Sign in to use this feature.

Years

Between: -

Subjects

remove_circle_outline
remove_circle_outline
remove_circle_outline
remove_circle_outline

Journals

Article Types

Countries / Regions

Search Results (13)

Search Parameters:
Keywords = intestinal bowel ultrasonography

Order results
Result details
Results per page
Select all
Export citation of selected articles as:
17 pages, 892 KB  
Systematic Review
Transabdominal Intestinal Ultrasonography in Monitoring and Predicting Outcomes in Ulcerative Colitis—A Systematic Review
by Sabrina Josefsen, Tobias Reinhold Larsen, Rune Wilkens, Jakob Benedict Seidelin, Johan Burisch, Mohamed Attauabi and Jacob Tveiten Bjerrum
J. Clin. Med. 2026, 15(1), 35; https://doi.org/10.3390/jcm15010035 (registering DOI) - 20 Dec 2025
Abstract
Background/Objectives: Intestinal ultrasound (IUS) is increasingly used to monitor ulcerative colitis (UC), but its predictive value remains unclear. This systematic review evaluated the ability of IUS parameters and scores to predict short- and long-term treatment response, remission, and adverse outcomes in hospitalized and [...] Read more.
Background/Objectives: Intestinal ultrasound (IUS) is increasingly used to monitor ulcerative colitis (UC), but its predictive value remains unclear. This systematic review evaluated the ability of IUS parameters and scores to predict short- and long-term treatment response, remission, and adverse outcomes in hospitalized and outpatient UC populations. Methods: A systematic review was conducted according to Cochrane and PRISMA guidelines. MEDLINE and Embase were searched for prospective studies assessing IUS as a predictor of clinical or endoscopic response, remission, relapse, or adverse outcomes in adult UC. Two reviewers independently performed screening, data extraction, and QUADAS-2 assessment. Results: Eighteen prospective studies were included: eleven outpatient studies and seven involving hospitalized patients treated with intravenous corticosteroids (IVCS). In hospitalized patients, bowel wall thickness (BWT) was the most consistent predictor of treatment failure, rescue therapy, colectomy, and clinical response. Baseline BWT showed variable performance, but once IVCS was initiated, early BWT change within 48–72 h was the strongest marker of disease trajectory. Non-responders had higher BWT and smaller reductions. A BWT ≥ 4 mm, absolute reduction ≤ 1 mm, or relative reduction ≤ 20% at 48 h reliably identified patients needing rescue therapy (area under the curve (AUC) values of 0.77 (95% confidence interval (CI) 0.71–0.74), 0.71 (95% CI 0.56–0.86), and 0.74 (95% CI 0.60–0.88)). Colectomy risk was similarly predicted: BWT < 3 mm at 48 h was associated with no colectomies, whereas BWT ≥ 4 mm or persistently elevated BWT at day 6 markedly increased risk (Odds ratio (OR) 9.5-fold (95% CI 1.4–64.0) and OR 8.3 (95% CI 1.7–40.0), respectively). Other sonographic features (loss of haustration, increased vascularity) added supplementary but less consistent value. In outpatients, BWT also demonstrated the strongest predictive accuracy. BWT ≤ 3.6 mm at 2 weeks and <3.0 mm at 6 weeks were associated with early endoscopic remission (area under the receiver operating characteristic (AUROC) of 0.87 (95% CI 0.71–1.00) and 0.82 (95% CI 0.63–1.00), respectively). Dynamic changes with ≥23–25% relative reduction predicted clinical or endoscopic response (AUROC of 0.81 (95% CI 0.61–1.00) and OR of 13.9 (95% CI 1.13–1986.85), respectively). Persistent BWT > 3.5 mm or minimal reduction (<20% or <1 mm) indicated a low likelihood of long-term remission. Composite vascularity-based indices, particularly the Milan Ultrasound Criteria (MUC), strengthened prediction: MUC ≤ 4.3 or ≥2-point reduction at 12 weeks predicted long-term remission (AUROC 0.88 (95% CI 0.750–0.952) and 0.82 (95% CI 0.68–0.91), respectively), while MUC ≥ 7.7 indicated high risk of treatment failure or colectomy (AUROC 0.77 (95% CI: 0.73–0.82)). Conclusions: Across clinical settings, BWT consistently emerged as the strongest IUS predictor of UC treatment outcomes. Early BWT change within 48–72 h in hospitalized patients and absolute BWT values at 2–6 weeks in outpatients showed high predictive accuracy for response, remission, and colectomy. Composite indices incorporating vascularity further improved prediction. These findings support the incorporation of IUS into early treatment-response algorithms and underscore the need for standardized cut-offs and multicenter validation. Full article
(This article belongs to the Special Issue Inflammatory Bowel Disease: From Diagnosis to Treatment—2nd Edition)
Show Figures

Figure 1

21 pages, 529 KB  
Review
Is Transmural Healing an Achievable Goal in Inflammatory Bowel Disease?
by Ilaria Faggiani, Virginia Solitano, Ferdinando D’Amico, Tommaso Lorenzo Parigi, Alessandra Zilli, Federica Furfaro, Laurent Peyrin-Biroulet, Silvio Danese and Mariangela Allocca
Pharmaceuticals 2025, 18(8), 1126; https://doi.org/10.3390/ph18081126 - 27 Jul 2025
Cited by 1 | Viewed by 2171
Abstract
Background/Objectives: In the era of treat-to-target strategies in inflammatory bowel disease (IBD), transmural healing (TH) is gaining recognition as a promising therapeutic goal. TH has been associated with significantly better long-term outcomes, including reduced rates of hospitalization, surgery, and the need for [...] Read more.
Background/Objectives: In the era of treat-to-target strategies in inflammatory bowel disease (IBD), transmural healing (TH) is gaining recognition as a promising therapeutic goal. TH has been associated with significantly better long-term outcomes, including reduced rates of hospitalization, surgery, and the need for therapy escalation. Cross-sectional imaging techniques, such as intestinal ultrasound (IUS), magnetic resonance imaging (MRI), and computed tomography enterography (CTE), offer a comprehensive, non-invasive means to assess this deeper level of healing. This review explores how TH is currently defined across various imaging modalities and evaluates the feasibility and cost-effectiveness of achieving TH with available therapies. Methods: A literature search was conducted across PubMed, Scopus, and Embase using keywords, including “transmural healing”, “intestinal ultrasonography”, “magnetic resonance imaging”, “computed tomography enterography”, “Crohn’s disease”, “ulcerative colitis”, and “inflammatory bowel disease”. Only English-language studies were considered. Results: Despite growing interest, there is no standardized definition of TH across imaging platforms. Among the modalities, IUS emerges as the most feasible and cost-effective tool, owing to its accessibility, accuracy (sensitivity 62–95.2%, specificity 61.5–100%), and real-time capabilities, though it does have limitations. Current advanced therapies induce TH in roughly 20–40% of patients, with no consistent differences observed between biologics and small molecules. However, TH has only been evaluated as a formal endpoint in a single randomized controlled trial to date. Conclusions: A unified and validated definition of transmural healing is critically needed to harmonize research and guide clinical decision-making. While TH holds promise as a meaningful treatment target linked to improved outcomes, existing therapies often fall short of achieving complete transmural resolution. Further studies are essential to clarify its role and optimize strategies for deep healing in IBD. Full article
(This article belongs to the Special Issue Pharmacotherapy of Inflammatory Bowel Disease)
Show Figures

Figure 1

11 pages, 3626 KB  
Article
Use of Intraoperative Ultrasonography of the Small Bowel to Reduce Histologically Positive Margins in Crohn’s Disease Surgery: A Pilot Study
by Franco Sacchetti, Fabrizio Pizzolante, Mauro Giambusso, Carmen Nesci, Diana Giannarelli, Federica Galiandro, Daniela Pugliese, Franco Scaldaferri, Maria C. Giustiniani, Domenico Balzano, Paola Caprino, Angelo E. Potenza, Laura M. Minordi and Luigi Sofo
J. Clin. Med. 2025, 14(9), 3135; https://doi.org/10.3390/jcm14093135 - 30 Apr 2025
Viewed by 797
Abstract
Background/Objectives: The histological involvement of surgical resection margins in Crohn’s disease (CD) is an important risk factor for postoperative recurrence. The aim of this study was to evaluate the usefulness of intraoperative ultrasonography (IOUS) of the small bowel to best identify the [...] Read more.
Background/Objectives: The histological involvement of surgical resection margins in Crohn’s disease (CD) is an important risk factor for postoperative recurrence. The aim of this study was to evaluate the usefulness of intraoperative ultrasonography (IOUS) of the small bowel to best identify the surgical site of resection and reduce the rate of the histological involvement of margins. Methods: Consecutive patients who underwent ileocolic surgery for CD were prospectively enrolled (IOUS group) and underwent IOUS to fix the resection site. A control historical group of patients undergoing the same surgical procedures was considered and a 1:1 propensity score matching for location of disease and repeated surgery was performed. The primary endpoint was the histological involvement of resection margins. The secondary endpoint was to assess the feasibility of the method. Results: Twenty-seven patients were enrolled in the IOUS group and twenty-seven were enrolled in the non-IOUS group. The two groups were homogeneous in terms of gender, age, smoking, BMI, behavior of disease, and surgical technique. The IOUS group presented a lower rate of histological positive margins (18.5% vs. 48.1%; p = 0.021). No significant differences were found in terms of mean duration of surgery (IOUS: 254.2 min vs. non-IOUS: 225 min [SD = 49.3–77.8]; p = 0.11) or in terms of mean length of surgical specimen (IOUS: 24.1 cm vs. non-IOUS: 34.1 cm [SD = 13.5–23.1]; p = 0.058). Conclusions: IOUS of the small bowel appears to be a useful tool to obtain a lower rate of histologically positive margins with a comparable duration of surgery and no significant difference in the intestinal specimen length. Full article
(This article belongs to the Special Issue Inflammatory Bowel Disease: From Diagnosis to Treatment—2nd Edition)
Show Figures

Figure 1

17 pages, 799 KB  
Article
Efficacy of Upadacitinib Induction Treatment in Moderate-to-Severe Ulcerative Colitis Including Intestinal Ultrasound Assessment: A Multicenter, Real-World Observational Study
by Magdalena Kaniewska, Konrad Lewandowski, Michał Krogulecki, Aleksandra Filipiuk, Maciej Gonciarz, Anna Pietrzak, Maria Janiak, Krystian Adrych, Agnieszka Klufczynska, Grażyna Piotrowicz, Maria Kopertowska-Majchrzak, Anatol Panasiuk, Dagmara Mahadea, Piotr Eder, Agnieszka Tarasiuk, Mariusz Rosołowski, Renata Talar-Wojnarowska, Ewa Małecka-Wojciesko, Ariel Liebert, Maria Kłopocka, Ewa Walecka-Kapica, Anita Gąsiorowska, Beata Galińska, Konrad Leśniakowski, Małgorzata Zwolińska-Wcisło, Anna Naumowicz, Jarosław Daniluk and Grażyna Rydzewskaadd Show full author list remove Hide full author list
J. Clin. Med. 2025, 14(5), 1695; https://doi.org/10.3390/jcm14051695 - 3 Mar 2025
Cited by 2 | Viewed by 3999
Abstract
Background: Upadacitinib (UPA) is a new oral selective Janus Kinase (JAK) inhibitor that has shown high efficacy in the treatment of ulcerative colitis (UC). We present data from a multicenter real-world study. Methods: To assess efficacy of UPA, Total Mayo Score (TMS), fecal [...] Read more.
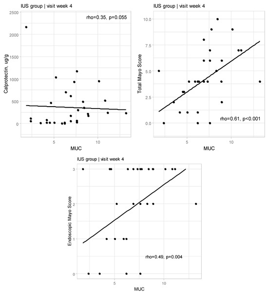
Background: Upadacitinib (UPA) is a new oral selective Janus Kinase (JAK) inhibitor that has shown high efficacy in the treatment of ulcerative colitis (UC). We present data from a multicenter real-world study. Methods: To assess efficacy of UPA, Total Mayo Score (TMS), fecal calprotectin (FC), endoscopy, and intestinal ultrasonography (IUS) were performed. Results: The study population included 76 patients. An amount of 26.3% of the patients were biologics and small molecules-naive, while 73.7% were exposed. By Week 8, 93.4% of the patients had achieved a clinical response (94.7% naive vs. 92.9% exposed), 72.4% achieved endoscopic improvement (78.9% vs. 71.4%), and 57.9% had clinical remission (78.9% vs. 51.8%). Endoscopic remission was achieved in 31.6% of patients (35.0% vs. 30.4%) and biochemical remission in 82.1% (53.3% vs. 68.3%). All of the results were not significantly different apart from the steroid-free clinical remission—36.8% (68% vs. 26.8%, p = 0.002) after 8 weeks of follow-up. IUS was performed in 33 patients. Bowel wall thickness (BWT), inflammatory fat (iFAT), color Doppler signal (CDS), loss of bowel wall stratification (BWS), and Milano Ultrasound Criteria (MUC) had decreased significantly by Weeks 4 and 8 (p < 0.005 for all). Correlation between the IUS results and TMS, FC and endoscopic remission in Week 8 was confirmed (p < 0.001). UPA was well tolerated, and no new safety signals were registered in our group. Conclusions: In this study, UPA was confirmed to be safe and highly effective in inducing remission in UC patients in both the naive group and the biologically exposed patients. The correlation between the IUS results and TMS, FC, and endoscopic remission provides valuable information for clinicians. Full article
(This article belongs to the Section Gastroenterology & Hepatopancreatobiliary Medicine)
Show Figures

Figure 1

15 pages, 3279 KB  
Systematic Review
The Diagnostic Utility of Biochemical Markers and Intestinal Ultrasound Compared with Endoscopy in Patients with Crohn’s Disease and Ulcerative Colitis: A Systemic Review and Meta-Analysis
by David Huynh, Denis Rubtsov, Debapama Basu and Myat Myat Khaing
J. Clin. Med. 2024, 13(11), 3030; https://doi.org/10.3390/jcm13113030 - 21 May 2024
Cited by 8 | Viewed by 3245
Abstract
Background: Inflammatory bowel disease (IBD) consists of Crohn’s disease (CD) and Ulcerative colitis (UC). The main goal of treatment is to obtain mucosal healing via endoscopy. More recently, intestinal ultrasounds, along with biochemical markers, have been increasingly popular as point-of-care testing to monitor [...] Read more.
Background: Inflammatory bowel disease (IBD) consists of Crohn’s disease (CD) and Ulcerative colitis (UC). The main goal of treatment is to obtain mucosal healing via endoscopy. More recently, intestinal ultrasounds, along with biochemical markers, have been increasingly popular as point-of-care testing to monitor treatment response. This systemic review and meta-analysis aimed to assess the diagnostic test performance of ultrasonography and biochemical markers (C-reactive protein and fecal calprotectin) compared with endoscopy for detecting inflammation in IBD. Methods: A comprehensive literature search was conducted using PubMed Medline, EMBASE, ScienceDirect, and CINAHL from 1 January 2018 to 1 January 2024. The included studies were prospective and retrospective observational studies, clinical trials, and cross-sectional studies investigating the diagnostic sensitivity and specificity of ultrasonography, biochemical markers, and endoscopy. Studies were selected based on the Preferred Reporting Items for Systematic Review and Meta-analysis Statement (PRISMA). Results: Of the 1035 studies retrieved, 16 met the inclusion criteria, and most of the included studies were prospective observational studies. Diagnostic test accuracy was conducted, and the pooled sensitivity and specificity of all the studies revealed that ultrasonography has the highest pooled sensitivity, at 85% (95% CI, 78 to 91%), and specificity, at 92% (95% CI, 86 to 96%), as compared with biochemical markers and endoscopy. More specifically, biochemical markers had a pooled sensitivity and specificity of 85% (95% CI, 81 to 87%) and 61% (95% CI, 58 to 64%), respectively, and endoscopy had 60% (95% CI, 52 to 68%) and 82% (95% CI, 76 to 87%), respectively. However, the results also show substantial heterogeneity in the studies because of various populations, protocols, and outcomes in the studies included. This was especially noted in the assessment of biochemical markers, in which a metaregression was performed showing a nonsignificant p-value of 0.8856 for the coefficient. Conclusions: IUS was found to have the highest pooled sensitivity and specificity of all the included studies for diagnosing inflammation in patients with CD and UC, and this, coupled with biochemical markers, can improve diagnostic utility. Full article
(This article belongs to the Section Gastroenterology & Hepatopancreatobiliary Medicine)
Show Figures

Figure 1

16 pages, 1102 KB  
Case Report
Exploring Perforated Jejunal GIST: A Rare Case Report and Review of Molecular and Clinical Literature
by Milos Mirovic, Milica Dimitrijevic Stojanovic, Marina Jovanovic, Vesna Stankovic, Danijela Milosev, Natasa Zdravkovic, Bojan Milosevic, Aleksandar Cvetkovic, Marko Spasic, Berislav Vekic, Ivan Jovanovic, Bojana S. Stojanovic, Marko Petrovic, Ana Bogut, Miodrag Peulic and Bojan Stojanovic
Curr. Issues Mol. Biol. 2024, 46(2), 1192-1207; https://doi.org/10.3390/cimb46020076 - 1 Feb 2024
Cited by 2 | Viewed by 2914
Abstract
This case report details a rare instance of a perforated jejunal gastrointestinal stromal tumor (GIST) in a 76-year-old female patient. The patient presented with acute abdominal pain and distension without any changes in bowel habits or episodes of nausea and vomiting. Initial diagnostics, [...] Read more.
This case report details a rare instance of a perforated jejunal gastrointestinal stromal tumor (GIST) in a 76-year-old female patient. The patient presented with acute abdominal pain and distension without any changes in bowel habits or episodes of nausea and vomiting. Initial diagnostics, including abdominal plain radiography and ultrasonography, were inconclusive; however, a computed tomography (CT) scan revealed pneumoperitoneum and an irregular fluid collection suggestive of small intestine perforations. Surgical intervention uncovered a 35 mm jejunal GIST with a 10 mm perforation. Histopathological examination confirmed a mixed cell type GIST with high malignancy potential, further substantiated by immunohistochemistry markers CD117, DOG1, and vimentin. Molecular analysis illuminated the role of key oncogenes, primarily KIT and PDGFRA mutations, emphasizing the importance of molecular diagnostics in GIST management. Despite the severity of the presentation, the patient’s postoperative recovery was favorable, highlighting the effectiveness of prompt surgical and multidisciplinary approaches in managing complex GIST cases. Full article
Show Figures

Figure 1

11 pages, 3982 KB  
Article
Ultrasonic Diagnosis of Intestinal Obstruction in Neonates-Original Article
by Binbin Guo, Lin Pang, Chang Liu, Xiaoya Chen, Qiang Qiao and Cong Zhang
Diagnostics 2023, 13(5), 995; https://doi.org/10.3390/diagnostics13050995 - 6 Mar 2023
Cited by 5 | Viewed by 4544
Abstract
Background: Intestinal obstruction in neonates is a common problem that requires prompt diagnosis and treatment, and ultrasound could be a potential tool for it. The purpose of this study was to investigate the accuracy of ultrasonography in diagnosing and identifying the cause of [...] Read more.
Background: Intestinal obstruction in neonates is a common problem that requires prompt diagnosis and treatment, and ultrasound could be a potential tool for it. The purpose of this study was to investigate the accuracy of ultrasonography in diagnosing and identifying the cause of intestinal obstruction in neonates, the corresponding ultrasonic manifestations, as well as to utilize the diagnostic method. Methods: We conducted a retrospective study of all neonatal intestinal obstruction in our institute between 2009 and 2022. The accuracy of ultrasonography in the diagnosis of intestinal obstruction and the identification of its etiology was compared with the results of operation as the gold standard. Results: The accuracy of the ultrasonic diagnosis of intestinal obstruction was 91%, and the accuracy of the ultrasonic etiological diagnosis of intestinal obstruction was 84%. The main ultrasound findings for the neonatal intestinal obstruction were dilation and high tension of the proximal bowel and collapse of the distal intestinal. Other major manifestations were the presence of corresponding diseases causing intestinal obstruction at the junction of the dilated and collapsed bowel. Conclusions: Ultrasound has the advantages of being a flexible multi-section dynamic evaluation and a valuable tool to diagnose and identify the cause of intestinal obstruction in neonates. Full article
(This article belongs to the Section Medical Imaging and Theranostics)
Show Figures

Figure 1

12 pages, 725 KB  
Review
Intestinal Elastography in the Diagnostics of Ulcerative Colitis: A Narrative Review
by Maciej Cebula, Jakub Kufel, Anna Grażyńska, Justyna Habas and Katarzyna Gruszczyńska
Diagnostics 2022, 12(9), 2070; https://doi.org/10.3390/diagnostics12092070 - 26 Aug 2022
Cited by 4 | Viewed by 2695
Abstract
Ulcerative colitis (UC) is an inflammatory bowel disease (IBD) that mainly affects developed countries, but the number of cases in developing countries is increasing. We conducted a narrative review on the potential application of ultrasound elastography in the diagnosis and monitoring of UC, [...] Read more.
Ulcerative colitis (UC) is an inflammatory bowel disease (IBD) that mainly affects developed countries, but the number of cases in developing countries is increasing. We conducted a narrative review on the potential application of ultrasound elastography in the diagnosis and monitoring of UC, as this newly emerging method has promising results in other gut diseases. This review fulfilled the PRISMA Statement criteria with a time cut-off of June 2022. At the end of the review, of the 1334 identified studies, only five fulfilled all the inclusion criteria. Due to the small number of studies in this field, a reliable assessment of the usefulness of ultrasound elastography is difficult. We can only conclude that the transabdominal elastography examination did not significantly differ from the standard gastrointestinal ultrasonography examination and that measurements of the frontal intestinal wall should be made in the longitudinal section. The reports suggest that it is impossible to estimate the clinical scales used in disease assessment solely on the basis of elastographic measurements. Due to the different inclusion criteria, measurement methodologies, and elastographic techniques used in the analysed studies, a reliable comparative evaluation was impossible. Further work is required to assess the validity of expanding gastrointestinal ultrasonography with elastography in the diagnosis and monitoring of UC. Full article
Show Figures

Figure 1

12 pages, 2801 KB  
Review
Role of Multiparametric Intestinal Ultrasound in the Evaluation of Response to Biologic Therapy in Adults with Crohn’s Disease
by Pierluigi Puca, Livio Enrico Del Vecchio, Maria Elena Ainora, Antonio Gasbarrini, Franco Scaldaferri and Maria Assunta Zocco
Diagnostics 2022, 12(8), 1991; https://doi.org/10.3390/diagnostics12081991 - 17 Aug 2022
Cited by 9 | Viewed by 3351
Abstract
Crohn’s disease is one of the two most common types of inflammatory bowel disease. Current medical therapies are based on the use of glucocorticoids, exclusive enteral nutrition, immunosuppressors such as azathioprine and methotrexate, and biological agents such as infliximab, adalimumab, vedolizumab, or ustekinumab. [...] Read more.
Crohn’s disease is one of the two most common types of inflammatory bowel disease. Current medical therapies are based on the use of glucocorticoids, exclusive enteral nutrition, immunosuppressors such as azathioprine and methotrexate, and biological agents such as infliximab, adalimumab, vedolizumab, or ustekinumab. International guidelines suggest regular disease assessment and surveillance through objective instruments to adjust and personalize the therapy, reducing the overall rates of hospitalization and surgery. Although endoscopy represents the gold-standard for surveillance, its frequent use is strongly bordered by associated risks and costs. Consequently, alternative non-invasive tools to objectify disease activity and rule active inflammation out are emerging. Alongside laboratory exams and computed tomography or magnetic resonance enterography, intestinal ultrasonography (IUS) shows to be a valid choice to assess transmural inflammation and to detect transmural healing, defined as bowel wall thickness normalization, no hypervascularization, normal stratification, and no creeping fat. Compared to magnetic resonance imaging (MRI) or computed tomography, CT scan, IUS is cheaper and more widespread, with very similar accuracy. Furthermore, share wave elastography, color Doppler, and contrast-enhanced ultrasonography (CEUS) succeed in amplifying the capacity to determine the disease location, disease activity, and complications. This review aimed to discuss the role of standard and novel ultrasound techniques such as CEUS, SICUS, or share wave elastography in adults with Crohn’s disease, mainly for therapeutic monitoring and follow-up. Full article
(This article belongs to the Section Medical Imaging and Theranostics)
Show Figures

Figure 1

13 pages, 3116 KB  
Article
Biomechanical Properties of Strictures in Crohn’s Disease: Can Dynamic Contrast-Enhanced Ultrasonography and Magnetic Resonance Enterography Predict Stiffness?
by Rune Wilkens, Dong-Hua Liao, Hans Gregersen, Henning Glerup, David A. Peters, Charlotte Buchard, Anders Tøttrup and Klaus Krogh
Diagnostics 2022, 12(6), 1370; https://doi.org/10.3390/diagnostics12061370 - 2 Jun 2022
Cited by 6 | Viewed by 2755
Abstract
Strictures and abdominal pain often complicate Crohn’s disease (CD). The primary aim was to explore whether parameters obtained by preoperative contrast-enhanced (CE) ultrasonography (US) and dynamic CE MR Enterography (DCE-MRE) of strictures associates with biomechanical properties. CD patients undergoing elective small intestinal surgery [...] Read more.
Strictures and abdominal pain often complicate Crohn’s disease (CD). The primary aim was to explore whether parameters obtained by preoperative contrast-enhanced (CE) ultrasonography (US) and dynamic CE MR Enterography (DCE-MRE) of strictures associates with biomechanical properties. CD patients undergoing elective small intestinal surgery were preoperatively examined with DCE-MRE and CEUS. The excised intestine was distended utilizing a pressure bag. Luminal and outer bowel wall cross-sectional areas were measured with US. The circumferential stricture stiffness (Young’s modulus E) was computed. Stiffness was associated with the initial slope of enhancement on DCE-MRE (ρ = 0.63, p = 0.007), reflecting active disease, but lacked association with CEUS parameters. For structural imaging parameters, inflammation and stricture stiffness were associated with prestenotic dilatation on US (τb = 0.43, p = 0.02) but not with MRE (τb = 0.01, p = 1.0). Strictures identified by US were stiffer, 16.8 (14.0–20.1) kPa, than those graded as no or uncertain strictures, 12.6 (10.5–15.1) kPa, p = 0.02. MRE global score (activity) was associated with E (ρ = 0.55, p = 0.018). Elastography did not correlate with circumferential stiffness. We conclude that increasing activity defined by the initial slope of enhancement on DCE-MRE and MRE global score were associated with stricture stiffness. Prestenotic dilatation on US could be a potential biomarker of CD small intestinal stricture stiffness. Full article
(This article belongs to the Special Issue Ultrasound Imaging in Medicine 2022)
Show Figures

Figure 1

9 pages, 1490 KB  
Case Report
Small Bowel Obstruction Induced by Concurrent Postoperative Intra-Abdominal Adhesions and Small Bowel Fecal Materials in a Young Dog
by Jae-Eun Hyun and Hyun-Jung Han
Vet. Sci. 2021, 8(5), 83; https://doi.org/10.3390/vetsci8050083 - 12 May 2021
Cited by 6 | Viewed by 9279
Abstract
A 7-month-old neutered male poodle dog presented with general deterioration and gastrointestinal symptoms after two separate operations: a jejunotomy for small-intestinal foreign body removal and an exploratory laparotomy for diagnosis and treatment of the gastrointestinal symptoms that occurred 1 month after the first [...] Read more.
A 7-month-old neutered male poodle dog presented with general deterioration and gastrointestinal symptoms after two separate operations: a jejunotomy for small-intestinal foreign body removal and an exploratory laparotomy for diagnosis and treatment of the gastrointestinal symptoms that occurred 1 month after the first surgery. The dog was diagnosed as having small-bowel obstruction (SBO) due to intra-abdominal adhesions and small-bowel fecal material (SBFM) by using abdominal radiography, ultrasonography, computed tomography, and laparotomy. We removed the obstructive adhesive lesion and SBFM through enterotomies and applied an autologous peritoneal graft to the released jejunum to prevent re-adhesion. After the surgical intervention, the dog recovered quickly and was healthy at 1 year after the surgery without gastrointestinal signs. To our knowledge, this study is the first report of a successful treatment of SBO induced by postoperative intra-abdominal adhesions and SBFM after laparotomies in a dog. Full article
(This article belongs to the Special Issue Advances in Veterinary Gastroenterology)
Show Figures

Figure 1

15 pages, 3702 KB  
Article
A Prospective Study Comparing Three-Dimensional Rectal Water Contrast Transvaginal Ultrasonography and Computed Tomographic Colonography in the Diagnosis of Rectosigmoid Endometriosis
by Fabio Barra, Ennio Biscaldi, Carolina Scala, Antonio Simone Laganà, Valerio Gaetano Vellone, Cesare Stabilini, Fabio Ghezzi and Simone Ferrero
Diagnostics 2020, 10(4), 252; https://doi.org/10.3390/diagnostics10040252 - 24 Apr 2020
Cited by 25 | Viewed by 5716
Abstract
(1) Objectives: In patients with symptoms suggestive of rectosigmoid endometriosis, imaging techniques are required to confirm the presence and establish the extent of the disease. The objective of the current study was to compare the performance of three-dimensional rectal water contrast transvaginal ultrasonography [...] Read more.
(1) Objectives: In patients with symptoms suggestive of rectosigmoid endometriosis, imaging techniques are required to confirm the presence and establish the extent of the disease. The objective of the current study was to compare the performance of three-dimensional rectal water contrast transvaginal ultrasonography (3D-RWC-TVS) and computed tomographic colonography (CTC) in predicting the presence and characteristics of rectosigmoid endometriosis. (2) Methods: This prospective study included patients with suspicion of rectosigmoid endometriosis who underwent both 3D-RWC-TVS and CTC and subsequently were surgically treated. The findings of imaging techniques were compared with surgical and histological results. (3) Results: Out of 68 women included in the study, 37 (48.9; 95% C.I. 38.2–59.7%) had rectosigmoid nodules and underwent bowel surgery. There was no significant difference in the accuracy of 3D-RWC-TVS and CTC in diagnosing the presence of rectosigmoid endometriotic nodules (p = 0.118), although CTC was more precise in diagnosing endometriosis located in the sigmoid (p = 0.016). 3D-RWC-TVS and CTC had similar precision in estimating the largest diameter of the main endometriotic nodule (p = 0.099) and, in patients undergoing segmental resection, the degree of the stenosis of the bowel lumen (p = 0.293). CTC was more accurate in estimating the distance between the lower margin of the intestinal nodule and the anal verge (p = 0.030) but was less tolerated than 3D-RWC-TVS (p < 0.001). (4) Conclusion: This was the first study comparing the performance of 3D-RWC-TVS and CTC in the diagnosis of rectosigmoid endometriosis. Both techniques allowed for the evaluation of the profile of the bowel lumen in a pseudoendoscopic fashion and had a similar performance for the diagnosis of rectosigmoid endometriosis, although CTC was more accurate in diagnosing and characterizing sigmoid nodules. Full article
(This article belongs to the Special Issue Diagnosis of Endometriosis: Biomarkers and Clinical Methods)
Show Figures

Figure 1

9 pages, 878 KB  
Case Report
Gastrointestinal Stromal Tumor (GIST) of the Treitz’s Angle—A Very Rare Cause of High Bowel Obstruction
by Mădălina Elena Tobă, Dan Florin Ungureanu, Lota Corina Georgescu and Traian Pătraşcu
J. Mind Med. Sci. 2016, 3(2), 194-202; https://doi.org/10.22543/2392-7674.1049 - 24 Sep 2016
Viewed by 283
Abstract
Gastrointestinal stromal tumors (GIST) are somewhat rare gastrointestinal tumors - approximately 1% to 3% incidence, but they are the most common mesenchymal neoplasms of the gastrointestinal tract. GISTs are usually found in the stomach or small intestine but can occur anywhere within the [...] Read more.
Gastrointestinal stromal tumors (GIST) are somewhat rare gastrointestinal tumors - approximately 1% to 3% incidence, but they are the most common mesenchymal neoplasms of the gastrointestinal tract. GISTs are usually found in the stomach or small intestine but can occur anywhere within the gastrointestinal tract, even in extremely uncommon locations like duodeno-jejunal flexure. Only 3%–5% of GISTs are located in the duodenum and tumors occurring in the angle of Treitz are even rarer, most published studies being case reports. These tumors have a size ranging from small lesions to large masses and can cause digestive bleeding or high bowel obstruction. This paper is a case presentation illustrating an emergency situation involving a high bowel obstruction caused by a small tumor with an unusual location in the Treitz’s angle. A large percentage of duodenal GISTs are localized in the third and fourth part of the duodenum and may not be found through standard upper endoscopy; only the barium study of the upper gastrointestinal tract highlights the obstruction point. Preoperative diagnosis is difficult but non-invasive imaging techniques like ultrasonography and computed tomography of the abdomen can be helpful. Recently, targeted therapy with inhibitors of tyrosine kinase receptors (IMATINIB) has been introduced for the management of advanced and metastatic tumors. In our opinion the surgical resection with curative intent is the treatment of choice. Full article
Show Figures

Figure 1

Back to TopTop