Effects of Habitat Restoration on Fish Communities in Urban Streams
Abstract
:1. Introduction
2. Materials and Methods
2.1. Sampling Area Description
2.2. Field Surveys
2.3. Data Analysis
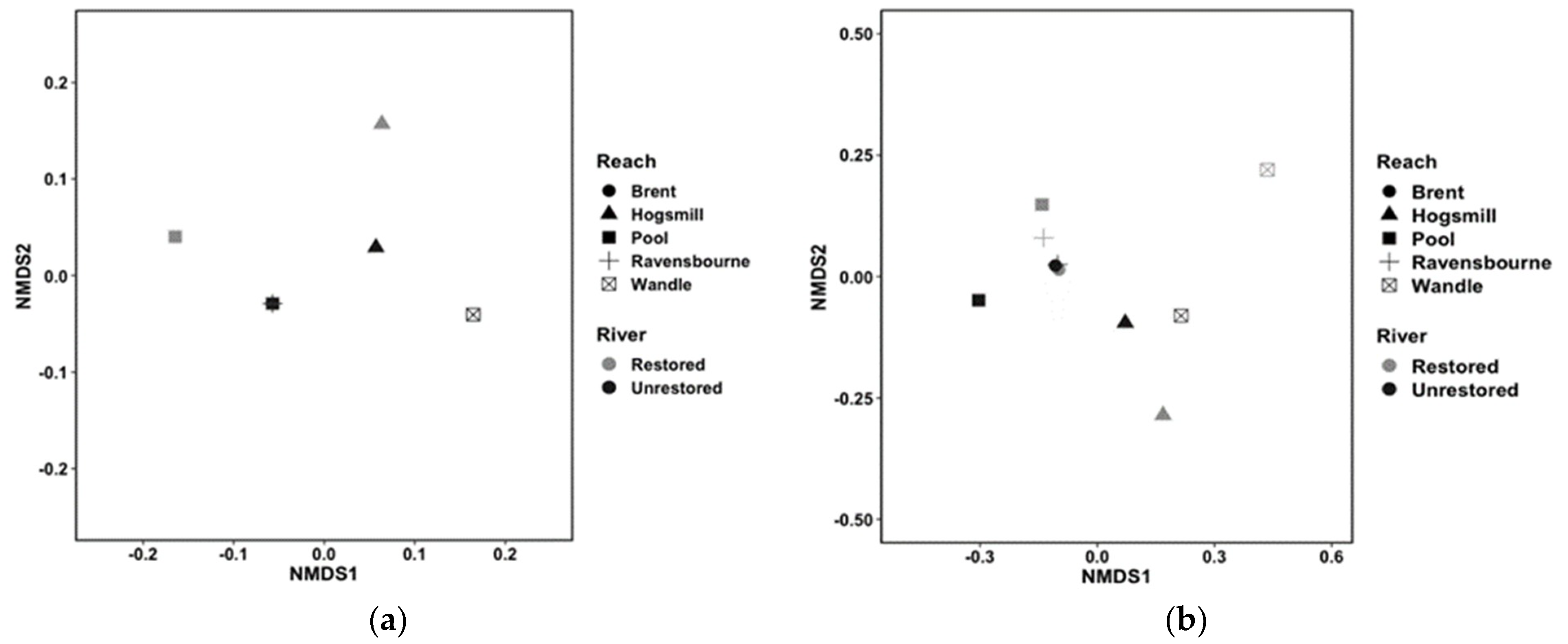
3. Results
3.1. Fish Density and Biomass
3.2. Community Structure
4. Discussion
Supplementary Materials
Author Contributions
Funding
Institutional Review Board Statement
Informed Consent Statement
Data Availability Statement
Acknowledgments
Conflicts of Interest
References
- Helms, B.S.; Feminella, J.W.; Pan, S. Detection of biotic responses to urbanization using fish assemblages from small streams of western Georgia, USA. Urban Ecosyst. 2005, 8, 39–57. [Google Scholar] [CrossRef]
- Utz, R.M.; Hilderbrand, R.H.; Raesly, R.L. Regional differences in patterns of fish species loss with changing land use. Biol. Conserv. 2010, 143, 688–699. [Google Scholar] [CrossRef]
- Czeglédi, I.; Kern, B.; Tóth, R.; Seress, G.; Erős, T. Impacts of Urbanization on Stream Fish Assemblages: The Role of the Species Pool and the Local Environment. Environ. Front. Ecol. Evol. 2020, 8, 137. [Google Scholar] [CrossRef]
- Walsh, C.J.; Roy, A.H.; Feminella, J.W.; Cottingham, P.D.; Groffman, P.M.; Morgan, R.P. The urban stream syndrome: Current knowledge and the search for a cure. J. N. Am. Benthol. Soc. 2005, 24, 706–723. [Google Scholar] [CrossRef]
- Wenger, S.J.; Roy, A.H.; Jackson, C.R.; Bernhardt, E.S.; Carter, T.L.; Filoso, S.; Gibson, C.A.; Hession, W.C.; Kaushal, S.S.; Martí, E.; et al. Twenty-six key research questions in urban stream ecology: An assessment of the state of the science. J. N. Am. Benthol. Soc. 2009, 28, 1080–1098. [Google Scholar] [CrossRef] [Green Version]
- Booth, D.B.; Roy, A.H.; Smith, B.; Capps, K.A. Global perspectives on the urban stream syndrome. Freshw. Sci. 2016, 35, 412–420. [Google Scholar] [CrossRef] [Green Version]
- Rieck, L.O.; Sullivan, S.M.P. Coupled fish-hydrogeomorphic responses to urbanization in streams of Columbus, Ohio, USA. PLoS ONE 2020, 15, e0234303. [Google Scholar] [CrossRef]
- Carter, M.; England, J. Freshwater fish in London’s rivers. Lond. Nat. 2004, 83, 77–85. [Google Scholar]
- Schoonover, J.; Lockaby, B.G.; Pan, S. Changes in chemical and physical properties of stream water across an urban—rural gradient in western Georgia. Urban Ecosyst. 2005, 8, 107–124. [Google Scholar] [CrossRef]
- Kim, J.J.; Atique, U.; An, K.G. Long-term ecological health assessment of a restored urban stream based on chemical water quality, physical habitat conditions and biological integrity. Water 2019, 11, 114. [Google Scholar] [CrossRef] [Green Version]
- Pecorelli, J.P.; Macphie, K.H.; Hebditch, C.; Clifton-Dey, D.R.J.; Thornhill, I.; Debney, A.J. Using citizen science to improve the conservation of the European Eel in the Thames River Basin District. Freshw. Sci. 2019, 38, 281–291. [Google Scholar] [CrossRef] [Green Version]
- Favaro, C.; Moore, J.W.; Reynolds, J.D.; Beakes, M.P. Potential loss and rehabilitation of stream longitudinal connectivity: Fish populations in urban streams with culverts. Can. J. Fish. Aquat. Sci. 2014, 71, 1805–1816. [Google Scholar] [CrossRef]
- Palmer, M.A.; Allan, J.D.; Meyer, J.L.; Bernhardt, E.S. River restoration in the twenty-first century: Data and experiential future efforts. Restor. Ecol. 2007, 15, 472–481. [Google Scholar] [CrossRef] [Green Version]
- Wohl, E.; Lane, S.N.; Wilcox, A.C. The science and practice of river restoration. Water Resour. Res. 2015, 51, 5974–5997. [Google Scholar] [CrossRef] [Green Version]
- Roni, P. Does river restoration increase fish abundance and survival or concentrate fish? The effects of project scale, location, and fish life history. Fisheries 2019, 44, 7–19. [Google Scholar] [CrossRef] [Green Version]
- Hohensinner, S.; Hauer, C.; Muhar, S. River morphology, channelization, and habitat restoration. In Riverine Ecosystem Management; Schmutz, S., Sendzimir, J., Eds.; Springer: Cham, Switzerland, 2018; Volume 8, pp. 41–65. [Google Scholar] [CrossRef] [Green Version]
- Hughes, F.M.R.; Colston, A.; Mountford, J.O. Restoring Riparian Ecosystems: The Challenge of Accommodating Variability and Designing Restoration Trajectories. Ecol. Soc. 2005, 10, 12. [Google Scholar] [CrossRef] [Green Version]
- Palmer, M.A.; Ambrose, R.F.; Poff, N.L. Ecological theory and community restoration ecology. Restor. Ecol. 1997, 5, 291–300. [Google Scholar] [CrossRef] [Green Version]
- Grabowski, R.C.; Gurnell, A.M.; Burgess-Gamble, L.; England, J.; Holland, D.; Klaar, M.J.; Morrissey, I.; Uttley, C.; Wharton, G. The current state of the use of large wood in river restoration and management. Water Environ. J. 2019, 33, 366–377. [Google Scholar] [CrossRef]
- Kondolf, G.M. River restoration and meanders. J. Ecol. Soc. 2006, 11, 42. [Google Scholar] [CrossRef]
- Staentzel, C.; Kondolf, G.M.; Schmitt, L.; Combroux, I.; Barillier, A.; Beisel, J. Restoring fluvial forms and processes by gravel augmentation or bank erosion below dams: A systematic review of ecological responses. Sci. Total. Environ. 2020, 706, 135743. [Google Scholar] [CrossRef]
- Bukaveckas, P.A. Effects of channel restoration on water velocity, transient storage, and nutrient uptake in a channelized stream. Environ. Sci. Technol. 2007, 41, 1570–1576. [Google Scholar] [CrossRef] [PubMed]
- Pander, J.; Mueller, M.; Geist, J.A. Comparison of Four Stream Substratum Restoration Techniques Concerning Interstitial Conditions and Downstream Effects. River Res. Appl. 2014, 31, 239–255. [Google Scholar] [CrossRef]
- Birnie-Gauvin, K.; Candee, M.M.; Baktoft, H.; Larsen, M.H.; Koed, A.; Aarestrup, K. River connectivity reestablished: Effects and implications of six weir removals on brown trout smolt migration. River Restor. Appl. 2018, 34, 548–554. [Google Scholar] [CrossRef]
- Pini Prato, E.; Comoglio, C.; Calles, O. A simple management tool for planning the restoration of river longitudinal connectivity at watershed level: Priority indices for fish passes. J. Appl. Ichthyol. 2011, 27, 73–79. [Google Scholar] [CrossRef]
- Wang, Y.; Wai, O.W.; Chen, Q. Experimental and Numerical Studies on Deflector Configuration in Straight Flood Channel for Heterogeneous Flow Enhancement and Fish Habitat Improvements. Ecol. Eng. 2020, 156, 105964. [Google Scholar] [CrossRef]
- Marttila, M.; Louhi, P.; Huusko, A.; Vehanen, T.; Mäki-Petäys, A.; Erkinaro, J.; Syrjänen, J.; Muotka, T. Synthesis of habitat restoration impacts on young-of-the-year salmonids in boreal rivers. Rev. Fish Biol. Fish. 2019, 513–527. [Google Scholar] [CrossRef] [Green Version]
- Roni, P.; Hanson, K.; Beechie, T. Global review of the physical and biological effectiveness of stream habitat rehabilitation techniques. N. Am. J. Fish. Manag. 2008, 28, 856–890. [Google Scholar] [CrossRef]
- Stewart, G.B.; Bayliss, H.R.; Showler, D.A.; Sutherland, W.J.; Pullin, A.S. Effectiveness of engineered in-stream structure mitigation measures to increase salmonid abundance: A systematic review. Ecol. Appl. 2009, 19, 931–941. [Google Scholar] [CrossRef] [PubMed]
- Whiteway, S.L.; Biron, P.M.; Zimmermann, A.; Venter, O.; Grant, J.W.A. Do in-stream restoration structures enhance salmonid abundance? A meta-analysis. Can. J. Fish. Aquat. Sci. 2010, 67, 831–841. [Google Scholar] [CrossRef] [Green Version]
- Lorenz, A.W.; Stoll, S.; Sundermann, A.; Haase, P. Do adult and YOY fish benefit from river restoration measures? Ecol. Eng. 2013, 61, 174–181. [Google Scholar] [CrossRef]
- Thompson, M.S.; Brooks, S.J.; Sayer, C.D.; Woodward, G.; Axmacher, J.C.; Perkins, D.M.; Gray, C. Large woody debris “rewilding” rapidly restores biodiversity in riverine food webs. J. Appl. Ecol. 2018, 55, 895–904. [Google Scholar] [CrossRef] [Green Version]
- Richer, E.E.; Gates, E.A.; Kondratieff, M.C.; Herdrich, A.T. Modelling changes in trout habitat following stream restoration. River Restor. Appl. 2019, 35, 680–691. [Google Scholar] [CrossRef] [Green Version]
- Pretty, J.L.; Harrison, S.S.C.; Shepherd, D.J.; Smith, C.; Hildrew, A.G.; Hey, R.D. River rehabilitation and fish populations: Assessing the benefit of instream structures. J. Appl. Ecol. 2003, 40, 251–265. [Google Scholar] [CrossRef]
- Palmer, M.; Menninger, H.L.; Bernhardt, E. River restoration, habitat heterogeneity and biodiversity: A failure of theory or practice? Freshw. Biol. 2010, 55, 205–222. [Google Scholar] [CrossRef]
- Roni, P.; Hanson, K.; Beechie, T.J.; Pess, G.R.; Pollock, M.M.; Bartley, D.M. Habitat rehabilitation for inland fisheries. In Global Review of Effectiveness and Guidance for Rehabilitation of Freshwater Ecosystems; No. 484; FAO: Rome, Italy, 2005. [Google Scholar]
- Speed, R.; Li, Y.; Tickner, D.; Huang, H.; Naiman, R.; Cao, J.; Lei, G.; Yu, L.; Sayers, P.; Zhao, Z.; et al. River Restoration: A Strategic Approach to Planning and Management; UNESCO: Paris, UK, 2016. [Google Scholar]
- River Restoration Centre. UK Projects Map. Available online: https://www.therrc.co.uk/uk-projects-map (accessed on 1 May 2021).
- Smith, B.; Chadwick, M.A. Litter decomposition in highly urbanized rivers: Influence of restoration on ecosystem function. Fundam. Appl. Limnol. 2014, 185, 7–18. [Google Scholar] [CrossRef]
- Maitland, P.S. Keys to the Freshwater Fish of Britain and Ireland, with Notes on Their Distribution and Ecology; Freshwater Biological Association (FBA): Ambleside, UK, 2004. [Google Scholar]
- Lavelle, A.M.; Bury, N.R.; O’Shea, F.T.; Chadwick, M.A. Influence of urban river restoration on nitrogen dynamics at the sediment-water interface. PLoS ONE 2019, 14, e0212690. [Google Scholar] [CrossRef]
- Lavelle, A. Stream Ecosystem Responses to Restoration Across Urban Tributaries of the River Thames, London. Ph.D Thesis, Kings’ College London, London, UK, 2019. [Google Scholar]
- Carle, F.L.; Strub, M.R. A new method for estimating population size from removal data. Biometrics 1978, 34, 621–630. [Google Scholar] [CrossRef]
- Ogle, D.H. Introductory Fisheries Analyses with R; Chapman & Hall/ CRC: Boca Raton, FL, USA, 2016. [Google Scholar]
- Wickham, H. ggplot2: Elegant Graphics for Data Analysis; Springer: New York, NY, USA, 2016. [Google Scholar]
- Oksanen, J.; Blanchet, F.G.; Friendly, M.; Kindt, R.; Legendre, P.; McGlinn, D.; Minchin, P.R.; O’Hara, R.B.; Simpson, G.L.; Solymos, P.; et al. Vegan Community Ecology Package Version 2.5-7; R Development Core Team: Vienna, Austria, 2020. [Google Scholar]
- Pike, T.; Bedford, C.; Davies, B.; Brown, D. A catchment Plan for the River Wandle. Wandle River Trust. 2014. Available online: https://www.wandletrust.org/wp-content/uploads/2014/12/Wandle_Catchment_Plan_-_Sept_2014_-_full_document.pdf (accessed on 1 May 2021).
- O’Brien, J. An Angler’s Guide to the River Wandle; STR Design & Print Limited: Carshalton, UK, 2018. [Google Scholar]
- Freyhof, J. Cottus gobio (Errata Version Published in 2016). The IUCN Red List of Threatened Species 2011: e.T5445A97802083. Available online: https://www.iucnredlist.org/species/5445/97802083 (accessed on 1 August 2021).
- Directive, H. Council Directive 92/43/EEC of 21 May 1992 on the conservation of natural habitats and of wild fauna and flora. Off. J. Eur. Union 1992, 206, 7–50. [Google Scholar]
- Florsheim, J.L.; Mount, J.F.; Chin, A. Bank erosion as a desirable attribute of rivers. Bioscience 2008, 58, 519–529. [Google Scholar] [CrossRef]
- Williams, R.D.; Bangen, S.; Gillies, E.; Kramer, N.; Moir, H.; Wheaton, J. Let the river erode! Enabling lateral migration increases geomorphic unit diversity. Sci. Total. Environ. 2021, 715, 136817. [Google Scholar] [CrossRef]
- Elliott, A.A. comparison of thermal polygons for British freshwater teleosts. Freshw. Forum 2010, 5, 3. [Google Scholar]
- Elliott, J.M.; Elliott, J.A. The critical thermal limits for the bullhead, Cottus gobio, from three populations in north-west England. Freshw. Biol. 1995, 33, 411–418. [Google Scholar] [CrossRef]
- Coop, G.H.; Warrington, S.; De Bruine, Q. Comparison of diet in bullhead, Cottus gobio and stone loach, Barbatula barbatula in a small English lowland river. Folia Zool. 1994, 43, 171–176. [Google Scholar]
- Angelopoulos, N.V.; Cowx, I.G.; Buijse, A.D. Integrated planning framework for successful river restoration projects: Upscaling lessons learnt from European case studies. Environ. Sci. Policy 2007, 76, 12–22. [Google Scholar] [CrossRef]
- Rosgen, D. Natural Channel Design for River Restoration. Encycl. Water: Sci. Technol. Soc. 2019, 1–13. [Google Scholar] [CrossRef]
- Gurnell, A.; Lee, M.; Souch, C. Urban rivers: Hydrology, geomorphology, ecology and opportunities for change. Geogr. Compass 2007, 1, 1118–1137. [Google Scholar] [CrossRef]
- Beechie, T.J.; Sear, D.A.; Olden, J.D.; Pess, G.R.; Buffington, J.M.; Moir, H.; Roni, P.; Pollock, M.M. Process-based principles for restoring river ecosystems. Bioscience 2010, 60, 209–222. [Google Scholar] [CrossRef] [Green Version]
- Kuemmerlen, M.; Reichert, P.; Siber, R.; Schuwirth, N. Ecological assessment of river networks: From reach to catchment scale. Sci. Total. Environ. 2019, 650, 1613–1627. [Google Scholar] [CrossRef]
- Kail, J.; Hering, D. The influence of adjacent stream reaches on the local ecological status of central European mountain streams. River Res. Appl. 2009, 25, 537–550. [Google Scholar] [CrossRef]
- REFORM: Restoring Rivers for Effective Catchment Management. Available online: reformrivers.eu (accessed on 1 July 2021).
- Szałkiewicz, E.; Jusik, S.; Grygoruk, M. Status of and Perspectives on River Restoration in Europe: 310,000 Euros per Hectare of Restored River. Sustainability 2018, 10, 129. [Google Scholar] [CrossRef] [Green Version]
- Feld, C.K.; Birk, S.; Bradley, D.C.; Hering, D.; Kail, J.; Marzin, A.; Melcher, A.; Nemitz, D.; Pedersen, M.L.; Pletterbauer, F.; et al. From natural to degraded rivers and back again: A test of restoration ecology theory and practice. Adv. Ecol. Res. 2011, 44, 119–209. [Google Scholar] [CrossRef]
- Conner, M.M.; Saunders, W.C.; Bouwes, N.; Jordan, C. Evaluating impacts using a BACI design, ratios, and a Bayesian approach with a focus on restoration. Environ. Monit. Assess 2016, 188, 1–14. [Google Scholar] [CrossRef] [PubMed] [Green Version]
- Al-Zankana, A.F.A.; Matheson, T.; Harper, D.M. How strong is the evidence–based on macroinvertebrate community responses–that river restoration works? Ecohydrol. Hydrobiol. 2020, 20, 196–214. [Google Scholar] [CrossRef]
- Morandi, B.; Piégay, H.; Lamouroux, N.; Vaudor, L. How is success or failure in river restoration projects evaluated? Feedback from French restoration projects. J. Environ. Manag. 2014, 137, 178–188. [Google Scholar] [CrossRef] [PubMed]





| River | Site | Restored Upstream Location | Unrestored Upstream Location | Year Completed | Length (Km) | % Urban Catchment Cover | Urban Pressures | Restoration |
|---|---|---|---|---|---|---|---|---|
| Brent | Tokyngton Park | 51°32′50.6″ N 0°16′15.8″ W | 51°32′54.8″ N 0°16′09.5″ W | 2003 | 28.8 | 69 | Impoundments and habitat degradation | Recycling of concrete to restabilise banks, remeandering and creation of backwaters |
| Hogsmill | Green Lane | 51°21′22.7″ N 0°15′27.9″ W | 51°21′28.4″ N 0°15′41.1″ W | 2014 | 9.9 | 39 | Fish pass obstructions, weirs and sewage | Weir removals, creation of pools and riffles, channel narrowing |
| Pool | Bell Green | 51°26′16.6″ N 0°01′38.1″ W | 51°26′21.5″ N 0°01′35.3″ W | 2012 | 5.1 | 57 | Culverting, vegetation loss | Berms and redirecting flows |
| Ravensbourne | Ladywell Fields | 51°27′05.3″ N 0°01′25.4″ W | 51°27′10.5″ N 0°01′11.9″ W | 2008 | 17.4 | 51 | Channelisation and culverting | Remeandering through park |
| Wandle | Carshalton | 51°22′11.1″ N 0°09′37.2″ W | 51°22′04.7″ N 0°09′44.3″ W | 2015 | 14.0 | 47 | Impoundment, weirs, low flow and oxygen levels | Lowering of weirs and improved fish passage |
| River | Reach | Wetted Width (m) | Depth (m) | Velocity (m s−1) |
|---|---|---|---|---|
| Brent | Restored | 6.19 d (0.74) | 0.28 a,e (0.05) | 0.18 a (0.03) |
| Unrestored | 6.03 d (0.60) | 0.21 a,e (0.02) | 0.37 a (0.03) | |
| Hogsmill | Restored | 4.11 c (0.11) | 0.06 b (0.01) | 0.38 a (0.04) |
| Unrestored | 3.30 c (0.06) | 0.25 b (0.05) | 0.12 a (0.02) | |
| Pool | Restored | 6.12 a,d (0.24) | 0.18 d (0.02) | 0.14 b (0.01) |
| Unrestored | 6.82 a,d (0.05) | 0.40 d (0.02) | 0.08 b (0.0003) | |
| Ravensbourne | Restored | 6.70 a (0.22) | 0.26 a (0.02) | 0.17 c (0.02) |
| Unrestored | 6.88 a (0.22) | 0.33 a (0.03) | 0.23 c (0.01) | |
| Wandle | Restored | 2.90 b (0.16) | 0.22 c,e,b (0.02) | 0.29 d,c (0.04) |
| Unrestored | 3.74 b (0.13) | 0.16 c,e,b (0.01) | 0.24 d,c (0.03) |
| River | Reach | Estimated Catch (Ind./m2) | Bullhead | Dace | Eel | Minnow | Perch | Roach | Stickleback | Stone Loach | Brown Trout |
|---|---|---|---|---|---|---|---|---|---|---|---|
| Brent | Restored | 0.09 | 0.00 | 0.00 | 0.01 | 0.00 | 0.00 | 0.00 | 0.08 | 0.00 | 0.00 |
| Unrestored | 0.52 | 0.00 | 0.00 | 0.12 | 0.00 | 0.00 | 0.00 | 0.39 | 0.00 | 0.00 | |
| Hogsmill | Restored | 5.61 | 3.27 | 0.00 | 0.00 | 2.17 | 0.00 | 0.00 | 0.16 | 0.00 | 0.00 |
| Unrestored | 2.41 | 2.23 | 0.00 | 0.00 | 0.11 | 0.00 | 0.00 | 0.00 | 0.00 | 0.00 | |
| Pool | Restored | 1.37 | 0.00 | 0.00 | 0.01 | 0.00 | 0.00 | 0.00 | 0.69 | 0.72 | 0.00 |
| Unrestored | 0.57 | 0.00 | 0.23 | 0.00 | 0.00 | 0.01 | 0.01 | 0.22 | 0.08 | 0.00 | |
| Ravensbourne | Restored | 0.46 | 0.00 | 0.04 | 0.02 | 0.00 | 0.00 | 0.00 | 0.19 | 0.00 | 0.00 |
| Unrestored | 0.24 | 0.00 | 0.00 | 0.00 | 0.00 | 0.00 | 0.00 | 0.14 | 0.10 | 0.00 | |
| Wandle | Restored | 6.32 | 6.30 | 0.00 | 0.00 | 0.00 | 0.00 | 0.00 | 0.03 | 0.00 | 0.17 |
| Unrestored | 4.74 | 4.44 | 0.00 | 0.00 | 0.00 | 0.00 | 0.00 | 0.14 | 0.00 | 0.01 |
| River | Reach | Total Biomass (g/m2) | Bullhead | Dace | Eel | Minnow | Perch | Roach | Stickleback | Stone Loach | Brown Trout |
|---|---|---|---|---|---|---|---|---|---|---|---|
| Brent | Restored | 0.17 | 0.00 | 0.00 | 0.01 | 0.00 | 0.00 | 0.00 | 0.16 | 0.00 | 0.00 |
| Unrestored | 1.48 | 0.00 | 0.00 | 1.02 | 0.00 | 0.00 | 0.00 | 0.46 | 0.00 | 0.00 | |
| Hogsmill | Restored | 13.52 | 6.17 | 0.00 | 0.00 | 7.27 | 0.00 | 0.00 | 0.08 | 0.00 | 0.00 |
| Unrestored | 5.16 | 4.87 | 0.00 | 0.00 | 0.29 | 0.00 | 0.00 | 0.00 | 0.00 | 0.00 | |
| Pool | Restored | 3.48 | 0.00 | 0.00 | 0.38 | 0.00 | 0.00 | 0.00 | 0.41 | 2.69 | 0.00 |
| Unrestored | 6.67 | 0.00 | 5.86 | 0.00 | 0.00 | 0.18 | 0.01 | 0.09 | 0.53 | 0.00 | |
| Ravensbourne | Restored | 2.29 | 0.00 | 0.57 | 0.73 | 0.00 | 0.00 | 0.00 | 0.17 | 0.82 | 0.00 |
| Unrestored | 0.42 | 0.00 | 0.00 | 0.00 | 0.00 | 0.00 | 0.00 | 0.12 | 0.31 | 0.00 | |
| Wandle | Restored | 37.71 | 7.93 | 0.00 | 0.00 | 0.00 | 0.00 | 0.00 | 0.06 | 0.00 | 29.72 |
| Unrestored | 11.78 | 10.66 | 0.00 | 0.00 | 0.00 | 0.00 | 0.00 | 0.26 | 0.00 | 0.86 |
Publisher’s Note: MDPI stays neutral with regard to jurisdictional claims in published maps and institutional affiliations. |
© 2021 by the authors. Licensee MDPI, Basel, Switzerland. This article is an open access article distributed under the terms and conditions of the Creative Commons Attribution (CC BY) license (https://creativecommons.org/licenses/by/4.0/).
Share and Cite
Lavelle, A.M.; Chadwick, M.A.; Chadwick, D.D.A.; Pritchard, E.G.; Bury, N.R. Effects of Habitat Restoration on Fish Communities in Urban Streams. Water 2021, 13, 2170. https://doi.org/10.3390/w13162170
Lavelle AM, Chadwick MA, Chadwick DDA, Pritchard EG, Bury NR. Effects of Habitat Restoration on Fish Communities in Urban Streams. Water. 2021; 13(16):2170. https://doi.org/10.3390/w13162170
Chicago/Turabian StyleLavelle, Anna M., Michael A. Chadwick, Daniel D. A. Chadwick, Eleri G. Pritchard, and Nicolas R. Bury. 2021. "Effects of Habitat Restoration on Fish Communities in Urban Streams" Water 13, no. 16: 2170. https://doi.org/10.3390/w13162170
APA StyleLavelle, A. M., Chadwick, M. A., Chadwick, D. D. A., Pritchard, E. G., & Bury, N. R. (2021). Effects of Habitat Restoration on Fish Communities in Urban Streams. Water, 13(16), 2170. https://doi.org/10.3390/w13162170
