Sign in to use this feature.

Years

Between: -

Subjects

remove_circle_outline
remove_circle_outline
remove_circle_outline
remove_circle_outline
remove_circle_outline
remove_circle_outline
remove_circle_outline
remove_circle_outline
remove_circle_outline

Journals

Article Types

Countries / Regions

Search Results (11)

Search Parameters:
Keywords = internal joint operation curve

Order results
Result details
Results per page
Select all
Export citation of selected articles as:
13 pages, 1096 KB  
Article
Enhancing Preoperative Outcome Prediction: A Comparative Retrospective Case–Control Study on Machine Learning versus the International Esodata Study Group Risk Model for Predicting 90-Day Mortality in Oncologic Esophagectomy
by Axel Winter, Robin P. van de Water, Bjarne Pfitzner, Marius Ibach, Christoph Riepe, Robert Ahlborn, Lara Faraj, Felix Krenzien, Eva M. Dobrindt, Jonas Raakow, Igor M. Sauer, Bert Arnrich, Katharina Beyer, Christian Denecke, Johann Pratschke and Max M. Maurer
Cancers 2024, 16(17), 3000; https://doi.org/10.3390/cancers16173000 - 29 Aug 2024
Cited by 1 | Viewed by 1319
Abstract
Risk prediction prior to oncologic esophagectomy is crucial for assisting surgeons and patients in their joint informed decision making. Recently, a new risk prediction model for 90-day mortality after esophagectomy using the International Esodata Study Group (IESG) database was proposed, allowing for the [...] Read more.
Risk prediction prior to oncologic esophagectomy is crucial for assisting surgeons and patients in their joint informed decision making. Recently, a new risk prediction model for 90-day mortality after esophagectomy using the International Esodata Study Group (IESG) database was proposed, allowing for the preoperative assignment of patients into different risk categories. However, given the non-linear dependencies between patient- and tumor-related risk factors contributing to cumulative surgical risk, machine learning (ML) may evolve as a novel and more integrated approach for mortality prediction. We evaluated the IESG risk model and compared its performance to ML models. Multiple classifiers were trained and validated on 552 patients from two independent centers undergoing oncologic esophagectomies. The discrimination performance of each model was assessed utilizing the area under the receiver operating characteristics curve (AUROC), the area under the precision–recall curve (AUPRC), and the Matthews correlation coefficient (MCC). The 90-day mortality rate was 5.8%. We found that IESG categorization allowed for adequate group-based risk prediction. However, ML models provided better discrimination performance, reaching superior AUROCs (0.64 [0.63–0.65] vs. 0.44 [0.32–0.56]), AUPRCs (0.25 [0.24–0.27] vs. 0.11 [0.05–0.21]), and MCCs (0.27 ([0.25–0.28] vs. 0.15 [0.03–0.27]). Conclusively, ML shows promising potential to identify patients at risk prior to surgery, surpassing conventional statistics. Still, larger datasets are needed to achieve higher discrimination performances for large-scale clinical implementation in the future. Full article
(This article belongs to the Section Methods and Technologies Development)
Show Figures

Graphical abstract

12 pages, 1163 KB  
Article
Predictive Value of the C-Reactive Protein to Albumin Ratio in 30-Day Mortality after Hip Fracture in Elderly Population: A Retrospective Observational Cohort Study
by Giorgio Cacciola, Fabio Mancino, Lukas A. Holzer, Federico De Meo, Ivan De Martino, Antongiulio Bruschetta, Salvatore Risitano, Luigi Sabatini and Pietro Cavaliere
J. Clin. Med. 2023, 12(13), 4544; https://doi.org/10.3390/jcm12134544 - 7 Jul 2023
Cited by 8 | Viewed by 1921
Abstract
Background: C-reactive protein (CRP) to Albumin ratio (CAR) has been used in multiple clinical settings to predict early mortality. However, there is a lack of evidence on the predictive role of CAR in 30-day mortality after a hip fracture. The purpose of this [...] Read more.
Background: C-reactive protein (CRP) to Albumin ratio (CAR) has been used in multiple clinical settings to predict early mortality. However, there is a lack of evidence on the predictive role of CAR in 30-day mortality after a hip fracture. The purpose of this study was to establish a potential association between CAR and 30-day mortality and to assess if the CAR Receiving Operating Characteristics curve (ROC) can be a reliable predictor of early mortality. Methods: We retrospectively reviewed the charts of 676 patients (>65 years) treated for hip fracture between 2006 and 2018. All hip fractures were included. Treatment strategies included closed reduction and internal fixation, open reduction and internal fixation, hemiarthroplasty, or total joint arthroplasty. Statistical analysis included T-test, Pearson correlation for CAR and other markers, ROC curves and area under the curve, Youden Model, and Odds Ratio. Results: The 30-day mortality rate analysis showed that higher preoperative levels of CAR were associated with higher early mortality. When analyzing the area under the ROC curve (AUROC) for 30-day mortality, the reported value was 0.816. The point of the ROC curve corresponding to 14.72 was considered a cut-off with a specificity of 87% and a sensibility of 40.8%. When analyzing values higher than 14.72, the 30-day mortality rate was 17.9%, whilst, for values lower than 14.72, the 30-day mortality rate was 1.8%. Conclusions: Patients older than 65 years affected by a hip fracture with increased preoperative levels of CAR are associated with higher 30-day mortality. Despite a moderate sensibility, considering the low cost and the predictivity of CAR, it should be considered a standard predictive marker. Full article
(This article belongs to the Special Issue Hip Surgery: Clinical Treatment and Management)
Show Figures

Figure 1

14 pages, 3155 KB  
Article
Spectral Dual-Layer Computed Tomography Can Predict the Invasiveness of Ground-Glass Nodules: A Diagnostic Model Combined with Thymidine Kinase-1
by Tong Wang, Yong Yue, Zheng Fan, Zheng Jia, Xiuze Yu, Chen Liu and Yang Hou
J. Clin. Med. 2023, 12(3), 1107; https://doi.org/10.3390/jcm12031107 - 31 Jan 2023
Cited by 6 | Viewed by 2008
Abstract
Objectives: Few studies have explored the use of spectral dual-layer detector-based computed tomography (SDCT) parameters, thymidine kinase-1 (TK1), and tumor abnormal protein (TAP) for the detection of ground-glass nodules (GGNs). Therefore, we aimed to evaluate the quantitative and qualitative parameters generated from SDCT [...] Read more.
Objectives: Few studies have explored the use of spectral dual-layer detector-based computed tomography (SDCT) parameters, thymidine kinase-1 (TK1), and tumor abnormal protein (TAP) for the detection of ground-glass nodules (GGNs). Therefore, we aimed to evaluate the quantitative and qualitative parameters generated from SDCT for predicting the pathological subtypes of GGN-featured lung adenocarcinoma combined with TK1 and TAP. Material and Methods: Between July 2021 and September 2022, 238 patients with GGNs were retrospectively enrolled in this study. SDCT and tests for TK1 and TAP were performed preoperatively, and the lesions were divided into glandular precursor lesions (PGL), minimally invasive adenocarcinoma (MIA), and invasive adenocarcinoma (IAC), according to the pathological results. A receiver operating characteristic (ROC) curve was used to compare the diagnostic performance of these parameters. Multivariate logistic regression analysis was performed to construct a joint diagnostic model and create a nomogram. Results: This study included 238 GGNs, including 41 atypical adenomatous hyperplasias (AAH), 62 adenocarcinomas in situ (AIS), 49 MIA, and 86 IAC, with a high proportion of women, non-smokers, and pure ground-glass nodule (pGGN). CT100 keV (a/v), electronic density (EDW) (a/v), Daverage, Dsolid, TK1, and TAP of MIA and IAC were higher than those of PGL. The effective atomic number (Zeff (a/v)) was lower in MIA and IAC than in PGL (all p < 0.05). Logistic regression analysis showed that Zeff (a), EDW (a), TK1, Daverage, and internal bronchial morphology were crucial factors in predicting the aggressiveness of GGN. Zeff (a) had the highest diagnostic performance with an area under the ROC curve (AUC) = 0.896, followed by EDW (a) (AUC = 0.838) and CT100 keVa (AUC = 0.819). The diagnostic model and nomogram constructed using these five parameters (Zeff (a) + EDW (a) + CT100 keVa + Daverage + TK1) had an AUC = 0.933, which was higher than the individual parameters (p < 0.05). Conclusions: Multiple quantitative and functional parameters can be selected based on SDCT, especially Zeff (a) and EDW (a), which have high sensitivity and specificity for predicting GGNs’ invasiveness. Additionally, the combination of TK1 can further improve diagnostic performance, and using a nomogram is helpful for individualized predictions. Full article
(This article belongs to the Special Issue Advances in the Diagnosis and Treatment of Lung Adenocarcinoma)
Show Figures

Figure 1

23 pages, 8996 KB  
Article
Investigating a New Method-Based Internal Joint Operation Law for Optimizing the Performance of a Turbocharger Compressor
by Rong Huang, Jimin Ni, Houchuan Fan, Xiuyong Shi and Qiwei Wang
Sustainability 2023, 15(2), 990; https://doi.org/10.3390/su15020990 - 5 Jan 2023
Cited by 5 | Viewed by 1842
Abstract
A well-matched relationship between the compressor and turbine plays an important role in improving turbocharger and engine performance. However, in the matching of turbocharger and engine, the internal operation relationship between compressor and turbine is not considered comprehensively. In order to fill this [...] Read more.
A well-matched relationship between the compressor and turbine plays an important role in improving turbocharger and engine performance. However, in the matching of turbocharger and engine, the internal operation relationship between compressor and turbine is not considered comprehensively. In order to fill this gap, this paper proposed the internal joint operation law (IJOL) method based on the internal operating characteristics of the compressor and turbine using a combination of experimental and simulation methods. On this basis, the optimization method of the compressor was proposed. Firstly, according to the basic conditions of turbocharger, the compressor power consumption and the turbine effective power at a fixed speed were solved. Secondly, the power consumption curve of the compressor and the effective power curve of the turbine were coupled to obtain the power balance point of the turbocharger. Then, the internal joint operating point was solved and coupled to obtain the IJOL method. Finally, the IJOL method was used to optimize the blade number and the blade tip profile of the compressor. The simulation results showed that for the blade number, the 8-blade compressor had the best overall performance. For the blade tip profile, compared with the original compressor, the surge performance of the impeller inlet diameter reduced by 3.12% was better than that of the original compressor. In addition, in order to compare this to engine performance with different compressor structures, a 1D engine model was constructed using GT-Power. The simulation results showed that the maximum torque of the engine corresponding to the impeller designed by the IJOL method was 4.2% higher than that of the original engine, and the minimum brake specific fuel consumption was 3.1% lower. Therefore, compared with the traditional method, the IJOL method was reasonable and practical. Full article
Show Figures

Figure 1

11 pages, 1052 KB  
Article
Comparison of the Three Most Commonly Used Metabolic Syndrome Definitions in the Chinese Population: A Prospective Study
by Yilin Huang, Zuo Chen, Xin Wang, Congying Zheng, Lan Shao, Ye Tian, Xue Cao, Yixin Tian, Runlin Gao, Linfeng Zhang and Zengwu Wang
Metabolites 2023, 13(1), 12; https://doi.org/10.3390/metabo13010012 - 21 Dec 2022
Cited by 12 | Viewed by 2566
Abstract
Metabolic syndrome (MetS) is associated with cardiovascular risk, and there are various definitions, but which is most predictive of future cardiovascular disease (CVD) in the Chinese population is still unclear. MetS was defined with the revised ATP III (Third Adult Treatment Panel Report), [...] Read more.
Metabolic syndrome (MetS) is associated with cardiovascular risk, and there are various definitions, but which is most predictive of future cardiovascular disease (CVD) in the Chinese population is still unclear. MetS was defined with the revised ATP III (Third Adult Treatment Panel Report), International Diabetes Federation (IDF), and the Joint Committee for Developing Chinese Guidelines (JCDCG) definitions. Cox regression was used to estimate the hazard risk of cardiovascular disease among 20,888 participants using the Chinese Hypertension Survey (CHS) data. Sensitivity, specificity, and receiver operating characteristic (ROC) curve distance were used to test the ability of three MetS criteria to identify CVD. During an average follow-up of 4.89 years of 20,888 participants, 925 CVD events occurred (stroke, 560; coronary heart disease, 275; and other cardiovascular events, 119). The revised ATP III criteria identified the most individuals with MetS and had the highest prevalence of MetS. In addition, MetS was associated with a high risk of CVD in both men and women, according to three criteria. The highest diagnostic specificity was for IDF in men and JCDCG in women. The revised ATP III criteria had the highest sensitivity and shortest ROC curve distance in both men and women. Although the MetS definitions, including the revised ATP III, IDF, and JCDCG, are all related to the increased risks of CVD, overall, the revised ATP III performs best and is the most recommended for the Chinese population. Full article
(This article belongs to the Section Lipid Metabolism)
Show Figures

Graphical abstract

17 pages, 4913 KB  
Article
Study on Correction Method of Internal Joint Operation Curve Based on Unsteady Flow
by Sheng Yin, Jimin Ni, Houchuan Fan, Xiuyong Shi and Rong Huang
Appl. Sci. 2022, 12(23), 11943; https://doi.org/10.3390/app122311943 - 23 Nov 2022
Cited by 1 | Viewed by 1828
Abstract
The turbocharger, a key component in a vehicle’s powertrain, results in insufficient accuracy if it does not fully consider the unsteady flow effects of the intake and exhaust systems. Based on the difference between the turbocharger’s actual operating performance with unsteady flow and [...] Read more.
The turbocharger, a key component in a vehicle’s powertrain, results in insufficient accuracy if it does not fully consider the unsteady flow effects of the intake and exhaust systems. Based on the difference between the turbocharger’s actual operating performance with unsteady flow and the corresponding steady flow performance, unsteady flow correction concepts and correction methods for the compressor and turbine were put forward, and the correction of the internal joint operation curve was investigated. The results show that when unsteady correction coefficients were added to both ends of the turbocharger and the optimized structure was used at both ends, the original turbocharger’s surge margin was reduced by 4.6% to 11.8%, and that of the optimized turbocharger was reduced by 15.2% to 21.9% in the medium–low-speed range. Meanwhile, the unsteady flow energy utilization coefficient of the optimized turbocharger was more than 14.5% higher than that of the original turbocharger in the medium–low speed range, and the energy utilization advantage was obvious. It indicated that the optimized turbocharger was working earlier, and the engine’s medium–low-speed admission performance has been obviously improved. Therefore, compared with the steady curve, the corrected unsteady curve was closer to the actual engine performance. Full article
(This article belongs to the Special Issue Advances in Intelligent Vehicle Control Systems)
Show Figures

Figure 1

18 pages, 3618 KB  
Article
A Study of Evaluation Method for Turbocharger Turbine Based on Joint Operation Curve
by Sheng Yin, Jimin Ni, Houchuan Fan, Xiuyong Shi and Rong Huang
Sustainability 2022, 14(16), 9952; https://doi.org/10.3390/su14169952 - 11 Aug 2022
Cited by 4 | Viewed by 2440
Abstract
Turbochargers have evolved with the advancement of engine technology. In this study, we pro-posed a concept of joint operation, based on the operating characteristics of the compressor and turbine. Furthermore, a turbine evaluation method was proposed based on this concept, and an optimization [...] Read more.
Turbochargers have evolved with the advancement of engine technology. In this study, we pro-posed a concept of joint operation, based on the operating characteristics of the compressor and turbine. Furthermore, a turbine evaluation method was proposed based on this concept, and an optimization application study of the turbine impeller blade number and turbine casing was con-ducted and verified. The results showed that the performance evaluation method based on the joint point could predict the optimization trend of turbine performance more accurately, the turbine output power optimized based on our new method evidently had advantages over the original turbine, and the joint point showed better overall performance. The original single-entry turbine could be optimized into a 9-blade twin-entry turbine having better response characteristics. The maximum torque of the optimized engine was 5.4% higher than that of the original engine, and the minimum brake specific fuel consumption (BSFC) was reduced by 2.1%. In the low and medium speed operating region, engine torque was increased by up to 3.2% and BSFC was reduced by up to 1.1% compared to the turbine optimized by conventional methods. Hence, the optimization effect of our new method was proven. Full article
Show Figures

Figure 1

10 pages, 736 KB  
Article
Potential Blood Biomarkers for Diagnosing Periprosthetic Joint Infection: A Single-Center, Retrospective Study
by Hong Xu, Jinwei Xie, Shaoyun Zhang, Duan Wang, Zeyu Huang and Zongke Zhou
Antibiotics 2022, 11(4), 505; https://doi.org/10.3390/antibiotics11040505 - 11 Apr 2022
Cited by 20 | Viewed by 2496
Abstract
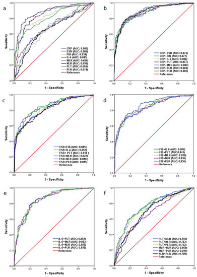
Background: Blood biomarkers are first-line tools for identifying periprosthetic joint infection (PJI). C-reactive protein (CRP) is currently recognized as the standard biomarker for PJI diagnosis. Other recently reported novel biomarkers, including plasma fibrinogen, platelet count, monocyte/lymphocyte ratio (MLR), neutrophil/lymphocyte ratio (NLR), and platelet [...] Read more.
Background: Blood biomarkers are first-line tools for identifying periprosthetic joint infection (PJI). C-reactive protein (CRP) is currently recognized as the standard biomarker for PJI diagnosis. Other recently reported novel biomarkers, including plasma fibrinogen, platelet count, monocyte/lymphocyte ratio (MLR), neutrophil/lymphocyte ratio (NLR), and platelet count/lymphocyte ratio (PLR), have also shown promise in diagnosing PJI. This study aimed to evaluate whether these biomarkers were superior to CRP for identifying PJI. Methods: Patients who underwent revision hip or knee arthroplasty at our hospital from January 2008 to September 2020 were included consecutively and divided into infected and non-infected groups according to the 2013 International Consensus Meeting Criteria. Blood samples were collected preoperatively, and erythrocyte sedimentation rate (ESR), CRP, interleukin-6, fibrinogen, platelet count, MLR, NLR, and PLR were analyzed. The diagnostic values of the tested biomarkers and their combinations were compared with CRP based on the area under the receiver operating characteristic curve (AUC) using the z-test. Classification trees were constructed to explore more accurate combinations of the tested markers for identifying PJI. Results: A total of 543 patients were included, of whom 245 had PJI. Among the tested biomarkers, CRP with a cutoff of 7.39 mg/L showed the highest AUC, which gave a sensitivity of 79.1% and specificity of 86.0%. The AUCs of pairwise combinations of tested markers including CRP also were inferior to CRP itself, as were combinations derived from classification trees. Conclusions: Preoperative serum CRP with a low cutoff may be the best reliable blood biomarker for identifying PJI, and those traditional or novel available blood biomarkers could not further improve the diagnostic ability on the basis of CRP. Full article
Show Figures

Figure 1

17 pages, 1820 KB  
Article
Joint Assessment of Equilibrium and Neuromotor Function: A Validation Study in Patients with Fibromyalgia
by Rafael Lomas-Vega, Daniel Rodríguez-Almagro, Ana Belén Peinado-Rubia, Noelia Zagalaz-Anula, Francisco Molina, Esteban Obrero-Gaitán, Alfonso Javier Ibáñez-Vera and María Catalina Osuna-Pérez
Diagnostics 2020, 10(12), 1057; https://doi.org/10.3390/diagnostics10121057 - 6 Dec 2020
Cited by 15 | Viewed by 3340
Abstract
Objective: To develop and validate a tool for evaluating balance and neuromotor function in patients with fibromyalgia (FMS). Methods: Brainstorming, the nominal group technique, and pilot-testing were used to select a battery of 20 functional balance tests that were included in a screening [...] Read more.
Objective: To develop and validate a tool for evaluating balance and neuromotor function in patients with fibromyalgia (FMS). Methods: Brainstorming, the nominal group technique, and pilot-testing were used to select a battery of 20 functional balance tests that were included in a screening tool. A total of 108 subjects (62 with fibromyalgia syndrome, 22 aged over 65 years, and 24 healthy subjects) participated in this validation study. Factor validity, internal consistency, the ability to discriminate between patients and healthy subjects, and concurrent validity with the Fibromyalgia Impact Questionnaire (FIQ), the Central Sensitization Inventory (CSI), the 12-Item Short-Form Health Survey (SF-12), and other tools for measuring balance, such as the Dizziness Handicap Inventory (DHI), the Activities-Specific Balance Confidence Scale (ABC-16), the Falls Efficacy Scale-International (FES-I), and posturographic parameters, were evaluated. Results: The factorial analysis extracted four factors that explained 70% of the variance. The Alpha Cronbach value was 0.928. Concurrent validity of the screening tool with respect to other tools was high, and the receiver operating characteristic (ROC) curve analysis showed an AUC value of 0.932 for discriminating between healthy and FMS subjects. Severe balance disorder related to head movements in FMS patients was found. Conclusion: The 20-item JAEN (Joint Assessment of Equilibrium and Neuro-motor Function) screening tool is a valid and reliable tool for assessing balance in patients with FMS. Full article
Show Figures

Figure 1

19 pages, 6385 KB  
Article
Research of the Fatigue Life of Welded Joints of High Strength Steel S960 QL Created Using Laser and Electron Beams
by Milan Sága, Mária Blatnická, Miroslav Blatnický, Ján Dižo and Juraj Gerlici
Materials 2020, 13(11), 2539; https://doi.org/10.3390/ma13112539 - 3 Jun 2020
Cited by 43 | Viewed by 4275
Abstract
This study investigated the fatigue life of welded joints, in particular, the welds of the high-strength steel S960 QL. The welds were created using unconventional technologies by utilising laser and electron beams. The direct application of the research is intended to be carried [...] Read more.
This study investigated the fatigue life of welded joints, in particular, the welds of the high-strength steel S960 QL. The welds were created using unconventional technologies by utilising laser and electron beams. The direct application of the research is intended to be carried out through implementing the results towards the design of tracks for the track-wheel chassis of the demining system Božena 5. The producer’s experience shows the damage found in the current track design. The damage occurred during reversing the vehicle on a sand surface. Our goal was to solve this problem. The information acquired in this research will be a very important input factor for further designs of the track made of the tested material and its welds. The analysis of the residual stresses was also part of this study. The experimental research of the tested material’s fatigue life and welded joints was realised on the specimens loaded using cyclic bending and cyclic torsion. These loads were dominant during the track operation. The fatigue life of the tested material was detected using a device designed by us. The measurement results were processed in the form of the Wöhler’s S–N curves (alternating stress versus number cycles to failure) and compared with the current regulations issued by the International Institute of Welding (IIW) in the form of the FAT curves (IIW fatigue class). The achieved research results indicate that the modern welding technologies (laser and electron beams) used on the high-strength steel had no principal influence on the fatigue life of the tested material. Full article
Show Figures

Figure 1

12 pages, 606 KB  
Article
Comparison of Anthropometric and Atherogenic Indices as Screening Tools of Metabolic Syndrome in the Kazakh Adult Population in Xinjiang
by Xiang-Hui Zhang, Mei Zhang, Jia He, Yi-Zhong Yan, Jiao-Long Ma, Kui Wang, Ru-Lin Ma, Heng Guo, La-Ti Mu, Yu-Song Ding, Jing-Yu Zhang, Jia-Ming Liu, Shu-Gang Li, Qiang Niu, Dong-Sheng Rui and Shu-Xia Guo
Int. J. Environ. Res. Public Health 2016, 13(4), 428; https://doi.org/10.3390/ijerph13040428 - 16 Apr 2016
Cited by 25 | Viewed by 6361
Abstract
Objective: To compare the screening ability of various anthropometric and atherogenic indices for Metabolic syndrome (MetS) using three common criteria and to evaluate the validity of suitable parameters in combination for the screening of MetS among a Kazakh population in Xinjiang. Methods: A [...] Read more.
Objective: To compare the screening ability of various anthropometric and atherogenic indices for Metabolic syndrome (MetS) using three common criteria and to evaluate the validity of suitable parameters in combination for the screening of MetS among a Kazakh population in Xinjiang. Methods: A total of 3752 individuals were selected using the stratified cluster random sampling method from nomadic Kazakhs (≥18 years old) in Xinyuan county, Xinjiang, China, which is approximately 4407 km away from the capital Beijing. MetS was defined by the International Diabetes Federation (IDF), National Cholesterol Education Program Adult Treatment Panel III (ATP III) and Joint Interim Statement (JIS) criteria. The receiver operating characteristic curve (ROC) was used to compare the area under the ROC curve (AUC) of each index. The sensitivity, specificity, Youden’s index and cut-offs of each index for the screening of MetS were calculated. Results: According to the IDF, ATP III and JIS criteria, 18.61%, 10.51%, and 24.83% of males and 23.25%, 14.88%, and 25.33% of females had MetS. According to the IDF criteria, the waist-to-height ratio (WHtR) was the index that most accurately identified individuals with and without MetS both in males (AUC = 0.872) and females (AUC = 0.804), with the optimal cut-offs of 0.53 and 0.52, respectively. According to both the ATP III and JIS criteria, the lipid accumulation product (LAP) was the best index to discriminate between individuals with and without MetS in males (AUC = 0.856 and 0.816, respectively) and females (AUC = 0.832 and 0.788, respectively), with optimal cut-offs of 41.21 and 34.76 in males and 28.16 and 26.49 in females, respectively. On the basis of the IDF standard, Youden’s indices of WHtR and LAP serial tests for the screening of MetS were 0.590 and 0.455 in males and females, respectively, and those of WHtR and LAP parallel tests were 0.608 and 0.479, accordingly. Conclusion: According to the IDF, ATP III and JIS criteria, both the WHtR and LAP were better indices for the screening of MetS. The WHtR and LAP parallel test was the most accurate. Full article
Show Figures

Figure 1

Back to TopTop