Internet of Things (SIL-IoTs) systems are widely deployed in agricultural environments, where accurate and timely rain-detection is crucial for system stability and energy-efficient operation. However, existing rain-sensing solutions rely on additional hardware, leading to increased cost and maintenance complexity. This study proposes a hardware-free rain detection method based on multivariate wireless signal feature learning, using LTE communication data. A large-scale primary dataset containing 11.84 million valid samples was collected from a real farmland SIL-IoTs deployment in Nanjing, recording RSRP, RSRQ, and RSSI at 1 Hz. To address signal heterogeneity, a signal-strength stratification strategy and a dual-rate EWMA-based adaptive signal-leveling mechanism were introduced. Four machine-learning models—Logistic Regression, Random Forest, XGBoost, and LightGBM—were trained and evaluated using both the primary dataset and an external test dataset collected in Changsha and Dongguan. Experimental results show that XGBoost achieves the highest detection accuracy, whereas LightGBM provides a favorable trade-off between performance and computational cost. Evaluation using accuracy, precision, recall, F1-score, and ROC-AUC indicates that all metrics exceed 0.975. The proposed method demonstrates strong accuracy, robustness, and cross-regional generalization, providing a practical and scalable solution for rain detection in agricultural IoT systems without additional sensing hardware. Full article
Show Figures

Figure 1

20 pages, 4096 KB  
Article
Sustainable Hydrokinetic Energy System for Smart Home Applications
by Julio Jose Caparros Mancera, Antonio García-Chica, Rosa Maria Chica, Cesar Antonio Rodriguez Gonzalez and Angel Mariano Rodriguez Perez
Hydrology 2026, 13(1), 39; https://doi.org/10.3390/hydrology13010039 - 20 Jan 2026
Viewed by 156
Abstract
The exploitation of hydrokinetic resources represents a sustainable and efficient alternative for renewable energy generation. This study presents the design and real-world implementation of a compact hydrokinetic system capable of converting rainwater runoff into electricity within smart homes. Unlike conventional large-scale hydrokinetic technologies, [...] Read more.
The exploitation of hydrokinetic resources represents a sustainable and efficient alternative for renewable energy generation. This study presents the design and real-world implementation of a compact hydrokinetic system capable of converting rainwater runoff into electricity within smart homes. Unlike conventional large-scale hydrokinetic technologies, this system was specifically engineered for intermittent, low-flow conditions typical of residential rainwater collection networks. The turbine was manufactured using 3D-printed biodegradable materials to promote environmental sustainability and facilitate rapid prototyping. Through CFD simulations and laboratory testing, the system’s hydraulic behaviour and energy conversion efficiency were validated across different flow scenarios. The complete system, consisting of four turbines rated at 120 W each, was integrated into a real smart home without structural modifications. From an academic perspective, this study contributes a quantitatively validated hybrid hydrokinetic–low-head framework for residential rainwater energy recovery, addressing intermittent and low-flow urban conditions insufficiently explored in existing literature. Field tests demonstrated that the hydrokinetic system provides complementary energy during rainfall events, generating up to 6000 Wh per day and enhancing household energy resilience, particularly during periods of low solar availability. The results confirm the technical feasibility, sustainability, and practical viability of decentralized hydrokinetic energy generation for residential applications. Full article
Show Figures

Figure 1

18 pages, 7385 KB  
Article
Observation and Analysis of VLF Electromagnetic Pulse Sequences Triggered by Solar Flares on the CSES
by Siyu Liu, Ying Han, Jianping Huang, Zhong Li, Xuhui Shen and Qingjie Liu
Atmosphere 2026, 17(1), 95; https://doi.org/10.3390/atmos17010095 - 16 Jan 2026
Viewed by 111
Abstract
This study investigates the influence of solar flare events on the time–frequency characteristics of very low frequency (VLF) signals based on observations from the China Seismo–Electromagnetic Satellite (CSES) satellite. By analyzing the VLF electromagnetic wave HDF5 data downloaded on the day of the [...] Read more.
This study investigates the influence of solar flare events on the time–frequency characteristics of very low frequency (VLF) signals based on observations from the China Seismo–Electromagnetic Satellite (CSES) satellite. By analyzing the VLF electromagnetic wave HDF5 data downloaded on the day of the solar flare, the data were converted into a sequence of spectrograms, and linear structures within them were identified using image processing techniques and the K-means clustering algorithm. In this work, we detect more than twenty candidate transient near-vertical stripe elements (image-domain linear features) in the VLF spectrograms on solar-flare event days and use them as an operational texture fingerprint for large-scale screening. This finding suggests that solar flare events may trigger pulse sequence phenomena in VLF signals, providing new observational evidence for understanding the impact of solar activity on the ionosphere and offering a new perspective for investigating solar-flare effects using VLF signals. Full article
Show Figures

Figure 1

17 pages, 3103 KB  
Article
Investigation of the Use of Cu as Top Electrode in Polymer Solar Cells
by Semih Yurtdaş
Polymers 2026, 18(2), 232; https://doi.org/10.3390/polym18020232 - 16 Jan 2026
Viewed by 150
Abstract
Reducing electrode-related costs is an important step toward the large-scale commercialization of polymer solar cells. In this study, Cu is investigated as a low-cost top electrode in inverted polymer solar cells with the architecture ITO/ZnO/P3HT:PCBM/MoO3/Cu. The fabricated devices achieved a maximum [...] Read more.
Reducing electrode-related costs is an important step toward the large-scale commercialization of polymer solar cells. In this study, Cu is investigated as a low-cost top electrode in inverted polymer solar cells with the architecture ITO/ZnO/P3HT:PCBM/MoO3/Cu. The fabricated devices achieved a maximum power conversion efficiency (η) of 2.86%, with an open-circuit voltage (Voc) of 610 mV, a short-circuit current density (Jsc) of 6.90 mA cm−2, and a fill factor (FF) of 68%. Long-term stability tests were carried out over a period of 12 weeks under glovebox, desiccator, and ambient room conditions, during which efficiency decreases of 23%, 53%, and 78% were observed, respectively. Structural and spectroscopic analyses suggest that device degradation is closely associated with O2- and moisture-induced effects on the Cu electrode. The results demonstrate that Cu can be effectively employed as a top electrode in polymer solar cells under controlled environmental conditions, highlighting its potential as a cost-effective electrode material for polymer solar cell applications. Full article
(This article belongs to the Special Issue High-Performance Conductive Polymer Composites)
Show Figures

Graphical abstract

32 pages, 10354 KB  
Article
Advanced Energy Management and Dynamic Stability Assessment of a Utility-Scale Grid-Connected Hybrid PV–PSH–BES System
by Sharaf K. Magableh, Mohammad Adnan Magableh, Oraib M. Dawaghreh and Caisheng Wang
Electronics 2026, 15(2), 384; https://doi.org/10.3390/electronics15020384 - 15 Jan 2026
Viewed by 214
Abstract
Despite the growing adoption of hybrid energy systems integrating solar photovoltaic (PV), pumped storage hydropower (PSH), and battery energy storage (BES), comprehensive studies on their dynamic stability and interaction mechanisms remain limited, particularly under weak grid conditions. Due to the high impedance of [...] Read more.
Despite the growing adoption of hybrid energy systems integrating solar photovoltaic (PV), pumped storage hydropower (PSH), and battery energy storage (BES), comprehensive studies on their dynamic stability and interaction mechanisms remain limited, particularly under weak grid conditions. Due to the high impedance of weak grids, ensuring stability across varied operating scenarios is crucial for advancing grid resilience and energy reliability. This paper addresses these research gaps by examining the interaction dynamics between PV, PSH, and BES on the DC side and the utility grid on the AC side. The study identifies operating-region-dependent instability mechanisms arising from negative incremental resistance behavior and weak grid interactions and proposes a virtual-impedance-based active damping control strategy to suppress poorly damped oscillatory modes. The proposed controller effectively reshapes the converter output impedance, shifts unstable eigenmodes into the left-half plane, and improves phase margins without requiring additional hardware components or introducing steady-state power losses. System stability is analytically assessed using root-locus, Bode, and Nyquist criteria within a developed small-signal state-space model, and further validated through large-signal real-time simulations on an OPAL-RT platform. The main contributions of this study are threefold: (i) a comprehensive stability analysis of a utility-scale grid-connected hybrid PV–PSH–BES system under weak grid conditions, (ii) identification of operating-region-dependent instability mechanisms associated with DC–link interactions, and (iii) development and real-time validation of a practical virtual-impedance-based active damping strategy for enhancing system stability and grid integration reliability. Full article
(This article belongs to the Special Issue Advances in Power Electronics Converters for Modern Power Systems)
Show Figures

Figure 1

17 pages, 3964 KB  
Review
Green Hydrogen and Its Contribution to Environmental Sustainability: A Review
by Pablo Fernández-Arias, Antonio del Bosque, Georgios Lampropoulos and Diego Vergara
Resources 2026, 15(1), 15; https://doi.org/10.3390/resources15010015 - 14 Jan 2026
Viewed by 394
Abstract
Green hydrogen has become a fundamental pillar in the transition towards a low-carbon economy, due to its ability to produce energy without polluting emissions and from renewable sources such as solar and wind. Unlike other hydrogen production technologies, green hydrogen is obtained through [...] Read more.
Green hydrogen has become a fundamental pillar in the transition towards a low-carbon economy, due to its ability to produce energy without polluting emissions and from renewable sources such as solar and wind. Unlike other hydrogen production technologies, green hydrogen is obtained through water electrolysis using renewable electricity, which makes it a clean and sustainable fuel, ideal for hard-to-decarbonized sectors such as heavy industry and long-distance transportation. The main objective of this review is to analyze the evolution, trends, and knowledge gaps related to the sustainability of green hydrogen, identifying the main research focus areas, scientific actors, and emerging opportunities. To do this, 1935 scientific articles indexed in Scopus and WOS were examined under PRISMA 2020. Among the most relevant results, an exponential growth in scientific production on hydrogen and sustainability is observed, with Asian authors leading due to strong national commitments. The main challenges identified by the scientific community are related to efficiency, profitability, optimization, integration into sustainable energy systems, and emission reduction. Green hydrogen technologies are central to future energy, and success depends on international collaboration, innovation, and stable policies that support large-scale, sustainable clean energy adoption. Full article
(This article belongs to the Special Issue Assessment and Optimization of Energy Efficiency)
Show Figures

Figure 1

9 pages, 1277 KB  
Data Descriptor
Experimental Data of a Pilot Parabolic Trough Collector Considering the Climatic Conditions of the City of Coatzacoalcos, Mexico
by Aldo Márquez-Nolasco, Roberto A. Conde-Gutiérrez, Luis A. López-Pérez, Gerardo Alcalá Perea, Ociel Rodríguez-Pérez, César A. García-Pérez, Josept D. Revuelta-Acosta and Javier Garrido-Meléndez
Data 2026, 11(1), 17; https://doi.org/10.3390/data11010017 - 13 Jan 2026
Viewed by 181
Abstract
This article presents a database focused on measuring the experimental performance of a pilot parabolic trough collector (PTC) combined with the meteorological conditions corresponding to the installation site. Water was chosen as the fluid to recirculate through the PTC circuit. The data were [...] Read more.
This article presents a database focused on measuring the experimental performance of a pilot parabolic trough collector (PTC) combined with the meteorological conditions corresponding to the installation site. Water was chosen as the fluid to recirculate through the PTC circuit. The data were recorded between August and September, assuming that global radiation was adequate for use in the concentration process. The database comprises seven experimental tests, which contain variables such as time, inlet temperature, outlet temperature, ambient temperature, global radiation, diffuse radiation, wind direction, wind speed, and volumetric flow rate. Based on the data obtained from this pilot PTC system, it is possible to provide relevant information for the installation and construction of large-scale solar collectors. Furthermore, the climatic conditions considered allow key factors in the design of multiple collectors to be determined, such as the type of arrangement (series or parallel) and manufacturing materials. In addition, the data collected in this study are key to validating future theoretical models of the PTC. Finally, considering the real operating conditions of a PTC in conjunction with meteorological variables could also be useful for predicting the system’s thermal performance using artificial intelligence-based models. Full article
Show Figures

Figure 1

19 pages, 6293 KB  
Article
Biogeography of Cryoconite Bacterial Communities Across Continents
by Qianqian Ge, Zhiyuan Chen, Yeteng Xu, Wei Zhang, Guangxiu Liu, Tuo Chen and Binglin Zhang
Microorganisms 2026, 14(1), 162; https://doi.org/10.3390/microorganisms14010162 - 11 Jan 2026
Viewed by 212
Abstract
The geographic distribution patterns of microorganisms and their underlying mechanisms are central topics in microbiology, crucial for understanding ecosystem functioning and predicting responses to global change. Cryoconite absorbs solar radiation to form cryoconite holes, and because it lies within these relatively deep holes, [...] Read more.
The geographic distribution patterns of microorganisms and their underlying mechanisms are central topics in microbiology, crucial for understanding ecosystem functioning and predicting responses to global change. Cryoconite absorbs solar radiation to form cryoconite holes, and because it lies within these relatively deep holes, it faces limited interference from surrounding ecosystems, often being seen as a fairly enclosed environment. Moreover, it plays a dominant role in the biogeochemical cycling of key elements such as carbon and nitrogen, making it an ideal model for studying large-scale microbial biogeography. In this study, we analyzed bacterial communities in cryoconite across a transcontinental scale of glaciers to elucidate their biogeographical distribution and community assembly processes. The cryoconite bacterial communities were predominantly composed of Proteobacteria, Cyanobacteria, Bacteroidota, and Actinobacteriota, with significant differences in species composition across geographical locations. Bacterial diversity was jointly driven by geographical and anthropogenic factors: species richness exhibited a hump-shaped relationship with latitude and was significantly positively correlated with the Human Development Index (HDI). The significant positive correlation may stem from nutrient input and microbial dispersal driven by high-HDI regions’ industrial, agricultural, and human activities. Beta diversity demonstrated a distance-decay pattern along spatial gradients such as latitude and geographical distance. Analysis of community assembly mechanisms revealed that stochastic processes predominated across continents, with a notable scale dependence: as the spatial scale increased, the role of deterministic processes (heterogeneous selection) decreased, while stochastic processes (dispersal limitation) strengthened and became the dominant force. By integrating geographical, climatic, and anthropogenic factors into a unified framework, this study enhances the understanding of the spatial-scale-driven mechanisms shaping cryoconite bacterial biogeography and emphasizes the need to prioritize anthropogenic influences to predict the trajectory of cryosphere ecosystem evolution under global change. Full article
(This article belongs to the Special Issue Polar Microbiome Facing Climate Change)
Show Figures

Figure 1

32 pages, 3689 KB  
Article
Impact of Urban Morphology on Microclimate and Thermal Comfort in Arid Cities: A Comparative Study and Modeling in Béchar
by Fatima Zohra Benlahbib, Djamel Alkama, Naima Hadj Mohamed, Zouaoui R. Harrat, Saïd Bennaceur, Ercan Işık, Fatih Avcil, Nahla Hilal, Sheelan Mahmoud Hama and Marijana Hadzima-Nyarko
Sustainability 2026, 18(2), 659; https://doi.org/10.3390/su18020659 - 8 Jan 2026
Viewed by 286
Abstract
Urban morphology plays a decisive role in regulating microclimate and outdoor thermal comfort in arid cities, where extreme heat and intense solar radiation amplify thermal stress. This study examines the influence of four contrasting urban fabrics in Béchar (Algerian Sahara): the vernacular Ksar, [...] Read more.
Urban morphology plays a decisive role in regulating microclimate and outdoor thermal comfort in arid cities, where extreme heat and intense solar radiation amplify thermal stress. This study examines the influence of four contrasting urban fabrics in Béchar (Algerian Sahara): the vernacular Ksar, the regular-grid colonial fabric, a modern large-scale residential estate, and low-density detached housing, on local microclimatic conditions. An integrated methodological framework is adopted, combining qualitative morphological analysis, quantitative indicators including density, porosity, height-to-width ratio, and sky view factor, in situ microclimatic measurements, and high-resolution ENVI-met simulations performed for the hottest summer day. Results show that compact urban forms, characterized by low sky view factor values, markedly reduce radiative exposure and improve thermal performance. The vernacular Ksar, exhibiting the lowest SVF, records the lowest mean radiant temperature (approximately 45 °C) and the most favorable average comfort conditions (PMV = 3.77; UTCI = 38.37 °C), representing a reduction of about 3 °C, while its high-thermal-inertia earthen materials ensure effective nocturnal thermal recovery (PMV ≈ 1.06; UTCI = 27.8 °C at 06:00). In contrast, more open modern fabrics, including the colonial grid, large-scale estates, and low-density housing, experience higher thermal stress, reflecting vulnerability to solar exposure and limited thermal inertia. Validation against field measurements confirms model reliability. These findings highlight the continued relevance of vernacular bioclimatic principles for sustainable urban design in arid climates. Full article
(This article belongs to the Section Green Building)
Show Figures

Figure 1

30 pages, 1635 KB  
Article
Modelling the Impact of Solar Power Expansion on Generation Costs in Kenya
by Margaret Ntangenoi Letiyan, Moses Barasa Kabeyi and Oludolapo Olanrewaju
Energies 2026, 19(2), 296; https://doi.org/10.3390/en19020296 - 6 Jan 2026
Viewed by 376
Abstract
Climate change and increasing greenhouse gas emissions are driving the global transition to clean energy, with solar energy experiencing the fastest growth among renewable sources in 2024. Solar PV for energy generation in Kenya is gaining momentum as the country moves towards achieving [...] Read more.
Climate change and increasing greenhouse gas emissions are driving the global transition to clean energy, with solar energy experiencing the fastest growth among renewable sources in 2024. Solar PV for energy generation in Kenya is gaining momentum as the country moves towards achieving 100% clean energy by 2030. As solar PV penetration in the grid grows, it is necessary to evaluate its impact on system costs to inform policy decisions on capacity expansion options in the Least-Cost Power Development Plan (LCPDP). This study investigates the effect of large-scale solar PV expansion on electricity costs using the Open-Source Energy Modelling System (OSeMOSYS), a modular, bottom-up capacity expansion model. Four scenarios were developed to assess different levels of solar PV penetration: business-as-usual (BAU), moderate-solar-PV expansion (MSPV), high-solar-PV expansion (HSPV), and very-high-solar-PV expansion (VHSPV). The results indicate that, while overall solar PV expansion significantly contributes to decarbonising Kenya’s electricity mix by displacing fossil-based generation, it also increases annual investment obligations and, consequently, total system costs. The system-levelised cost of electricity (LCOE) is shown to rise by 0.2%, 5.7%, and 14.0% under MSPV, HSPV, and VHSPV, respectively, compared to BAU. Analysing the various cost components against sustainability indicators reveals that the least-cost scenario is BAU while the most favourable scenario based on sustainability indicators is VHSPV, which performs best across technical, environmental, and institutional dimensions but less favourably on economic and social aspects, thereby highlighting a trade-off between sustainability and cost minimisation, at least in the short term. Full article
Show Figures

Figure 1

Back to TopTop