Sign in to use this feature.

Years

Between: -

Subjects

remove_circle_outline
remove_circle_outline
remove_circle_outline
remove_circle_outline
remove_circle_outline
remove_circle_outline
remove_circle_outline

Journals

Article Types

Countries / Regions

Search Results (9)

Search Parameters:
Keywords = incoherent ground motion

Order results
Result details
Results per page
Select all
Export citation of selected articles as:
27 pages, 10184 KB  
Article
The Impact of Bedrock Material Conditions on the Seismic Behavior of an Earth Dam Using Experimentally Derived Spatiotemporal Parameters for Spatially Varying Ground Motion
by Paweł Boroń and Joanna Maria Dulińska
Materials 2025, 18(13), 3005; https://doi.org/10.3390/ma18133005 - 25 Jun 2025
Viewed by 717
Abstract
This study investigates the influence of bedrock material conditions on the seismic behavior of the Niedzica earth dam in southern Poland. It examines the dam’s dynamic response to a real seismic event—the 2004 Podhale earthquake—and evaluates how different foundation conditions affect structural performance [...] Read more.
This study investigates the influence of bedrock material conditions on the seismic behavior of the Niedzica earth dam in southern Poland. It examines the dam’s dynamic response to a real seismic event—the 2004 Podhale earthquake—and evaluates how different foundation conditions affect structural performance under spatially varying ground motions. A spatially varying ground motion excitation model was developed, incorporating both wave coherence loss and wave passage effects. Seismic data was collected from three monitoring stations: two located in fractured bedrock beneath the dam and one installed in the surrounding intact Carpathian flysch. From these recordings, two key spatiotemporal parameters were experimentally determined: the seismic wave velocity and the spatial scale parameter (α), which reflects the degree of signal incoherence. For the fractured bedrock beneath the dam, the wave velocity was 2800 m/s and α = 0.43; for the undisturbed flysch, it was 3540 m/s and α = 0.82. A detailed 3D finite element model of the dam was developed in ABAQUS and subjected to time history analyses under three excitation scenarios: (1) uniform input, (2) non-uniform input with coherence loss, and (3) non-uniform input including both coherence loss and wave passage effects. The results show that the dam’s seismic response is highly sensitive to the choice of spatiotemporal parameters. Using generalized values from the flysch reduced predicted shear stresses by up to 16% compared to uniform excitation. However, when the precise parameters for the fractured bedrock were applied, the reductions increased to as much as 24%. This change in response is attributed to the higher incoherence of seismic waves in fractured material, which causes greater desynchronization of ground motion across the dam’s foundation. Even small-scale geological differences—when properly reflected in the spatiotemporal model—can significantly influence seismic safety evaluations of large-scale structures. Ultimately, shifting from regional to site-specific parameters enables a more realistic assessment of dynamic stress distribution. Full article
Show Figures

Figure 1

23 pages, 6234 KB  
Article
Characterizing Breast Tumor Heterogeneity Through IVIM-DWI Parameters and Signal Decay Analysis
by Si-Wa Chan, Chun-An Lin, Yen-Chieh Ouyang, Guan-Yuan Chen, Chein-I Chang, Chin-Yao Lin, Chih-Chiang Hung, Chih-Yean Lum, Kuo-Chung Wang and Ming-Cheng Liu
Diagnostics 2025, 15(12), 1499; https://doi.org/10.3390/diagnostics15121499 - 12 Jun 2025
Cited by 1 | Viewed by 2832
Abstract
Background/Objectives: This research presents a novel analytical method for breast tumor characterization and tissue classification by leveraging intravoxel incoherent motion diffusion-weighted imaging (IVIM-DWI) combined with hyperspectral imaging techniques and deep learning. Traditionally, dynamic contrast-enhanced MRI (DCE-MRI) is employed for breast tumor diagnosis, but [...] Read more.
Background/Objectives: This research presents a novel analytical method for breast tumor characterization and tissue classification by leveraging intravoxel incoherent motion diffusion-weighted imaging (IVIM-DWI) combined with hyperspectral imaging techniques and deep learning. Traditionally, dynamic contrast-enhanced MRI (DCE-MRI) is employed for breast tumor diagnosis, but it involves gadolinium-based contrast agents, which carry potential health risks. IVIM imaging extends conventional diffusion-weighted imaging (DWI) by explicitly separating the signal decay into components representing true molecular diffusion (D) and microcirculation of capillary blood (pseudo-diffusion or D*). This separation allows for a more comprehensive, non-invasive assessment of tissue characteristics without the need for contrast agents, thereby offering a safer alternative for breast cancer diagnosis. The primary purpose of this study was to evaluate different methods for breast tumor characterization using IVIM-DWI data treated as hyperspectral image stacks. Dice similarity coefficients and Jaccard indices were specifically used to evaluate the spatial segmentation accuracy of tumor boundaries, confirmed by experienced physicians on dynamic contrast-enhanced MRI (DCE-MRI), emphasizing detailed tumor characterization rather than binary diagnosis of cancer. Methods: The data source for this study consisted of breast MRI scans obtained from 22 patients diagnosed with mass-type breast cancer, resulting in 22 distinct mass tumor cases analyzed. MR images were acquired using a 3T MRI system (Discovery MR750 3.0 Tesla, GE Healthcare, Chicago, IL, USA) with axial IVIM sequences and a bipolar pulsed gradient spin echo sequence. Multiple b-values ranging from 0 to 2500 s/mm2 were utilized, specifically thirteen original b-values (0, 15, 30, 45, 60, 100, 200, 400, 600, 1000, 1500, 2000, and 2500 s/mm2), with the last four b-value images replicated once for a total of 17 bands used in the analysis. The methodology involved several steps: acquisition of multi-b-value IVIM-DWI images, image pre-processing, including correction for motion and intensity inhomogeneity, treating the multi-b-value data as hyperspectral image stacks, applying hyperspectral techniques like band expansion, and evaluating three tumor detection methods: kernel-based constrained energy minimization (KCEM), iterative KCEM (I-KCEM), and deep neural networks (DNNs). The comparisons were assessed by evaluating the similarity of the detection results from each method to ground truth tumor areas, which were manually drawn on DCE-MRI images and confirmed by experienced physicians. Similarity was quantitatively measured using the Dice similarity coefficient and the Jaccard index. Additionally, the performance of the detectors was evaluated using 3D-ROC analysis and its derived criteria (AUCOD, AUCTD, AUCBS, AUCTDBS, AUCODP, AUCSNPR). Results: The findings objectively demonstrated that the DNN method achieved superior performance in breast tumor detection compared to KCEM and I-KCEM. Specifically, the DNN yielded a Dice similarity coefficient of 86.56% and a Jaccard index of 76.30%, whereas KCEM achieved 78.49% (Dice) and 64.60% (Jaccard), and I-KCEM achieved 78.55% (Dice) and 61.37% (Jaccard). Evaluation using 3D-ROC analysis also indicated that the DNN was the best detector based on metrics like target detection rate and overall effectiveness. The DNN model further exhibited the capability to identify tumor heterogeneity, differentiating high- and low-cellularity regions. Quantitative parameters, including apparent diffusion coefficient (ADC), pure diffusion coefficient (D), pseudo-diffusion coefficient (D*), and perfusion fraction (PF), were calculated and analyzed, providing insights into the diffusion characteristics of different breast tissues. Analysis of signal intensity decay curves generated from these parameters further illustrated distinct diffusion patterns and confirmed that high cellularity tumor regions showed greater water molecule confinement compared to low cellularity regions. Conclusions: This study highlights the potential of combining IVIM-DWI, hyperspectral imaging techniques, and deep learning as a robust, safe, and effective non-invasive diagnostic tool for breast cancer, offering a valuable alternative to contrast-enhanced methods by providing detailed information about tissue microstructure and heterogeneity without the need for contrast agents. Full article
(This article belongs to the Special Issue Recent Advances in Breast Cancer Imaging)
Show Figures

Figure 1

12 pages, 3588 KB  
Article
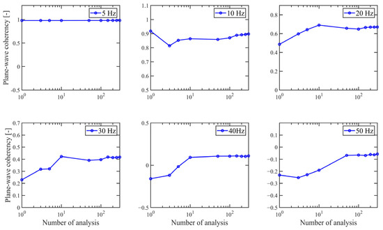
Sensitivity Analysis of Numerical Coherency Model for Rock Sites
by Dongyeon Lee, Yonghee Lee, Hak-Sung Kim, Jeong-Seon Park and Duhee Park
Appl. Sci. 2025, 15(6), 2925; https://doi.org/10.3390/app15062925 - 7 Mar 2025
Cited by 1 | Viewed by 1220
Abstract
Characterization of ground motion incoherency can significantly reduce the seismic load imposed on large scale infrastructures. Because of difficulties in developing an empirical coherency function from a site-specific dense array, it is seldom used in practice. A number of studies used numerical simulations [...] Read more.
Characterization of ground motion incoherency can significantly reduce the seismic load imposed on large scale infrastructures. Because of difficulties in developing an empirical coherency function from a site-specific dense array, it is seldom used in practice. A number of studies used numerical simulations to develop generic coherency models. However, they have only been developed for idealized profiles. A comprehensive parametric study evaluating the effect of various parameters influencing the calculated coherency function has not yet been performed. We utilized the measured shear wave velocity (Vs) profile at Pinyon Flat, located in California, to perform a suite of time history analyses. This site was selected because the empirical coherency function developed here has been used as a reference model for rock sites. We performed several sensitivity studies investigating the effect of both the site spatial variability and numerical analysis parameters in order to provide a guideline for developing a coherency model from numerical simulations. The outputs were compared against the empirical coherency model to better illustrate the importance of the parameters. The coefficient of variation (CV) of Vs was revealed to be the primary parameter influencing the calculated plane-wave coherency, whereas the correlation length (CL) has a secondary influence. Site-specific convergence analyses should be performed to determine the optimum numerical parameter, including the number of analyses and depth of numerical model. Considering the importance of CV and Vs, it is recommended to perform field tests to determine site-specific values to derive numerical coherency functions. Full article
(This article belongs to the Section Civil Engineering)
Show Figures

Figure 1

14 pages, 8257 KB  
Article
Evaluation of Whole Brain Intravoxel Incoherent Motion (IVIM) Imaging
by Kamil Lipiński and Piotr Bogorodzki
Diagnostics 2024, 14(6), 653; https://doi.org/10.3390/diagnostics14060653 - 20 Mar 2024
Cited by 4 | Viewed by 3177
Abstract
Intravoxel Incoherent Motion (IVIM) imaging provides non-invasive perfusion measurements, eliminating the need for contrast agents. This work explores the feasibility of IVIM imaging in whole brain perfusion studies, where an isotropic 1 mm voxel is widely accepted as a standard. This study follows [...] Read more.
Intravoxel Incoherent Motion (IVIM) imaging provides non-invasive perfusion measurements, eliminating the need for contrast agents. This work explores the feasibility of IVIM imaging in whole brain perfusion studies, where an isotropic 1 mm voxel is widely accepted as a standard. This study follows the validity of a time-limited, precise, segmentation-ready whole-brain IVIM protocol suitable for clinical reality. To assess the influence of SNR on the estimation of S0, f, D*, and D IVIM parameters, a series of measurements and simulations were performed in MATLAB for the following three estimation techniques: segmented grid search, segmented curve fitting, and one-step curve fitting, utilizing known “ground truth” and noised data. Scanner-specific SNR was estimated based on a healthy subject IVIM MRI study in a 3T scanner. Measurements were conducted for 25.6 × 25.6 × 14.4 cm FOV with a 256 × 256 in-plane resolution and 72 slices, resulting in 1 × 1 × 2 mm voxel size. Simulations were performed for 36 SNR levels around the measured SNR value. For a single voxel grid, the search algorithm mean relative error Ŝ0, f^, D^*, and D^ of at the expected SNR level were 5.00%, 81.91%, 76.31%, and 18.34%, respectively. Analysis has shown that high-resolution IVIM imaging is possible, although there is significant variation in both accuracy and precision, depending on SNR and the chosen estimation method. Full article
(This article belongs to the Special Issue Advanced MRI in Clinical Diagnosis)
Show Figures

Figure 1

25 pages, 5253 KB  
Article
Physically Based and Empirical Ground Motion Prediction Equations for Multiple Intensity Measures (PGA, PGV, Ia, FIV3, CII, and Maximum Fourier Acceleration Spectra) on Sakhalin Island
by Alexey Konovalov, Ilia Orlin, Andrey Stepnov and Yulia Stepnova
Geosciences 2023, 13(7), 201; https://doi.org/10.3390/geosciences13070201 - 30 Jun 2023
Cited by 2 | Viewed by 4697
Abstract
In the present study, empirical attenuation relations for multiple ground motion intensity measures (PGA, PGV, Ia, FIV3, CII, and MFAS) were developed for Sakhalin Island (in the far east of Russia). A recorded strong motion dataset was used, making GMPEs applicable [...] Read more.
In the present study, empirical attenuation relations for multiple ground motion intensity measures (PGA, PGV, Ia, FIV3, CII, and MFAS) were developed for Sakhalin Island (in the far east of Russia). A recorded strong motion dataset was used, making GMPEs applicable in active crustal regions with an earthquake magnitude range of 4–6 and a distance range of up to 150 km. The hypocentral distance was used as a basic distance metric. For the first time in the research, an analytical representation of Arias intensity (Ia) was obtained in the framework of a multi-asperity source model. Asperities are considered as sub-sources of high-frequency incoherent radiation. The physical representation of the attenuation model in our study was based on a stress drop on the asperities and the ratio of the total rupture area to the combined area of asperities. The average stress drop on asperities for the examined earthquakes was approximately 13.4 MPa, and the ratio of the total rupture area to the asperity area was 0.22, which is generally close to similar estimates for crustal earthquakes. The coefficients and statistical scattering of the attenuation models were also analyzed. Moreover, a magnitude scale based on a modified Arias intensity is proposed in the present study. The new magnitude scale has an explicit physical meaning and is characterized by its simplicity of measurement. It is associated with the acceleration source spectrum level and can be successfully used in early warning systems. Full article
(This article belongs to the Special Issue Advances in Seismic Hazard Assessment)
Show Figures

Figure 1

21 pages, 11723 KB  
Article
A Step-by-Step Probabilistic Seismic Soil–Structure Interaction Analysis with Ground Motion Incoherency for a Bridge Pier on Bored Pile Foundations
by Mircea Conțiu, Dan Mircea Ghiocel, Dan Crețu and Marius Florin Botiș
Appl. Sci. 2022, 12(4), 1828; https://doi.org/10.3390/app12041828 - 10 Feb 2022
Cited by 8 | Viewed by 4569
Abstract
In current design practice, typical seismic design of bridges tends to use simplified approaches. On the opposite side, the most advanced seismic analyses currently used in practice in all the fields of structural engineering are probably the ones used for the design of [...] Read more.
In current design practice, typical seismic design of bridges tends to use simplified approaches. On the opposite side, the most advanced seismic analyses currently used in practice in all the fields of structural engineering are probably the ones used for the design of nuclear facilities, which include soil–structure interaction and motion incoherency effects. From that category, the most modern methodology is the probabilistic approach, which has been added to the new ASCE 4 standard. This type of state-of-the-art analysis is carried out in ACS SASSI software on a typical concrete bridge structure with deep foundations. A comparison of the results with the deterministic SSI approach and the typical Eurocode design from previous studies is presented at the end. Major differences in behavior are highlighted, which impact the overall safety of the structure. Full article
(This article belongs to the Special Issue Seismic Performance Assessment for Structures)
Show Figures

Figure 1

20 pages, 200391 KB  
Article
Quantitative Measurement of Breast Tumors Using Intravoxel Incoherent Motion (IVIM) MR Images
by Si-Wa Chan, Wei-Hsuan Hu, Yen-Chieh Ouyang, Hsien-Chi Su, Chin-Yao Lin, Yung-Chieh Chang, Chia-Chun Hsu, Kuan-Wen Chen, Chia-Chen Liu and Sou-Hsin Chien
J. Pers. Med. 2021, 11(7), 656; https://doi.org/10.3390/jpm11070656 - 13 Jul 2021
Cited by 6 | Viewed by 3284
Abstract
Breast magnetic resonance imaging (MRI) is currently a widely used clinical examination tool. Recently, MR diffusion-related technologies, such as intravoxel incoherent motion diffusion weighted imaging (IVIM-DWI), have been extensively studied by breast cancer researchers and gradually adopted in clinical practice. In this study, [...] Read more.
Breast magnetic resonance imaging (MRI) is currently a widely used clinical examination tool. Recently, MR diffusion-related technologies, such as intravoxel incoherent motion diffusion weighted imaging (IVIM-DWI), have been extensively studied by breast cancer researchers and gradually adopted in clinical practice. In this study, we explored automatic tumor detection by IVIM-DWI. We considered the acquired IVIM-DWI data as a hyperspectral image cube and used a well-known hyperspectral subpixel target detection technique: constrained energy minimization (CEM). Two extended CEM methods—kernel CEM (K-CEM) and iterative CEM (I-CEM)—were employed to detect breast tumors. The K-means and fuzzy C-means clustering algorithms were also evaluated. The quantitative measurement results were compared to dynamic contrast-enhanced T1-MR imaging as ground truth. All four methods were successful in detecting tumors for all the patients studied. The clustering methods were found to be faster, but the CEM methods demonstrated better performance according to both the Dice and Jaccard metrics. These unsupervised tumor detection methods have the advantage of potentially eliminating operator variability. The quantitative results can be measured by using ADC, signal attenuation slope, D*, D, and PF parameters to classify tumors of mass, non-mass, cyst, and fibroadenoma types. Full article
Show Figures

Figure 1

17 pages, 5105 KB  
Article
Seismic Analysis of a Curved Bridge Considering Soil-Structure Interactions Based on a Separated Foundation Model
by Lixin Zhang and Yin Gu
Appl. Sci. 2020, 10(12), 4260; https://doi.org/10.3390/app10124260 - 21 Jun 2020
Cited by 8 | Viewed by 4314
Abstract
A separated foundation model was proposed in order to reduce the calculation scale of the numerical model for analyzing soil-bridge structure dynamics. The essence of the wave input analysis model considering soil-structure interaction was analyzed. Based on the large mass method, a one-dimensional [...] Read more.
A separated foundation model was proposed in order to reduce the calculation scale of the numerical model for analyzing soil-bridge structure dynamics. The essence of the wave input analysis model considering soil-structure interaction was analyzed. Based on the large mass method, a one-dimensional time-domain algorithm of the free field was derived. This algorithm could simulate the specified ground motion input well. The displacement expansion solution of the free wave field was solved based on the propagation law of waves in a medium. By separating the soil foundations around the pile foundations of the bridge, the ground motion was transformed into an equivalent load applied on an artificial boundary. The separated foundation model could consider the incoherence effect and soil-structure interaction simultaneously; the number of model elements were reduced, and the computational efficiency was improved. In order to investigate the seismic response of a curved bridge considering soil-structure interaction under spatially varied earthquakes, a curved bridge with small radius was adopted in practical engineering. Spatially correlated multi-point ground motion time histories were generated, and the nonuniform ground motion field was simulated based on the wave input method on an artificial viscoelastic boundary. The effects of different apparent wave velocities, coherence values, and site conditions on the seismic response of the bridge were analyzed. The results showed that the spatial variation of seismic ground motion had a considerable effect on the bending moment and the torsion of the girder. The site effect had great influence on the bending moment of the pier bottom. When considering soil-structure interaction, the spatial variation of ground motion should be fully considered to avoid underestimating the structural response. Full article
(This article belongs to the Special Issue Effects of Near-Fault Ground Motions on Civil Infrastructure)
Show Figures

Figure 1

19 pages, 1635 KB  
Article
Modified Multi-Support Response Spectrum Analysis of Structures with Multiple Supports under Incoherent Ground Excitation
by Jiyang Shen, Rui Li, Jun Shi and Guangchun Zhou
Appl. Sci. 2019, 9(9), 1744; https://doi.org/10.3390/app9091744 - 26 Apr 2019
Cited by 7 | Viewed by 4018
Abstract
This study develops a modified multi-support response spectrum (MSRS) method, in order to efficiently and accurately calculate the response of multi-support structures under incoherent ground motions. The modified MSRS method adopts three ancillary processes, constructing structural displacement vectors or constructing infinite stiffness members [...] Read more.
This study develops a modified multi-support response spectrum (MSRS) method, in order to efficiently and accurately calculate the response of multi-support structures under incoherent ground motions. The modified MSRS method adopts three ancillary processes, constructing structural displacement vectors or constructing infinite stiffness members or increasing the degrees of freedom at structural supports. Then, the modified MSRS method is verified in a comparison with the existing MSRS method through a model of a five-span reinforced concrete continuous rigid frame bridge. Finally, the collective structural response spectrum, the structural power spectrum, and the simplified structural power spectrum are deduced from the equation of the motion taking ground motion displacements as the input, and validated through the same bridge model. Full article
(This article belongs to the Special Issue Bridge Dynamics)
Show Figures

Figure 1

Back to TopTop