Sign in to use this feature.

Years

Between: -

Subjects

remove_circle_outline
remove_circle_outline
remove_circle_outline
remove_circle_outline
remove_circle_outline
remove_circle_outline

Journals

Article Types

Countries / Regions

Search Results (5)

Search Parameters:
Keywords = kinetic launcher

Order results
Result details
Results per page
Select all
Export citation of selected articles as:
14 pages, 4399 KB  
Article
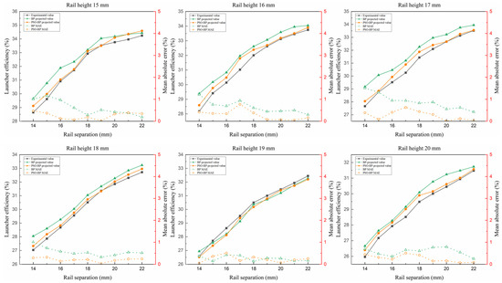
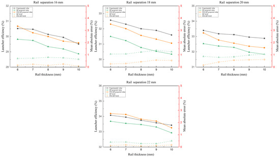
Study on the Prediction of Launcher Efficiency of Electromagnetic Launcher Based on Particle Swarm Optimization-Improved BP Neural Network
by Nan Xiao, Jun Li and Ping Yan
Energies 2024, 17(18), 4547; https://doi.org/10.3390/en17184547 - 10 Sep 2024
Cited by 1 | Viewed by 1890
Abstract
Launcher efficiency is an important index for evaluating the performance of the electromagnetic launcher, and it reflects the ability of the launcher to convert input electrical energy into kinetic energy of the armature. In this paper, the launcher efficiency is taken as the [...] Read more.
Launcher efficiency is an important index for evaluating the performance of the electromagnetic launcher, and it reflects the ability of the launcher to convert input electrical energy into kinetic energy of the armature. In this paper, the launcher efficiency is taken as the objective function of bore parameter optimization, and particle swarm optimization is used to optimize the initial parameters of the BP neural network to improve the accuracy of the neural network in predicting launcher efficiency. The results show the following: (1) The predicted efficiency of the launcher shows the same trend as the experimental results. When the ratio of rail separation and rail height is greater than 1.75, the rate of change in the launcher efficiency curve decreases as the rail separation increases. (2) The weight of the influence of each parameter on the launcher efficiency follows the following law: convex arc height > rail separation > rail height > rail thickness. (3) The mean absolute error of the BP neural network prediction is 0.70%; after optimization by PSO, the mean absolute error is reduced to 0.28% and the mean relative accuracy is improved from 0.9774 to 0.9910, which indicates the feasibility of the PSO-BP neural network for the prediction of the launcher efficiency of an electromagnetic launcher. Full article
(This article belongs to the Section F: Electrical Engineering)
Show Figures

Figure 1

17 pages, 10425 KB  
Article
Effect of Bore Parameters and Effective Mass Ratio on Launcher Effective Efficiency
by Nan Xiao, Jun Li, Ping Yan and Wen Tian
Energies 2024, 17(15), 3817; https://doi.org/10.3390/en17153817 - 2 Aug 2024
Viewed by 1299
Abstract
The electromagnetic rail launcher has the advantages of high muzzle velocity, long-range and controllability and has received extensive attention from researchers in various countries. The launcher efficiency reflects the ability of the launcher to convert electrical energy into kinetic energy of the load [...] Read more.
The electromagnetic rail launcher has the advantages of high muzzle velocity, long-range and controllability and has received extensive attention from researchers in various countries. The launcher efficiency reflects the ability of the launcher to convert electrical energy into kinetic energy of the load and is an important parameter of the electromagnetic rail launcher, which includes the launcher effective efficiency and launcher ineffective efficiency. The bore parameters and the effective mass ratio are important factors for the launcher efficiency. Finite element simulations and experiments were carried out to study the effects of rail separation, the convex arc height and the effective mass ratio on the launcher effective efficiency. Three conclusions were obtained. (1) The launcher effective efficiency increased with the growth of the effective mass ratio, the launcher effective efficiency rose from 7.91% to 17.17% when the effective mass ratio was in the range of 0.28~0.56, and the average value of the improvement in the launcher effective efficiency under different conditions of bore parameters is 8.24%. (2) The launcher effective efficiency rose with the increment in the rail separation. As the rail separation increased from 14 mm to 16 mm, the launcher effective efficiency improved by an average of 0.70%, and the increment in the launcher effective efficiency decreased with the growth of rail separation. (3) The launcher effective efficiency increased with the growth in the convex arc height. As the convex arc height rose from 0 mm to 1 mm, the launcher effective efficiency improved by 0.77% on average. Moreover, the muzzle velocity and the acceleration process of the armature in the bore were calculated. The conclusions were the same as the conclusions of the experiments. Full article
(This article belongs to the Section F: Electrical Engineering)
Show Figures

Figure 1

13 pages, 3794 KB  
Article
Evaluating a Controlled Electromagnetic Launcher for Safe Remote Drug Delivery
by John LaRocco, Qudsia Tahmina and John Simonis
Technologies 2024, 12(5), 69; https://doi.org/10.3390/technologies12050069 - 17 May 2024
Cited by 1 | Viewed by 4963
Abstract
Biologists and veterinarians rely on dart projectors to inject animals with drugs, take biopsies from specimens, or inject tracking chips. Firearms, air guns, and other launchers are limited in their ability to precisely control the kinetic energy of a projectile, which can injure [...] Read more.
Biologists and veterinarians rely on dart projectors to inject animals with drugs, take biopsies from specimens, or inject tracking chips. Firearms, air guns, and other launchers are limited in their ability to precisely control the kinetic energy of a projectile, which can injure the animal if too high. In order to improve the safety of remote drug delivery, a lidar-modulated electromagnetic launcher and a soft drug delivery dart were prototyped. A single-stage revolver coilgun and soft dart were designed and tested at distances up to 8 m. With a coil efficiency of 2.25%, the launcher could consistently deliver a projectile at a controlled kinetic energy of 1.00 ± 0.006 J and an uncontrolled kinetic energy of 2.66 ± 0.076 J. Although modifications to charging time, sensors, and electronics could improve performance, our launcher performed at the required level at the necessary distances. The precision achieved with commercial components enables many other applications, from law enforcement to manufacturing. Full article
(This article belongs to the Section Manufacturing Technology)
Show Figures

Figure 1

16 pages, 10763 KB  
Article
Influence of Long-Term Storage and UV Light Exposure on Characteristics of Polyurethane Foams for Cryogenic Insulation
by Beatrise Sture, Vladimir Yakushin, Laima Vevere and Ugis Cabulis
Materials 2023, 16(22), 7071; https://doi.org/10.3390/ma16227071 - 7 Nov 2023
Cited by 7 | Viewed by 2742
Abstract
Rigid polyurethane (PUR) foams have been the most effective insulation material used in space launchers since the beginning of cryogenic fuel use, due to their outstanding thermal and mechanical properties. In this study, spray-applied PUR foams using different ratios of amine-based catalysts were [...] Read more.
Rigid polyurethane (PUR) foams have been the most effective insulation material used in space launchers since the beginning of cryogenic fuel use, due to their outstanding thermal and mechanical properties. In this study, spray-applied PUR foams using different ratios of amine-based catalysts were produced. Due to climate change, several restrictions have been made regarding the usage of blowing agents used for PUR foam production. Lately, hydrofluoroolefins (HFOs) have been suggested as an alternative for PUR foam production due to their low global warming potential (GWP) and ozone depletion potential (ODP), replacing the hydrofluorocarbons (HFCs) so far used. This change in blowing agents naturally altered the usage of catalysts. Reactive amine-based catalysts are less hazardous because of their low volatility and ability to react successfully with isocyanate or polyols. Spray-applied PUR foams with a potential application for cryogenic insulation were produced and tested for long-term storage, analyzing parameters such as the pH value of polyol composition, foaming kinetics (trise, tcream), etc. Athermal analysis (TG, DSC) was also applied to developed materials, as well as artificial ageing by exposing samples to UV light. It was discovered that PUR foams obtained using reactive amine-based catalysts, such as Polycat 203 and 218, have a higher integral heat capacity, but polyol mixtures containing these catalysts cannot exceed a storage time of more than 4 months. It was also observed from artificial ageing tests of PUR cryogenic insulation by exposure to UV light that the thickness of the degraded layer reached 0.8 mm (after 1000 h), but no significant destruction of cellular structure deeper in the material was observed. Full article
(This article belongs to the Special Issue Advances in Development and Characterization of Polyurethane Foams)
Show Figures

Figure 1

13 pages, 2689 KB  
Article
Design and Dynamics of Kinetic Launcher for Unmanned Aerial Vehicles
by Mirosław Kondratiuk and Leszek Ambroziak
Appl. Sci. 2020, 10(8), 2949; https://doi.org/10.3390/app10082949 - 24 Apr 2020
Cited by 11 | Viewed by 17626
Abstract
Assisting in the starting procedure of Unmanned Aerial Vehicles (UAVs) is one of many very important areas of modern aviation research. Supported start-up saves fuel or electrical energy, increases operator safety and level of autonomy, extends the application area, and, in some applications, [...] Read more.
Assisting in the starting procedure of Unmanned Aerial Vehicles (UAVs) is one of many very important areas of modern aviation research. Supported start-up saves fuel or electrical energy, increases operator safety and level of autonomy, extends the application area, and, in some applications, even enables the operator to shape the motion characteristics of the initial phase of a UAV’s flight. Currently used solutions, depending on an aircraft’s class, are based on the utilization of rubber, pneumatic or electromagnetic launchers. All of these launchers are used for the medium class of UAVs and all of them use the potential energy previously stored in stretched rubber, compressed air or electrical voltage. In this paper, authors propose the novel concept of a launcher powered through kinetic energy stored in a rotary wheel driven by an electric motor. Using the transmission systems of the drive and the controlled clutch and an electromagnetic brake, it is possible to precisely control the speed and acceleration of the launched object. Within the paper, the authors present and discuss the applied equations of dynamics, the results of a simulation that was carried out using the MATLAB/Simulink software and a conceptual CAD model of preliminary engineering solutions for the kinetic UAV launcher. The work is summarized in the conclusions section, which details the practical implementation of the device. Full article
(This article belongs to the Section Mechanical Engineering)
Show Figures

Graphical abstract

Back to TopTop