Sign in to use this feature.

Years

Between: -

Subjects

remove_circle_outline
remove_circle_outline
remove_circle_outline
remove_circle_outline
remove_circle_outline
remove_circle_outline
remove_circle_outline
remove_circle_outline
remove_circle_outline

Journals

Article Types

Countries / Regions

Search Results (44)

Search Parameters:
Keywords = in-stream processes

Order results
Result details
Results per page
Select all
Export citation of selected articles as:
19 pages, 5264 KB  
Article
Integrated Allocation of Water-Sediment Resources and Its Impacts on Socio-Economic Development and Ecological Systems in the Yellow River Basin
by Lingang Hao, Enhui Jiang, Bo Qu, Chang Liu, Jia Jia, Ying Liu and Jiaqi Li
Water 2025, 17(19), 2821; https://doi.org/10.3390/w17192821 - 26 Sep 2025
Viewed by 775
Abstract
Both water and sediment resource allocation are critical for achieving sustainable development in sediment-laden river basins. However, current understanding lacks a holistic perspective and fails to capture the inseparability of water and sediment. The Yellow River Basin (YRB) is the world’s most sediment-laden [...] Read more.
Both water and sediment resource allocation are critical for achieving sustainable development in sediment-laden river basins. However, current understanding lacks a holistic perspective and fails to capture the inseparability of water and sediment. The Yellow River Basin (YRB) is the world’s most sediment-laden river, characterized by pronounced ecological fragility and uneven socio-economic development. This study introduces integrated water-sediment allocation frameworks for the YRB based on the perspective of the water-sediment nexus, aiming to regulate their impacts on socio-economic and ecological systems. The frameworks were established for both artificial units (e.g., irrigation zones and reservoirs) and geological units (e.g., the Jiziwan region, lower channels, and estuarine deltas) within the YRB. The common feature of the joint allocation of water and sediment across the five units lies in shaping a coordinated water–sediment relationship, though their focuses differ, including in-stream water-sediment processes and combinations, the utilization of water and sediment resources, and the constraints imposed by socio-economic and ecological systems on water-sediment distribution. In irrigation zones, the primary challenge lies in engineering-based control of inflow magnitude and spatiotemporal distribution for both water and sediment. In reservoir systems, effective management requires dynamic regulation through density current flushing and coordinated operations to achieve water-sediment balance. In the Jiziwan region, reconciling socio-economic development with ecological integrity requires establishing science-based thresholds for water and sediment use while ensuring a balance between utilization and protection. Along the lower channel, sustainable management depends on delineating zones for human activities and ecological preservation within floodplains. For deltaic systems, key strategies involve adjusting upstream sediment and refining depositional processes. Full article
Show Figures

Figure 1

16 pages, 10937 KB  
Article
Establishment of Instream and Off-Stream Ecological Water Requirements and Its Climate Impact at a Semi-Arid Watershed
by Qingqing Fang, Puze Wang, Tiejun Liu, Linyang Zhao, Xiaojing Zhang and Ruxin Zhao
Water 2025, 17(4), 542; https://doi.org/10.3390/w17040542 - 13 Feb 2025
Viewed by 967
Abstract
The determination of ecological water requirements (EWRs) is of critical significance for maintaining watershed sustainable development and river health. However, the estimation of instream and off-stream EWRs remains uncertain due to the complicated and competitive interaction between off-stream EWR resources (mainly vegetation water [...] Read more.
The determination of ecological water requirements (EWRs) is of critical significance for maintaining watershed sustainable development and river health. However, the estimation of instream and off-stream EWRs remains uncertain due to the complicated and competitive interaction between off-stream EWR resources (mainly vegetation water requirements in low-intensity human-use basins) and instream EWR resources (runoff), especially in arid watersheds. In this study, instream and off-stream EWRs are determined by considering the interaction between vegetation variations and hydrological processes, as well as their climate impact, using a two-way ecohydrological model in a representative semi-arid basin. The increased infiltration capacity of the substrate, resulting from continuous vegetation growth without mortality, enhances deep soil water return flow, thereby boosting baseflow to streams. Lateral flow is shown to contribute up to 39.50% of the instream runoff. While downstream grassland growth is dependent on vertical water input, upstream forests experience energy-limited transpiration despite increased water storage, regardless of lateral flow distribution. Changes in precipitation (either an increase or decrease) simultaneously affect (i.e., increase or decrease) both basin instream and off-stream EWRs. In contrast, temperature increases of up to 3 °C generally enhance instream EWRs by raising evapotranspiration (ET). However, this effect may be diminished or even reversed when plants become water-stressed under higher temperatures, resulting in a reduction of off-stream EWRs. The findings of this research provide a scientific foundation for water resource management in semi-arid basins. Full article
Show Figures

Figure 1

16 pages, 10358 KB  
Article
Simulation of Flood-Control Reservoirs: Comparing Fully 2D and 0D–1D Models
by Susanna Dazzi, Riccardo Verbeni, Paolo Mignosa and Renato Vacondio
Hydrology 2024, 11(11), 180; https://doi.org/10.3390/hydrology11110180 - 26 Oct 2024
Viewed by 2913
Abstract
Flood-control reservoirs are often used as a structural measure to mitigate fluvial floods, and numerical models are a fundamental tool for assessing their effectiveness. This work aims to analyze the suitability of fully 2D shallow-water models to simulate these systems by adopting internal [...] Read more.
Flood-control reservoirs are often used as a structural measure to mitigate fluvial floods, and numerical models are a fundamental tool for assessing their effectiveness. This work aims to analyze the suitability of fully 2D shallow-water models to simulate these systems by adopting internal boundary conditions to describe hydraulic structures (i.e., dams) and by using a parallelized code to reduce the computational burden. The 2D results are also compared with the more established approach of coupling a 1D model for the river and a 0D model for the reservoir. Two test cases, including an in-stream reservoir and an off-stream basin, both located in Italy, are considered. Results show that the fully 2D model can effectively handle the simulation of a complex flood-control system. Moreover, compared with the 0D–1D model, it captures the velocity field and the filling/emptying process of the reservoir more realistically, especially for off-stream reservoirs. Conversely, when the basin is characterized by very limited flood dynamics, the two approaches provide similar results (maximum levels in the reservoir differ by less than 10 cm, and peak discharges by about 5%). Thanks to parallelization and the inclusion of internal boundary conditions, fully 2D models can be applied not only for local hydrodynamic analyses but also for river-scale studies, including flood-control reservoirs, with reasonable computational effort (i.e., ratios of physical to computational times on the order of 30–100). Full article
Show Figures

Figure 1

19 pages, 2714 KB  
Article
Evaluating the Effects of Parameter Uncertainty on River Water Quality Predictions
by André Fonseca, Cidália Botelho, Rui A. R. Boaventura and Vítor J. P. Vilar
Resources 2024, 13(8), 106; https://doi.org/10.3390/resources13080106 - 26 Jul 2024
Cited by 5 | Viewed by 2322
Abstract
Due to the high uncertainty of model predictions, it is often challenging to draw definitive conclusions when evaluating river water quality in the context of management options. The major aim of this study is to present a statistical evaluation of the Hydrologic Simulation [...] Read more.
Due to the high uncertainty of model predictions, it is often challenging to draw definitive conclusions when evaluating river water quality in the context of management options. The major aim of this study is to present a statistical evaluation of the Hydrologic Simulation Program FORTRAN (HSPF), which is a water quality modeling system, and how this modeling system can be used as a valuable tool to enhance monitoring planning and reduce uncertainty in water quality predictions. The authors’ findings regarding the sensitivity analysis of the HSPF model in relation to water quality predictions are presented. The application of the computer model was focused on the Ave River watershed in Portugal. Calibration of the hydrology was performed at two stations over five years, starting from January 1990 and ending in December 1994. Following the calibration, the hydrology model was then validated for another five-year period, from January 1995 to December 1999. A comprehensive evaluation framework is proposed, which includes a two-step statistical evaluation based on commonly used hydrology criteria for model calibration and validation. To thoroughly assess model uncertainty and parameter sensitivity, a Monte Carlo method uncertainty evaluation approach is integrated, along with multi-parametric sensitivity analyses. The Monte Carlo simulation considers the probability distributions of fourteen HSPF water quality parameters, which are used as input factors. The parameters that had the greatest impact on the simulated in-stream fecal coliform concentrations were those that represented the first-order decay rate and the surface runoff mechanism, which effectively removed 90 percent of the fecal coliform from the pervious land surface. These parameters had a more significant influence compared to the accumulation and maximum storage rates. When it comes to the oxygen governing process, the parameters that showed the highest sensitivity were benthal oxygen demand and nitrification/denitrification rate. The insights that can be derived from this study play a critical role in the development of robust water management strategies, and their significance lies in their potential to contribute to the advancement of predictive models in the field of water resources. Full article
Show Figures

Figure 1

20 pages, 6250 KB  
Article
A Modified Xinanjiang Model for Quantifying Streamflow Components in a Typical Watershed in Eastern China
by Kaibin Wu, Minpeng Hu, Yu Zhang, Jia Zhou and Dingjiang Chen
Hydrology 2024, 11(7), 90; https://doi.org/10.3390/hydrology11070090 - 25 Jun 2024
Cited by 2 | Viewed by 3079
Abstract
An accurate quantification of flow components and an understanding of water source dynamics are essential for effective water resource and quality management. However, the complexity of hydrological processes and the interference of intensive human activities pose significant challenges in precisely separating water discharge [...] Read more.
An accurate quantification of flow components and an understanding of water source dynamics are essential for effective water resource and quality management. However, the complexity of hydrological processes and the interference of intensive human activities pose significant challenges in precisely separating water discharge into distinct components such as surface runoff, interflow, and groundwater. The Xinanjiang (XAJ) model, a conceptual watershed hydrological model, has been developed and successfully implemented for rainfall–runoff simulations and hydrograph separations across various Chinese watersheds. While the model framework is robust, it fails to account for agricultural irrigation water withdrawals and the variations in in-stream water travel times across different hydrological regimes, introducing considerable uncertainty in simulating low-flow conditions. This study introduced modifications to the XAJ model by allowing parameter adjustments across different flow regimes and incorporating irrigation withdrawals into the runoff routing process. Utilizing a decade of hydrometeorological data (2013–2022) from the Yongan River watershed in eastern China, the modified model demonstrated improved efficiency metrics in low- and medium-flow regimes compared to the original model, with a Nash–Sutcliffe coefficient improvement from −4.43~−0.49 to 0.40~0.46, R2 from 0.21~0.36 to 0.53~0.63, and BIAS reduction from 7.60~89.08% to 2.06~12.71%. Furthermore, the modified XAJ model provided a more accurate estimation of the spatial and temporal distribution of streamflow components across sub-watersheds. The original model tended to overestimate groundwater contributions (13%) and underestimate interflow (14%), particularly in low-flow conditions. The enhanced XAJ model, thus, offers a more effective tool for identifying streamflow components, providing essential insights into hydrological processes for better management decisions. Full article
Show Figures

Figure 1

23 pages, 5423 KB  
Article
Environmental Restoration and Changes of Sediment and Hydrodynamic Parameters in a Section of a Renaturalised Lowland Watercourse
by Stanisław Zaborowski, Tomasz Kałuża, Szymon Jusik, Tomasz Dysarz and Mateusz Hämmerling
Sustainability 2024, 16(10), 3948; https://doi.org/10.3390/su16103948 - 8 May 2024
Cited by 2 | Viewed by 1701
Abstract
In Europe, the routes of most watercourses were straightened and shortened, leading to the destruction and degradation of many natural environments. Currently, in places where it is possible, as part of the implementation of the Water Framework Directive, efforts are made to improve [...] Read more.
In Europe, the routes of most watercourses were straightened and shortened, leading to the destruction and degradation of many natural environments. Currently, in places where it is possible, as part of the implementation of the Water Framework Directive, efforts are made to improve environmental sustainability, including improving the ecological condition of rivers. This paper presents the impact of three in-stream deflectors on changes in the section of a small lowland river—the Flinta (Poland)—where (from 2018 to 2023) detailed, systematic geodetic, and hydrometric research and an assessment of the ecological conditions were carried out. The presented results show the influence of deflectors on the initiation of fluvial processes in the transverse and longitudinal layouts of the channel. The river channel was narrowed from 6 to 5 m, and the current line shifted by almost 3 m. Changes were observed in the distribution of velocities and shear stresses, varying along the surveyed section of the river. In the first year after their application, an increase in velocity at the deflectors can be observed (from 0.2 m∙s−1 to 0.6 m∙s−1 in the deflector cross-section). In the following years, on the other hand, a clear decrease in velocity was observed in the sections between the deflectors (to 0.3 m∙s−1). The introduction of deflectors resulted in a significant increase in the values of shear stresses (from an average value of 0.0241 N∙m−2 in 2018 to 0.2761 N∙m−2 in 2023) and local roughness coefficients (from 0.045 s∙m−1/3 before the introduction of the deflectors to 0.070 s∙m−1/3 in 2023). Based on analyses of sediment samples, erosion and accumulation of bottom material were initially observed, followed by a subsequent stabilisation of particle size. Differences in grain size were observed, especially in the cross-section of the deflectors (increase in granularity d50% downstream of the deflector from 0.31 mm to 3.9 mm already 2 years after the introduction of deflectors). This study confirmed the positive impact of using deflectors on hydromorphological processes as deflectors facilitate the achievement of a good ecological status, as required by the WFD. The innovation of this paper lies in demonstrating the possibility of using small, simple structures to initiate and intensify fluvial processes, which may contribute to improving the ecological conditions of watercourses. Full article
Show Figures

Figure 1

17 pages, 4491 KB  
Article
The Role of Wastewater in Controlling Fluvial Erosion Processes on Clayey Bedrock
by Margherita Bufalini, Domenico Aringoli, Fabrizio Bendia, Piero Farabollini, Matteo Gentilucci, Francesco Lampa, Chiara Martinello, Marco Materazzi and Gilberto Pambianchi
Land 2023, 12(1), 227; https://doi.org/10.3390/land12010227 - 11 Jan 2023
Cited by 1 | Viewed by 1877
Abstract
In recent decades, fluvial erosion processes in highly anthropized areas are mainly associated with in-stream gravel mining activities or with the presence of artificial reservoirs which have increased the erosive capacity of the river as a consequence of the reduced sediment transport or [...] Read more.
In recent decades, fluvial erosion processes in highly anthropized areas are mainly associated with in-stream gravel mining activities or with the presence of artificial reservoirs which have increased the erosive capacity of the river as a consequence of the reduced sediment transport or the modification of the longitudinal profile of the channel. On the other hand, the role of pollutants in the degradation processes of soils with a predominantly clayey component is little known. The present study, through chemical analyses of water and mineralogical–geotechnical analyses of clayey soil samples taken along some river channels in central Italy in correspondence with water treatment plants, highlights how “polluting” elements present in the water can modify the crystalline lattice and consequently, the resistance parameters of the soil itself, making it more susceptible to erosion processes. In particular, significant are the variations of the Plasticity Index, which tends to double in all the samples and the transformations of clayey minerals such as illite and kaolinite, toward montmorillonite and smectite, with consequent breaking of the ionic bonds and decrease of the material cohesion. Although in the cases studied this phenomenon was quantitatively less relevant than the “mechanical” processes described above, it could have a greater impact in the presence of landfills or large production settlements (agricultural or industrial) where the concentration of pollutants can be substantial. Full article
Show Figures

Figure 1

21 pages, 5643 KB  
Article
The Influence Research on Nitrogen Transport and Reaction in the Hyporheic Zone with an In-Stream Structure
by Ruikang Sun, Jiawei Dong, Yi Li, Panwen Li, Yaning Liu, Ying Liu and Jinghong Feng
Int. J. Environ. Res. Public Health 2022, 19(19), 12695; https://doi.org/10.3390/ijerph191912695 - 4 Oct 2022
Cited by 4 | Viewed by 2122
Abstract
The hyporheic zone (HZ) is important for river ecological restoration as the main zone with nitrogen biochemical processes. The engineering of river ecological restoration can significantly change the hydrodynamics, as well as solute transport and reaction processes, but it is still not fully [...] Read more.
The hyporheic zone (HZ) is important for river ecological restoration as the main zone with nitrogen biochemical processes. The engineering of river ecological restoration can significantly change the hydrodynamics, as well as solute transport and reaction processes, but it is still not fully understood. In this study, nitrogen transport and reaction processes were analyzed in the HZ with an in-stream weir structure. An HZ model was built, and three reactions were considered with different design parameters of the weir structure and different permeability characteristics of porous media. The results show that a structure with a greater height on the overlying surface water enables the species to break through deeper porous media. It promotes the mean spatial reaction rates of nitrification and denitrification and results in increased net denitrification in most cases. In addition, increasing the burial depth of the structure leads to the same variation trends in the mean spatial reaction rates as increasing the structure height. Larger permeability coefficients in porous media can enhance flow exchange and increase mean spatial reaction rates. The results can help deepen the understanding of nitrogen transport and transformation in the HZ and optimize the design parameters and location of the in-stream structure. Full article
(This article belongs to the Special Issue Groundwater Quality and Groundwater Pollution)
Show Figures

Figure 1

28 pages, 30354 KB  
Article
Nutrient Dynamics and Ecosystem Metabolism of Megacity Rivers: Influence of Elevated Nutrient Concentrations in Beijing’s Waterways
by Meng Zhang, Robert A. Francis and Michael A. Chadwick
Water 2022, 14(19), 2963; https://doi.org/10.3390/w14192963 - 21 Sep 2022
Cited by 2 | Viewed by 2675
Abstract
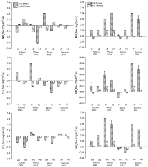
This study evaluated nutrient flux (nitrate (NO3), ammonium (NH4+), phosphate (PO43−), and dissolved organic carbon (DOC) at the sediment-water interface and river ecosystem metabolism (REM) to investigate how these ecological functions vary in Beijing’s [...] Read more.
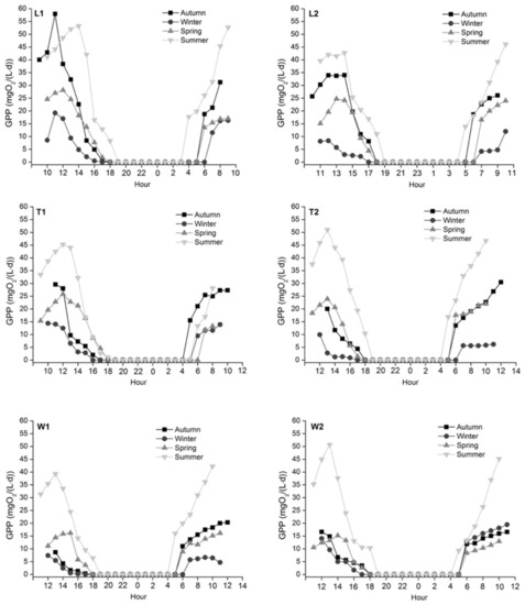
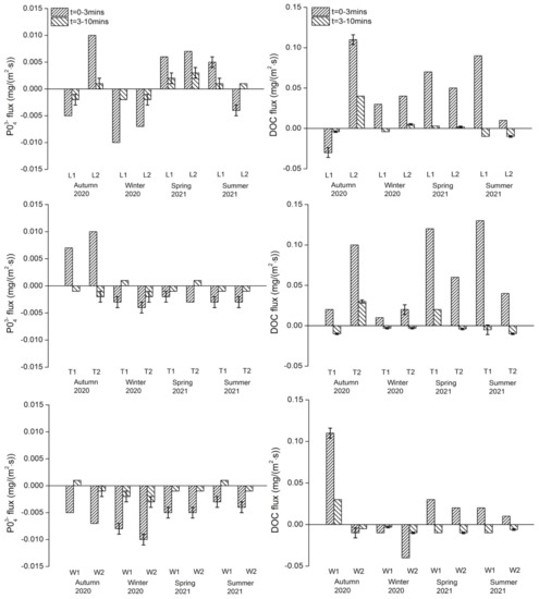
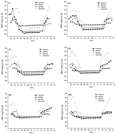
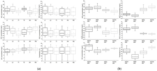
This study evaluated nutrient flux (nitrate (NO3), ammonium (NH4+), phosphate (PO43−), and dissolved organic carbon (DOC) at the sediment-water interface and river ecosystem metabolism (REM) to investigate how these ecological functions vary in Beijing’s urban waterways. Three tributaries of the River Beiyun were selected. Water quality varied across the study sites as each receives a mixture of wastewater treatment plant (WWTP) effluents and tributary inflows. A chamber technique was applied where water-specific nutrient concentrations were measured at two exposure times (3 and 10 min). Under the actions of physical and biological processes, NO3 and NH4+ flux was primarily controlled by equilibrium concentration and the N-cycle. However, bioabsorption appeared to regulate DOC flux. Specifically, NO3 flux ranged from −0.31 to +0.30 mg/(m2·s), NH4+ was −0.01 to +0.05 mg/(m2·s), PO43− was −0.01 to +0.01 mg/(m2·s), DOC was −0.04 to +0.13 mg/(m2·s). We applied the nighttime slope regression to estimate gross primary production (GPP) and ecosystem respiration (ER). Except in summer, net ecosystem production (GPP+ER) less than 0 indicated heterotrophic study reaches. Structural equation modelling revealed that nutrient dynamics and water temperature were the primary factors driving REM. Our study provides the needed systems-based understanding of vital ecological processes to improve in-stream management. Full article
(This article belongs to the Section Water Quality and Contamination)
Show Figures

Graphical abstract

18 pages, 2917 KB  
Article
Discharge and Temperature Controls of Dissolved Organic Matter (DOM) in a Forested Coastal Plain Stream
by Yuehan Lu, Peng Shang, Shuo Chen, Yingxun Du, Marco Bonizzoni and Amelia K. Ward
Water 2021, 13(20), 2919; https://doi.org/10.3390/w13202919 - 17 Oct 2021
Cited by 12 | Viewed by 4235
Abstract
Streams in the southeastern United States Coastal Plains serve as an essential source of energy and nutrients for important estuarine ecosystems, and dissolved organic matter (DOM) exported from these streams can have profound impacts on the biogeochemical and ecological functions of fluvial networks. [...] Read more.
Streams in the southeastern United States Coastal Plains serve as an essential source of energy and nutrients for important estuarine ecosystems, and dissolved organic matter (DOM) exported from these streams can have profound impacts on the biogeochemical and ecological functions of fluvial networks. Here, we examined hydrological and temperature controls of DOM during low-flow periods from a forested stream located within the Coastal Plain physiographic region of Alabama, USA. We analyzed DOM via combining dissolved organic carbon (DOC) analysis, fluorescence excitation–emission matrix combined with parallel factor analysis (EEM-PARAFAC), and microbial degradation experiments. Four fluorescence components were identified: terrestrial humic-like DOM, microbial humic-like DOM, tyrosine-like DOM, and tryptophan-like DOM. Humic-like DOM accounted for ~70% of total fluorescence, and biodegradation experiments showed that it was less bioreactive than protein-like DOM that accounted for ~30% of total fluorescence. This observation indicates fluorescent DOM (FDOM) was controlled primarily by soil inputs and not substantially influenced by instream production and processing, suggesting that the bulk of FDOM in these streams is transported to downstream environments with limited in situ modification. Linear regression and redundancy analysis models identified that the seasonal variations in DOM were dictated primarily by hydrology and temperature. Overall, high discharge and shallow flow paths led to the enrichment of less-degraded DOM with higher percentages of microbial humic-like and tyrosine-like compounds, whereas high temperatures favored the accumulation of high-aromaticity, high-molecular-weight, terrestrial, humic-like compounds in stream water. The flux of DOC and four fluorescence components was driven primarily by water discharge. Thus, the instantaneous exports of both refractory humic-like DOM and reactive protein-like DOM were higher in wetter seasons (winter and spring). As high temperatures and severe precipitation are projected to become more prominent in the southeastern U.S. due to climate change, our findings have important implications for future changes in the amount, source, and composition of DOM in Coastal Plain streams and the associated impacts on downstream carbon and nutrient supplies and water quality. Full article
(This article belongs to the Section Water Quality and Contamination)
Show Figures

Figure 1

21 pages, 2239 KB  
Article
Factors Influencing Colonization and Survival of Juvenile Blue Crabs Callinectes sapidus in Southeastern U.S. Tidal Creeks
by Paul J. Rudershausen, Jeffery H. Merrell and Jeffrey A. Buckel
Diversity 2021, 13(10), 491; https://doi.org/10.3390/d13100491 - 7 Oct 2021
Cited by 5 | Viewed by 3101
Abstract
Tidal creeks along the southeastern U.S. and Gulf of Mexico coastlines provide nursery habitats for commercially and ecologically important nekton, including juvenile blue crabs Callinectes sapidus, a valuable and heavily landed seafood species. Instream and watershed urbanization may influence the habitat value [...] Read more.
Tidal creeks along the southeastern U.S. and Gulf of Mexico coastlines provide nursery habitats for commercially and ecologically important nekton, including juvenile blue crabs Callinectes sapidus, a valuable and heavily landed seafood species. Instream and watershed urbanization may influence the habitat value that tidal creeks provide to blue crabs. We investigated natural and anthropogenic factors influencing juvenile blue crab occupancy dynamics in eight first-order tidal creeks in coastal North Carolina (USA). An auto-logistic hierarchical multi-season (dynamic) occupancy model with separate ecological and observation sub-models was fitted to juvenile blue crab presence/absence data collected over replicate sampling visits in multiple seasons at three fixed trapping sites in each creek. Colonization and survival are the processes operating on occupancy that are estimated with this formulation of the model. Covariates considered in the ecological sub-model included watershed imperviousness, the percent of salt marsh in each creek’s high tide area, percent salt marsh edge, site-level water depth, and site-level salinity. Temperature, salinity, and dissolved oxygen were covariates considered in the observation sub-model. In the ecological sub-model, watershed imperviousness was a meaningful negative covariate and site-level salinity was a positive covariate of survival probability. Imperviousness and salinity were each marginally meaningful on colonization probability. Water temperature was a positive covariate of detection probability in the observation sub-model. Mean estimated detection probability across all sites and seasons of the study was 0.186. The results suggest that development in tidal creek watersheds will impact occupancy dynamics of juvenile blue crabs. This places an emphasis on minimizing losses of natural land cover classes in tidal creek watersheds to reduce the negative impacts to populations of this important species. Future research should explore the relationship between imperviousness and salinity fluctuations in tidal creeks to better understand how changing land cover influences water chemistry and ultimately the demographics of juvenile blue crabs. Full article
Show Figures

Figure 1

13 pages, 1939 KB  
Article
In-Stream Variability of Litter Breakdown and Consequences on Environmental Monitoring
by Gbenga Emmanuel Omoniyi, Benjamin Bergerot, Laura Pellan, Maëva Delmotte, Alain Crave, Joris Heyman and Christophe Piscart
Water 2021, 13(16), 2246; https://doi.org/10.3390/w13162246 - 17 Aug 2021
Cited by 5 | Viewed by 3397
Abstract
Energy derived from leaf litter decomposition fuels food webs in forested streams. However, the natural spatial variability of the decomposition rate of leaf litter and the relative contributions of its drivers are poorly known at the local scale. This study aims to determine [...] Read more.
Energy derived from leaf litter decomposition fuels food webs in forested streams. However, the natural spatial variability of the decomposition rate of leaf litter and the relative contributions of its drivers are poorly known at the local scale. This study aims to determine the natural in-stream variability of leaf litter decomposition rates in successive riffles and to quantify the factors involved in this key ecosystem process at the local scale. Experiments were conducted on six successive riffles in nine streams in north-western France to monitor the decomposition rate in fine (microbial decomposition, kf) and coarse (total decomposition, kc) mesh bags. We recorded 30 ± 2% (mean ± S.E.) variation in kc among riffles and 43 ± 4% among streams. kf variability was 15 ± 1% among riffles and 20 ± 3% among streams. However, in-stream variability was higher than between-stream variability in four of the nine streams. Streambed roughness was negatively related to decomposition and was the most important factor for both total and microbial decomposition. Our study shows that the natural variability of the decomposition rate resulting from the local morphological conditions of habitats could be very important and should be taken into consideration in studies using leaf litter assays as a bio-indicator of anthropogenic impacts in streams. Full article
Show Figures

Figure 1

11 pages, 1289 KB  
Article
Effects of Habitat Restoration on Fish Communities in Urban Streams
by Anna M. Lavelle, Michael A. Chadwick, Daniel D. A. Chadwick, Eleri G. Pritchard and Nicolas R. Bury
Water 2021, 13(16), 2170; https://doi.org/10.3390/w13162170 - 7 Aug 2021
Cited by 12 | Viewed by 5957
Abstract
Geomorphological alterations, hydrological disconnectivity and water pollution are among the dominant pressures affecting ecological integrity in urban streams. River restoration approaches often involve utilising in-stream structures to encourage flow heterogeneity and promote habitat diversity. However, few studies examine the success of such projects. [...] Read more.
Geomorphological alterations, hydrological disconnectivity and water pollution are among the dominant pressures affecting ecological integrity in urban streams. River restoration approaches often involve utilising in-stream structures to encourage flow heterogeneity and promote habitat diversity. However, few studies examine the success of such projects. In this study, fish density, biomass and community structure at paired restored and unrestored reaches across five tributaries of the River Thames were examined. Fish density varied among rivers and reaches but was generally higher at restored sites. Restored sites also exhibited higher overall fish biomass, attributed mainly to the presence of brown trout (Salmo trutta L.) at the River Wandle. Despite higher density and biomass values at restored sites, the community structure analysis did not identify strong links between either river or restoration status using either species-specific density or biomass. Our results highlight that although reach-scale restoration can lead to localised increases in species density and biomass, this may chiefly be due to aggregation owing to preferential habitats created through restoration activities at these sites. Over larger spatial scales, significant improvements to species richness and diversity are likely to be limited due to the poor water quality and disconnected nature of these urban streams. Whilst reach-scale restoration clearly has the potential to provide preferential habitats for fish species, future efforts should focus on improving connectivity for fish across the wider Thames basin network by removing barriers to passage, improving water quality, restoring watershed processes and creating well-connected, diverse habitats which can facilitate the survival of a wide array of fish species throughout their life cycle. Full article
(This article belongs to the Special Issue River Restoration: Monitoring, Appraisal and Management)
Show Figures

Figure 1

17 pages, 750 KB  
Review
Sustainable, Decentralized Sanitation and Reuse with Hybrid Nature-Based Systems
by Andrea G. Capodaglio, Silvia Bolognesi and Daniele Cecconet
Water 2021, 13(11), 1583; https://doi.org/10.3390/w13111583 - 3 Jun 2021
Cited by 41 | Viewed by 6210
Abstract
Nature (ecosystem) based processes for wastewater treatment include constructed wetlands (CWs), waste stabilization ponds, vegetated drainage ditches, buffer zones, instream or bankside river techniques, and mixotrophic systems, where light and CO2 are utilized, in addition to organic carbon compounds, by algal cultures. [...] Read more.
Nature (ecosystem) based processes for wastewater treatment include constructed wetlands (CWs), waste stabilization ponds, vegetated drainage ditches, buffer zones, instream or bankside river techniques, and mixotrophic systems, where light and CO2 are utilized, in addition to organic carbon compounds, by algal cultures. Algae-based systems can simultaneously remove organic matter, N, and P and may offer substantial energetic advantages compared to traditional biological treatment systems, require small spatial footprint, and contribute to biofuels production and CO2 emissions mitigation. Bioelectrochemical systems (BES) such as microbial fuel cells (MFCs) present characteristics compatible with the use in isolated realities for water and wastewater treatment with contextual energy recovery and may be combined with other nature-based process technologies to achieve good treatment and energy efficiencies. Despite that their application in real-scale plants has not been assessed yet, the most probable outcome will be the in situ/on site treatment (or pretreatment) of wastes for small “in house” plants not connected to the sewerage network. This paper focuses on the current practices and perspectives of hybrid nature-based systems, such as constructed wetlands and microalgae integrated phytoremediation plants, and their possible integration with microbial electrochemical technologies to increase recovery possibilities from wastes and positively contribute to a green economy approach. Full article
Show Figures

Graphical abstract

15 pages, 3389 KB  
Article
Design and Preliminary Testing of an In-Field Passive Treatment System for Removing Phosphorus from Surface Water
by George Carleton, Jessica Glowczewski and Teresa J. Cutright
Appl. Sci. 2021, 11(9), 3743; https://doi.org/10.3390/app11093743 - 21 Apr 2021
Cited by 3 | Viewed by 2304
Abstract
It is well documented that excess phosphorus in source waters is a major contributor to harmful algal bloom formation. While there are many approaches to controlling algal populations in reservoirs, including a variety of phosphorus reduction approaches (e.g., sequestration of legacy phosphorus with [...] Read more.
It is well documented that excess phosphorus in source waters is a major contributor to harmful algal bloom formation. While there are many approaches to controlling algal populations in reservoirs, including a variety of phosphorus reduction approaches (e.g., sequestration of legacy phosphorus with alum or clay products), addressing physical phosphorus loading upstream is considered less often. Water treatment residuals (WTR) containing alum, a common waste product of conventional surface water treatment, have been shown to retain the ability to capture phosphorus even after the WTR ‘sludge’ is formed and removed from the sedimentation process. This research designed and tested a refillable, reusable in-stream phosphorus cartridge system which beneficially reutilizes WTR ‘sludge’ to sequester instream phosphorus and remove it from the water when spent media is replaced. This reduces in-stream phosphorus entering into the reservoir without permanently adding additional materials to the waterbody and provides measurable results as to the amount of phosphorus removed. The ten sampling events during the first year’s field assessment indicated that the gates removed a total of 556.31 g of reactive phosphorus (PO43−) and it is anticipated that the actual phosphorous removal was even greater. Other watershed managers can implement the same approach using their own WTR to capture in-stream phosphorus. Full article
(This article belongs to the Special Issue Pollution Control Chemistry)
Show Figures

Figure 1

Back to TopTop