Sign in to use this feature.

Years

Between: -

Subjects

remove_circle_outline
remove_circle_outline
remove_circle_outline
remove_circle_outline
remove_circle_outline
remove_circle_outline
remove_circle_outline

Journals

remove_circle_outline
remove_circle_outline
remove_circle_outline
remove_circle_outline
remove_circle_outline
remove_circle_outline
remove_circle_outline
remove_circle_outline
remove_circle_outline
remove_circle_outline
remove_circle_outline
remove_circle_outline
remove_circle_outline
remove_circle_outline

Article Types

Countries / Regions

remove_circle_outline
remove_circle_outline
remove_circle_outline
remove_circle_outline
remove_circle_outline

Search Results (1,741)

Search Parameters:
Keywords = immune checkpoints inhibitors (ICIs)

Order results
Result details
Results per page
Select all
Export citation of selected articles as:
16 pages, 1588 KB  
Article
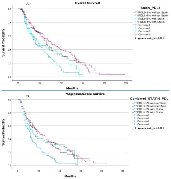
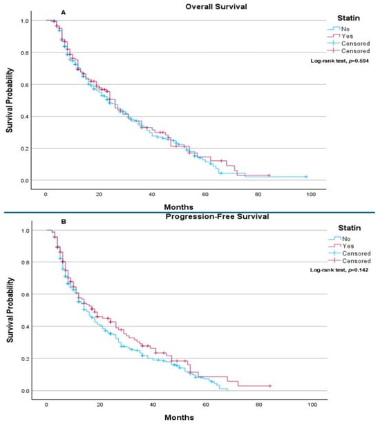
Impact of Statin Use on Immunotherapy Outcomes and Efficacy in Non-Small Cell Lung Cancer Patients
by Alexander Yakobson, Abed Agbarya, Yulia Dudnik, Itamar Gothelf, Asmah Miari, Ronen Brenner, Ashraf Abu Jama, Nashat Abu Yasin, Abd El Nazer Dabah, Amichay Meirovitz, Natalie Maimon Rabinovich and Walid Shalata
Int. J. Mol. Sci. 2026, 27(3), 1541; https://doi.org/10.3390/ijms27031541 - 4 Feb 2026
Abstract
Immune checkpoint inhibitors (ICIs) have improved outcomes in advanced non-small cell lung cancer (NSCLC). The influence of statin use, chemotherapy, PD-L1 expression, and sex on immunotherapy outcomes remains incompletely defined in real-world settings. We performed a multicenter retrospective analysis of patients with advanced [...] Read more.
Immune checkpoint inhibitors (ICIs) have improved outcomes in advanced non-small cell lung cancer (NSCLC). The influence of statin use, chemotherapy, PD-L1 expression, and sex on immunotherapy outcomes remains incompletely defined in real-world settings. We performed a multicenter retrospective analysis of patients with advanced NSCLC treated with immunotherapy-based regimens. Patients were stratified by statin exposure, chemotherapy use, PD-L1 expression (<1% vs. ≥1%), and sex. Overall survival (OS) and progression-free survival (PFS) were analyzed using Kaplan–Meier estimates and log-rank tests. Statin use was not associated with a significant OS benefit, while a numerical improvement in PFS was observed in selected subgroups. Among immunotherapy-treated patients, OS did not differ significantly by chemotherapy or statin use (median range, 19–27 months), whereas PFS differed significantly, with the longest PFS observed in patients receiving immunotherapy plus statins (26 months; p = 0.046). PD-L1 expression was the strongest determinant of outcomes, with PD-L1 ≥ 1% tumors demonstrating markedly longer OS and PFS compared with PD-L1 < 1% disease (OS up to 31 vs. 16 months; PFS up to 21 vs. 12 months; p < 0.001). No significant differences in OS or PFS were observed by sex or statin exposure (OS, 23–27 months; PFS, 14–19 months). In this real-world cohort, PD-L1 expression remained the primary predictor of survival outcomes following immunotherapy. Statin use was associated with modest PFS improvements but no consistent OS benefit, while sex did not significantly influence outcomes. These findings support continued reliance on established biomarkers and warrant prospective evaluation of statins as potential adjuncts to immunotherapy. Full article
(This article belongs to the Special Issue Advances in Targeted Therapy and Immunotherapy for Lung Cancer)
Show Figures

Figure 1

27 pages, 5475 KB  
Review
Lynch Syndrome as a Spectrum of Four Distinct Genetic Disorders: Toward Genotype-Guided Precision Management in the NGS Era
by Yuanyuan Liu, Shengwei Ye, Zhen Liu, Zhen Chen and Xinjun Liang
Cancers 2026, 18(3), 506; https://doi.org/10.3390/cancers18030506 - 3 Feb 2026
Abstract
Background/Objectives: Lynch syndrome (LS), is traditionally managed uniformly despite being caused by pathogenic variants in four distinct mismatch repair (MMR) genes (MLH1, MSH2, MSH6, and PMS2). This approach fails to leverage gene-specific characteristics for precision healthcare delivery. This [...] Read more.
Background/Objectives: Lynch syndrome (LS), is traditionally managed uniformly despite being caused by pathogenic variants in four distinct mismatch repair (MMR) genes (MLH1, MSH2, MSH6, and PMS2). This approach fails to leverage gene-specific characteristics for precision healthcare delivery. This review redefines LS as four distinct genetic syndromes and establishes a genotype-guided precision management framework to optimize risk stratification, surveillance, and therapeutic interventions. Methods: We synthesized molecular, clinical, and outcomes data from the Prospective Lynch Syndrome Database (8500+ carriers; 70,000 person-years), genomic studies characterizing gene-specific mutational patterns, and immunotherapy trials while referencing international guidelines [National Comprehensive Cancer Network (NCCN), European Hereditary Tumour Group (EHTG)/European Society of Coloproctology (ESCP), and European Society for Medical Oncology (ESMO)] to formulate genotype-stratified recommendations. Results: Fundamental molecular differences necessitate differentiated management strategies. MLH1 deficiency exhibits unique “two-in-one hit” mechanisms driving aggressive tumorigenesis with high interval cancer rates. MSH2 deficiency presents the highest tumor mutational burden (≈47 mutations per megabase; Mut/Mb) and broadest cancer spectrum. MSH6 deficiency displays distinctive high-single-nucleotide variant (SNV)/low-insertion–deletion (Indel) patterns often presenting as microsatellite instability-low (MSI-low) or microsatellite stable (MSS), complicating conventional detection. PMS2 deficiency demonstrates substantial attenuation due to redundancy. These translate into precision interventions: MLH1/MSH2 carriers require colonoscopy from age 25 at 1–2-year intervals with extended colectomy preferred, while MSH6/PMS2 carriers can defer surveillance to age 35–40 with longer intervals and undergo segmental resection. Immune checkpoint inhibitors (ICIs) are effective in deficient MMR (dMMR)/microsatellite instability-high (MSI-H) tumors across all four MMR genotypes. Conclusions: Genotype-specific precision management optimizes the benefit–burden balance, enhances early cancer detection, reduces overtreatment, and enables personalized genetic counseling, advancing precision healthcare for LS families and addressing critical gaps in hereditary cancer care. Full article
Show Figures

Figure 1

16 pages, 8622 KB  
Review
Advancing Immunotherapy in Cervical Cancer: Biological Rationale, Clinical Evidence, and Biomarker Standardization
by Sofia Carralas Antunes, Joana Nogueira, Daniel Gomes Pinto and Leda Viegas de Carvalho
Onco 2026, 6(1), 9; https://doi.org/10.3390/onco6010009 - 2 Feb 2026
Viewed by 38
Abstract
Cervical cancer is strongly associated with persistent infection by high-risk human papillomavirus (HPV). Recent advances in immunotherapy have redefined the therapeutic landscape of this disease. We aim to review the biological rationale, clinical evidence, and biomarker standardization supporting the use of immune checkpoint [...] Read more.
Cervical cancer is strongly associated with persistent infection by high-risk human papillomavirus (HPV). Recent advances in immunotherapy have redefined the therapeutic landscape of this disease. We aim to review the biological rationale, clinical evidence, and biomarker standardization supporting the use of immune checkpoint inhibitors (ICIs) in cervical cancer. A comprehensive review of recent literature and pivotal phase II–III clinical trials was performed, focusing on the PD-1/PD-L1 and CTLA-4 pathways, mechanisms of immune evasion, and predictive biomarkers. Persistent HPV infection leads to immune dysregulation and PD-L1 upregulation through E6/E7-mediated activation of the PI3K/AKT/mTOR and JAK/STAT pathways. ICIs have demonstrated significant improvements in overall survival, progression-free survival, and objective response rates in advanced and recurrent disease. PD-L1 immunohistochemistry using standardized assays such as 22C3 pharmDx and SP263 remains the key biomarker for treatment selection, while emerging molecular markers (TMB, MSI, HLA-I expression) are under investigation. Immunotherapy represents a major step forward in cervical cancer management, integrating molecular diagnostics and immune modulation into clinical practice. Continued efforts to refine biomarkers, optimize combination strategies, and expand global access will be essential to achieve equitable outcomes and disease elimination goals. Full article
Show Figures

Figure 1

20 pages, 2676 KB  
Article
Antitumor Effects of PD-1 Blockade Combined with Mild Hyperthermia in a Murine Osteosarcoma Model
by Yuya Izubuchi, Naoi Hosoe, Takaaki Tanaka, Yumiko Watanabe, Tatsunobu Kobayashi, Hideaki Nakajima, Hiroyasu Kidoya and Akihiko Matsumine
Biomedicines 2026, 14(2), 341; https://doi.org/10.3390/biomedicines14020341 - 1 Feb 2026
Viewed by 84
Abstract
Background: Osteosarcoma remains largely refractory to immune checkpoint inhibitor (ICI) monotherapy, and strategies to modulate the tumor immune microenvironment are being actively explored. Mild hyperthermia has been reported to influence antitumor immune responses; however, its impact in combination with PD-1 blockade in [...] Read more.
Background: Osteosarcoma remains largely refractory to immune checkpoint inhibitor (ICI) monotherapy, and strategies to modulate the tumor immune microenvironment are being actively explored. Mild hyperthermia has been reported to influence antitumor immune responses; however, its impact in combination with PD-1 blockade in osteosarcoma has not been well characterized. Methods: Murine LM8 osteosarcoma cells were subjected to mild thermal stimulation, and changes in PD-L1 expression were evaluated. LM8-bearing mice were treated with mild hyperthermia, anti-PD-1 antibody, or their combination. Tumor growth, lung metastasis, and survival were assessed. Tumor-infiltrating immune cells were profiled using single-cell RNA sequencing to descriptively characterize immune-associated transcriptional features under each treatment condition. Results: Mild thermal stimulation (42 °C, 30 min) increased PD-L1 expression in LM8 cells in vitro. In vivo, combination therapy significantly suppressed primary tumor growth compared with control (χ2 = 29.75, p = 1.6 × 10−6) and reduced lung metastasis burden, with a significant decrease in metastatic nodules (p < 0.01). Kaplan–Meier analysis demonstrated a significant survival benefit in the combination group (log-rank p < 0.001). Single-cell RNA sequencing revealed an increased proportion of CD8+ T cells with reduced exhaustion-associated gene expression and a shift toward pro-inflammatory (M1-like) macrophage transcriptional profiles. Conclusions: PD-1 blockade combined with mild hyperthermia was associated with enhanced antitumor efficacy and immune-associated transcriptional remodeling in a murine osteosarcoma model, supporting further preclinical evaluation of this combination strategy. Full article
(This article belongs to the Section Immunology and Immunotherapy)
Show Figures

Figure 1

11 pages, 1526 KB  
Article
Assessment of Meet-URO and CANLPH Prognostic Models in Metastatic RCC: Insights from a Single-Institution Cohort Predominantly Treated with TKIs
by Ömer Faruk Kuzu, Nuri Karadurmuş, Nebi Batuhan Kanat, Dilruba İlayda Özel Bozdağ, Berkan Karadurmuş, Esmanur Kaplan Tüzün, Hüseyin Atacan, Nurlan Mammadzada, Emre Hafızoğlu, Gizem Yıldırım, Musa Barış Aykan, Selahattin Bedir and İsmail Ertürk
Diagnostics 2026, 16(3), 428; https://doi.org/10.3390/diagnostics16030428 - 1 Feb 2026
Viewed by 81
Abstract
Background/Objectives: Accurate prognostic assessment remains crucial in metastatic renal cell carcinoma (mRCC), especially as treatment options have expanded beyond vascular endothelial growth factor (VEGF)-targeted therapies to include immune checkpoint inhibitors (ICIs) and ICI–TKI combinations. The widely used IMDC classification shows important limitations [...] Read more.
Background/Objectives: Accurate prognostic assessment remains crucial in metastatic renal cell carcinoma (mRCC), especially as treatment options have expanded beyond vascular endothelial growth factor (VEGF)-targeted therapies to include immune checkpoint inhibitors (ICIs) and ICI–TKI combinations. The widely used IMDC classification shows important limitations in the modern therapeutic era, highlighting the need for complementary prognostic tools. In this context, the Meet-URO and CANLPH scores—incorporating clinical, inflammatory, and nutritional markers—have emerged as promising alternatives. To evaluate and compare the prognostic performance of the Meet-URO and CANLPH scoring systems in a real-world mRCC cohort predominantly treated with first-line tyrosine kinase inhibitor (TKI) monotherapy due to limited access to ICI-based combinations. Methods: This retrospective single-center study included 112 patients with mRCC. The Meet-URO score was calculated for all patients, while the CANLPH score was assessed in 56 patients with complete laboratory data. CAR, NLR, and PHR were computed using baseline pre-treatment measurements. Overall survival (OS) and progression-free survival (PFS), the latter defined exclusively for first-line therapy, were estimated using the Kaplan–Meier method. Correlations between inflammatory markers and survival outcomes were analyzed using Spearman’s rho. Results: Meet-URO demonstrated clear prognostic stratification across all five categories, with the most favorable outcomes in score group 2 and progressively poorer OS and PFS in higher-risk groups. CANLPH also showed meaningful survival discrimination, with the highest inflammatory group (score 3) exhibiting markedly reduced OS and PFS. CAR was the strongest individual predictor of survival, while NLR and PHR showed weaker associations. Conclusions: Both Meet-URO and CANLPH provide strong, complementary prognostic information in mRCC, even in a cohort largely treated with TKI monotherapy. Their integration into routine risk assessment may enhance clinical decision-making, particularly in resource-limited settings. Full article
(This article belongs to the Special Issue Precision Diagnostics in Kidney Cancer)
Show Figures

Figure 1

27 pages, 348 KB  
Review
Immune Checkpoint Blockade in Hematological Malignancies: Current Status and Future Directions
by Hiu-Ching Lau and Yok-Lam Kwong
Cancers 2026, 18(3), 485; https://doi.org/10.3390/cancers18030485 - 31 Jan 2026
Viewed by 96
Abstract
Immune checkpoint proteins including PD-1, CTLA-4, LAG-3, TIM-3, and TIGIT regulate T-cell functions, which are essential for anti-tumor immunity. Over-expression of these immune checkpoint proteins leads to T-cell exhaustion and a significant impairment of anti-tumor immunity. Rejuvenation of effector T-cell function with immune [...] Read more.
Immune checkpoint proteins including PD-1, CTLA-4, LAG-3, TIM-3, and TIGIT regulate T-cell functions, which are essential for anti-tumor immunity. Over-expression of these immune checkpoint proteins leads to T-cell exhaustion and a significant impairment of anti-tumor immunity. Rejuvenation of effector T-cell function with immune checkpoint inhibitors (ICI) restores anti-tumor immunity, which translates into clinical efficacy in the frontline and salvage treatment of various hematological malignancies. Efficacy of ICIs is highest in classical Hodgkin lymphoma, primary mediastinal large B-cell lymphoma, and NK/T-cell lymphomas, and modest in immune-privileged-site lymphomas and cutaneous T-cell lymphoma. However, in myeloid malignancies and multiple myeloma, the efficacy of ICIs remains doubtful. In addition to being used as single agents, ICIs have also been combined with other ICIs; as well as chemotherapy, antibody drug conjugates, and epigenetic agents (histone deacetylase inhibitors and hypomethylating agents). More innovative strategies include the use of ICIs in the context of allogeneic haematopoietic stem cell transplantation and chimeric antigen receptor T-cell therapy. This review synthesizes current evidence for the use of ICI in different haematological malignancies, and highlights future directions toward biomarker-driven, rationally designed therapeutic combinations. Full article
(This article belongs to the Section Cancer Immunology and Immunotherapy)
17 pages, 2700 KB  
Review
Reproductive Toxicity of Immune Checkpoint Inhibitors in Triple-Negative Breast Cancer: A Case Report with a Literature Review
by Cristina Tanase-Damian, Nicoleta Zenovia Antone, Diana Loreta Paun, Ioan Tanase and Patriciu Andrei Achimaș-Cadariu
Diseases 2026, 14(2), 51; https://doi.org/10.3390/diseases14020051 - 30 Jan 2026
Viewed by 75
Abstract
Triple-negative breast cancer (TNBC) is an aggressive malignancy that disproportionately affects young women. The integration of immune checkpoint inhibitors (ICIs) has significantly improved outcomes in both early-stage and metastatic TNBC, shifting attention toward long-term survivorship issues, particularly endocrine function and fertility. However, the [...] Read more.
Triple-negative breast cancer (TNBC) is an aggressive malignancy that disproportionately affects young women. The integration of immune checkpoint inhibitors (ICIs) has significantly improved outcomes in both early-stage and metastatic TNBC, shifting attention toward long-term survivorship issues, particularly endocrine function and fertility. However, the reproductive safety profile of ICIs remains insufficiently characterized. This narrative review synthesizes current preclinical and clinical evidence on ICI-associated reproductive toxicity, focusing on both direct immune-mediated gonadal injury and indirect disruption of the hypothalamic–pituitary–gonadal axis. Experimental models consistently demonstrate immune cell infiltration of ovarian and testicular tissue, cytokine-driven inflammatory cascades, follicular atresia, impaired spermatogenesis, and altered steroidogenesis following PD-1/PD-L1 and CTLA-4 blockade. Emerging clinical data report cases of immune-related orchitis, azoospermia, testosterone deficiency, diminished ovarian reserve, and premature ovarian insufficiency. Secondary hypogonadism due to immune-mediated hypophysitis represents an additional and frequently underdiagnosed mechanism. We further discuss the oncofertility challenges faced by young patients with TNBC treated with chemoimmunotherapy, emphasizing the uncertainty of fertility risk stratification and the importance of early fertility counseling and individualized fertility preservation strategies. To illustrate the potential clinical impact, we present the case of a 34-year-old nulliparous woman who developed premature ovarian insufficiency two years after neoadjuvant chemoimmunotherapy including atezolizumab, despite ovarian suppression. In conclusion, while ICIs have transformed the therapeutic landscape of TNBC, their potential long-term impact on reproductive and endocrine health represents a clinically significant concern. A precautionary, multidisciplinary oncofertility approach and prospective clinical registries are essential to define the true incidence and mechanisms of ICI-associated reproductive toxicity. Full article
Show Figures

Figure 1

40 pages, 4302 KB  
Review
Immunotherapy Approaches for the Treatment of Triple-Negative Breast Cancer
by Shaimaa Alharbi, Farah Faozi Qasem, Mahsa Taleb Talebi, Nourhan E. Omran, Rifat Hamoudi and Rania Harati
Cancers 2026, 18(3), 464; https://doi.org/10.3390/cancers18030464 - 30 Jan 2026
Viewed by 113
Abstract
Triple-negative breast cancer (TNBC) is an aggressive subtype of breast cancer characterized by high immunogenicity and specific immune signatures. Although these molecular features including elevated tumor-infiltrating lymphocytes (TILs) and programmed death-ligand 1 (PD-L1) expression provide a strong rationale for immunotherapy, clinical response remains [...] Read more.
Triple-negative breast cancer (TNBC) is an aggressive subtype of breast cancer characterized by high immunogenicity and specific immune signatures. Although these molecular features including elevated tumor-infiltrating lymphocytes (TILs) and programmed death-ligand 1 (PD-L1) expression provide a strong rationale for immunotherapy, clinical response remains limited due to multiple mechanisms of immune escape. This review summarizes current and emerging immunotherapeutic strategies in TNBC, including immune checkpoint inhibitors (PDL-1 and cytotoxic T-lymphocyte-associated protein 4 (CTL-4) blockade), adoptive cell therapy (ACT) (chimeric antigen receptor T-cell therapy (CAR-T) and TIL therapy), oncolytic virotherapy, and antibody-based approaches. We also discuss the mechanisms of resistance including DNA damage response alterations, anti-apoptotic signaling, and tumor microenvironment-mediated resistance. Finally, we highlight rational combination strategies, immunotherapy with chemotherapy, targeted therapy, or additional immunotherapies that aim to enhance response to immunotherapy. Ongoing advances in immunotherapy hold significant potential to improve outcomes for patients with TNBC. Full article
(This article belongs to the Special Issue Immunotherapy Approaches in Breast Cancer Treatment (2nd Edition))
19 pages, 3833 KB  
Article
Cucurbitacin B Inhibits Hepatocellular Carcinoma by Inducing Ferroptosis and Activating the cGAS-STING Pathway
by Huizhong Zhang, Aqian Chang, Xiaohan Xu, Hulinyue Peng, Ke Zhang, Jingwen Yang, Wenjing Li, Xinzhu Wang, Wenqi Wang, Xingbin Yin, Changhai Qu, Xiaoxv Dong and Jian Ni
Curr. Issues Mol. Biol. 2026, 48(2), 138; https://doi.org/10.3390/cimb48020138 - 27 Jan 2026
Viewed by 107
Abstract
The incidence of primary liver cancer is increasing annually, with extremely high mortality and suboptimal therapeutic outcomes. The inefficient presentation of tumor antigens and low infiltration of specific cytotoxic T lymphocytes (CTLs) result in insufficient immunogenicity, which limits the efficacy of immunotherapy. Despite [...] Read more.
The incidence of primary liver cancer is increasing annually, with extremely high mortality and suboptimal therapeutic outcomes. The inefficient presentation of tumor antigens and low infiltration of specific cytotoxic T lymphocytes (CTLs) result in insufficient immunogenicity, which limits the efficacy of immunotherapy. Despite the popularity of immune checkpoint inhibitors (ICIs), insufficient immune activation means only a small subset of hepatocellular carcinoma (HCC) patients exhibit clinical responses to ICIs, showing significant inter-individual variability. The activation of the cyclic GMP-AMP synthase(cGAS)- stimulator of interferon genes(STING) pathway initiates the expression of type I interferons (IFNs) and inflammatory cytokines, promoting the formation of a pro-inflammatory environment at the tumor site. This pathway enhances anti-tumor immune responses by facilitating antigen processing and presentation, T cell priming and activation, and remodeling of the immunosuppressive microenvironment. Our research found that cucurbitacin B (CuB), a natural component derived from traditional Chinese medicine, had significant anti-hepatocellular carcinoma properties and exerted anti-tumor effects through the cGAS-STING pathway. Specifically, CuB regulated ferroptosis by down-regulating the expression of Solute Carrier Family 7 Member 11 (SLC7A11) and Glutathione Peroxidase 4 (GPX4) and upregulating the expression of Transferrin Receptor Protein 1 (TFR1) and Long-chain Acyl-CoA Synthetase 4 (ACSL4). These actions involved lipid substrates, iron ion homeostasis, and antioxidant defense systems. The release of mitochondrial DNA (mtDNA) triggered by ferroptosis activated the cGAS-STING immune signaling pathway, leading to the up-regulation of cGAS, phosphorylated STING (p-STING), phosphorylated TANK-binding kinase 1 (TBK1), phosphorylated Interferon regulatory factor3 (IRF3), and Interferon-β (IFN-β). This cascade activation pattern provides new insights into the drug treatment of tumors. Full article
Show Figures

Figure 1

17 pages, 1458 KB  
Article
Urinary Chemokines in the Diagnosis and Monitoring of Immune Checkpoint Inhibitor-Associated Nephritis
by Francisco Gomez-Preciado, Laura Martinez-Valenzuela, Paula Anton-Pampols, Xavier Fulladosa, María Jove, Ernest Nadal, Josep María Cruzado, Joan Torras and Juliana Draibe
Int. J. Mol. Sci. 2026, 27(3), 1240; https://doi.org/10.3390/ijms27031240 - 26 Jan 2026
Viewed by 145
Abstract
Immune checkpoint inhibitors are essential treatments for many oncologic diseases, but with well-known immune-related adverse events, such as acute interstitial nephritis (ICI-AIN). We investigated novel potential biomarkers that could assist in the diagnosis and follow-up of this condition and that are related to [...] Read more.
Immune checkpoint inhibitors are essential treatments for many oncologic diseases, but with well-known immune-related adverse events, such as acute interstitial nephritis (ICI-AIN). We investigated novel potential biomarkers that could assist in the diagnosis and follow-up of this condition and that are related to the active pathogenic pathways involved. We measured urinary soluble PD-1, PD-L1 and PD-L2, as well as chemokines CXCL5, CXCL9, CXCL10, CXCL11, CCL2, CCL3, CCL5 and cytokines IL-6 and IL-12p70 performing a Luminex assay in urine from patients with ICI-AIN (n = 35) and compared them with patients with AIN from other causes (non-ICI AIN) (n = 29) and ATN (n = 26). We found that CXCL5, CXCL9, CXCL10, CXCL11, CCL5 and IL-6 were higher in patients with ICI-AIN than in those with ATN, and all of them but CXCL9 and IL-6 were also higher in patients with ICI-AIN compared with non-ICI AIN. We also determined these molecules at follow-up for ICI-AIN patients (40 samples from 22 patients) and found that concentrations of CXCL9, CXCL10, CXCL11 and CCL2 decreased after treatment. The decrease of CXCL9 and CXCL10 correlated with greater kidney function recovery at one-year follow-up. These molecules could serve as noninvasive biomarkers and may aid fine patient monitoring. Full article
Show Figures

Figure 1

15 pages, 1087 KB  
Review
Is Immunotherapy a Contraindication for Treating Lung Cancer Patients with Interstitial Lung Diseases? A Review of the Literature
by Raffaella Pagliaro, Paola Della Monica, Vito D’Agnano, Angela Schiattarella, Antonio D’Orologio, Paola Maria Medusa, Giulia Maria Stella, Federica Colapietra, Fabio Perrotta, Andrea Bianco, Marina Di Domenico and Filippo Scialò
J. Clin. Med. 2026, 15(3), 996; https://doi.org/10.3390/jcm15030996 - 26 Jan 2026
Viewed by 251
Abstract
The management of lung cancer (LC) in patients with interstitial lung diseases (ILDs) presents significant challenges, particularly with the increasing use of immunotherapy (IT). Immunotherapy-related pneumonitis (ICIP) is a potential complication of immune checkpoint inhibitors (ICIs) that can be difficult to differentiate from [...] Read more.
The management of lung cancer (LC) in patients with interstitial lung diseases (ILDs) presents significant challenges, particularly with the increasing use of immunotherapy (IT). Immunotherapy-related pneumonitis (ICIP) is a potential complication of immune checkpoint inhibitors (ICIs) that can be difficult to differentiate from pre-existing or treatment-induced ILD. The incidence of treatment-related pneumonitis is higher in patients with pre-existing ILD, which complicates the therapeutic approach. Moreover, antifibrotic drugs have shown potential in reducing the incidence of post-operative acute exacerbations in IPF patients undergoing surgery and radiotherapy. ILDs in LC patients can either develop ab initio, linked to environmental exposures, autoimmune diseases, or emerge because of cancer therapies. Although large-scale clinical trial evidence remains limited, careful therapy selection, early detection of pneumonitis, and close monitoring are crucial. Further prospective studies are needed to refine therapeutic strategies, particularly regarding the role of IT in this sensitive population and the role of combination therapies with antifibrotics and ICIs to optimize outcomes for patients with both LC and ILDs. This review summarizes the available evidence on the safety and efficacy of IT in this population, emphasizing the importance of personalized treatment approaches and vigilant monitoring. Full article
(This article belongs to the Special Issue Surgical Oncology: Clinical Application of Translational Medicine)
Show Figures

Figure 1

20 pages, 779 KB  
Review
Does the B7-H3 Immune Checkpoint Have High Potential as a Therapeutic Target?
by Marco Agostini, Pietro Traldi and Mahmoud Hamdan
Cells 2026, 15(3), 239; https://doi.org/10.3390/cells15030239 - 26 Jan 2026
Viewed by 354
Abstract
B7-H3 (CD276), a member of the B7 family of proteins, is known to play a key role in the progression of a number of cancers. This protein is selectively expressed in both tumor cells and immune cells within the tumor microenvironment. Various investigations, [...] Read more.
B7-H3 (CD276), a member of the B7 family of proteins, is known to play a key role in the progression of a number of cancers. This protein is selectively expressed in both tumor cells and immune cells within the tumor microenvironment. Various investigations, including a number of clinical trials, have reported high levels of expression of this protein in cancerous tissues compared to their healthy counterparts. This difference in expression attracted various research efforts to establish whether such a difference can be linked to the therapeutic potential of this molecule. It is worth noting that B7-H3 is not the only immune checkpoint expressed at different levels in cancerous and healthy cells. Therapeutic strategies, based on different levels of expression, have been tested with other checkpoints. To inhibit the expression of some checkpoints, immune checkpoint inhibitors (ICIs) were developed. The introduction of these inhibitors for the treatment of some forms of advanced-stage tumors has been justly described as an important milestone in the landscape of immune therapy. Years after the launch of these inhibitors, numerous clinical trials revealed that these inhibitors benefit a narrow subset of patients suffering from advanced-stage tumors, while the majority of patients treated with these inhibitors either did not respond positively or simply did not respond at all (refractory patients). Other clinical trials showed that this form of treatment can provoke serious immune-related adverse events (irAEs). It is fair to state that changes in the expression level of a given protein in diseased tissue is an important parameter to take into account in the assessment of such a protein as a therapeutic target. However, the last ten years have demonstrated that taking the level of expression of a given checkpoint within a cancerous tissue is not sufficient to consider such expression a reliable predictive biomarker for the investigated disease. On the other hand, to establish a solid base for a given therapeutic strategy, these varying levels of expression have to be combined with a deep understanding of the biology of the molecule under investigation, as well as the identification and thorough analysis of the relevant signaling pathways, particularly those communicating with both the investigated molecule and the immune system. Recently, a number of pharmaceutical and biotechnology firms have suggested that B7-H3 is a highly promising therapeutic target for the development of immune therapeutics. In this review, we ask why hopes of better therapeutic performance are attached to this immune checkpoint. A partial answer to this question is provided through the careful consideration of the available data generated by various clinical trials. The contribution of mass spectrometry-based proteomics to this area of research is highlighted. Full article
Show Figures

Figure 1

9 pages, 480 KB  
Article
Effect of First-Line Combination Systemic Therapy on Favorable-Risk Clear Cell Renal Cell Carcinoma: A Retrospective Study
by Soon Il Lee, Minsuk Kwon, Sung Hee Lim and Se Hoon Park
Biomedicines 2026, 14(1), 238; https://doi.org/10.3390/biomedicines14010238 - 21 Jan 2026
Viewed by 219
Abstract
Background/Objectives: For patients with advanced or metastatic clear cell renal cell carcinoma (RCC), combinations of immune checkpoint inhibitors (ICIs) and VEGFR-targeted tyrosine kinase inhibitors (TKIs) are standard first-line therapies. However, the clinical benefit of these regimens in patients with favorable IMDC risk [...] Read more.
Background/Objectives: For patients with advanced or metastatic clear cell renal cell carcinoma (RCC), combinations of immune checkpoint inhibitors (ICIs) and VEGFR-targeted tyrosine kinase inhibitors (TKIs) are standard first-line therapies. However, the clinical benefit of these regimens in patients with favorable IMDC risk remains unclear. Methods: We retrospectively analyzed 147 patients with favorable-risk metastatic RCC treated with first-line systemic therapy at the Samsung Medical Center between 2019 and 2023. Treatment regimens included TKI monotherapy (n = 110) or ICI–TKI combinations (n = 37). Progression-free survival (PFS), overall survival (OS), and objective response rate (ORR) were evaluated using Kaplan–Meier and Cox regression analyses. Results: At a median follow-up of 46.3 months, the overall median PFS was 20.1 months (95% CI, 14.5–25.7). Median PFS was 26.2 months with ICI–TKI combinations versus 17.0 months with TKI monotherapy (HR 1.32; 95% CI, 0.82–2.12; p = 0.25). In multivariate analysis, TKI monotherapy (HR 14.01; p = 0.002) and liver metastasis (HR 9.17; p < 0.001) were independent predictors of shorter PFS. ORR was significantly higher with combination therapy (68% vs. 46%; p = 0.01). Median OS was not reached in either group, with 3-year OS rates of 89% and 84%, respectively. Conclusions: The findings suggest that even within the favorable-risk population, clinical heterogeneity influences treatment outcomes, emphasizing the need for individualized therapy selection and refined prognostic models. Full article
(This article belongs to the Section Cancer Biology and Oncology)
Show Figures

Figure 1

12 pages, 822 KB  
Article
The Impact of Concurrent Proton Pump Inhibitors on Nivolumab Response in Metastatic Non-Small Cell Lung Cancer: A Multicenter Real-Life Study
by Engin Hendem, Mehmet Zahid Koçak, Ayşegül Merç Çetinkaya, Gülhan Dinç, Melek Çağlayan, Muzaffer Uğraklı, Dilek Çağlayan, Murat Araz, Melek Karakurt Eryılmaz, Abdullah Sakin, Orhan Önder Eren, Ali Murat Tatlı, Çağlayan Geredeli and Mehmet Artaç
Medicina 2026, 62(1), 214; https://doi.org/10.3390/medicina62010214 - 20 Jan 2026
Viewed by 202
Abstract
Background and Objectives: Clinically meaningful drug–drug interactions may be overlooked in oncology. Proton pump inhibitors (PPIs) may modulate outcomes with immune checkpoint inhibitors (ICIs) by altering the gut microbiome, altering the immune milieu, and affecting transporter interactions. We evaluated whether concomitant PPI [...] Read more.
Background and Objectives: Clinically meaningful drug–drug interactions may be overlooked in oncology. Proton pump inhibitors (PPIs) may modulate outcomes with immune checkpoint inhibitors (ICIs) by altering the gut microbiome, altering the immune milieu, and affecting transporter interactions. We evaluated whether concomitant PPI use affects survival among patients with metastatic non-small cell lung cancer (NSCLC) treated with nivolumab. Materials and Methods: We retrospectively included patients with metastatic NSCLC who received second-line nivolumab across five oncology centers (January 2020–June 2023). Patients were grouped as concomitant PPI users vs. non-users. Overall survival (OS) and progression-free survival (PFS) were estimated by the Kaplan–Meier method and compared with the log-rank test; multivariable Cox models assessed independent associations. Results: A total of 194 patients were screened, of whom 30 were excluded according to predefined criteria. The final analysis included 164 patients—85 PPI users and 79 non-users. Median OS was 26.1 months (95% CI 15.5–36.7) in PPI users and 29.3 months (22.2–36.4) in non-users; this difference was not statistically significant (p = 0.54). Median PFS was 6.2 months (3.7–8.6) in PPI users vs. 10.2 months (7.1–13.2) in non-users (p = 0.04). In multivariable analysis, absence of concomitant PPI use (No vs. Yes) was independently associated with longer PFS (HR = 0.52, 95% CI 0.24–0.89, p = 0.03), whereas PPI use was not associated with OS (HR = 0.96, 95% CI 0.67–1.61, p = 0.83). Conclusions: Concomitant PPI use during nivolumab therapy was associated with significantly shorter PFS and a numerical reduction in OS in real-world metastatic NSCLC. Where clinically feasible, the need for PPIs should be re-evaluated before and during ICI therapy. Full article
(This article belongs to the Section Oncology)
Show Figures

Figure 1

14 pages, 7853 KB  
Article
Efficacy and Safety of HAIC Combined with PD-(L)1 Inhibitors and Bevacizumab Versus HAIC with PD-(L)1 Inhibitors and TKIs in Advanced Hepatocellular Carcinoma: A Retrospective Cohort Study
by Zizhuo Wang, Wei Xu, Songlin Song, Yanqiao Ren, Jiacheng Liu, Yiming Liu, Xuefeng Kan, Chuansheng Zheng and Bin Liang
Cancers 2026, 18(2), 314; https://doi.org/10.3390/cancers18020314 - 20 Jan 2026
Viewed by 188
Abstract
Background: The combination of hepatic arterial infusion chemotherapy (HAIC) with immune checkpoint inhibitors (ICIs) and anti-angiogenic agents represents a potential therapeutic strategy for advanced hepatocellular carcinoma (HCC). This study aimed to compare the efficacy and safety of triple therapies combining HAIC with ICIs [...] Read more.
Background: The combination of hepatic arterial infusion chemotherapy (HAIC) with immune checkpoint inhibitors (ICIs) and anti-angiogenic agents represents a potential therapeutic strategy for advanced hepatocellular carcinoma (HCC). This study aimed to compare the efficacy and safety of triple therapies combining HAIC with ICIs and either bevacizumab or tyrosine kinase inhibitors (TKIs) in these patients. Methods: This retrospective single-center study enrolled 65 consecutive patients with advanced HCC who received HAIC combined with ICIs plus either bevacizumab (bevacizumab group, n = 31) or TKIs (TKIs group, n = 34) between June 2021 and June 2023. Primary endpoints included progression-free survival (PFS), objective response rate (ORR), duration of response (DOR), and safety profiles. Results: The bevacizumab group demonstrated significantly prolonged median PFS (10.9 vs. 7.4 months, p = 0.001) and higher ORR (83.9% vs. 61.8%, p = 0.047) compared with the TKIs group. DOR was longer in the bevacizumab group (7.9 vs. 5.3 months, p = 0.008). Median overall survival (OS) was not reached in the bevacizumab group versus 22.6 months in the TKIs group. Grade 3–4 adverse events occurred in 67.7% of the bevacizumab group and 73.5% of the TKIs group, with distinct toxicity profiles. Gastrointestinal hemorrhage (45.2%) and gastric ulcer (22.6%) predominated in the bevacizumab group, whereas the TKIs group exhibited more hepatic enzyme elevations (aspartate aminotransferase, 67.6%; alanine aminotransferase, 61.8%), proteinuria (29.4%), diarrhea (26.5%), hand-foot syndrome (20.6%), and reactive cutaneous capillary endothelial proliferation (11.8%). Conclusions: Bevacizumab-containing triplet therapy was associated with improved tumor control and delayed progression compared to TKIs-based regimens in advanced HCC. The higher bleeding risk in the bevacizumab group highlights the necessity of standardized baseline evaluation and adequate preventive measures. Full article
(This article belongs to the Section Cancer Therapy)
Show Figures

Graphical abstract

Back to TopTop