Next Article in Journal
Determinants of Public Construction Tender Cancellations in Türkiye
Previous Article in Journal
Experimental Investigation of Dynamic Operation and Performance Limits of ASHP-Driven Radiant Floor and Fan Coil Heating System
Previous Article in Special Issue
Construction and Demolition Waste Minimization and Material Valorization Through a Five-Pillar Management Plan: Evidence from Santiago, Chile
 
 
Due to scheduled maintenance work on our servers, there may be short service disruptions on this website between 11:00 and 12:00 CEST on March 28th.
Font Type:
Arial Georgia Verdana
Font Size:
Aa Aa Aa
Line Spacing:
Column Width:
Background:
Article

Performance Evaluation of Concrete Incorporating Crushed Date Kernel Using TOPSIS Method

by
Adnan Bawadekji
1,*,
Mohamed I. S. Elmasry
1,
Muhammad Akbar
2 and
Nejib Ghazouani
3,*
1
Construction and Building Engineering Department, College of Engineering and Technology, Arab Academy for Science and Technology and Maritime Transport, Abu-Qir, Alexandria 5528341, Egypt
2
School of Naval Architecture & Ocean Engineering, Jiangsu University of Science and Technology, Zhenjiang 212100, China
3
Mining Research Center, Northern Border University, Arar 73213, Saudi Arabia
*
Authors to whom correspondence should be addressed.
Buildings 2026, 16(7), 1326; https://doi.org/10.3390/buildings16071326
Submission received: 7 February 2026 / Revised: 12 March 2026 / Accepted: 17 March 2026 / Published: 27 March 2026

Abstract

While recent research has extensively investigated the feasibility of incorporating various agricultural by-products as aggregate replacements in concrete, the specific potential of crushed date kernel (CDK) remains insufficiently characterized despite their abundance. This study evaluates the performance of concrete incorporating CDK as a partial replacement for fine aggregates at volumetric ratios ranging from 5% to 30%. The experimental program was oriented to find the major properties of the mixes, such as compressive strength, splitting tensile strength, flexural strength, and bonding, in addition to the Ultrasonic Pulse Velocity, water absorption, density, and thermal conductivity. The compressive strength of the standard mixture was 26.73 MPa, the flexural strength was 4.47 MPa, and the thermal conductivity was 1.99 W/m·K after 28 days. A compressive strength of 26.78 MPa was recorded for a 5% substitution, but the flexural strength of 4.85 MPa was greater, along with a reduction in the thermal conductivity of 1.86 W/m·K. Higher replacement ratios led to a gradual loss of mechanical strength, whereas 30% replacement gave a corresponding stress of 19.65 MPa. However, thermal conductivity continued to decrease to a value of 1.27 W/m·K, indicating a better insulation capacity. Furthermore, the TOPSIS multi-criteria decision-making analysis demonstrated a robust classification across multiple weighting combinations. The analysis identified the 5% replacement ratio as the optimum for operating and the 10% replacement as optimum on a sustainability basis.

1. Introduction

Concrete remains the most widely used construction material worldwide because of its mechanical reliability and the wide availability of its constituents [1,2]. Aggregates occupy about 60–75% of concrete volume. The grading and proportion of fine aggregate strongly influence particle packing, paste water demand, workability, cohesion, and later-age developed strengths [3,4,5,6]. With rapid urbanization increasing aggregate consumption, the construction sector faces growing pressure to reduce dependence on virgin resources and to adopt lower-impact materials [7]. In this context, green concrete seeks to partially replace conventional ingredients with natural or industrial by-products while still meeting performance and structural requirements [8,9]. Accordingly, many studies have examined waste-derived materials in cement-based composites. Investigations on coal-related by-products and agricultural shell residues—including rubber tree seed shells, coconut shells and ash, walnut shells, and olive stones—have shown that such materials can reduce density and, at controlled replacement levels, maintain acceptable mechanical and durability performance. However, excessive replacement often increases water demand, sorptivity, or matrix weakness [10,11,12,13,14,15,16,17,18,19,20,21,22,23,24]. These findings support the broader premise that locally available organic wastes can be valorized in construction, provided that their size, dosage, and interaction with the cement matrix are properly controlled.
Among these residues, date kernel (DK), also called date seed or pit, is particularly relevant in the Middle East and North Africa. Date production is especially high in Saudi Arabia and neighboring Gulf countries, and the kernel accounts for approximately 10–15% of the fruit mass [25,26,27,28]. Because DK is abundant, inexpensive, and often underutilized or discarded, converting it into graded particulate material offers a practical circular-economy route for reducing natural sand consumption and limiting unnecessary waste disposal or burning [29,30,31,32,33].
From a materials perspective, DK is a lignocellulosic biomass composed mainly of cellulose, lignin, and hemicellulose, with modest quantities of mineral oxides [34,35,36,37,38,39]. Its lignin-rich structure contributes to stiffness, thermal stability, and relative resistance to biodegradation, while its low density and low specific gravity suggest potential for lightweight and thermally improved cementitious composites [35,36,37,38,39,40,41]. These characteristics make crushed date kernel (CDK) a plausible partial replacement for fine aggregate, particularly where reductions in unit weight and thermal conductivity are desirable [29,30,31,40,41].
Nevertheless, previous research on date palm by-products in concrete reveals distinct performance trends depending on the material form and application method. When used as aggregate replacement, date kernels (DKs) consistently reduce mechanical strength while improving insulation properties. Coarse aggregate replacement with DK at 25–60% reduced compressive strength by 47–66%, with 100% replacement causing complete failure due to segregation [42]. Similarly, fine aggregate replacement with date seed powder at 1.25–5% progressively decreased slump (130 to 70 mm) and 28-day strength (32.6 to 22.2 MPa) [29]. This strength–insulation trade-off was quantified by Hamraoui et al. [31], who reported 33–89% strength reduction alongside 21–86% lower thermal conductivity with untreated DK.
In contrast, date palm materials such as cement replacement or fiber reinforcement exhibit different behaviors. Date kernel ash (DKA) as cement substitute showed marginal strength gains only at 5% replacement (2.5% increase), with higher ratios causing significant reductions (up to 26.7% at 30%) [43]. Date palm fibers (DPFs) as reinforcement improved tensile strength by 17% and flexural strength by 60–85%, while enhancing durability indicators [44,45]. The addition of powdered activated carbon (PAC) further optimized DPF-reinforced concrete, increasing compressive (5.5–11.1%), tensile (8.5–19.3%), and flexural strength (6.7–18.7%), while reducing absorption by up to 17.9% [45,46]. Durability assessments indicate that DK concrete can achieve low permeability and sorptivity (0.04–0.07 mm·min−0.5) within “good quality” thresholds under standard curing, though wet–dry cycling increases chloride penetration [40]. Taken together, these findings show that date-palm-derived materials can contribute to sustainable concrete, but their effectiveness depends strongly on the material form (powder, ash, fiber, crushed particle), replacement ratio, surface treatment, and target property. Beneficial outcomes are generally achieved only within limited replacement ranges, whereas excessive substitution often leads to losses in workability or strength. This variability justifies the need for a systematic evaluation of size-controlled crushed date kernel (CDK) as a fine aggregate replacement and for a multi-criteria optimization approach capable of balancing mechanical, physical, and thermal performance simultaneously.
Because these systems involve several competing criteria—workability, density, mechanical resistance, durability-related behavior, thermal performance, and cost—multi-criteria decision-making methods can support mixture optimization more effectively than single-response evaluation. The Technique for Order Preference by Similarity to Ideal Solution (TOPSIS) has already been applied successfully in sustainable concrete mixture design and in high-strength self-compacting concrete with multiple performance responses [47,48]. However, a clear gap remains regarding the use of size-controlled CDK as a partial fine aggregate replacement in conventional concrete. Existing studies have focused mainly on ash, powder, fibers, coarse particles, or isolated properties, with limited attention to the combined assessment of mechanical, physical, thermal, and bond performance within a unified optimization framework [39,40,41,42,43,44,45,46,47,48,49].
Accordingly, this study investigates size-controlled CDK particles (0.60–4.75 mm) as a partial substitute for natural sand in concrete. The work evaluates the effect of CDK content on mechanical behavior, physical properties, and thermal performance; examines concrete–steel bond strength through direct pull-out testing; and applies TOPSIS to determine the replacement ratio that provides the most favorable overall balance among the measured criteria. In doing so, the study aims to establish a performance-based basis for using CDK in sustainable concrete production in date-producing regions [25,26,27,28,29,30,31,32,33,47,48].
The specific objectives of this study are as follows:
  • To evaluate the effect of varying CDK replacement levels as a partial fine aggregate replacement on the mechanical behavior, physical properties, and thermal performance of the concrete mixtures.
  • To assess the concrete–steel bond strength of the modified mixtures through direct pull-out testing.
  • To employ the TOPSIS multi-criteria decision-making framework to determine the optimal replacement ratio that yields the most favorable balance across all tested parameters.
This comprehensive approach aims to establish a scientific foundation for utilizing CDK in sustainable construction applications, by explaining the physical mechanisms that govern the strength development and detrimental effects of CDK.

2. Materials and Methods

2.1. Materials

2.1.1. Cement and Aggregates

Ordinary Portland cement (OPC) Type I, supplied by North Cement Company (Arar, Saudi Arabia), was used as the binder, with a bulk density of 1440 kg/m3 and specific gravity of 3.15. Crushed granite coarse aggregate (9.5–19 mm) and the crushed granite sand were sourced from a local quarry in Hazm Al-Jalamid (Arar, Saudi Arabia). Fine aggregate comprises natural sand from a natural desert site Dumat Al-Jandal (Al-Jouf, Saudi Arabia). Figure 1 presents the gradation curves of aggregates and summarizes their physical properties.

2.1.2. CDK Characterization

Date kernels (DKs) were obtained from a specific local farm Saud Al-Gosaibi Farm (Al-Hofuf, Saudi Arabia) and mechanically crushed to produce crushed date kernel (CDK) aggregate. Particles were sieved to retain the 0.60–4.75 mm fraction, conforming to standard F.A. gradation per ASTM C136 [50] and enabling volumetric replacement of natural sand.
The crushing process preserved the angular morphology and micro-fibrillar texture essential for aggregate–scale interaction. Particles below 0.60 mm were excluded to minimize excessive surface area and paste-wrapping effects, isolating the contribution of aggregate contact mechanics and interfacial transition zone behavior. The upper limit of 4.75 mm aligns with standard sieve sets, ensuring reproducible batching and comparability with reference aggregates. Post-crushing particle morphology is shown in Figure 2.
Given its particle size conforming to F.A. gradation and its inert nature with respect to cement hydration, CDK was employed as a nonreactive volumetric partial replacement for natural sand. Physical characterization results are presented in Figure 2.

2.1.3. CDK Pre-Treatment

DK were cleaned, crushed to a F.A. size and graded as per ASTM C136 [50]. The aggregate was then soaked in water for 48 h; this specific duration was adopted because the water absorption rate plateaued after two days, as evidenced by the data in Figure 2. Following the procedure in ASTM C128-22 [51], the CDK was spread and dried with a gentle air current until it reached a surface-saturated-dry (SSD) state. This condition was verified when the aggregate appeared damp with no visible free moisture, and a cone test (tamping 25 times in a mold) showed the material slumping slightly but retaining its shape upon mold removal. Upon reaching SSD, the material was immediately introduced into the premeasured mixing water. The treatment of absorptive aggregates follows an internal curing practice, wherein prewetted particles supply internal water that stabilizes the effective w/c, enhancing hydration, and reducing early-age and autogenous shrinkage [52]. Reports on DK show low specific gravity and high 24 h water absorption, underscoring the necessity of presoaking, SSD conditioning, and careful water management [40].

2.1.4. Chemical Composition of Constituents

X-ray fluorescence (XRF) is used to determine the major-oxide compositions of OPC, dune sand, crushed granite, and CDK. Dune sand, granite, and CDK were rinsed to remove adhering fines/pulp, oven-dried at 105 ± 5 °C to constant mass, then milled and sieved to <75 µm. Powders were prepared as pressed powder pellets, and oxide totals were normalized to 100% with loss on ignition (LOI) determined and reported in Figure 3.
XRF results showed compositions consistent with material provenance. The OPC was dominated by CaO (≈63 wt%) with SiO2 (≈21.5 wt%), while the dune sand was quartz-rich (SiO2 ≈ 91 wt%) with low LOI (≈1 wt%). The granite exhibited a typical feldspathic signature (SiO2 ≈ 68 wt%, Al2O3 ≈ 13 wt%) with minor Fe2O3 and alkalis. In contrast, CDK displayed an extremely high LOI (≈96.9 wt%) and only trace oxides, confirming its organic nature. These data indicate that CDK behaves as a non-pozzolanic, lightweight F.A. substitute; interpretations of its effects on density, absorption, UPV, and strength are therefore discussed in Section 3. In this study, a Thermo Scientific XRF Spectrometer was used to analyze the chemical composition of the materials. The device used in study is shown in Figure 3.

2.2. Mix Proportioning

Mix proportions were established by the Absolute-Volume Method (AVM) in accordance with ACI 211.1 [53]. With a F.A. fineness modulus of 2.43 and a nominal maximum C.A. size of 19 mm, the bulk volume of the dry-rodded coarse aggregate is taken as 0.66 m3 per m3 of concrete from the ACI selection table. The measured dry-rodded unit weight of the coarse aggregate was 1655 kg/m3, yielding a coarse aggregate mass of approximately 1092 kg/m3. The control mixture contained 350 kg/m3 of OPC at w/c = 0.58 with a target slump of 75–100 mm, based on the binder content, aggregate proportions, and target workability. The mass of F.A. was obtained from the AVM balance using the measured SSD-specific gravity of the F.A. in Equation (1):
A b s o l u t e V o l u m e M e t h o d = C G c + F . A . G F . A . + C . A . G C . A . + W 1.0 = 1000 L
where C represents the mass of cement measured in kg, while Gc is the specific gravity of cement. F.A. denotes the mass of F.A. in kg with its corresponding specific gravity GF.A., and C.A. refers to the mass of C.A. in kg with its specific gravity GC.A.. Additionally, W indicates the mass of water in kg, and the value 1000 represents the total volume of the concrete mix in liters per cubic meter.
Volumetric replacement was applied within the F.A fraction. The absolute volume of the entire F.A. in the control mix V F A ( 0 ) was first computed; then at each target level r { 5 % , 10 % , 15 % , 20 % , 25 % , 30 % } , a fraction r of this volume was withdrawn from F.A. Equation (2) gives the CDK volume to be added at a target replacement ratio r as a fraction of the control F.A. volume, and Equation (3) gives the remaining sand volume after replacement.
V C D K = r · V F . A 0
V F . A n e w = 1 r · V F . A 0
where V F A ( 0 ) is the initial absolute volume of F.A. in the control mix, while r represents the specific replacement ratio used in the study. V C D K denotes the volume of crushed date kernel to be incorporated into the mixture, and V F . A n e w refers to the adjusted or remaining volume of sand after the replacement process has been applied. Batch masses were computed on an SSD basis using Equation (4).
m = d V
where m: mass; d: density; V: volume of material.
The cement content, w / c , the coarse aggregate fraction and the 1 m3 yield were kept constant across mixtures. Detailed constituent quantities for all mixtures are presented in Table 1.
These values are in line with those used in an experimental study characterized by similar binder contents and aggregate gradations; in particular, the present design follows the proportions and control mix design rationale reported by Ahmed et al. [54]. Such similarity to established mixtures in the literature therefore reinforces the suitability of the selected design as a baseline against which material substitutions are assessed. Employment of this standardized and widely adopted proportioning approach ensures that any observed changes in workability or mechanical performance are indeed as a result of the incorporation of CDK, rather than from differences in mix design methodology.

2.3. Experimental Program

To evaluate the performance of concrete incorporating CDK, a systematic experimental program was developed. The study involved seven mix formulations: a control mix (M0) and six mixes where natural sand was partially replaced by CDK at volumetric ratios of 5%, 10%, 15%, 20%, 25%, and 30% were produced and evaluated in the laboratory. Sampling, batching, mixing, and curing were complied with ASTM C192/C192M. Constituents were weighed in the prescribed proportions and dry-blended (cement, F.A., and C.A.) for 1 min in a laboratory rotating drum mixer. The premeasured CDK was then dispersed in the mixing water and introduced immediately after the dry blend to minimize premature moisture uptake, mixing continued for 3 min to achieve uniformity. Immediately after mixing, the workability was determined using a slump test and the fresh density of the concrete was determined. Specimens were cast in three layers, each compacted with 25 rod strokes, demolded after 24 h at 28 ± 2 °C, and water cured until testing.
Fresh concrete was placed in 150 × 300 mm cylindrical molds for compressive strength (ASTM C39) [55] and split tensile strength (ASTM C496) [56], and for the rest of the physical property tests. Samples of 100 × 100 × 420 mm were prepared using prismatic molds for flexural strength (ASTM C78) [57]. Cylindrical specimens (150 mm × 300 mm) were cast for the pull-out bond strength test, incorporating a centrally embedded deformed steel bar at a depth of 15 cm from the surface of the cylinder [58]. The geometry and detailed dimensions of the cylindrical, prismatic, and bond strength specimens prepared for the experimental testing phase are schematically illustrated in Figure 4a,b. To provide a clear visual representation of the experimental setup, photographs of the actual cast samples prior to testing are presented in Figure 4c.
To provide a comprehensive assessment of the concrete mixes, a systematic experimental program was designed, involving the fabrication and testing of multiple specimens across seven mix formulations (M0–M6). As summarized in Table 2, the study evaluated mechanical quality alongside physical and thermal properties. For each test, triplicate specimens (n = 3) were evaluated per age condition to ensure statistical reliability and repeatability.

2.4. Test Methods

Fresh and hardened concrete properties were evaluated using standard test methods. Workability was measured by the slump test according to ASTM C143/C143M [59]. Mechanical performance was assessed through compressive strength (ASTM C39 [55]), split tensile strength (ASTM C496 [56]), flexural strength (ASTM C78 [57]), and bond strength by pull-out testing following [58]. Internal quality was examined using ultrasonic pulse velocity (UPV) in accordance with ASTM C597 [60]. Thermal conductivity was determined by the transient needle probe method based on ASTM D5334 [61], while bulk density and water absorption were measured according to ASTM C642 [62]. Test standards and calculation equations are detailed in Table 3, with the corresponding experimental setups for mechanical testing shown in Figure 5.

2.5. Multi-Criteria Decision-Making Framework

Because the incorporation of crushed date kernel (CDK) affects several concrete properties simultaneously, the optimum mixture cannot be identified using a single response. Therefore, the Technique for Order Preference by Similarity to Ideal Solution (TOPSIS) was adopted as the multi-criteria decision-making framework. TOPSIS ranks alternatives according to their closeness to an ideal solution that maximizes desirable properties and minimizes undesirable ones. This method requires a set of weighted evaluation criteria and a set of alternatives, which together form the decision matrix.
In this study, the evaluation criteria were the experimentally measured responses: compressive strength (CS), tensile strength (TS), flexural strength (FS), bond strength (BS), ultrasonic pulse velocity (UPV), water absorption (ABS), density (DEN), and thermal conductivity (TC). The alternatives were defined by varying the CDK replacement ratio, resulting in seven mixtures: CDK (0%), CDK (5%), CDK (10%), CDK (15%), CDK (20%), CDK (25%), and CDK (30%).

2.5.1. Selection of Evaluation Criteria

All measured responses of the CDK concrete mixes were included as evaluation criteria to ensure a comprehensive assessment of performance. The initial weights were assigned through expert judgment based on consultation with specialists in concrete mix design. A balanced distribution was adopted between mechanical/internal-quality criteria and physical/sustainability-related criteria.
Among the benefit criteria, compressive strength (0.200) received the highest weight because it is the principal structural design parameter. Tensile strength (0.100) and flexural strength (0.100) were equally weighted due to their importance in crack resistance and serviceability, while bond strength (0.080) was included to reflect interface performance. UPV (0.020) was given a lower weight as a supplementary indicator of internal homogeneity.
Among the cost criteria, water absorption (0.250) received the highest overall weight because of its strong effect on durability. Thermal conductivity (0.150) was prioritized to account for insulation performance, while density (0.100) was included to represent material efficiency and reduced self-weight. Accordingly, CS, TS, FS, BS, and UPV were treated as benefit criteria, whereas ABS, DEN, and TC were treated as cost criteria.

2.5.2. TOPSIS Methodology

Within the TOPSIS framework, each indicator is assigned a benefit–cost direction consistent with engineering intent and interpreted accordingly, whereby five benefit criteria (compressive, tensile, flexural, and bond strengths, plus UPV) represent mechanical adequacy and durability. Three cost criteria (absorption, thermal conductivity, and density) capture sustainability-related attributes including durability, insulation performance, and material efficiency. Within the TOPSIS framework, each evaluation criteria (response) was used. These orientations were held fixed across weighting scenarios so that benefit criteria were always maximized and cost criteria were minimized when defining the ideal and anti-ideal solutions; attributes were then normalized and weighted prior to computing the Euclidean separations; the decision matrix is first defined in Equation (5).
X = x i j , i = 1 , , m , j = 1 , , n
The data are vector-normalized in Equation (6).
r i j = x i j i = 1 m x i j 2
Criterion weights are applied Equation (7).
v i j = w j r i j , j = 1 n w j = 1 , w j 0
Ideal best and worst sets are then established by criterion type benefit and cost in Equations (8) and (9).
v j + = max i v i j , v j = min i v i j
v j + = min i v i j , v j = max i v i j
Separation from the positive and negative ideal solutions is computed by Equations (10) and (11)
S i + = j = 1 n ( v i j v j + ) 2
S i = j = 1 n ( v i j v j ) 2
Alternatives are ranked by the relative closeness coefficient Equation (12).
C i * = S i S i + + S i
where i and j represent the index for alternatives ( i = 1 , , m ) and criteria j = 1 , , m , respectively.
  • x i j is the element of the initial decision matrix X .
  • r i j represents the vector-normalized data for each criterion.
  • w j is the relative weight assigned to each criterion.
  • v i j denotes the weighted normalized values.
  • v j + and v j are the ideal best and ideal worst sets.
  • S i + and S i represent the Euclidean separation distances of each alternative from the positive and negative ideal solutions.
  • C i * is the relative closeness coefficient used to rank the alternatives.

2.5.3. Sensitivity Analysis

Because TOPSIS rankings are inherently influenced by the assigned criterion weights, a comprehensive sensitivity analysis was conducted to evaluate the robustness of the decision-making outcome under different weighting philosophies. The objective of this analysis was to determine whether the optimal CDK mixture remains stable when the relative importance of mechanical performance and sustainability-related attributes is varied. Seven scenarios were considered. S1 was the base case derived from expert judgment. S2 and S3 emphasized mechanical performance, whereas S4 and S5 emphasized sustainability-related criteria. S6 assigned equal weights to all criteria and served as a neutral benchmark. S7 used the entropy weighting method, which is an objective, data-driven approach based on the variability of criterion values across alternatives.
The complete framework for the sensitivity analysis, including the rationale for the selected scenarios (S1–S7), is outlined in Table 4, while the corresponding criteria weights assigned to each scenario are detailed in Table 5.
For each scenario, TOPSIS closeness coefficients were recalculated, and the resulting rankings were compared. In addition, ranking consistency was evaluated using Spearman’s rank correlation coefficient. This procedure enabled assessment of whether the optimal CDK mixture remained stable under different decision-making priorities and weighting philosophies.

3. Results and Discussion

3.1. Workability

Slump values ranged from 76 to 78 mm across all CDK replacement ratios (0–30%), with the control at 76 mm and the highest (78 mm) at 30% CDK. A strong quadratic correlation (R2 = 0.9118) was observed between CDK content and slump (Figure 6), indicating minimal but statistically significant influence on workability.
The marginal increase in slump with higher CDK replacement ratios suggests that CDK does not adversely affect the workability of fresh concrete, even at 30% replacement. The slight improvement at 15–20% and peak at 30% CDK may be attributed to the physical characteristics of CDK particles. The consistently high R2 value (0.9118) confirms the reliability of the observed trend. These findings indicate that CDK can be incorporated as a F.A. replacement material up to 30% without compromising workability, supporting its potential for sustainable concrete production.

3.2. Density

As shown in Figure 7, bulk density progressively decreased from 2402 kg/m3 (Control) to 2301 kg/m3 at 30% CDK replacement, representing a 4.2% reduction. The decline followed a quadratic trend with increasing CDK content (y = 0.6026x2 − 21.337x + 2422.9, R2 = 0.9925).
The decreasing trend suggests a predictable relationship between CDK content and concrete density, which is advantageous for mix design calculations where target densities are required. Notably, all values remained above 2300 kg/m3, which is well within the typical range for structural concrete (2200–2600 kg/m3). This indicates that CDK can replace up to 30% of fine aggregates without transitioning the concrete into the lightweight category.
From a micro-structural perspective, the density reduction may result from two mechanisms: the inherent lower density of CDK particles themselves and altered packing density with CDK particles exhibit different shape and gradation compared to natural sand (Figure 2 and Figure 3). The consistent decline suggests good dispersion of CDK throughout the matrix without significant segregation issues.

3.3. Compressive Strength

Compressive strength decreased progressively with increasing CDK replacement at both 7 and 28 days (Figure 8). For instance, 28-day strength decreased from 26.73 MPa to 19.65 MPa at 30% replacement, which is a 26.5% reduction. Notably, CDK replacement up to 10% maintained comparable strength to the control, with only marginal reductions of 4.7% at 7 days and 2.3% at 28 days.
The inverse relationship between CDK content and compressive strength is attributed to the lower density and potentially weaker particle structure of CDK compared to natural fine aggregates. The strength reduction became more pronounced beyond 10% replacement, suggesting an optimal threshold for maintaining structural integrity.
The relatively stable performance at 5–10% CDK indicates that limited substitution does not substantially compromise the cementitious matrix or aggregate interlock. However, higher replacement levels are likely to introduce weaker zones within the concrete matrix, reducing load-bearing capacity. The 28-day strength at 30% CDK (19.65 MPa) remains suitable for non-structural applications, while up to 10% replacement may be viable for structural concrete depending on design requirements.

3.4. Split Tensile Strength

Figure 9 illustrates the split tensile strength development of concrete with varying CDK replacement ratios at 7 and 28 days. At 28 days, the control achieved 3.10 MPa, with 5–15% CDK mixes maintaining similar values (3.14–3.02 MPa). However, strength dropped to 2.76 MPa at 20% CDK and 2.04 MPa at 30% CDK (34% reduction).
The inverse relationship between CDK content and split tensile strength aligns with compressive strength trends, confirming that excessive F.A. replacement weakens the concrete matrix. Notably, up to 10% CDK replacement preserved or slightly improved 28-day tensile strength, suggesting that limited CDK incorporation may enhance interfacial bonding and packing density. Beyond this threshold, the strength declines likely resulted from the CDK’s weaker particle structure and reduced interlock within the cement matrix.
Figure 10 shows the post-failure appearance of concrete cylinders after split tensile testing at different CDK replacement ratios. Specimens with 5% CDK (Figure 10a) exhibited relatively intact failure planes. Specimens with 15% CDK (Figure 10b) displayed more fragmented failure surfaces and pronounced cracking, suggesting weaker internal bonding.
The failure patterns between 5% and 15% CDK replacements visually confirm the mechanical test results. The relatively intact failure plane at 5% CDK indicates adequate aggregate–matrix bonding and effective stress distribution. The fragmented appearance at 15% CDK reflects diminished interfacial transition zone (ITZ) quality and reduced particle interlock.

3.5. Flexural Strength

Figure 11 illustrates the development of flexural strength in concrete mixes with varying CDK replacement ratios at 7 and 28 days of curing. At 7 days, the control mix achieved a flexural strength of 3.83 MPa. The introduction of CDK immediately impacted performance, with strength dropping to 3.54 MPa at 5% replacement. This decline continued progressively, culminating in a strength of 1.73 MPa for the 30% CDK mix, representing a 54.8% reduction compared to the control.
Flexural strength exhibited a similar trend to compressive and tensile strengths with increasing CDK replacement. At 28 days, control mix achieved 4.47 MPa, with 5% CDK showing improved strength (4.85 MPa, +8.5%). However, strength declined steadily beyond 5% replacement, reaching 2.23 MPa at 30% CDK, which is a 50% reduction from the control.
The initial improvement at 5% CDK replacement suggests that limited CDK incorporation may enhance flexural performance through improved particle packing or internal curing effects. This aligns with tensile strength trends where low replacement levels are maintained or experience slightly improved performance. Beyond this optimum, the progressive strength decline reflects the weaker CDK particles and reduced matrix cohesion.
Figure 12 illustrates the crack patterns and failure modes of flexural specimens after loading. The control mix (Figure 12a) exhibited a typical flexural failure with a single, well-defined vertical crack propagating from the tension zone. Specimens with 5% CDK (Figure 12b) showed similar crack characteristics, indicating comparable failure behavior. The 15% CDK specimens (Figure 12d) displayed more extensive cracking with greater fragmentation.
The evolving crack patterns with increasing CDK content visually corroborate the mechanical test results. The controlled failure of control and 5% CDK specimens reflect adequate flexural capacity and matrix integrity. The multiple cracking and extensive fragmentation at 15% CDK indicate the onset of matrix weakening, where stress redistribution occurs before failure.

3.6. Bonding Strength

Figure 13a shows a bond strength progressive decrease with increasing CDK replacement. The control mix achieved 7.78 MPa at 28 days, while 5% CDK showed comparable performance (7.75 MPa). Beyond this, bond strength declined to 7.26 MPa at 10% CDK, 6.56 MPa at 15% CDK, and dropped sharply to 4.28 MPa at 30% CDK, a 45% reduction from control. Figure 13b depicts a strong power–law correlation established between compressive strength and bond stress across all mixes (R2 = 0.9586), with bond stress increasing non-linearly as compressive strength improved from 19 to 26 MPa.
The bond strength trend closely mirrors compressive strength behavior, confirming the interdependent relationship between these mechanical properties. The maintained bond performance at 5% CDK suggests adequate interfacial transition zone (ITZ) quality at low replacement levels. However, the sharp decline beyond 15% CDK reflects weakened aggregate–matrix bonding and reduced mechanical interlock with higher CDK content. The increased porosity and reduced stiffness of the ITZ resulting from the organic nature of the CDK diminish the radial confinement and mechanical interlock. This localized weakening explains the transition from a localized pull-out to a splitting failure mode, as the compromised matrix can no longer sustain the induced hoop stresses.
The strong power–law correlation (R2 = 0.9586) provides a reliable predictive tool for estimating bond strength from compressive strength values in CDK-modified concrete. This relationship aligns with established concrete mechanics, where bond stress typically ranges between 0.25 and 0.35√f’c. The non-linear trend indicates that bond strength becomes increasingly sensitive to compressive strength reductions at lower strength levels.
Table 6 shows the Control, 5%, and 10% CDK mixes; the failure mode was solely due to the pull-out.
The typical failure mechanisms observed during the bond strength test, distinguishing between pull-out and splitting modes are illustrated in Figure 14a with 5% CDK, in which the embedded bar slipped without inducing a major tensile crack through the cylinder. In contrast, Figure 14b, with 15% CDK, presents a specimen that failed due to split tensile fracture along the bar axis, demonstrating that the bond stress exceeded the material’s tensile capacity.
This failure mode is typical when the concrete matrix remains sufficiently cohesive, causing the cylinder to crack diametrically instead of allowing bar slip. These observations provide a direct link between pull-out and splitting failure modes and support the bond performance trends reported in the mechanical evaluation of CDK-modified mixes.

3.7. Ultrasonic Pulse Velocity (UPV)

As illustrated in Figure 15, ultrasonic pulse velocity (UPV) decreased progressively with increasing CDK replacement at both testing ages. There is a correlation between compressive strength and the UPV. At 7 days, UPV declined from 4044 m/s (control) to 2746 m/s at 30% CDK, which is a 32% reduction. At 28 days, the control mix achieved 4181 m/s, with 5% and 10% CDK maintaining comparable values (4169 and 4045 m/s, respectively). Beyond 10% replacement, UPV decreased steadily to 2949 m/s at 30% CDK, which is a 29% reduction from control.
The decreasing UPV with higher CDK content indicates progressive deterioration of concrete quality and density, consistent with mechanical property trends. UPV values above 3500 m/s (up to 15% CDK) suggest “good” to “excellent” concrete quality according to standard classifications, while the 30% CDK mix (2949 m/s) borders on “doubtful” quality. The strong correlation between UPV and mechanical strength confirms that pulse velocity effectively detects internal structural changes from CDK incorporation.
Figure 15b demonstrates the correlation between the compressive strength and the UPV test results for varying CDK ratios, expressed by a power law f c = 7.5605 V 0.8842 with R 2 = 0.9948 . The correlation is based on the mutual dependence of both properties on the density and porosity of the matrix. As the level of CDK substitution rises, the corresponding decrease in the density of the matrix simultaneously impedes the wave propagation and reduces the mechanical strength.

3.8. Absorption

As depicted in Figure 16, water absorption increased progressively with higher CDK replacement ratios at all testing ages. The control mix exhibited 3.48% absorption, which increased steadily to 5.09% at 30% CDK, which is a 46% increase. The absorption values remained consistent across 2, 7, and 28 days for each mix, indicating rapid stabilization of water ingress characteristics regardless of curing time.
The progressive increase in water absorption with CDK content reflects the higher porosity and less dense microstructure resulting from CDK incorporation. This trend inversely correlates with the observed reductions in mechanical properties and UPV values, confirming that CDK particles create a more permeable matrix. The consistent absorption values across all testing ages suggest that pore-structure development stabilizes early and remains unaffected by continued curing. The 46% increase in absorption at 30% CDK indicates significantly higher permeability, which may compromise durability against moisture-driven deterioration mechanisms.

3.9. Thermal Conductivity

Figure 17 shows that the thermal conductivity decreased progressively with increasing CDK replacement at both testing ages. At 7 days, conductivity declined from 2.28 W/mK (control) to 1.43 W/mK at 30% CDK, which is a 37% reduction. At 28 days, the control mix achieved 1.99 W/mK, decreasing steadily to 1.27 W/mK at 30% CDK, which is a 36% reduction. Slight reductions were also observed between 7 and 28 days for each mix.
The decreasing thermal conductivity with higher CDK content reflects the lower density and increased porosity of CDK-modified concrete, consistent with UPV and absorption trends. The 36–37% reduction at 30% replacement indicates significantly improved insulation properties. This positions high-volume CDK concrete as a suitable alternative for non-structural applications where thermal performance is prioritized. The slight conductivity decrease from 7 to 28 days suggests ongoing micro-structural refinement, though the effect is marginal compared to CDK content.

3.10. Synergistic Micro-Structural Origins of Macro-Scale Performance

The behavior of concrete incorporating crushed date kernel (CDK) is best interpreted as the result of a coupled micro-structural evolution linking fresh-state response, mechanical performance, transport-related properties, and thermal behavior. Rather than affecting each property independently, CDK modifies the internal architecture of the composite in a way that simultaneously governs density, pore structure, ITZ interfacial quality, and stress-transfer efficiency. At low replacement levels, the porous nature and irregular surface texture of CDK can contribute positively through limited internal curing and acceptable mechanical interlock, thereby preserving matrix continuity. At higher replacement levels, however, the lower density, lower stiffness, and higher porosity of the organic particles become dominant, producing a lighter but weaker and more permeable material. The results presented in Figure 6, Figure 7, Figure 8, Figure 9, Figure 10, Figure 11, Figure 12, Figure 13, Figure 14, Figure 15, Figure 16 and Figure 17 and Table 6 consistently support this interdependent interpretation.
This micro-structural balance is first reflected in the fresh and physical properties. As shown in Figure 6, the slump remained nearly unchanged, ranging only from 76 to 78 mm across all mixtures, indicating that CDK did not significantly impair workability even at 30% replacement. This stability suggests that the mixture proportions and particle size distribution were sufficient to maintain fresh-state cohesion and particle mobility. In contrast, the hardened physical properties changed systematically with increasing CDK content. Bulk density decreased from 2402 kg/m3 in the control mix to 2301 kg/m3 at 30% CDK (Figure 7), confirming the gradual substitution of denser mineral aggregate with a lighter organic phase. At the same time, water absorption increased from 3.48% to 5.09% (Figure 16), while 28-day thermal conductivity declined from 1.99 to 1.27 W/mK (Figure 17). These parallel trends indicate that increasing CDK content generated a more porous internal structure: the matrix became less compact and more permeable to water, yet less effective at transmitting heat. Thus, the increase in absorption and the reduction in thermal conductivity should be viewed as complementary outcomes of the same pore-structure modification.
The mechanical results show that this effect is threshold-dependent. At low CDK incorporation, especially at 5%, the concrete maintained or slightly improved key strength properties. The 28-day compressive strength of the 5% CDK mix reached 26.78 MPa, which was essentially equal to and marginally above the control value of 26.73 MPa (Figure 8). Similarly, split tensile strength increased from 3.10 to 3.14 MPa (Figure 9), flexural strength increased more clearly from 4.47 to 4.85 MPa (Figure 11), and bond strength remained nearly unchanged at 7.75 MPa compared with 7.78 MPa for the control (Figure 13a). This favorable behavior implies that limited CDK addition did not disrupt the cementitious skeleton. Instead, the porous particles may have acted as internal moisture reservoirs. These particles slowly release moisture to the surrounding cement paste, promoting prolonged hydration and matrix densification. This internal curing mechanism, combined with the angular geometry of the CDK which facilitates mechanical interlocking, provides a robust scientific explanation for the strength improvement observed at the 5% replacement ratio. UPV results reinforce this interpretation, since the control and 5% CDK mixtures exhibited very similar 28-day values of 4181 and 4169 m/s, respectively (Figure 15a), indicating that matrix continuity and internal compactness were largely retained.
Once the replacement level exceeded approximately 10–15%, the beneficial effects of limited internal curing were progressively outweighed by the weaker and more porous nature of the bio-aggregate. This transition is clearly reflected in the simultaneous decline in all strength-related parameters. At 30% CDK, the 28-day compressive strength dropped to 19.65 MPa, split tensile strength to 2.04 MPa, flexural strength to 2.23 MPa, and bond strength to 4.28 MPa (Figure 8, Figure 9, Figure 11 and Figure 13a). UPV also decreased to 2949 m/s (Figure 15a), confirming a reduction in internal structural quality and a less efficient load-bearing network. Importantly, the strong power–law correlation between compressive strength and UPV at 28 days (R2 = 0.9948; Figure 15b), together with the relationship between compressive strength and bond strength (R2 = 0.9586; Figure 13b), demonstrates that these properties are governed by the same density–porosity balance within the concrete matrix. In other words, as CDK increased, the matrix became progressively less dense and more heterogeneous, which simultaneously reduced wave propagation, mechanical resistance, and bond efficiency.
The observed failure patterns provide direct visual support for this synthetic interpretation. In the split tensile and flexural tests, specimens containing 5% CDK showed relatively controlled cracking and more intact post-failure surfaces, whereas those containing 15% CDK exhibited greater fragmentation and more extensive crack development (Figure 10 and Figure 12). A comparable shift occurred in the bond test. According to Table 6 and Figure 14, the control, 5%, and 10% CDK mixtures failed by pull-out, while mixtures containing 15–30% CDK failed by splitting. This transition from pull-out to splitting indicates that, beyond a certain replacement level, the surrounding concrete loses its ability to sustain the radial tensile stresses generated during bar slip. The change in bond failure mode therefore reflects the same micro-structural deterioration already observed in tensile and flexural behavior, namely the weakening of the interfacial transition zone, reduced confinement capacity, and diminished resistance to crack propagation.
Overall, the results define a clear performance window for CDK incorporation. Up to about 5–10% replacement, CDK can be introduced without significant loss of workability or structural performance and may even slightly improve tensile and flexural behavior while maintaining compressive strength, bond capacity, and UPV. Beyond this range, increased porosity and lower particle rigidity become dominant, leading to reduced density, higher absorption, lower strength, lower UPV, and a shift toward more brittle and splitting-controlled failure. At the same time, thermal conductivity decreases substantially, indicating improved insulation performance. Accordingly, low CDK contents appear suitable when balanced structural performance is required, whereas higher replacement levels may be more appropriate for non-structural applications where reduced weight and enhanced thermal efficiency are prioritized.
Although the preceding discussion clarifies the micro-structural and physical origins of the observed trends, the selection of an optimum CDK replacement level requires the simultaneous evaluation of multiple performance indicators rather than reliance on any single-response variable. Since the investigated mixtures exhibit different advantages in terms of mechanical behavior, physical properties, and thermal performance, a multi-criteria decision-making framework is needed to identify the most balanced alternative. Accordingly, TOPSIS was adopted to rank the mixtures and determine the optimum replacement level based on their overall performance.

3.11. Multi-Criteria Performance Ranking of CDK Mixtures and Sensitivity Analysis Using TOPSIS

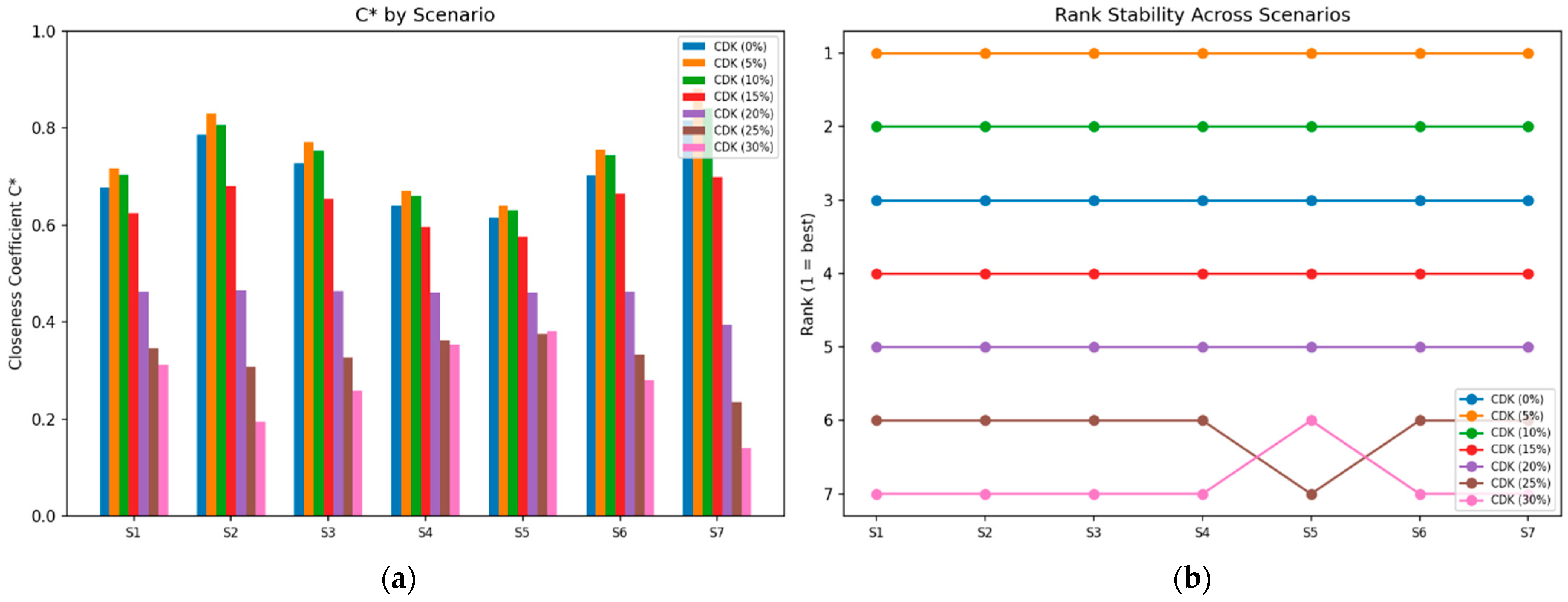
Although the preceding synthetic discussion clarifies the mechanisms governing the observed performance trends of CDK concrete, practical mixture selection requires a more integrated decision framework. This is because no single mixture simultaneously optimizes all measured properties, and the most suitable replacement level must therefore be determined by considering fresh, mechanical, physical, and thermal indicators together. Accordingly, after the establishment of the diverse weighting scenarios (Section 2.5.2), the TOPSIS framework was applied to evaluate the performance stability of the concrete mixes. The resulting closeness coefficients C* and the corresponding rankings for each CDK replacement level across all seven scenarios (S1–S7) are summarized in Table 7.
The CDK (5%) mix universally ranks first across all seven scenarios, including the objective entropy model (S7), consistently followed by the 10% CDK and the control mix (0% CDK) in the second and third positions, respectively. Conversely, higher replacement levels (≥20% CDK) rank lowest across all models due to significant declines in mechanical strength. Notably, while the entropy-weight scenario (S7) yields larger C* values, it preserves the overall ranking pattern, confirming the robustness of the TOPSIS evaluation.

3.12. Sensitivity Analysis of TOPSIS Rankings Under Alternative Weighting Scenarios

To statistically quantify the stability and robustness of the TOPSIS rankings across the varying weight distributions, a Spearman rank correlation analysis was performed. The resulting correlation coefficients ρ comparing the outcomes of all seven scenarios are presented in Table 8.
The Spearman rank correlation coefficients ρ in Table 8 demonstrate exceptional consistency across all weighting models. Most scenarios exhibit perfect correlation ( ρ = 1.000), confirming the stability of the rankings. The only minor deviation occurs in scenario S5 ( ρ = 0.964), caused solely by a rank reversal between the two lowest-performing mixes (25% and 30% CDK). These near-perfect values definitively validate the robustness of the TOPSIS evaluation.
The evaluation framework demonstrates an exceptional degree of mathematical resilience. As visually confirmed in Figure 18, while the absolute closeness coefficient (C*) values fluctuate significantly depending on the applied weighting scheme (left panel), the resulting rank hierarchy remains strictly parallel and unyielding (right panel).
This robust stability is driven by the specific performance thresholds of the CDK mixtures within the TOPSIS algorithm. Firstly, the 5% CDK mixture functions as a near-dominant alternative. Even when the weighting scheme is aggressively skewed to favor sustainability criteria up to 70% (S5), or when subjective bias is entirely eliminated using the objective entropy method (S7), the 5% mix maintains a superior Euclidean proximity to the ideal solution due to its balanced micro-structural profile. Secondly, the severe mathematical distance penalty incurred by higher replacement levels ( 20% CDK) cannot be offset by altering decision priorities. Although these mixes possess superior insulation and lower density, their precipitous drop in mechanical strength mathematically anchors them to the bottom of the rankings, even in scenarios designed to favor them (S4 and S5). This confirms that for CDK-modified concrete, mechanical degradation dictates the absolute limits of viability. Ultimately, the near-perfect Spearman correlation coefficients ( ρ = 1.000) across most models definitively prove that the selection of the 5% CDK mixture is an absolute material reality, entirely independent of weight bias.
The combined TOPSIS-based sensitivity analyses thus identify not only the most favorable CDK replacement level, but also the degree to which this preference remains stable under different performance priorities. Having established the optimum mixture and verified the robustness of its ranking, the results can now be positioned within the broader context of agricultural-waste concrete research through comparison with representative previous studies.

3.13. Comparative Analysis with Previous Agricultural-Waste Concrete Studies

To position the present findings within the broader field of sustainable concrete research, the optimum CDK mixture identified through the combined TOPSIS and sensitivity analyses was compared with representative agricultural-waste concrete studies reported in the literature. The comparison was structured in terms of experimental framework, mechanical performance, and fresh/physical/thermal behavior, as summarized in Table 9, Table 10 and Table 11. Such benchmarking is important because it enables the response of CDK concrete to be interpreted not only within the present experimental program, but also relative to other bio-based aggregate systems investigated under different mixture strategies.
Table 9 compares the principal experimental parameters, aggregate replacement approaches, and optimum substitution levels reported in the current and previous studies. The present investigation employed CDK as a partial F.A. replacement in the range of 0–30% by volume, with the optimum response observed at 5% replacement. A notable distinction of this work is that no chemical admixtures were used. In contrast, several previous studies relied on superplasticizers, polycarboxylate ethers, or fiber reinforcement to offset the adverse effects commonly associated with organic aggregate incorporation [18,24,29,42]. The current study therefore adopts a deliberate net-effect approach, in which the intrinsic influence of CDK on the cementitious matrix is evaluated without external modification. This methodology provides a more transparent assessment of the actual mechanical and physical contribution of the bio-aggregate and improves the practical relevance of the results from both economic and material-selection perspectives.
The comparison of mechanical properties in Table 10 shows that the CDK mixture exhibited a particularly balanced structural response at its optimum replacement level. The 5% CDK mixture maintained compressive strength almost unchanged relative to the control, with a slight increase of 0.2%, while split tensile and flexural strengths increased by 1.3% and 8.5%, respectively. In addition, the UPV value changed only marginally, decreasing by 0.3%, which indicates that internal compactness and matrix continuity were largely preserved. This behavior contrasts with the common trend reported in many agricultural-waste concrete studies, where organic aggregate incorporation resulted in noticeable mechanical losses. For example, a study [42] reported a compressive strength reduction of 47.5%, while studies [23,29] showed moderate strength decreases. Although some literature sources reported larger strength gains, those improvements were generally achieved in systems assisted by chemical admixtures or supplementary-reinforcing components, which limits direct comparison with the present admixture-free mixture. In this context, the main contribution of the current CDK system is not the maximization of a single strength parameter, but rather the preservation of overall structural performance without chemical enhancement.
Another important distinction of the present work is the inclusion of the bond strength test, which is rarely addressed in comparable agricultural-waste concrete studies. While most previous investigations focused primarily on compressive and, in some cases, tensile or flexural strength, the present study extends the assessment to the concrete–steel interaction. This is a meaningful addition because bond behavior directly affects the structural applicability of reinforced concrete elements. The negligible change in bond strength at the optimum CDK level, together with the stable UPV response, indicates that limited CDK incorporation did not significantly compromise the load-transfer capacity or internal integrity of the composite. This strengthens the argument that low CDK replacement levels can be structurally viable.
The physical and thermal comparison presented in Table 11 further confirms the balanced behavior of the proposed CDK mixture. In many agricultural-waste concrete systems, reductions in density and thermal conductivity are accompanied by decreased workability and substantial increases in water absorption. By comparison, the present CDK concrete maintained stable workability, exhibited only a slight density reduction of 0.79%, and showed a controlled increase in water absorption of 5.2%, while still reducing thermal conductivity by 6.53%. These results suggest that CDK provides a more favorable compromise between fresh-state stability, durability-related transport behavior, and insulation performance than many previously reported agricultural-waste aggregates. Although thermal conductivity reduction is more moderate than the larger reductions observed in some highly porous bio-aggregate systems, it was achieved without the severe penalties in density, workability, or mechanical performance commonly reported elsewhere. From an engineering perspective, this trade-off is particularly important, since practical mixture design requires an acceptable balance among structural, durability, and thermal criteria rather than the optimization of a single property
Taken together, the comparative results indicate that CDK is a viable agricultural-waste aggregate for sustainable concrete production. Its overall behavior aligns with the broader literature, while the present study contributes additional novelty through its admixture-free design, bond-related performance assessment, and robust decision-based optimization. These aspects enhance the practical value of the results and support the potential use of CDK concrete in applications requiring a balanced combination of mechanical integrity, reduced weight, and improved thermal efficiency.
In light of all previous discussions, the present study offers several contributions to the field of sustainable concrete materials and agricultural-waste valorization.
First, it demonstrates the feasibility of incorporating crushed date kernel (CDK) as a partial F.A. replacement in concrete without the use of superplasticizers or chemical modifiers. This enables direct assessment of the intrinsic effect of CDK on fresh, mechanical, physical, and thermal behavior, thereby providing a clearer understanding of its net material contribution under additive-free conditions.
Second, the study extends the evaluation of agricultural-waste concrete beyond the conventional emphasis on compressive, splitting tensile, and flexural strengths by including bond strength as a structural performance indicator. Since bond behavior is rarely examined in bio-aggregate concrete studies, its inclusion helps address an important knowledge gap related to the integrity of the interfacial transition zone and the structural applicability of such mixtures.
Third, the results show that low CDK replacement levels preserve acceptable workability and mechanical stability, indicating that limited substitution can be achieved without requiring additional rheology-enhancing admixtures. This finding is practically relevant because many agricultural residues tend to reduce workability more severely, thereby increasing mixture complexity and cost.
Fourth, the study highlights the potential environmental and economic relevance of CDK as a locally available waste-derived aggregate substitute. By utilizing a low-value agricultural by-product and reducing dependence on virgin natural sand, the proposed approach supports resource efficiency and circular-economy principles. However, the full environmental benefit should be confirmed in future work through detailed life cycle and cost assessments.
Finally, the study introduces a multi-criteria decision-making framework for selecting the most suitable CDK replacement level. The use of TOPSIS, combined with sensitivity analysis under alternative weighting scenarios, provides a systematic and robust methodology for balancing competing engineering requirements. This methodological contribution may be extended to the optimization of other agricultural-waste concretes.

4. Conclusions

This study investigated the feasibility of using crushed date kernel (CDK) as a partial replacement for natural F.A. in concrete and evaluated its fresh, mechanical, physical, and thermal performance through experimental testing and multi-criteria decision analysis. Based on the results obtained, the following conclusions may be drawn:
  • Material characteristics of CDK
    Crushed date kernel is a lightweight, highly absorptive, and predominantly organic material. XRF results indicate that it is essentially non-pozzolanic and therefore contributes mainly through physical rather than chemical mechanisms when incorporated into concrete.
  • Effect on fresh and mechanical properties
    Low replacement levels of CDK, particularly around 5%, preserved acceptable fresh behavior and maintained the overall mechanical performance of concrete. At higher replacement ratios, the reduction in strength became more pronounced, indicating that excessive substitution adversely affects the load-bearing capacity of the composite.
  • Effect on density and thermal performance
    Increasing CDK content reduced concrete density and improved thermal insulation performance. These trends confirm the potential of CDK for developing lighter and more thermally efficient concretes, especially in applications where insulation performance is an important design consideration.
  • Trade-off between structural and functional performance
    The results demonstrate that CDK concrete involves a clear trade-off: low replacement ratios are more favorable for preserving structural performance, whereas higher replacement ratios provide greater benefits in terms of reduced density and thermal conductivity.
  • Optimum replacement level based on multi-criteria analysis
    The TOPSIS ranking, supported by sensitivity analysis, identified 5% CDK replacement as the most balanced level overall under the adopted evaluation framework. This replacement level provided the best compromise among mechanical, physical, and thermal criteria and remained robust under alternative weighting scenarios.
  • Practical implications
    On the basis of the present findings, low CDK replacement levels may be considered for applications requiring a balance between structural adequacy and sustainability benefits, whereas higher replacement levels may be more appropriate for non-structural elements where reduced density and improved thermal insulation are prioritized.
  • Scientific contribution
    The study contributes to the literature by evaluating CDK in an additive-free concrete system, incorporating bond strength into the assessment of agricultural-waste concrete, and applying a TOPSIS-based decision framework with sensitivity verification for mixture optimization.
In summary, crushed date kernel shows promising potential as a sustainable fine aggregate substitute in concrete, particularly at low replacement levels. Future studies should further examine long-term durability, shrinkage, field-scale performance, and life-cycle environmental impacts to support broader engineering implementation.

Author Contributions

Conceptualization, A.B.; Methodology, A.B. and M.A.; Validation, M.I.S.E.; Resources, N.G.; Data curation, M.A.; Writing—review & editing, A.B., M.I.S.E. and N.G.; Visualization, A.B. and N.G.; Supervision, M.I.S.E. and N.G.; Project administration, N.G.; Funding acquisition, N.G. All authors have read and agreed to the published version of the manuscript.

Funding

The research was supported by the Deanship of Scientific Research at Northern Border University, Arar, KSA under the project number “NBU-FFR-2026-2105-05”.

Data Availability Statement

The original contributions presented in this study are included in the article. Further inquiries can be directed at the corresponding authors.

Acknowledgments

The authors extend their appreciation to the Deanship of Scientific Research at Northern Border University, Arar, KSA for funding this research work through the project number “NBU-FFR-2026-2105-05”.

Conflicts of Interest

The authors declare no conflict of interest.

References

  1. Ove Arup & Partners Ltd. Embodied Carbon Concrete; Rep. 07762000-RP-SUS-0003; Ove Arup & Partners Ltd.: London, UK, 2023. [Google Scholar]
  2. Gagg, C.R. Cement and concrete as engineering material. Eng. Fail. Anal. 2014, 40, 114–140. [Google Scholar] [CrossRef]
  3. ACI Committee E-701. Aggregates for Concrete; ACI Education Bulletin E1-16; American Concrete Institute: Farmington Hills, MI, USA, 2016. [Google Scholar]
  4. Portland Cement Association. Design and Control of Concrete Mixtures, 15th ed.; Portland Cement Association: Skokie, IL, USA, 2019. [Google Scholar]
  5. Wong, H.H.C.; Kwan, A.K.H. Packing density of cementitious materials: Measurement and modelling. Mag. Concr. Res. 2008, 60, 165–175. [Google Scholar] [CrossRef]
  6. Li, Y.; Chen, J.J.; Kwan, A.K.H. Roles of water film thickness in fresh and hardened properties of mortar. Adv. Cem. Res. 2013, 25, 171–182. [Google Scholar] [CrossRef]
  7. Pacheco, J.N.; de Brito, J.; Tornaghi, M.L. Use of Recycled Aggregates in Concrete: Opportunities for Upscaling in Europe; JRC Science for Policy Report EUR 31667 EN; Publications Office of the European Union: Luxembourg, 2023. [Google Scholar]
  8. Shafigh, P.; Mahmud, H.B.; Jumaat, M.Z.; Zargar, M. Agricultural wastes as aggregate in concrete mixtures: A review. Constr. Build. Mater. 2014, 53, 110–117. [Google Scholar] [CrossRef]
  9. Marinković, S.; Dragaš, J.; Ignjatović, I.; Tošić, N. Environmental assessment of green concretes for structural use. J. Clean. Prod. 2017, 154, 633–649. [Google Scholar] [CrossRef]
  10. Wang, Y.; Zhu, L.; Xue, Y. A comprehensive review on dual-pathway utilization of coal gangue concrete: Aggregate substitution, cementitious activity activation, and performance optimization. Buildings 2026, 16, 302. [Google Scholar] [CrossRef]
  11. Beskopylny, A.N.; Shcherban’, E.M.; Stel’makh, S.A.; Meskhi, B.; Shilov, A.A.; Varavka, V.; Evtushenko, A.; Özkılıç, Y.O.; Aksoylu, C.; Karalar, M. Composition Component Influence on Concrete Properties with the Additive of Rubber Tree Seed Shells. Appl. Sci. 2022, 12, 11744. [Google Scholar] [CrossRef]
  12. Matthayan, W. A Study on the Properties of Concrete Blocks Mixed with Rubber Seed Shells: A New Approach to Environmentally Friendly Building Materials. Sar. J. Archit. Des. 2025, 8, 2568. [Google Scholar]
  13. Pennarasi, G.; Gunasekaran, K.; Ramasubramani, R. Coconut shell concrete solid blocks and their properties. AIP Conf. Proc. 2024, 3187, 020021. [Google Scholar] [CrossRef]
  14. Okeke, T.E.; Okafor, F.O.; Onyia, M.E. Optimizing concrete block properties through the use of coconut shell and coconut shell ash: A multilayer perceptron approach. J. Meas. Eng. 2025, 13. [Google Scholar] [CrossRef]
  15. Benito, E.K.D.; Aragoncillo, A.M.M.; Morales, K.A.; Revilleza, D.M.L.; Catindig, L.V.; Madlangbayan, M.S. Investigation on the surface hardness and durability-related properties of concrete containing coconut shell aggregates. World J. Eng. 2025, 21, 1154–1163. [Google Scholar] [CrossRef]
  16. Stel’makh, S.A.; Beskopylny, A.N.; Shcherban’, E.M.; Mailyan, L.R.; Meskhi, B.; Shilov, A.A.; El’shaeva, D.; Chernil’nik, A.; Kurilova, S. Alteration of Structure and Characteristics of Concrete with Coconut Shell as a Substitution of a Part of Coarse Aggregate. Materials 2023, 16, 4422. [Google Scholar] [CrossRef]
  17. Beskopylny, A.N.; Stel’makh, S.A.; Shcherban’, E.M.; Mailyan, L.R.; Meskhi, B.; Shilov, A.A.; Chernil’nik, A.; El’shaeva, D. Effect of Walnut-Shell Additive on the Structure and Characteristics of Concrete. Materials 2023, 16, 1752. [Google Scholar] [CrossRef]
  18. Peng, S.; Qiu, K.; Yang, B.; Ai, J.; Zhou, A. Experimental Study on the Durability Performance of Sustainable Mortar with Partial Replacement of Natural Aggregates by Fiber-Reinforced Agricultural Waste Walnut Shells. Sustainability 2024, 16, 824. [Google Scholar] [CrossRef]
  19. El Hamri, A.; Mouhib, Y.; Chkala, H.; Oulhakem, O.; Chigr, M.; El Mansouri, E. Investigating the Potential of Using Walnut Shell Particles for Manufacturing Cement-Bonded Particle Boards. J. Compos. Sci. 2025, 9, 183. [Google Scholar] [CrossRef]
  20. Shebli, A.; Khatib, J.; Elkordi, A. The effect of walnut shell ash on the properties of cement paste and mortar: A study on partial replacement of cement. BAU J. Sci. Technol. 2023, 5, 10. [Google Scholar] [CrossRef]
  21. Boukhelkhal, D.; Guendouz, M.; Triki, Z. Physical and thermal properties of lightweight self-compacting mortar made with recycled walnut shells as fine agreggrates. Alger. J. Environ. Sci. Technol. 2024, 10. [Google Scholar]
  22. Wolfinger, T.; Spreitzer, D.; Schenk, J. Using Iron Ore Ultra-Fines for Hydrogen-Based Fluidized Bed Direct Reduction—A Mathematical Evaluation. Materials 2022, 15, 3943. [Google Scholar] [CrossRef]
  23. Martin-Morales, M.; Cuenca-Moyano, G.M.; Martinez-Echevarria, M.J.; Zamorano, M.; Lopez-Alonso, M. Valorization of Olive Stone in Cement Mortars for Harmonized Applications. Materials 2025, 18, 5200. [Google Scholar] [CrossRef] [PubMed]
  24. Małek, M.; Smarzewski, P.; Jackowski, M.; Łasica, W.; Kluczyński, J. Comparative Study of Agricultural Wastes Utilization in Cementitious Composites. J. Archit. Eng. Technol. 2025, 22, 2453488. [Google Scholar] [CrossRef]
  25. Sporchia, F.; Patrizi, N.; Pulselli, F.M. Date Fruit Production and Consumption: A Perspective on Global Trends and Drivers from a Multidimensional Footprint Assessment. Sustainability 2023, 15, 4358. [Google Scholar] [CrossRef]
  26. Ministry of Environment, Water and Agriculture (MEWA). MEWA: The Kingdom’s Date Production Nears Two Million Tonnes in 2023; ‘Khulas’ and ‘Sukkary’ varieties exceed one million tonnes; MEWA: Ibadan, Nigeria, 2023.
  27. Mrabet, A.; Jiménez-Araujo, A.; Rodríguez-Arcos, R.; Guillén-Bejarano, M. Date Seeds: A Promising Source of Oil with Functional Properties. Foods 2020, 9, 787. [Google Scholar] [CrossRef] [PubMed]
  28. Muñoz-Tebar, N.; Viuda-Martos, M.; Lorenzo, J.M.; Fernandez-Lopez, J.; Perez-Alvarez, J.A. Strategies for the Valorization of Date Fruit and Its Co-Products. Foods 2023, 12, 1456. [Google Scholar] [CrossRef] [PubMed]
  29. Lateef, H.A.; Alabdulhady, M.Y.; Naser, K. A Comprehensive Evaluation of Concrete Behavior Made with Date Seed as a Partial Replacement of Fine Aggregate. Math. Model. Eng. Probl. 2025, 12, 2097–2109. [Google Scholar] [CrossRef]
  30. Shaikh, S.J.; Bankar, S.; Deshmukh, S.; Gughe, R. Partial replacement of crushed date seeds with fine aggregate in concrete. Int. J. Innov. Res. Sci. Eng. Technol. 2023, 12, 4402–4406. [Google Scholar] [CrossRef]
  31. Hamraoui, S.; Boukhelkhal, D.; Guendouz, M.; Abdennebi, B.; Fortas, A. Development of a Novel Plant-Based Flowable Sand Concrete Containing Pretreated Date Seed as Renewable Aggregates. Stud. Eng. Exact Sci. 2025, 6. [Google Scholar] [CrossRef]
  32. Faiad, A.; Alsmari, M.; Ahmed, M.M.Z.; Bouazizi, M.L.; Alzahrani, B.; Alrobei, H. Date Palm Tree Waste Recycling: Treatment and Processing for Potential Engineering Applications. Sustainability 2022, 14, 1134. [Google Scholar] [CrossRef]
  33. Na Talang, R.P.; Na Sorn, W.; Polruang, S.; Sirivithayapakorn, S. Alternative crop residue management practices to mitigate the environmental and economic impacts of open burning of agricultural residues. Sci. Rep. 2024, 14, 14372. [Google Scholar] [CrossRef]
  34. Shi, L.; Zhang, J.; Chen, X. Valorization of Date Fruit (Phoenix dactylifera L.) and Its Seeds: A Review of Composition and Applications. Appl. Sci. 2023, 13, 12315. [Google Scholar] [CrossRef]
  35. Alkhoori, M.A.; Al-Saidi, R.M.; Al-Subhi, A.M. Biochemical Composition and Biological Activities of Date Palm (Phoenix dactylifera L.) Seeds: A Review. Front. Nutr. 2022, 12, 1626. [Google Scholar] [CrossRef]
  36. George, N.; Chinnasamy, A.; Sathyaprabha, M.R. Lignin is the main determinant of total dietary fiber recalcitrance in dates. NFS J. 2020, 20, 1. [Google Scholar]
  37. Marzouk, W.; Bettaieb, F.; Khiari, R.; Majdoub, H. Composite materials based on low-density polyethylene loaded with date pits: Mechanical and thermal characterizations. J. Thermoplast. Compos. Mater. 2017, 30, 1200–1216. [Google Scholar] [CrossRef]
  38. Yaiche Achour, H.; Sidi Mamar, A.; Saadi, S.A.; Bouras, N.; Khali, M. Chemical characterization of date seeds (Phoenix dactylifera L.) cultivated in Algeria for its application as functional ingredients. Acta Univ. Cibiniensis Ser. E Food Technol. 2022, 26, 147–156. [Google Scholar] [CrossRef]
  39. Saeed, M.K.; Rahman, M.K.; Alfawzan, M.; Basha, S.; Dahish, H.A. Evaluation of date kernel powder (DKP) for potential use as setting and hydration retarder in concrete. J. Build. Eng. 2022, 57, 104855. [Google Scholar] [CrossRef]
  40. Almograbi, M. Durability study of lightweight concrete material made from date palm seeds (DPS). In High Performance Structures and Materials V (HPSM 2010); WIT Transactions on the Built Environment; WIT Press: Southampton, UK, 2010; Volume 112, pp. 69–74. [Google Scholar] [CrossRef]
  41. Prusty, J.K.; Patro, S.K.; Basarkar, S.S. Concrete using agro-waste as fine aggregate for sustainable built environment—A review. Int. J. Sustain. Built Environ. 2016, 5, 312–333. [Google Scholar] [CrossRef]
  42. Alluqmani, A.E.; Alshana, A.; Ali, A.A.; Aloufi, M.; Abdllrab, O.; Farooq, Q.U.; Alqurashi, A.; Naqash, M.T. Effect of replacing coarse aggregate (CA) with Date-Palm Seeds (DS) on concrete compressive strength. J. Umm Al Qura Univ. Eng. Archit. 2025, 16, 1130–1144. [Google Scholar] [CrossRef]
  43. Saeed, M.K.; Rahman, M.K.; Alfawzan, M.; Basha, S.; Dahish, H.A. Investigating the Potential Use of Date Kernel Ash (DKA) as a Partial Cement Replacement in Concrete. Materials 2022, 15, 8866. [Google Scholar] [CrossRef]
  44. Alsalami, Z.H.A.; Harith, I.K.; Dhahir, M.K. Utilization of dates palm kernel in high performance concrete. J. Build. Eng. 2018, 20, 166–172. [Google Scholar] [CrossRef]
  45. Althoey, F.; Hakeem, I.Y.; Hosen, A.; Qaidi, S.; Isleem, H.F.; Hadidi, H.; Shahapurkar, K.; Ahmad, J.; Ali, E. Behavior of Concrete Reinforced with Date Palm Fibers. Materials 2022, 15, 7923. [Google Scholar] [CrossRef]
  46. Adamu, M.; Ibrahim, Y.E.; Daiem, M.M.A.; Alanazi, H.; Elalaoui, O.; Ali, N.M. Optimization and Modelling the Mechanical Performance of Date Palm Fiber-Reinforced Concrete Incorporating Powdered Activation Carbon Using Response Surface Methodology. Materials 2023, 16, 2977. [Google Scholar] [CrossRef]
  47. Ahmed, M.; Mallick, J.; AlQadhi, S.; Ben Kahla, N. Development of Concrete Mixture Design Process Using MCDM Approach for Sustainable Concrete Quality Management. Sustainability 2020, 12, 8110. [Google Scholar] [CrossRef]
  48. Şimşek, B.; İç, Y.T.; Şimşek, E.H. A TOPSIS-based Taguchi optimization to determine optimal mixture proportions of the high strength self-compacting concrete. Chemom. Intell. Lab. Syst. 2013, 125, 18–32. [Google Scholar] [CrossRef]
  49. Alahmad, F.A.; El Maaddawy, T.; Abu-Jdayil, B. Performance evaluation of date-pit-reinforced unsaturated-polyester–dune-sand mortars. Constr. Build. Mater. 2025, 462, 139965. [Google Scholar] [CrossRef]
  50. ASTM C136/C136M-19; Standard Test Method for Sieve Analysis of Fine and Coarse Aggregates. ASTM International: West Conshohocken, PA, USA, 2019.
  51. ASTM C128-22; Standard Test Method for Relative Density (Specific Gravity) and Absorption of Fine Aggregate. ASTM International: West Conshohocken, PA, USA, 2022.
  52. Bentz, D.P.; Lura, P.; Roberts, J.W. Mixture Proportioning for Internal Curing. Constr. Int. 2005, 27, 35–40. [Google Scholar]
  53. ACI PRC-211.1-22; Selecting Proportions for Normal-Density Concrete. American Concrete Institute: Farmington Hills, MI, USA, 2022.
  54. Ahmed, M.; Mallick, J.; Hasan, M.A. A study of factors affecting the flexural tensile strength of concrete. J. King Saud Univ. Eng. Sci. 2016, 28, 147–156. [Google Scholar] [CrossRef]
  55. ASTM C39/C39M-23; Standard Test Method for Compressive Strength of Cylindrical Concrete Specimens. ASTM International: West Conshohocken, PA, USA, 2023.
  56. ASTM C496/C496M-17; Standard Test Method for Splitting Tensile Strength of Cylindrical Concrete Specimens. ASTM International: West Conshohocken, PA, USA, 2017.
  57. ASTM C78/C78M-22; Standard Test Method for Flexural Strength of Concrete (Using Simple Beam with Third-Point Loading). ASTM International: West Conshohocken, PA, USA, 2022.
  58. Irshidat, M.R. Bond strength evaluation between steel rebars and carbon nanotubes modified concrete. Case Stud. Constr. Mater. 2021, 14, e00477. [Google Scholar] [CrossRef]
  59. ASTM C143/C143M-20; Standard Test Method for Slump of Hydraulic-Cement Concrete. ASTM International: West Conshohocken, PA, USA, 2020.
  60. ASTM C597-16; Standard Test Method for Pulse Velocity Through Concrete. ASTM International: West Conshohocken, PA, USA, 2016.
  61. ASTM D5334-22; Standard Test Method for Determination of Thermal Conductivity of Soil and Soft Rock by Thermal Needle Probe Procedure. ASTM International: West Conshohocken, PA, USA, 2022.
  62. ASTM C642-21; Standard Test Method for Density, Absorption, and Voids in Hardened Concrete. ASTM International: West Conshohocken, PA, USA, 2021.
Figure 1. Gradation curves and key physical properties of coarse (a) and fine (b) aggregates.
Figure 1. Gradation curves and key physical properties of coarse (a) and fine (b) aggregates.
Buildings 16 01326 g001
Figure 2. Physical characterization of crushed date kernel (CDK) as fine aggregate.
Figure 2. Physical characterization of crushed date kernel (CDK) as fine aggregate.
Buildings 16 01326 g002
Figure 3. Chemical composition of concrete constituents determined by XRF.
Figure 3. Chemical composition of concrete constituents determined by XRF.
Buildings 16 01326 g003
Figure 4. Specimen dimensions (a) for flexural strength test and (b) for bond strength test (pull-out); (c) photographs of test samples.
Figure 4. Specimen dimensions (a) for flexural strength test and (b) for bond strength test (pull-out); (c) photographs of test samples.
Buildings 16 01326 g004
Figure 5. Experimental setup for (a) compressive strength, (b) split tensile strength, (c) flexural strength, and (d) pull-out tests.
Figure 5. Experimental setup for (a) compressive strength, (b) split tensile strength, (c) flexural strength, and (d) pull-out tests.
Buildings 16 01326 g005
Figure 6. Slump test for different CDK replacement ratios.
Figure 6. Slump test for different CDK replacement ratios.
Buildings 16 01326 g006
Figure 7. Bulk density test for different CDK replacement ratios.
Figure 7. Bulk density test for different CDK replacement ratios.
Buildings 16 01326 g007
Figure 8. Compressive strength development of concrete mixes with varying replacement ratio of CDK after 7 and 28 days.
Figure 8. Compressive strength development of concrete mixes with varying replacement ratio of CDK after 7 and 28 days.
Buildings 16 01326 g008
Figure 9. Splitting tensile strength developed in concrete mixes with varying CDK replacement ratio at 7 and 28 days.
Figure 9. Splitting tensile strength developed in concrete mixes with varying CDK replacement ratio at 7 and 28 days.
Buildings 16 01326 g009
Figure 10. Post-failure appearance of concrete cylinders after the split tensile test (a) at 5% and (b) at 15% of replacement ratio.
Figure 10. Post-failure appearance of concrete cylinders after the split tensile test (a) at 5% and (b) at 15% of replacement ratio.
Buildings 16 01326 g010
Figure 11. Flexural strength developed in concrete mixes with varying CDK replacement ratios at 7 and 28 days.
Figure 11. Flexural strength developed in concrete mixes with varying CDK replacement ratios at 7 and 28 days.
Buildings 16 01326 g011
Figure 12. Flexural test of some specimens after loading: crack pattern and failure mode documentation; (a) control mix (b) at 5%, (c) at 10%, and (d) at 15% of replacement ratio.
Figure 12. Flexural test of some specimens after loading: crack pattern and failure mode documentation; (a) control mix (b) at 5%, (c) at 10%, and (d) at 15% of replacement ratio.
Buildings 16 01326 g012aBuildings 16 01326 g012b
Figure 13. (a) Bonding strength; (b) correlation between bond strength and compressive strength using power fit law with CDK replacement ratios.
Figure 13. (a) Bonding strength; (b) correlation between bond strength and compressive strength using power fit law with CDK replacement ratios.
Buildings 16 01326 g013
Figure 14. Failure modes; (a) pull-out failure for 5% CDK mix showing no cracks; (b) splitting failure for 15% CDK.
Figure 14. Failure modes; (a) pull-out failure for 5% CDK mix showing no cracks; (b) splitting failure for 15% CDK.
Buildings 16 01326 g014
Figure 15. (a) Ultrasonic pulse velocity (UPV) measured in concrete mixes with varying CDK replacement ratios after 7 and 28 days. (b) Correlation between the compressive strength and the UPV test results at 28-day age.
Figure 15. (a) Ultrasonic pulse velocity (UPV) measured in concrete mixes with varying CDK replacement ratios after 7 and 28 days. (b) Correlation between the compressive strength and the UPV test results at 28-day age.
Buildings 16 01326 g015
Figure 16. Absorption test for different CDK replacement ratios in the concrete mixes after 2 days, 7 days, and 28 days.
Figure 16. Absorption test for different CDK replacement ratios in the concrete mixes after 2 days, 7 days, and 28 days.
Buildings 16 01326 g016
Figure 17. Thermal conductivity in concrete mixes with varying CDK replacement ratio after 7 and 28 days.
Figure 17. Thermal conductivity in concrete mixes with varying CDK replacement ratio after 7 and 28 days.
Buildings 16 01326 g017
Figure 18. Results of the sensitivity analysis across the seven weighting scenarios (S1–S7): (a) variation in the absolute closeness coefficients (C*) and (b) overall rank stability of the CDK-modified concrete mixtures.
Figure 18. Results of the sensitivity analysis across the seven weighting scenarios (S1–S7): (a) variation in the absolute closeness coefficients (C*) and (b) overall rank stability of the CDK-modified concrete mixtures.
Buildings 16 01326 g018
Table 1. Concrete mix design proportions per cubic meter, showing the replacement of F.A. with CDK at levels from 0% (Control) to 30%.
Table 1. Concrete mix design proportions per cubic meter, showing the replacement of F.A. with CDK at levels from 0% (Control) to 30%.
Material/Mix No.Cement (kg/m3)C.A (19–9.5 mm) (kg/m3)F.A (kg/m3)CDK (kg/m3)Water (L)
SandCrushed Granite
M0 (Control)35010924992540203
M1 (5% CDK)350109247424118203
M2 (10% CDK)350109244922936203
M3 (15% CDK)350109242421654203
M4 (20% CDK)350109239920372203
M5 (25% CDK)350109237419191203
M6 (30% CDK)3501092349178109203
Table 2. Experimental program and testing matrix for the concrete mixtures.
Table 2. Experimental program and testing matrix for the concrete mixtures.
PropertySpecimens Per MixSpecimens AgeTotal Samples
Compressive Strength67 and 28 Days42
Splitting Tensile Strength67 and 28 Days42
Flexural Strength67 and 28 Days42
Bond Strength328 Days21
Absorption948, 7, and 28 Days63
Thermal Conductivity67 and 28 Days42
Table 3. Summary of experimental test methods.
Table 3. Summary of experimental test methods.
Property/TestStandardSpecimen/SetupMain Equation
Workability (slump)ASTM C143/C143M [59]Standard slump coneMeasured slump
Compressive strengthASTM C39 [55]Cylindrical specimen under axial compression f c = P A
Split tensile strengthASTM C496 [56]Cylindrical specimen under diametral loading T = 2 P π l d
Flexural strengthASTM C78 [57]Beam specimen under third-point loading R = P L b d 2
Bond strengthRef. [58]Pull-out specimen with embedded ribbed steel rebar and surface prepared by wire brushing to remove rust followed by acetone cleaning to degrease τ = P π d l
UPVASTM C597 [60]Cylindrical specimen, direct transmission V = L t
Thermal
conductivity
ASTM D5334 [61]Oven-dried specimen using TEMPOS Thermal Properties Analyzer (METER Group, Pullman, WA, USA), Sensor TR-3 (Single needle 2.4 mm diameter × 100 mm length)Measured conductivity
Bulk densityASTM C642 [62]SSD specimen with known volume ρ = M S S D V
Water absorptionASTM C642 [62]Oven-dry and SSD masses A b s o r p t i o n ( % ) = 100 × M S S D M d r y M d r y
Table 4. Rationale for scenarios used in the sensitivity analysis.
Table 4. Rationale for scenarios used in the sensitivity analysis.
ScenarioRationale
S1 (Base)Base subjective weighted scenario built based on expert judgment, balanced AHP weights equating mechanical and sustainability
S2 (Mech. Priority 70/30)Proportionally scaled to 70/30; tests whether CDK (0%) overtakes CDK (5%) when mechanics strongly dominate.
S3 (Mech. Priority 60/40)Proportionally scaled to 60/40; tests whether CDK (0%) overtakes CDK (5%) when mechanics lightly dominate.
S4 (Sustain. Priority 40/60)Proportionally scaled to 40/60; tests whether higher CDK% (15–20%) can climb in rank when sustainability lightly dominates.
S5 (Sustain. Priority 30/70)Proportionally scaled to 30/70; tests whether higher CDK% (15–20%) can climb in rank when sustainability strongly dominates.
S6 (Equal weights)Removes all subjective bias; acts as a neutral benchmark to isolate the effect of weighting itself.
S7 (Objective Entropy-based weights)Objective weighting technique, eliminates subjective bias from expert judgment, data-driven and mathematically rigorous
Table 5. Weights for scenarios used in the sensitivity analysis.
Table 5. Weights for scenarios used in the sensitivity analysis.
CriterionTypeS1S2S3S4S5S6S7
CSBenefit0.2000.2800.2400.1600.1200.1250.0550
TSBenefit0.1000.1400.1200.0800.0600.1250.0989
FSBenefit0.1000.1400.1200.0800.0600.1250.3327
BSBenefit0.0800.1120.0960.0640.0480.1250.2499
UPVBenefit0.0200.0280.0240.0160.0120.1250.0695
Σ Benefit 0.5000.7000.6000.4000.3000.6250.8060
ABSCost0.2500.1500.2000.3000.3500.1250.0913
DENCost0.1000.0600.0800.1200.1400.1250.0010
TCCost0.1500.0900.1200.1800.2100.1250.1016
Σ Cost 0.5000.3000.4000.3000.7000.3750.1939
Total 1.0001.0001.0001.0001.0001.0000.9999
Table 6. Effect of CDK replacement ratio on failure modes of concrete specimens.
Table 6. Effect of CDK replacement ratio on failure modes of concrete specimens.
Material/Mix No.Mode of Failure
M0 (Control)Pull out
M1 (5% CDK)Pull out
M2 (10% CDK)Pull out
M3 (15% CDK)Splitting
M4 (20% CDK)Splitting
M5 (25% CDK)Splitting
M6 (30% CDK)Splitting
Table 7. TOPSIS results: closeness coefficient C * and alternative ranking across different scenarios.
Table 7. TOPSIS results: closeness coefficient C * and alternative ranking across different scenarios.
AlternativeS1S2S3S4S5S6S7
CDK (0%)0.6781 (3)0.7860 (3)0.7280 (3)0.6405 (3)0.6158 (3)0.7031 (3)0.8163 (3)
CDK (5%)0.7161 (1)0.8296 (1)0.7702 (1)0.6720 (1)0.6407 (1)0.7548 (1)0.8815 (1)
CDK (10%)0.7036 (2)0.8069 (2)0.7543 (2)0.6609 (2)0.6302 (2)0.7449 (2)0.8413 (2)
CDK (15%)0.6246 (4)0.6809 (4)0.6546 (4)0.5968 (4)0.5759 (4)0.6645 (4)0.6997 (4)
CDK (20%)0.4629 (5)0.4659 (5)0.4645 (5)0.4614 (5)0.4602 (5)0.4631 (5)0.3943 (5)
CDK (25%)0.3465 (6)0.3085 (6)0.3267 (6)0.3634 (6)0.3754 (7)0.3327 (6)0.2346 (6)
CDK (30%)0.3118 (7)0.1952 (7)0.2578 (7)0.3532 (7)0.3809 (6)0.2798 (7)0.1397 (7)
Table 8. Robustness evaluation of TOPSIS rankings using Spearman correlation coefficients.
Table 8. Robustness evaluation of TOPSIS rankings using Spearman correlation coefficients.
ScenarioS1S2S3S4S5S6S7
S1 Base1.0001.0001.0001.0000.9641.0001.000
S2 Mechanical (70/30)1.0001.0001.0001.0000.9641.0001.000
S3 Mechanical (60/40)1.0001.0001.0001.0000.9641.0001.000
S4 Sustainability (40/60)1.0001.0001.0001.0000.9641.0001.000
S5 Sustainability (30/70)0.9640.9640.9640.9641.0000.9640.964
S6 Equal Weights1.0001.0001.0001.0000.9641.0001.000
S7 Entropy Weights1.0001.0001.0001.0000.9641.0001.000
Table 9. Comparison of experimental parameters, replacement methods, and optimum ratios between the present study and previous research.
Table 9. Comparison of experimental parameters, replacement methods, and optimum ratios between the present study and previous research.
StudyWaste TypeAgg. Type ReplacedReplacement RatioOptimumAdmixture
Present StudyCDK (crushed)F.A. date kernel) (0.6–4.75 mm)0%, 5%, 10%, 15%, 20%, 25%, 30%.
By volume
At 5%No admixtures used
[29]Date SeedsF.A.
(powder)
0%, 1.25%, 2.5%, 3.75%, 5%. By volumeAt 1.25%Superplasticizer (Conplast SP430)
[42]Date SeedsC.A.0%, 25%, 60%, 100%
By volume
At 25%No admixtures used
[24]Walnut Shells (WSs)
Corncob (CC)
Cellulose Fibers (CFs)
F.A.0%, 5%, 10%, 15%.
By weight
For WS at 15%
For CC at 10%
For CF at 15%
Polycarboxylate ethers superplasticizer
[18]Walnut ShellF.A.0%, 5%, 10%, 15%, 20%.
By volume
At 5%Polycarboxylate superplasticizer (0.8%) + PP Fibers (0.9 kg/m3)
[23]Olive StoneF.A.
Mix: (1–4 mm)
Fine: (0–2 mm)
Premium: (2–4 mm)
Piropel: (0.5–4 mm)
0%, 10%, 20%.
By volume
At 10% for PremiumNo admixtures used
Table 10. Comparison of mechanical strength variations between the present study and previous research at optimum replacement levels.
Table 10. Comparison of mechanical strength variations between the present study and previous research at optimum replacement levels.
StudyCompressive StrengthSplit Tensile StrengthFlexural StrengthUPV
Current Study*↑ 0.2%↑ 1.3%↑ 8.5%*↓ 0.3%
[29]↓ 5%↓ 5%↓ 5%↓ 1.1%
[42]↓ 47.5%* NR NRNR
[24]↑ 40%
↓ 22%
↑ 20%
↑ 33%
↑ 3%
↑ 140%
↑ 33%
↑ 23%
↑ 42%
NR
[18]↓ 3.5%NR↓ 4.5%NR
[23]↓ 7.7%NR↓ 9.9%NR
* Notes: The arrows indicate the relative change compared to the control mix; represents a percentage increase, and represents a percentage decrease. NR: Not Reported.
Table 11. Physical property comparison and workability.
Table 11. Physical property comparison and workability.
StudyWorkabilityDensityWater/Capillary AbsorptionThermal Cond./Resistance
Current StudyStable*↓ 0.79%*↑ 5.2%↓ 6.53%
[29]↓ 8%↓ 1.2%↑ 11%↓ 10.6%
[42]↓ 2.4%↓ 10.6%↑ 8.8%* NR
[24]↓ 2%
↓ 6%
↓ 62%
↓ 6%
↓ 2%
↑ 5.7%
NR
NR
NR
↓ 22%
↓ 14%
↓ 18%
[18]↓ 10.5%↓ 2.9%↑ 16.1%NR
[23]↑ 3.5%↓ 5.6%↓ 44.3%NR
* Notes: The arrows indicate the relative change compared to the control mix; represents a percentage increase, and represents a percentage decrease. NR: Not Reported.
Disclaimer/Publisher’s Note: The statements, opinions and data contained in all publications are solely those of the individual author(s) and contributor(s) and not of MDPI and/or the editor(s). MDPI and/or the editor(s) disclaim responsibility for any injury to people or property resulting from any ideas, methods, instructions or products referred to in the content.

Share and Cite

MDPI and ACS Style

Bawadekji, A.; Elmasry, M.I.S.; Akbar, M.; Ghazouani, N. Performance Evaluation of Concrete Incorporating Crushed Date Kernel Using TOPSIS Method. Buildings 2026, 16, 1326. https://doi.org/10.3390/buildings16071326

AMA Style

Bawadekji A, Elmasry MIS, Akbar M, Ghazouani N. Performance Evaluation of Concrete Incorporating Crushed Date Kernel Using TOPSIS Method. Buildings. 2026; 16(7):1326. https://doi.org/10.3390/buildings16071326

Chicago/Turabian Style

Bawadekji, Adnan, Mohamed I. S. Elmasry, Muhammad Akbar, and Nejib Ghazouani. 2026. "Performance Evaluation of Concrete Incorporating Crushed Date Kernel Using TOPSIS Method" Buildings 16, no. 7: 1326. https://doi.org/10.3390/buildings16071326

APA Style

Bawadekji, A., Elmasry, M. I. S., Akbar, M., & Ghazouani, N. (2026). Performance Evaluation of Concrete Incorporating Crushed Date Kernel Using TOPSIS Method. Buildings, 16(7), 1326. https://doi.org/10.3390/buildings16071326

Note that from the first issue of 2016, this journal uses article numbers instead of page numbers. See further details here.

Article Metrics

Back to TopTop