Sign in to use this feature.

Years

Between: -

Subjects

remove_circle_outline
remove_circle_outline
remove_circle_outline
remove_circle_outline
remove_circle_outline
remove_circle_outline
remove_circle_outline
remove_circle_outline
remove_circle_outline

Journals

remove_circle_outline
remove_circle_outline
remove_circle_outline
remove_circle_outline
remove_circle_outline
remove_circle_outline
remove_circle_outline
remove_circle_outline
remove_circle_outline

Article Types

Countries / Regions

remove_circle_outline
remove_circle_outline
remove_circle_outline
remove_circle_outline

Search Results (1,582)

Search Parameters:
Keywords = insulation strength

Order results
Result details
Results per page
Select all
Export citation of selected articles as:
23 pages, 7932 KB  
Article
Walls That Grow: Fungal Species-Driven Performance of Mycelium-Based Composites Grown on Rice-Husk Waste
by Zahra Parhizi, Ewa Jadwiszczak, John Dearnaley, Deirdre Mikkelsen and Paulomi (Polly) Burey
Polymers 2026, 18(8), 932; https://doi.org/10.3390/polym18080932 - 10 Apr 2026
Abstract
Mycelium-based composites (MBCs) are gaining attention as sustainable alternatives to conventional materials because they are grown biologically rather than produced through resource-intensive extraction and processing. This study evaluates MBCs for non-load-bearing wall panels and environmentally responsible substitutes for traditional building materials. A reproducible [...] Read more.
Mycelium-based composites (MBCs) are gaining attention as sustainable alternatives to conventional materials because they are grown biologically rather than produced through resource-intensive extraction and processing. This study evaluates MBCs for non-load-bearing wall panels and environmentally responsible substitutes for traditional building materials. A reproducible manufacturing process is presented, and heat-pressed panels are characterised for physical, mechanical, and chemical performance. Novelty lies in species-driven evaluation using rice-husk waste as the sole lignocellulosic substrate and a Queensland-native Amauroderma species. Five fungal species, Trametes hirsuta, Ganoderma sp., Amauroderma sp., Pycnoporus coccineus and Trametes versicolor, were cultivated on rice husks and compared under identical processing conditions. Statistical analysis showed species selection significantly influenced tensile strength, whereas flexural and compressive performance showed no significant interspecies differences. Panels achieved tensile, compressive, and flexural strengths up to approximately 0.47, 0.35, and 1.35 MPa, respectively, with Amauroderma exhibiting the highest stiffness and compressive performance. Composites from four of the five species showed low moisture sensitivity and favourable thermal behaviour relative to previously reported mycelium materials. These results demonstrate that fungal species selection is a key design lever and supports rice-husk-derived MBCs as sustainable insulation and non-load-bearing construction materials. Full article
19 pages, 5075 KB  
Article
Influence of Chemical Composition and Electro-Steel Sheets Manufacturing Parameters on the Adhesion of an Electro-Insulating Self-Bonding Varnish Layer
by Vanda Tomková, Miroslav Tomáš, Stanislav Németh, Matúš Horváth, Vladimír Kundracík, Emil Evin, Ján Slota, Anna Guzanová and Iveta Filipovská
Crystals 2026, 16(4), 253; https://doi.org/10.3390/cryst16040253 - 10 Apr 2026
Abstract
One promising innovative joining process for non-oriented electrical sheets is based on an electro-insulating layer combined with a self-bonding varnish. The aim of this study was to investigate the adhesion of the self-bonding varnish as evaluated by a lap-shear test. During the experiments, [...] Read more.
One promising innovative joining process for non-oriented electrical sheets is based on an electro-insulating layer combined with a self-bonding varnish. The aim of this study was to investigate the adhesion of the self-bonding varnish as evaluated by a lap-shear test. During the experiments, non-oriented electrical steels with low to high silicon content were analyzed and tested. The Si content, the bond thickness, and the surface roughness Ra, as well as the selected steel production parameters—such as the radiation tube furnace temperature (RTF), the grain growth temperature (i.e., heating temperature (HF)), the peak metal temperature (PMT), and the annealing atmosphere (dry or humid, controlled by dew point)—were considered as the variables. The results showed that the lap-shear strength was independent of the surface roughness within the investigated range. In contrast, the bond thickness exhibited a weak positive effect on the lap-shear strength, while the Si content showed condition-dependent behavior. The RTF and the HF resulted in a relatively stable mechanical performance, whereas the PMT and the humid annealing atmosphere were identified as critical factors influencing adhesion. Full article
(This article belongs to the Special Issue Microstructure and Properties of Steel Materials)
Show Figures

Figure 1

24 pages, 10141 KB  
Review
Recent Advances in the Fabrication of High-Performance Polypropylene Micro-Nano Composites via Supercritical Foaming
by Xin Pan, Gang Wang, Faqi Zhan, Yuehong Zheng, Mengyao Dong, Peiqing La, Kun Li, Xiaoli Zhang and Jingbo Chen
Materials 2026, 19(8), 1527; https://doi.org/10.3390/ma19081527 - 10 Apr 2026
Abstract
Against the backdrop of the global trends toward lightweighting, multi-functionalization, and greening of materials, polypropylene (PP) has been extensively applied owing to its advantages of low density and low cost. However, its inferior foaming performance fails to meet high-end application requirements, which is [...] Read more.
Against the backdrop of the global trends toward lightweighting, multi-functionalization, and greening of materials, polypropylene (PP) has been extensively applied owing to its advantages of low density and low cost. However, its inferior foaming performance fails to meet high-end application requirements, which is primarily attributed to its low melt strength and restricted crystallization behavior. In this paper, the five-dimensional selection mechanism and classification of components for PP micro/nanocomposites fabricated via supercritical foaming are systematically summarized. The regulatory effects of micro/nano additives on the crystallization, rheological properties, and foaming behavior of PP are quantitatively analyzed. The parameter optimization windows of three foaming processes, namely batch foaming, extrusion foaming, and injection foaming, are integrated (e.g., a foaming temperature of 150–170 °C and a saturation pressure of 8–20 MPa). Additionally, the application progress of PP micro/nanocomposite foams in fields such as automotive lightweighting (with a weight reduction rate of 64.29%) and building thermal insulation (with a thermal conductivity as low as 29 mW/(m·K)) is outlined. The core novel insight of this work lies in clarifying the unified mechanism of crystal refinement induced by reinforcing agents with different geometric morphologies, which is dominated by the synergy between heterogeneous nucleation and steric hindrance. This finding provides theoretical and technical guidelines for the industrial-scale preparation of high-performance PP foams. Full article
Show Figures

Figure 1

20 pages, 2649 KB  
Article
Mathematical Modeling of the Raw Material Composition of Composite Material from Agricultural Plant Waste in South Kazakhstan
by Saken Zhanatuly, Saken Uderbayev, Akmaral Zhapakhova, Gulnaz Zhakapbayeva, Gulnur Zhakypova and Aizhan Sarsenbayeva
J. Compos. Sci. 2026, 10(4), 202; https://doi.org/10.3390/jcs10040202 - 9 Apr 2026
Abstract
This study investigates the development of a composite material based on agricultural plant waste from Kazakhstan, utilizing a multicomponent binder incorporated with rice husk ash. The implementation of low-clinker binders enables the full utilization of ash dumps from the Kyzylorda thermal power plant [...] Read more.
This study investigates the development of a composite material based on agricultural plant waste from Kazakhstan, utilizing a multicomponent binder incorporated with rice husk ash. The implementation of low-clinker binders enables the full utilization of ash dumps from the Kyzylorda thermal power plant (TPP) and rice husk residues from local rice-processing enterprises. Physical and chemical analysis of the ash–cement stone revealed a reduction in portlandite content compared to control samples. Phase composition analysis indicated the presence of hydroaluminate C4AH13 and a reduction in calcite, suggesting accelerated crystallization of calcium silicate hydrates. The formation of crystalline phases and intergrowth structures is assumed to contribute to the strengthening of the gel-like matrix. Experimental optimization of the ash–cement binder with rice husk ash yielded compressive strengths ranging from 3.03 to 4.10 MPa at densities of 790–900 kg/m3, depending on the type of organic filler. These results confirm the feasibility of using locally sourced agricultural waste for the production of heat-insulating and structurally stable composite materials. Full article
(This article belongs to the Section Composites Manufacturing and Processing)
Show Figures

Figure 1

32 pages, 2438 KB  
Article
Expanded Perlite Reinforced Magnesium Phosphate Cement-Based Fireproof Coating: Composition Optimization, Fire Resistance and High-Temperature Phase Evolution Mechanism
by Runqing Liu, Chunyu Wang and Yuxin Ling
Materials 2026, 19(8), 1492; https://doi.org/10.3390/ma19081492 - 8 Apr 2026
Abstract
To develop a high-performance inorganic fireproof coating suitable for steel structures, this study utilized magnesium phosphate cement (MPC) as the matrix and introduced expanded perlite (EP) as a lightweight aggregate. The effects of EP content (40–55%) and magnesium-to-phosphorus ratio (M/P = 4:1–7:1) on [...] Read more.
To develop a high-performance inorganic fireproof coating suitable for steel structures, this study utilized magnesium phosphate cement (MPC) as the matrix and introduced expanded perlite (EP) as a lightweight aggregate. The effects of EP content (40–55%) and magnesium-to-phosphorus ratio (M/P = 4:1–7:1) on the dry density, compressive strength, bond strength, and fire resistance of the coating were systematically investigated. X-ray diffraction (XRD), scanning electron microscopy (SEM), and thermogravimetric analysis (TGA) were employed to reveal the phase evolution and microstructure evolution mechanisms at high temperatures. The results indicate that increasing EP content significantly reduces the dry density and thermal conductivity of the coating, enhancing thermal insulation performance. However, excessive incorporation leads to the deterioration of mechanical properties, with an optimal EP content of 45%. The M/P ratio influences the interfacial bond strength and high-temperature structural stability by regulating the proportion of the hydration product K-struvite (KMgPO4·6H2O) and residual MgO. Compressive strength peaked at M/P = 6:1 (0.80 MPa), while bond strength was optimal at M/P = 5:1 (0.097 MPa), corresponding to the best fire resistance (back-side temperature of 180.4 °C). At high temperatures, K-struvite dehydrates and transforms into anhydrous KMgPO4, which, together with residual MgO and crystallized SiO2 from EP, forms a dense ceramic skeleton, ensuring the structural integrity of the coating. Comprehensive performance evaluation determined the optimal mix ratio as M/P = 5:1 and EP content = 45%. The coating with this ratio exhibits a dry density of approximately 560 kg/m3, a 14-day compressive strength of 0.53 MPa, a bond strength of 0.097 MPa, and a back-side temperature of 180.4 °C under flame exposure, demonstrating a favorable balance of lightweight character, mechanical integrity, and thermal insulation performance suitable for steel structure fire protection applications. Full article
(This article belongs to the Section Thin Films and Interfaces)
Show Figures

Figure 1

31 pages, 2032 KB  
Review
Research Trends and Gaps in Construction Insulation Materials from Textile Waste and End-of-Life Wind Turbine Blades with Bio-Binders
by German Vela, António Figueiredo, Vítor Costa and Romeu Vicente
Materials 2026, 19(7), 1465; https://doi.org/10.3390/ma19071465 - 5 Apr 2026
Viewed by 184
Abstract
Waste from the wind power and textile industries poses major environmental challenges. While the textile industry is a significant global contributor to waste, producing around 92 million tons of waste annually, and greenhouse gas emissions, wind power, although one of the cleanest energy [...] Read more.
Waste from the wind power and textile industries poses major environmental challenges. While the textile industry is a significant global contributor to waste, producing around 92 million tons of waste annually, and greenhouse gas emissions, wind power, although one of the cleanest energy sources during operation, still generates waste and associated CO2 emissions, particularly associated with the end-of-life decommissioning of turbine blades. This waste can be reused, combined with bio-based binders, to reduce the construction sector’s long-term environmental impact. The present work identifies research trends and gaps in the use of these waste materials, either individually or combined, for the development of thermal and acoustic insulation solutions for the construction sector, by means of a combined bibliometric and content analysis of Scopus and Web of Science documents from 2014 to 2025. The study focuses on bibliometric indicators and reports on physical properties (thermal conductivity, density, mechanical strength, and acoustic performance) of the resulting composites, including those produced with bio-binders. Additionally, a qualitative review of life cycle assessment studies indicates that bio-based and waste-derived insulation materials can significantly reduce environmental impacts compared with conventional mineral or petrochemical insulators. Results reveal growing scientific interest in this subject, highlighting an annual publication growth of 5.09%. They emphasize the performance of natural textile fibers in thermal and acoustic insulation, the mechanical capacity of synthetic fibers, and the semi-structural potential of fiberglass composites. Meanwhile, bio-binders improve the upcycling of textile waste; however, they reveal a significant research gap in the integration of wind turbine blade waste into insulation composites. No indexed studies were found that simultaneously combine textile waste, blade-derived fibers, and bio-based binders in a single insulation system, despite projected cumulative blade waste of 43 million tons by 2050. These findings advocate hybrid innovations and standardized assessments to drive circular economy and low-carbon building solutions. Full article
(This article belongs to the Section Green Materials)
Show Figures

Graphical abstract

5 pages, 627 KB  
Proceeding Paper
Bio-Based Antimicrobial Plasterboard Composites Using Natural Silkworm Cocoon Fibers: A Multi-Property Comparative Study
by Joana Ribeiro, Alexandre Jerónimo, Verónica de Zea Bermudez and Ana Briga-Sá
Proceedings 2025, 133(1), 11; https://doi.org/10.3390/proceedings2025133011 - 1 Apr 2026
Viewed by 129
Abstract
This study introduces a sustainable plasterboard reinforced with natural silkworm cocoon fibers, known for their intrinsic antimicrobial properties. The composite was evaluated for flexural strength, thermal performance, fire resistance, and biological susceptibility. While a slight decrease in flexural strength was observed, the composite [...] Read more.
This study introduces a sustainable plasterboard reinforced with natural silkworm cocoon fibers, known for their intrinsic antimicrobial properties. The composite was evaluated for flexural strength, thermal performance, fire resistance, and biological susceptibility. While a slight decrease in flexural strength was observed, the composite exhibited enhanced fire performance, improved thermal insulation, and substantially reduced fungal growth after 30 days. These findings suggest that silk-based plasterboards may offer a viable alternative to conventional materials, thereby contributing to enhanced indoor hygiene and sustainability, particularly in healthcare environments. Full article
(This article belongs to the Proceedings of II International Meeting Molecules 4 Life)
Show Figures

Figure 1

20 pages, 5508 KB  
Article
Composites from Recycled Polyolefin and Waste Plant Biomass with Potential Uses in Electrical Insulation Applications
by Mihaela Aradoaei, Romeo Cristian Ciobanu, Sebastian Teodor Aradoaei, Rolland Luigi Eva, Alina Ruxandra Caramitu and Adriana Mariana Bors
Materials 2026, 19(7), 1415; https://doi.org/10.3390/ma19071415 - 1 Apr 2026
Viewed by 330
Abstract
This research investigates novel polymeric composite materials made from recycled polyolefin and waste plant biomass (poplar seeds and vegetable peels), which have potential applications in the relatively unexplored field of electrical insulation. For composites made from poplar seeds with low density polyethylene matrix, [...] Read more.
This research investigates novel polymeric composite materials made from recycled polyolefin and waste plant biomass (poplar seeds and vegetable peels), which have potential applications in the relatively unexplored field of electrical insulation. For composites made from poplar seeds with low density polyethylene matrix, the structure appears more uniform, even with increased biomass content, in contrast to those utilizing high density polyethylene matrix, which displays notable heterogeneous areas where the polymer appears separated from the fibrous network at higher biomass levels. Concerning the composites of vegetable peels with high density polyethylene matrix, the fragments of vegetable peels are clearly recognizable, and their bond to the polymer matrix appears weaker. When incorporating vegetable peels into the polypropylene matrix, it results in a better distribution of the vegetable peel fragments within the polymer matrix, as well as enhanced structural homogeneity. Overall, the incorporation of biomass reduces the Shore hardness measurement for every polymer matrix. Regarding tear resistance, the inclusion of biomass reduces the values only for low density polyethylene with poplar seeds. For both high density polyethylene and polypropylene, regardless of the biomass type, the property seems to enhance marginally with the addition of biomass. The primary advantage of utilizing these composites is that their water absorption rate is at least twice as low as that of transformer board, while still offering a similar capacity for absorbing transformer oil. All composite types exceeded the minimum required threshold of 70 °C for service exposure, and adhered to insulation class A, similar to cellulose-based insulations. The addition of cellulose to polyolefin composites appears to slightly improve their breakdown strength. The conductivity for this type of composite is at least three times lower than that of cellulose insulation materials, rendering them beneficial for applications in electrical engineering as potential substitutes for cellulose-based materials in multiple electrical insulation uses, e.g., for insulating low voltage electrical machines, as well as serving as a substitute for pressboard in transformers. Additionally, their thermoplastic properties offer enhanced processing versatility, opening up new opportunities for electrical engineering technology, especially with regard to electrical insulation recyclability in the context of a circular economy. Full article
Show Figures

Figure 1

16 pages, 2839 KB  
Article
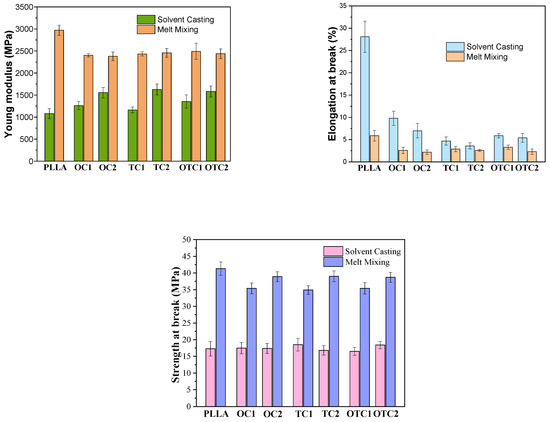
Impact of Processing and Char Feedstock on the Thermal, Mechanical, and Electrical Behavior of PLLA Composites
by Donatella Duraccio, Boutheina Rzig, Mattia Di Maro, Giulio Malucelli, Finizia Auriemma, Federica Pignatelli, Giuliana Magnacca, Pier Paolo Capra, Mattia Bartoli and Maria Giulia Faga
Polymers 2026, 18(7), 871; https://doi.org/10.3390/polym18070871 - 1 Apr 2026
Viewed by 271
Abstract
This work explores the influence of two preparation methods, solvent casting and melt mixing, on the structure–property relationships of poly-L-lactic acid (PLLA) composites reinforced with char derived from different waste feedstocks. Three types of char were produced by slow pyrolysis at 550 °C: [...] Read more.
This work explores the influence of two preparation methods, solvent casting and melt mixing, on the structure–property relationships of poly-L-lactic acid (PLLA) composites reinforced with char derived from different waste feedstocks. Three types of char were produced by slow pyrolysis at 550 °C: olive pruning waste biochar (OC), tyre-derived char (TC), and a 1:1 hybrid co-pyrolyzed char (OTC). Each filler was incorporated into PLLA at 1 and 2 wt.% loadings, and the resulting composites were characterized through physicochemical, thermal, mechanical, and electrical analyses. Raman, FTIR, and SEM analyses revealed distinct structural characteristics for each char, with the hybrid OTC exhibiting the highest structural order due to synergistic interactions during co-pyrolysis. The preparation method affected filler dispersion. Solvent-cast films displayed micrometric agglomerates and interfacial voids, whereas melt mixing ensured a more homogeneous distribution. Thermal characterization showed that char addition did not significantly alter the crystallization or melting behavior of PLLA, although melt-mixed samples exhibited restricted chain mobility. Mechanical tests revealed opposing effects of filler loading depending on processing: in solvent-cast materials, stiffness increased while strength remained nearly unaffected, whereas melt-mixed composites exhibited reduced modulus and strength, attributed to the disruption of the denser amorphous structure generated during melt processing. Electrical resistivity depended on the preparation method. Solvent-cast composites remained insulating, while melt mixing, with OTC at 2 wt.%, led to a resistivity drop (down to 0.02 × 1015 Ω·cm from 20 × 1015 Ω·cm for unfilled PLLA), although all materials remained within the insulating regime. Overall, this work provides insight into the role of sustainable char fillers in improving the performance of PLLA composites and highlights the interplay between processing method and material properties. The developed PLLA/char composites are promising candidates for applications in flexible electronics, sensors, and antistatic components, as well as in lightweight structural materials and energy devices. Full article
Show Figures

Graphical abstract

30 pages, 3823 KB  
Article
Valorization of Mineral Wool Waste as a Pozzolanic Supplementary Cementitious Material—Comparative Reactivity in Portland and Calcium Sulfoaluminate Systems
by Beata Łaźniewska-Piekarczyk and Dominik Smyczek
Sustainability 2026, 18(7), 3366; https://doi.org/10.3390/su18073366 - 31 Mar 2026
Viewed by 156
Abstract
This study provides new experimental evidence indicating that powdered mineral wool waste traditionally classified as a non-reactive, non-recyclable insulation residue can function as a genuinely pozzolanic supplementary cementitious material when incorporated into Portland cement systems. Unlike previous work that has treated mineral wool [...] Read more.
This study provides new experimental evidence indicating that powdered mineral wool waste traditionally classified as a non-reactive, non-recyclable insulation residue can function as a genuinely pozzolanic supplementary cementitious material when incorporated into Portland cement systems. Unlike previous work that has treated mineral wool exclusively as an inert filler, this research demonstrates that its amorphous silicate–aluminate phase becomes chemically active under high-alkalinity conditions. A combined experimental programme, including mechanical testing, assessment and SEM/EDS microstructural analysis, was used to evaluate replacement levels of 20%, 25%, and 40% in CEM I mortars, with CSA cement employed as a contrasting binder system. The results indicate a potential contribution of powdered mineral wool to strength development; however, this effect cannot be unequivocally attributed to pozzolanic activity alone. It may also be partially related to physical effects such as filler action and particle packing. SEM/EDS observations confirm the formation of secondary C–S–H and C–A–S–H gels, can function as a genuinely pozzolanic supplementary cementitious material. Therefore, the applied assessment approach should be treated as indicative, and further verification using complementary methods is required. This study provides new experimental evidence indicating mineral wool can potentially contribute to cementitious performance as a Supplementary Cementitious Material (SCM). However, these observations should be treated as qualitative and indicative rather than definitive proof of pozzolanic reaction. The study provides an environmentally relevant valorisation pathway for a problematic waste stream, showing that mineral wool residues containing only trace levels of immobilizable formaldehyde can be safely and effectively integrated into low-carbon binder technologies. These findings position powdered mineral wool as a previously overlooked, yet technically viable SCM, offering new opportunities for clinker reduction, waste circularity and sustainable cementitious material design. Full article
Show Figures

Figure 1

19 pages, 4354 KB  
Article
Empirical Formula for Estimating Collapse Pressure of Dented Sandwich Pipes
by Zijian Zheng, Yihao Hu, Guangming Fu, Ming Song and Segen F. Estefen
J. Mar. Sci. Eng. 2026, 14(7), 631; https://doi.org/10.3390/jmse14070631 - 30 Mar 2026
Viewed by 298
Abstract
Deepwater sandwich pipes (SPs) offer high collapse resistance and thermal insulation, making them promising for hydrocarbon transport under high-pressure and low-temperature conditions. However, mechanical damage such as local dents increases cross-sectional ovality and can substantially degrade their external pressure capacity. This study develops [...] Read more.
Deepwater sandwich pipes (SPs) offer high collapse resistance and thermal insulation, making them promising for hydrocarbon transport under high-pressure and low-temperature conditions. However, mechanical damage such as local dents increases cross-sectional ovality and can substantially degrade their external pressure capacity. This study develops a numerical model using ABAQUS to assess the collapse pressure of dented deepwater SPs under hydrostatic loading. The model is validated against existing reference data. A total of 2316 FE models are constructed to investigate the effects of material properties, geometric configurations, and dent characteristics on collapse performance. Results show that the collapse pressure decreases significantly with increasing dent depth, and spherical dents have a more pronounced effect than planar dents. Enhanced collapse resistance is observed as both the thickness ratio and the core thickness of the sandwich structure increase. The use of higher-strength materials in the core layer and the internal and external layers also improves compressive capacity. Drawing on these results, a simplified formula for estimating the collapse pressure of dented sandwich pipes is proposed. Full article
Show Figures

Figure 1

16 pages, 12978 KB  
Article
Effects of Welding Parameters and Film Thickness on the Joint Performance of CF/PA6 Resistance Welding with Perforated Stainless-Steel Mesh
by Shiyuan Wang, Yuanduo Yang, Zhanyi Geng, Sansan Ao and Yang Li
J. Compos. Sci. 2026, 10(4), 181; https://doi.org/10.3390/jcs10040181 - 27 Mar 2026
Viewed by 286
Abstract
Thermoplastic composite resistance welding boasts stable process, low cost and reliable quality, making it a dependable joining technique for such materials. This process employs a heating element (HE) as the sole heat source and therefore, it is critical in controlling the welding process. [...] Read more.
Thermoplastic composite resistance welding boasts stable process, low cost and reliable quality, making it a dependable joining technique for such materials. This process employs a heating element (HE) as the sole heat source and therefore, it is critical in controlling the welding process. This study proposed a perforated stainless-steel mesh (SSM) as the HE and investigated the effect of welding parameters and insulation film thickness on the joint performance of resistance welded carbon-fiber-reinforced polyamide 6 (CF/PA6). The results showed that the joint lap shear strength (LSS) increased first then decreased as the welding pressure, welding time and welding current increased. The maximum LSS reached 24.4 MPa when 0.2-mm-thick films were used. The joint failure mode was identified as blocky fiber peeling with compromised fiber continuity for the joints welded with 0.1-mm-thick and 0.3 mm-thick PA6 films. For the joints made with 0.2-mm-thick PA6 films, the joint failure mode was characterized by resin peeling from the fiber surface. Full article
(This article belongs to the Section Composites Manufacturing and Processing)
Show Figures

Figure 1

29 pages, 9890 KB  
Article
Performance Evaluation of Concrete Incorporating Crushed Date Kernel Using TOPSIS Method
by Adnan Bawadekji, Mohamed I. S. Elmasry, Muhammad Akbar and Nejib Ghazouani
Buildings 2026, 16(7), 1326; https://doi.org/10.3390/buildings16071326 - 27 Mar 2026
Viewed by 354
Abstract
While recent research has extensively investigated the feasibility of incorporating various agricultural by-products as aggregate replacements in concrete, the specific potential of crushed date kernel (CDK) remains insufficiently characterized despite their abundance. This study evaluates the performance of concrete incorporating CDK as a [...] Read more.
While recent research has extensively investigated the feasibility of incorporating various agricultural by-products as aggregate replacements in concrete, the specific potential of crushed date kernel (CDK) remains insufficiently characterized despite their abundance. This study evaluates the performance of concrete incorporating CDK as a partial replacement for fine aggregates at volumetric ratios ranging from 5% to 30%. The experimental program was oriented to find the major properties of the mixes, such as compressive strength, splitting tensile strength, flexural strength, and bonding, in addition to the Ultrasonic Pulse Velocity, water absorption, density, and thermal conductivity. The compressive strength of the standard mixture was 26.73 MPa, the flexural strength was 4.47 MPa, and the thermal conductivity was 1.99 W/m·K after 28 days. A compressive strength of 26.78 MPa was recorded for a 5% substitution, but the flexural strength of 4.85 MPa was greater, along with a reduction in the thermal conductivity of 1.86 W/m·K. Higher replacement ratios led to a gradual loss of mechanical strength, whereas 30% replacement gave a corresponding stress of 19.65 MPa. However, thermal conductivity continued to decrease to a value of 1.27 W/m·K, indicating a better insulation capacity. Furthermore, the TOPSIS multi-criteria decision-making analysis demonstrated a robust classification across multiple weighting combinations. The analysis identified the 5% replacement ratio as the optimum for operating and the 10% replacement as optimum on a sustainability basis. Full article
Show Figures

Figure 1

27 pages, 14512 KB  
Review
Research Progress on Thermal Insulation Material Systems for High-Speed Aircrafts
by Xinke Jiang, Yongcai Guo and Yong Zhou
Materials 2026, 19(7), 1311; https://doi.org/10.3390/ma19071311 - 26 Mar 2026
Viewed by 426
Abstract
During high-speed flight, intense friction on the aircraft surface always occurs due to atmospheric fluid medium. The resultant high frictional drag will trigger a significant aerothermal effect, and thus raise the surface temperature sharply to 1000–3000 °C. This extreme heat not only remarkably [...] Read more.
During high-speed flight, intense friction on the aircraft surface always occurs due to atmospheric fluid medium. The resultant high frictional drag will trigger a significant aerothermal effect, and thus raise the surface temperature sharply to 1000–3000 °C. This extreme heat not only remarkably reduces the aerodynamic efficiency but probably also causes thermal failure of the structural integrity and damage of internal components. Therefore, robust heat-resistant materials are the preferred choice for designing high-speed aircraft due to their benign tolerance to high temperature, oxidation and ablation as well as large strength and durability. This work systematically unveils the generation mechanism of frictional drag in high-speed flight and introduces the characteristics and applications of typical thermal insulation materials (TIMs). After that, the recent progress in a thermally protected material system including metal-based alloys and metal-doped compound materials, ultra-high-temperature ceramics (UHTCs), carbon (C)/carbon (C) and C/SiC composites, ceramic matrix composites (CMCs), UHTCs-modified C/C and C/SiC composites is conducted. Finally, the current technical bottlenecks are discussed, simultaneously proposing the development direction of novel TIMs for the potential applications for high-speed aircrafts. Full article
(This article belongs to the Section Advanced Composites)
Show Figures

Graphical abstract

17 pages, 3412 KB  
Article
Study on the Influence of Magnetic Fluid Insulation on the Sealing Performance of Upper Guide Bearing of Hydro-Generator
by Mao Liao, Zhenggui Li, Zhaoqiang Yan, Chuanjun Han, Wei Tai, Xin Chen and Yu Zheng
Magnetochemistry 2026, 12(4), 39; https://doi.org/10.3390/magnetochemistry12040039 - 25 Mar 2026
Viewed by 360
Abstract
This study focuses on the reliability issue of magnetic fluid (MF) in the magnetic fluid sealing technology for the upper guide bearing (UGB) of hydro-generators and proposes selection schemes for MF suitable for different models of hydro-generators. By analyzing the performance indicators of [...] Read more.
This study focuses on the reliability issue of magnetic fluid (MF) in the magnetic fluid sealing technology for the upper guide bearing (UGB) of hydro-generators and proposes selection schemes for MF suitable for different models of hydro-generators. By analyzing the performance indicators of five base fluids and MFs, including the acid value, flash point, oxidation stability, magnetorheological performance, breakdown voltage, dielectric loss factor and volume resistivity, the influencing factors of the insulating performance of MFs and their mechanism in sealing the UGBs of hydro-generators are investigated. The results show that, when the spindle speed is below 27 rpm, the viscosity of the MF is dominated by the magnetic field strength, while, when the speed exceeds 27 rpm, the viscosity of the MF is dominated by the shear rate. In addition, the addition of magnetic nanoparticles (MNPs) causes the breakdown voltage of the base carrier liquid to fluctuate in the range of 31.2–55.9 kV, the dielectric loss factor to fluctuate in the range of 2.5 × 10−4–6.7 × 10−3, and the volume resistivity to fluctuate in the range of 2.8 × 1011–2.6 × 1012 Ω·m. The research results provide a theoretical basis for the application of high-efficiency and stable magnetic fluid sealing technology. Full article
(This article belongs to the Special Issue Ferrofluids: Electromagnetic Properties and Applications)
Show Figures

Figure 1

Back to TopTop