Sign in to use this feature.

Years

Between: -

Subjects

remove_circle_outline
remove_circle_outline
remove_circle_outline
remove_circle_outline
remove_circle_outline
remove_circle_outline

Journals

Article Types

Countries / Regions

Search Results (5)

Search Parameters:
Keywords = irrigation water quality (IWQ)

Order results
Result details
Results per page
Select all
Export citation of selected articles as:
28 pages, 8767 KB  
Article
Assessing Surface Water Quality Using Risk Indicators, Geographic Information System Modeling Techniques, and Multi-Statistical Methods in Arid Regions to Maintain the Sustainability of Water Resources
by Ehab Hendawy, Abdel-Aziz A. Belal, Nazih Y. Rebouh, Mohamed S. Shokr, Elsayed Said Mohamed, Abd El Aziz S. Sheta and Ayman F. Abou-Hadid
Agronomy 2024, 14(12), 2834; https://doi.org/10.3390/agronomy14122834 - 28 Nov 2024
Cited by 8 | Viewed by 2311
Abstract
Assessing the water quality of surface water bodies is one of the primary duties of environmental authorities in charge of water management. Irrigation water quality (IWQ) of the irrigation canals in the middle Nile delta, Egypt, was assessed by GIS-based research of water [...] Read more.
Assessing the water quality of surface water bodies is one of the primary duties of environmental authorities in charge of water management. Irrigation water quality (IWQ) of the irrigation canals in the middle Nile delta, Egypt, was assessed by GIS-based research of water suitability indicators (risks connected with salinity, permeability, ion toxicity, and other factors on delicate crops), utilizing a thorough examination of 27 samples gathered from the irrigation canals surrounding the Kitchener drain Egypt, based on thirteen chemical characteristics in 2023. The maps in this work were created with ArcGIS version 10.7. A procedure known as Inverse Distance Weight (IDW) was used to show the variations in the concentrations of the different heavy metals and to offer a geographic representation of the water quality. We utilized principal component analysis (PCA) to pinpoint potential sources of heavy metals. To assess soil contamination levels in the study area, various methods were used such as contamination factors (CFs), heavy metal pollution index (HPI), ecological risks index (ERI), pollution load index (PLI), and the modified degree of contamination (mCd) for seven targeted metals: As, Cd, Co, Cu, Ni, Pb, and Zn. The findings showed that every sample had a medium irrigation appropriateness rating as the IWQI values range from 25.43 to 34.50. According to the different contamination indices, the study area is suffering high contamination as the mean values of HPI, ERI, PLI, and MCd are 3570.26 ± 621.40, 804.62 ± 164.88, 6.62 ± 6.06, and 5.10 ± 0.89, respectively. PCA results revealed significant metal contamination in multiple enterprises showing that they are present simultaneously and may have a common source. This source could be an industrial discharge, agricultural runoff or other process that affects the metals’ concentrations in surface water. These results give decision-makers important information for managing surface water resources and encouraging sustainable water management in the research region. By educating the local community about artificial groundwater recharge, rainwater collection, and surface water canal management, government authorities can gradually lessen the potential effects of poor water quality in these areas. It is also recommended to develop a risk management module that can assess water threats for agricultural and public health applications. The ultimate goal is to incorporate this descriptive and sensitive research into a risk management system that can generate quick reports for policymakers and decision-makers. Full article
(This article belongs to the Section Water Use and Irrigation)
Show Figures

Figure 1

23 pages, 4017 KB  
Article
Exploring Machine Learning Models in Predicting Irrigation Groundwater Quality Indices for Effective Decision Making in Medjerda River Basin, Tunisia
by Fatma Trabelsi and Salsebil Bel Hadj Ali
Sustainability 2022, 14(4), 2341; https://doi.org/10.3390/su14042341 - 18 Feb 2022
Cited by 49 | Viewed by 5331
Abstract
Over the last years, the global application of machine learning (ML) models in groundwater quality studies has proved to be a robust alternative tool to produce highly accurate results at a low cost. This research aims to evaluate the ability of machine learning [...] Read more.
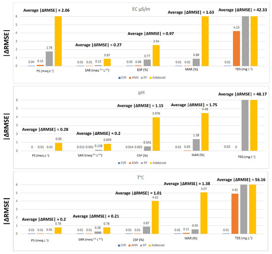
Over the last years, the global application of machine learning (ML) models in groundwater quality studies has proved to be a robust alternative tool to produce highly accurate results at a low cost. This research aims to evaluate the ability of machine learning (ML) models to predict the quality of groundwater for irrigation purposes in the downstream Medjerda river basin (DMB) in Tunisia. The random forest (RF), support vector regression (SVR), artificial neural networks (ANN), and adaptive boosting (AdaBoost) models were tested to predict the irrigation quality water parameters (IWQ): total dissolved solids (TDS), potential salinity (PS), sodium adsorption ratio (SAR), exchangeable sodium percentage (ESP), and magnesium adsorption ratio (MAR) through low-cost, in situ physicochemical parameters (T, pH, EC) as input variables. In view of this, seventy-two (72) representative groundwater samples have been collected and analysed for major cations and anions during pre-and post-monsoon seasons of 3 years (2019–2021) to compute IWQ parameters. The performance of the ML models was evaluated according to Pearson’s correlation coefficient (r), the root means square error (RMSE), and the relative bias (RBIAS). The model sensitivity analysis was evaluated to identify input parameters that considerably impact the model predictions using the one-factor-at-time (OFAT) method of the Monte Carlo (MC) approach. The results show that the AdaBoost model is the most appropriate model for predicting all parameters (r was ranged between 0.88 and 0.89), while the random forest model is suitable for predicting only four parameters: TDS, PS, SAR, and ESP (r was with 0.65 to 0.87). Added to that, this study found out that the ANN and SVR models perform well in predicting three parameters (TDS, PS, SAR) and two parameters (PS, SAR), respectively, with the most optimal value of generalization ability (GA) close to unity (between 1 and 0.98). Moreover, the results of the uncertainty analysis confirmed the prominent superiority and robustness of the ML models to produce excellent predictions with only a few physicochemical parameters as inputs. The developed ML models are relevant for predicting cost-effective irrigation water quality indices and can be applied as a DSS tool to improve water management in the Medjerda basin. Full article
Show Figures

Figure 1

23 pages, 9259 KB  
Article
Groundwater Suitability for Drinking and Irrigation Using Water Quality Indices and Multivariate Modeling in Makkah Al-Mukarramah Province, Saudi Arabia
by Maged El Osta, Milad Masoud, Abdulaziz Alqarawy, Salah Elsayed and Mohamed Gad
Water 2022, 14(3), 483; https://doi.org/10.3390/w14030483 - 6 Feb 2022
Cited by 134 | Viewed by 10564
Abstract
Water shortage and quality are major issues in many places, particularly arid and semi-arid regions such as Makkah Al-Mukarramah province, Saudi Arabia. The current work was conducted to examine the geochemical mechanisms influencing the chemistry of groundwater and assess groundwater resources through several [...] Read more.
Water shortage and quality are major issues in many places, particularly arid and semi-arid regions such as Makkah Al-Mukarramah province, Saudi Arabia. The current work was conducted to examine the geochemical mechanisms influencing the chemistry of groundwater and assess groundwater resources through several water quality indices (WQIs), GIS methods, and the partial least squares regression model (PLSR). For that, 59 groundwater wells were tested for different physical and chemical parameters using conventional analytical procedures. The results showed that the average content of ions was as follows: Na+ > Ca2+ > Mg 2+ > K+ and Cl > SO42− > HCO32− > NO3 > CO3. Under the stress of evaporation and saltwater intrusion associated with the reverse ion exchange process, the predominant hydrochemical facies were Ca-HCO3, Na-Cl, mixed Ca-Mg-Cl-SO4, and Na-Ca-HCO3. The drinking water quality index (DWQI) has indicated that only 5% of the wells were categorized under good to excellent for drinking while the majority (95%) were poor to unsuitable for drinking, and required appropriate treatment. Furthermore, the irrigation water quality index (IWQI) has indicated that 45.5% of the wells were classified under high to severe restriction for agriculture, and can be utilized only for high salt tolerant plants. The majority (54.5%) were deemed moderate to no restriction for irrigation, with no toxicity concern for most plants. Agriculture indicators such as total dissolved solids (TDS), potential salinity (PS), sodium absorption ratio (SAR), and residual sodium carbonate (RSC) had mean values of 2572.30, 33.32, 4.84, and −21.14, respectively. However, the quality of the groundwater in the study area improves with increased rainfall and thus recharging the Quaternary aquifer. The PLSR models, which are based on physicochemical characteristics, have been shown to be the most efficient as alternative techniques for determining the six WQIs. For instance, the PLSR models of all IWQs had determination coefficients values of R2 ranging between 0.848 and 0.999 in the Cal., and between 0.848 and 0.999 in the Val. datasets, and had model accuracy varying from 0.824 to 0.999 in the Cal., and from 0.817 to 0.989 in the Val. datasets. In conclusion, the combination of physicochemical parameters, WQIs, and multivariate modeling with statistical analysis and GIS tools is a successful and adaptable methodology that provides a comprehensive picture of groundwater quality and governing mechanisms. Full article
(This article belongs to the Special Issue Water Quality Modeling and Monitoring)
Show Figures

Figure 1

26 pages, 5719 KB  
Article
Application of Irrigation Water Quality Indices and Multivariate Statistical Techniques for Surface Water Quality Assessments in the Northern Nile Delta, Egypt
by Salah Elsayed, Hend Hussein, Farahat S. Moghanm, Khaled M. Khedher, Ebrahem M. Eid and Mohamed Gad
Water 2020, 12(12), 3300; https://doi.org/10.3390/w12123300 - 24 Nov 2020
Cited by 100 | Viewed by 6996
Abstract
Under sustainable development conditions, the water quality of irrigation systems is a complex issue which involves the combined effects of several surface water management parameters. Therefore, this work aims to enhance the surface water quality assessment and geochemical controlling mechanisms and to assess [...] Read more.
Under sustainable development conditions, the water quality of irrigation systems is a complex issue which involves the combined effects of several surface water management parameters. Therefore, this work aims to enhance the surface water quality assessment and geochemical controlling mechanisms and to assess the validation of surface water networks for irrigation using six Water Quality Indices (WQIs) supported by multivariate modelling techniques, such as Principal Component Regression (PCR), Support Vector Machine Regression (SVMR) and Stepwise Multiple Linear Regression (SMLR). A total of 110 surface water samples from a network of surface water cannels during the summers of 2018 and 2019 were collected for this research and standard analytical techniques were used to measure 21 physical and chemical parameters. The physicochemical properties revealed that the major ions concentrations were reported in the following order: Ca2+ > Na+ > Mg2+ > K+ and alkalinity > SO42− > Cl > NO3 > F. The trace elements concentrations were reported in the following order: Fe > Mn > B > Cr > Pb > Ni > Cu > Zn > Cd. The surface water belongs to the Ca2+-Mg2+-HCO3 and Ca2+-Mg2+-Cl-SO42− water types, under a stress of silicate weathering and reverse ion exchange process. The computation of WQI values across two years revealed that 82% of samples represent a high class and the remaining 18% constitute a medium class of water quality for irrigation use with respect to the Irrigation Water Quality (IWQ) value, while the Sodium Percentage (Na%) values across two years indicated that 96% of samples fell into in a healthy class and 4% fell into in a permissible class for irrigation. In addition, the Sodium Absorption Ratio (SAR), Permeability Index (PI), Kelley Index (KI) and Residual Sodium Carbonate (RSC) values revealed that all surface water samples were appropriate for irrigation use. The PCR and SVMR indicated accurate and robust models that predict the six WQIs in both datasets of the calibration (Cal.) and validation (Val.), with R2 values varying from 0.48 to 0.99. The SMLR presented estimated the six WQIs well, with an R2 value that ranged from 0.66 to 0.99. In conclusion, WQIs and multivariate statistical analyses are effective and applicable for assessing the surface water quality. The PCR, SVMR and SMLR models provided robust and reliable estimates of the different indices and showed the highest R2 and the highest slopes values close to 1.00, as well as minimum values of RMSE in all models. Full article
(This article belongs to the Section Water Quality and Contamination)
Show Figures

Figure 1

13 pages, 2962 KB  
Article
Groundwater Quality Assessment for Sustainable Drinking and Irrigation
by Esmaeil Asadi, Mohammad Isazadeh, Saeed Samadianfard, Mohammad Firuz Ramli, Amir Mosavi, Narjes Nabipour, Shahaboddin Shamshirband, Eva Hajnal and Kwok-Wing Chau
Sustainability 2020, 12(1), 177; https://doi.org/10.3390/su12010177 - 24 Dec 2019
Cited by 159 | Viewed by 12785
Abstract
Identification and management of the groundwater quality are of utmost importance for maintaining freshwater resources in arid and semi-arid areas, which is essential for sustainable development. Based on the quality of the groundwater in various areas, local policymakers and water resource managers can [...] Read more.
Identification and management of the groundwater quality are of utmost importance for maintaining freshwater resources in arid and semi-arid areas, which is essential for sustainable development. Based on the quality of the groundwater in various areas, local policymakers and water resource managers can allocate the usage of resources for either drinking or agricultural purposes. This research aims to identify suitable areas of water pumping for drinking and agricultural harvest in the Tabriz aquifer, located in East Azerbaijan province, northwest Iran. A groundwater compatibility study was conducted by analyzing Electrical conductivity (EC), total dissolved solids (TDS), Chloride (Cl), Calcium (Ca), Magnesium (Mg), Sodium (Na), Potassium (K), Sulfate (SO4), Total hardness (TH), Bicarbonate (HCO3), pH, carbonate (CO3), the and Sodium Adsorption Ratio (SAR) obtained from 39 wells in the time period from 2003 to 2014. The Water Quality Index (WQI) and irrigation water quality (IWQ) index are respectively utilized due to their high importance in identifying the quality of water resources for irrigation and drinking purposes. The WQI index zoning for drinking classified water as excellent, good, or poor. The study concludes that most drinking water harvested for urban and rural areas is ‘excellent water’ or ‘good water’. The IWQ index average for the study area is reported to be in the range of 25.9 to 34.55. The results further revealed that about 37 percent (296 km2) of groundwater has high compatibility, and 63 percent of the study area (495 km2) has average compatibility for agricultural purposes. The trend of IWQ and WQI indexes demonstrates that groundwater quality has been declining over time. Full article
Show Figures

Figure 1

Back to TopTop