Sign in to use this feature.

Years

Between: -

Subjects

remove_circle_outline
remove_circle_outline
remove_circle_outline
remove_circle_outline
remove_circle_outline
remove_circle_outline
remove_circle_outline
remove_circle_outline
remove_circle_outline

Journals

Article Types

Countries / Regions

Search Results (10)

Search Parameters:
Keywords = inclined insertion type

Order results
Result details
Results per page
Select all
Export citation of selected articles as:
24 pages, 8845 KB  
Article
Numerical Simulation and Parameter Optimization of a New Slant Insertion-Opening Combination Sand Fence
by Yan Wu, Afang Jin and Jianzhou Jiang
Sustainability 2024, 16(19), 8651; https://doi.org/10.3390/su16198651 - 6 Oct 2024
Cited by 4 | Viewed by 1594
Abstract
This paper presents a new slant insertion-opening combination sand fence designed to reduce the hazards of traditional railway sand damage along the line. This new fence aims to decrease the disturbance caused by lateral wind on the high-speed railway and minimize the deposition [...] Read more.
This paper presents a new slant insertion-opening combination sand fence designed to reduce the hazards of traditional railway sand damage along the line. This new fence aims to decrease the disturbance caused by lateral wind on the high-speed railway and minimize the deposition of track sand particles. Numerical modeling and wind tunnel testing were employed to examine the structure’s defensive capabilities. Using the computational fluid dynamics (CFD) method and the Eulerian–Eulerian two-fluid model, the wind protection effect and airflow characteristics of the new sand fence with different slant insertion angles and spacings were simulated, and the optimal configuration parameters were selected. The study found that the new mechanical sand fence exhibits similar performance to the traditional sand fence. Since there is a “narrow tube effect”, the leeward side of the inclined plate generates a local high-speed airflow zone. In the top acceleration zone, the new mechanical sand fence efficiently lowers air velocity, thereby enhancing its protective capabilities. Moreover, the optimal protective performance of the new mechanical sand fence is achieved with an inclination angle of 15°, with improved protection observed as the angle increases. Additionally, the protective performance of double rows of these fences is influenced by the spacing between them. Increasing the distance between the two rows enhances protective performance, with the optimal protection achieved at a spacing of 25H. Beyond this distance, protective performance decreases. Full article
(This article belongs to the Section Environmental Sustainability and Applications)
Show Figures

Figure 1

13 pages, 10814 KB  
Article
Dental Implants with External Hex Inclined Shoulder in Full-Arch Immediate Loading Rehabilitations of the Maxilla
by Francesco Bagnasco, Paolo Pesce, Domenico Baldi, Francesco Motta, Francesco Pera, Nicola De Angelis and Maria Menini
Dent. J. 2024, 12(5), 131; https://doi.org/10.3390/dj12050131 - 8 May 2024
Cited by 1 | Viewed by 2505
Abstract
Background: Coaxial implants with an inclined neck might overcome some problems related to angulation of the implant axis when using tilted implants. Therefore, the aim of the present work was to conduct a narrative review of the current literature and to present a [...] Read more.
Background: Coaxial implants with an inclined neck might overcome some problems related to angulation of the implant axis when using tilted implants. Therefore, the aim of the present work was to conduct a narrative review of the current literature and to present a case series comparing traditional and coaxial external hex implants in full-arch immediate loading rehabilitations of the maxilla. Methods: A total of 13 external hex tapered implants (Southern Implants) was inserted in the upper jaw of 3 patients. Each patient received two tilted implants in distal sites. In one randomly selected quadrant, the tilted implant was a standard implant, while a Co-Axis® implant with a 24° inclination of the implant shoulder was inserted on the other hemi-arch. Straight conical abutments were screwed on coaxial implants while multiunit abutments of appropriate inclination were screwed as needed on the other implants to correct their axes. Peri-implant bone level was recorded radiographically at T0 (delivery of the immediate loading prosthesis), and at 3, 6, 12, and 24 months of healing and then annually. Plaque index, probing depth, and bleeding on probing were also evaluated. Cumulative implant survival rate (CSR) was calculated, and biological or technical complications were recorded as well as the operator satisfaction towards the use of coaxial implants. Results: The preliminary data collected did not show significant differences in peri-implant tissues health and maintenance over time between the two implant types. No implants failed, and both implant types proved to be favorable for full-arch rehabilitation using tilted implants. Coaxial implants facilitated the prosthodontic procedures. However, a learning curve is required in order to optimize their insertion. Conclusions: Both implants proved to be reliable and suitable for achieving clinical success in full-arch immediate loading rehabilitations, but further research with longer follow-up and larger sample size is needed to confirm these preliminary outcomes. Full article
(This article belongs to the Special Issue Advanced Research on Oral Cancer and Dental Implants)
Show Figures

Figure 1

16 pages, 3345 KB  
Article
Predictive Refined Computational Modeling of ACL Tear Injury Patterns
by Mirit Sharabi, Raz Agron, Amir Dolev, Rami Haj-Ali and Mustafa Yassin
Bioengineering 2024, 11(5), 413; https://doi.org/10.3390/bioengineering11050413 - 23 Apr 2024
Cited by 1 | Viewed by 3519
Abstract
Anterior cruciate ligament (ACL) ruptures are prevalent knee injuries, with approximately 200,000 ruptures annually, and treatment costs exceed USD two billion in the United States alone. Typically, the initial detection of ACL tears and anterior tibial laxity (ATL) involves manual assessments like the [...] Read more.
Anterior cruciate ligament (ACL) ruptures are prevalent knee injuries, with approximately 200,000 ruptures annually, and treatment costs exceed USD two billion in the United States alone. Typically, the initial detection of ACL tears and anterior tibial laxity (ATL) involves manual assessments like the Lachman test, which examines anterior knee laxity. Partial ACL tears can go unnoticed if they minimally affect knee laxity; however, they will progress to a complete ACL tear requiring surgical treatment. In this study, a computational finite element model (FEM) of the knee joint was generated to investigate the effect of partial ACL tears under the Lachman test (GNRB® testing system) boundary conditions. The ACL was modeled as a hyperelastic composite structure with a refined representation of collagen bundles. Five different tear types (I–V), classified by location and size, were modeled to predict the relationship between tear size, location, and anterior tibial translation (ATT). The results demonstrated different levels of ATT that could not be manually detected. Type I tears demonstrated an almost linear increase in ATT, with the growth in tear size ranging from 3.7 mm to 4.2 mm, from 25% to 85%, respectively. Type II partial tears showed a less linear incline in ATT (3.85, 4.1, and 4.75 mm for 25%, 55%, and 85% partial tears, respectively). Types III, IV, and V maintained a nonlinear trend, with ATTs of 3.85 mm, 4.2 mm, and 4.95 mm for Type III, 3.85 mm, 4.25 mm, and 5.1 mm for Type IV, and 3.6 mm, 4.25 mm, and 5.3 mm for Type V, for 25%, 55%, and 85% partial tears, respectively. Therefore, for small tears (25%), knee stability was most affected when the tears were located around the center of the ligament. For moderate tears (55%), the effect on knee stability was the greatest for tears at the proximal half of the ACL. However, severe tears (85%) demonstrated considerable growth in knee instability from the distal to the proximal ends of the tissue, with a substantial increase in knee instability around the insertion sites. The proposed model can enhance the characterization of partial ACL tears, leading to more accurate preliminary diagnoses. It can aid in developing new techniques for repairing partially torn ACLs, potentially preventing more severe injuries. Full article
(This article belongs to the Special Issue Computational Biomechanics, Volume II)
Show Figures

Figure 1

22 pages, 30308 KB  
Article
Bending Behaviour and Failure Modes of Non-Glue-Laminated Timber Beams Composed of Wooden Dowels and Self-Tapping Screws
by Yu-Hsiang Yeh and Yi-Chi Yeh
Buildings 2024, 14(2), 394; https://doi.org/10.3390/buildings14020394 - 1 Feb 2024
Cited by 5 | Viewed by 2609
Abstract
The purpose of this research is to compare the bending behaviour of non-glue-laminated timber beams and glulams by full-scale four-point bending tests. The focus is on the non-glue beams laminated by different materials or techniques and then to determine their bending stiffness and [...] Read more.
The purpose of this research is to compare the bending behaviour of non-glue-laminated timber beams and glulams by full-scale four-point bending tests. The focus is on the non-glue beams laminated by different materials or techniques and then to determine their bending stiffness and failure modes. The laminating efficiency of various materials or techniques is underlined. The manufacturing process concerning non-glue-laminated timber beams has to be determined. As structural elements with large dimensions, such components require adaptable laminating and producing techniques. While the beams composed of wooden dowels refer to the dowel-laminated timber (DLT), those made of self-tapping screws (STSs) can be simply related to nail-laminated timber (NLT) products. Then, a full-scale four-point bending test was carried out to appraise 26 laminated beams, including non-glue- and glue-laminated timber. The results of the test demonstrated that the material, the spacing and the angle of the transversal fasteners significantly influence bending behaviour. The bending stiffness of the beams laminated by STSs was about 7.86% higher than the value of the beams with wooden dowels, although the tendency of each pair of beams did not remain convergent. Reducing the interval of the fasteners can considerably increase the bending stiffness of the beams. Fasteners inserted at 45 degrees, or in a so-called V-type pattern, contribute to improving bending stiffness, and both wooden dowels and STSs reveal the same tendency. At this angle, STSs demonstrate better laminating efficiency than wooden dowels. The STS beams’ bending stiffness was about 48.6% of that determined for glulams. On the contrary, in beams with 135-degree fasteners, or, namely, an A-type pattern, inserted fasteners possessed lower bending stiffness than in those with 90-degree fasteners. In addition to the considerable bending stiffness, the STS beams revealed a stable response as far as their load-deflection curves were concerned. A comparison of experimental and theoretical results contributes to verifying the feasibility as well as the weakness of two analytic methods. The predicting capacity of the associated equations needs to be improved, particularly for the withdrawal resistance and connecting effect of inclined STSs. Full article
(This article belongs to the Special Issue Properties of Wood and Bamboo Used in Construction)
Show Figures

Figure 1

17 pages, 6966 KB  
Article
Finite Element Analysis (FEA) for the Evaluation of Retention in a Conometric Connection for Implant and Prosthesis
by Mario Ceddia, Luca Comuzzi, Natalia Di Pietro, Tea Romasco, Alessandro Specchiulli, Adriano Piattelli and Bartolomeo Trentadue
Osteology 2023, 3(4), 140-156; https://doi.org/10.3390/osteology3040015 - 4 Dec 2023
Cited by 6 | Viewed by 3305
Abstract
Today, dental implantology represents a reliable technique for treating both partial and total edentulism. The fixation of dentures on dental implants can be achieved using various techniques, where the choice of a specific technique depends on the patient’s individual needs, the jawbone’s condition, [...] Read more.
Today, dental implantology represents a reliable technique for treating both partial and total edentulism. The fixation of dentures on dental implants can be achieved using various techniques, where the choice of a specific technique depends on the patient’s individual needs, the jawbone’s condition, and the prosthesis design. Currently, the two most common types of prosthetic abutment connections are cemented and screwed, each with its own set of advantages and disadvantages. This study aimed to analyze a novel Morse cone connection system between the prosthesis and implant using finite element analysis (FEA). The analysis of connection retention was conducted using three different approaches: analytical, in vitro, and FEA. Three-dimensional models were created for systems comprising an abutment, healing cap, and crown under three inclination conditions: 0°, 15°, and 30°. Using Ansys finite element software (R1 2023), the impact of the tilt on the system retention was examined. The FEA showed results comparable with the in vitro studies regarding the retention strength for an abutment cap system with a 4° taper, obtaining 66.6 N compared with the 68 N calculated in our in vitro study. The inclination of the abutment affected the system retention due to the hole made in the abutment’s surface, decreasing the contact area between components. The Morse cone prosthesis–implant connection system was found to be the most stable and efficient compared with threaded or cemented systems. The retention was influenced by factors such as the abutment conicity, insertion strength, and the contact surface between components. Full article
Show Figures

Figure 1

18 pages, 4386 KB  
Article
The Performance of an Air-Cooled Diesel Engine with a Variable Cross-Section Dual-Channel Swirl Chamber
by Lei Wu, Jun Fu, Yi Ma and Donghe Xie
Energies 2022, 15(19), 7263; https://doi.org/10.3390/en15197263 - 3 Oct 2022
Cited by 3 | Viewed by 2282
Abstract
In order to improve the performance of a mini-type air-cooled diesel engine in terms of the overall efficiency and engine emissions, a swirl chamber of a variable cross-section dual-channel model was developed. This study proposed nine turbulent swirl chambers with a variable cross-section [...] Read more.
In order to improve the performance of a mini-type air-cooled diesel engine in terms of the overall efficiency and engine emissions, a swirl chamber of a variable cross-section dual-channel model was developed. This study proposed nine turbulent swirl chambers with a variable cross-section for a dual-channel combustion solution, which applied a dual-channel cross-section to the insert between the original swirl chamber and the main chamber. Model-based design, simulation and experiments were applied as a feasible approach to address this issue to find out the influence of the dual-channel inclination angle and divergence angle on the swirl rate in the swirl chamber, the power and the emissions performance, including the fuel efficiency. By comparing the tests, the performance of the diesel engine with a variable cross-section dual-channel swirl chamber was superior to the original one with a single channel in terms of the swirl rate, fuel consumption rate and emissions. Full article
Show Figures

Figure 1

27 pages, 29337 KB  
Article
Optimization Design of Lattice Structures in Internal Cooling Channel with Variable Aspect Ratio of Gas Turbine Blade
by Liang Xu, Qicheng Ruan, Qingyun Shen, Lei Xi, Jianmin Gao and Yunlong Li
Energies 2021, 14(13), 3954; https://doi.org/10.3390/en14133954 - 1 Jul 2021
Cited by 22 | Viewed by 4908
Abstract
Traditional cooling structures in gas turbines greatly improve the high temperature resistance of turbine blades; however, few cooling structures concern both heat transfer and mechanical performances. A lattice structure (LS) can solve this issue because of its advantages of being lightweight and having [...] Read more.
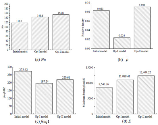
Traditional cooling structures in gas turbines greatly improve the high temperature resistance of turbine blades; however, few cooling structures concern both heat transfer and mechanical performances. A lattice structure (LS) can solve this issue because of its advantages of being lightweight and having high porosity and strength. Although the topology of LS is complex, it can be manufactured with metal 3D printing technology in the future. In this study, an integral optimization model concerning both heat transfer and mechanical performances was presented to design the LS cooling channel with a variable aspect ratio in gas turbine blades. Firstly, some internal cooling channels with the thin walls were built up and a simple raw of five LS cores was taken as an insert or a turbulator in these cooling channels. Secondly, relations between geometric variables (height (H), diameter (D) and inclination angle(ω)) and objectives/functions of this research, including the first-order natural frequency (freq1), equivalent elastic modulus (E), relative density (ρ¯) and Nusselt number (Nu), were established for a pyramid-type lattice structure (PLS) and Kagome-type lattice structure (KLS). Finally, the ISIGHT platform was introduced to construct the frame of the integral optimization model. Two selected optimization problems (Op-I and Op-II) were solved based on the third-order response model with an accuracy of more than 0.97, and optimization results were analyzed. The results showed that the change of Nu and freq1 had the highest overall sensitivity Op-I and Op-II, respectively, and the change of D and H had the highest single sensitivity for Nu and freq1, respectively. Compared to the initial LS, the LS of Op-I increased Nu and E by 24.1% and 29.8%, respectively, and decreased ρ¯ by 71%; the LS of Op-II increased Nu and E by 30.8% and 45.2%, respectively, and slightly increased ρ¯; the LS of both Op-I and Op-II decreased freq1 by 27.9% and 19.3%, respectively. These results suggested that the heat transfer, load bearing and lightweight performances of the LS were greatly improved by the optimization model (except for the lightweight performance for the optimal LS of Op-II, which became slightly worse), while it failed to improve vibration performance of the optimal LS. Full article
Show Figures

Figure 1

15 pages, 6264 KB  
Article
Investigation by Digital Image Correlation of Mixed-Mode I and II Fracture Behavior of Polymeric IASCB Specimens with Additive Manufactured Crack-Like Notch
by Tommaso Maria Brugo, Ivo Campione and Giangiacomo Minak
Materials 2021, 14(5), 1084; https://doi.org/10.3390/ma14051084 - 26 Feb 2021
Cited by 17 | Viewed by 3409
Abstract
In this work, the fracture mechanics properties of polyamide (PA) specimens manufactured by the selective laser sintering (SLS) technology are investigated, in which an embedded crack-like notch was inserted in the design and produced during the additive manufacturing (AM) phase. To cover a [...] Read more.
In this work, the fracture mechanics properties of polyamide (PA) specimens manufactured by the selective laser sintering (SLS) technology are investigated, in which an embedded crack-like notch was inserted in the design and produced during the additive manufacturing (AM) phase. To cover a wide variety of mode I/II mixity levels, the inclined asymmetrical semicircular specimen subjected to three points loading (IASCB) was employed. The investigation was carried out by analyzing the full displacement field in the proximity of the crack tip by means of the digital image correlation (DIC) technique. To characterize the material, which exhibits a marked elastic-plastic behavior, the quantity J-integral was evaluated by two different methods: the first one exploits the full fields measured by the DIC, whereas the second one exploits the experimental load–displacement curves along with FEM analysis. The DIC methodology was experimentally validated and proposed as an alternative method to evaluate the J-integral. It is especially suited for conditions in which it is not possible to use the conventional LDC method due to complex and possibly unknown loading conditions. Furthermore, results showed that the AM technique could be used effectively to induce cracks in this type of material. These two aspects together can lead to both a simplification of the fracture characterization process and to the possibility of dealing with a wider number of practical, real-world scenarios. Indeed, because of the nature of the additive manufacturing process, AM crack-like notches can be sintered even having complex geometry, being three-dimensional and/or inside the tested structure. Full article
(This article belongs to the Special Issue Research and Modeling of Materials Fatigue and Fracture)
Show Figures

Figure 1

18 pages, 4096 KB  
Article
Experimental Study on the Shear Behavior of Precast Wall Concrete Joints with/without Dowel Reinforcement
by Qing Zhi, Xinfu Xiong, Wenjie Yang, Sha Liu and Jingang Xiong
Materials 2020, 13(7), 1726; https://doi.org/10.3390/ma13071726 - 7 Apr 2020
Cited by 16 | Viewed by 4621
Abstract
The precast shear wall behavior in the serviceability and ultimate limit states depends on the shear and shear-flexural behavior of the joints between the precast components or between the precast component and footing. This study presents a series of tests on the shear [...] Read more.
The precast shear wall behavior in the serviceability and ultimate limit states depends on the shear and shear-flexural behavior of the joints between the precast components or between the precast component and footing. This study presents a series of tests on the shear strength of joints, which were applied to the interface of precast shear walls. The tested parameters included the joint types, the numbers of shear keys, the existence of high strength steel bars inserted at the joints, and the levels of confining stress. The shear capacity, stiffness, and shear transfer mechanisms of these joints were investigated. It could be concluded that the epoxied and high strength reinforcing joints had consistently higher shear strength than that of dry and plain joints. For the specimens with an inclined angle at the end of the keys of less than 60 degrees, the width of the dry joint opening may be excessively large, resulting in large shear slip and the key not shearing-off under confining stress of less than 1.0 MPa. The tested results were compared with AASHTO and other design criteria. Several formulas regarding the joint shear capacities were also proposed according to the specifications and the tested results. Full article
(This article belongs to the Section Construction and Building Materials)
Show Figures

Figure 1

23 pages, 5656 KB  
Article
Analysis of the Fatigue Crack Evolution of Corrugated Web Girders
by Guoqian Wei, Fan Ye, Shanshan Li and Siwen Chen
Metals 2019, 9(8), 869; https://doi.org/10.3390/met9080869 - 8 Aug 2019
Cited by 5 | Viewed by 3510
Abstract
Based on linear elastic fracture mechanics (LEFM), the fatigue crack evolution process and behavior of corrugated web girders were studied. The global finite element analysis (FEA) model of corrugated web girders was first developed and the equivalent structural stress method was used to [...] Read more.
Based on linear elastic fracture mechanics (LEFM), the fatigue crack evolution process and behavior of corrugated web girders were studied. The global finite element analysis (FEA) model of corrugated web girders was first developed and the equivalent structural stress method was used to reveal the dangerous locations along the weld under the bending load. The weld toe between the tension flange and the web weld, which is near the intersection of the inclined fold and the parallel fold, was determined as the fatigue crack easy-initiating location. Then a small region containing the crack-prone site was extracted as the sub-model for a crack propagating simulation. A semi-circle initial crack with 0.1 mm radius was inserted at the crack easy-initiating location. The stress intensity factors (SIFs; KI, KII, and KIII) of some discrete points along the crack front were calculated by the M-integral method. Based on Nasgro law, the geometry of the new crack front with a given extension length was obtained. Finally, the complete evolution process of the crack propagation was simulated. Results showed that the dominant crack propagating mode is open type (Mode I) and KI is the most important propagating driving force. According to the crack front shape evolution, the whole propagating process was divided into 6 stages. An obvious kink of the crack was found in stage 1, which covered only a very short time. The stages 3, 4 and 5 accounted for the majority of life, among which the stage 3 accounted for as high as 81% of the total life. Therefore, the cycles of the weld toe crack propagating from 0.1 mm to the thickness of the flange can be defined as the prediction life of this kind of structures. Full article
Show Figures

Figure 1

Back to TopTop