The Impact of Concurrent Proton Pump Inhibitors on Nivolumab Response in Metastatic Non-Small Cell Lung Cancer: A Multicenter Real-Life Study
Abstract
1. Introduction
2. Materials and Methods
2.1. Study Design and Patients
2.2. Exposure and Outcomes
2.3. Baseline Variables
2.4. Statistical Analysis
3. Results
3.1. Patient Characteristics
3.2. Treatment Response
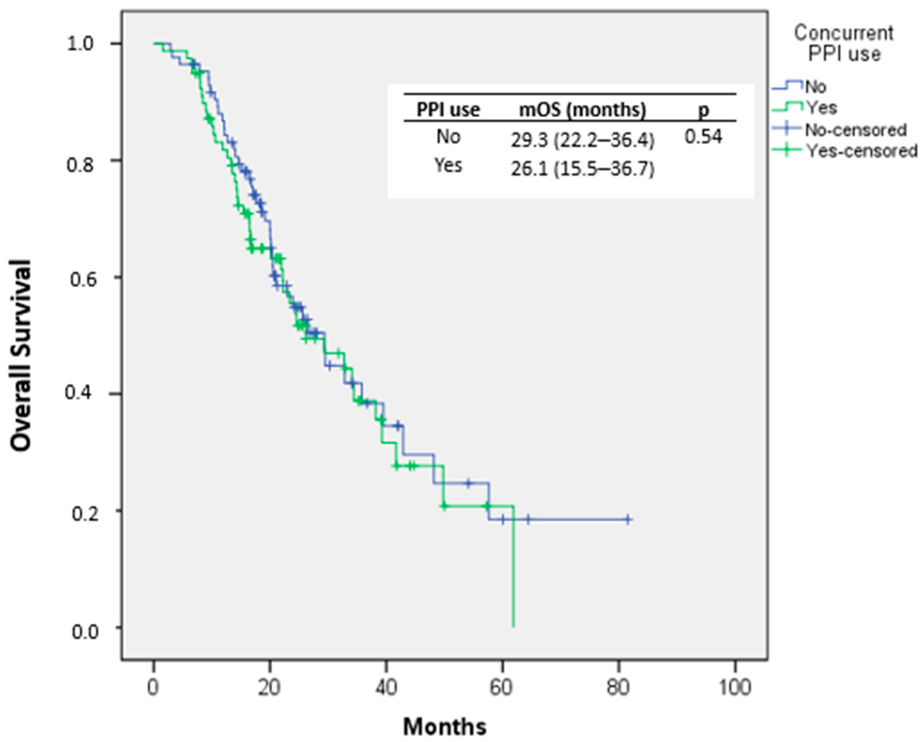
3.3. Survival Outcomes
3.4. Multivariable Analysis
4. Discussion
Limitations
5. Conclusions
Author Contributions
Funding
Institutional Review Board Statement
Informed Consent Statement
Data Availability Statement
Acknowledgments
Conflicts of Interest
Abbreviations
| PPIs | Proton pump inhibitors |
| ICIs | İmmune checkpoint inhibitors |
| NSCLC | Non-small cell lung cancer |
| OS | Overall survival |
| PFS | Progression-free survival |
| PD-1 | Programmed death-1 |
References
- Bristol-Myers Squibb Pharma EEIG. Opdivo—Summary of Product Characteristics; European Medicines Agency: London, UK, 2015; Available online: https://www.ema.europa.eu/en/documents/product-information/opdivo-epar-product-information_en.pdf (accessed on 2 November 2023).
- Borghaei, H.; Paz-Ares, L.; Horn, L.; Spigel, D.R.; Steins, M.; Ready, N.E.; Chow, L.Q.; Vokes, E.E.; Felip, E.; Holgado, E.; et al. Nivolumab versus Docetaxel in Advanced Nonsquamous Non–Small-Cell Lung Cancer. N. Engl. J. Med. 2015, 373, 1627–1639. [Google Scholar] [CrossRef]
- Schoenfeld, A.J.; Grady, D. Adverse Effects Associated with Proton Pump Inhibitors. JAMA Intern. Med. 2016, 176, 172–174. [Google Scholar] [CrossRef] [PubMed]
- Ikemura, K.; Hiramatsu, S.; Okuda, M. Drug Repositioning of Proton Pump Inhibitors for Enhanced Efficacy and Safety of Cancer Chemotherapy. Front. Pharmacol. 2017, 8, 911. [Google Scholar] [CrossRef] [PubMed]
- Pilon-Thomas, S.; Kodumudi, K.N.; El-Kenawi, A.E.; Russell, S.; Weber, A.M.; Luddy, K.; Damaghi, M.; Wojtkowiak, J.W.; Mulé, J.J.; Ibrahim-Hashim, A.; et al. Neutralization of Tumor Acidity Improves Antitumor Responses to Immunotherapy. Cancer Res. 2016, 76, 1381–1390. [Google Scholar] [CrossRef] [PubMed]
- Wu, C.-C.; Fang, C.-Y.; Yu, B.-H.; Chang, C.-M.; Hsu, T.-W.; Hung, C.-L.; Hung, S.-K.; Chiou, W.-Y.; Tsai, J.-H. Long-Term Usage of Proton Pump Inhibitors Associated with Prognosis in Patients with Colorectal Cancer. Cancers 2023, 15, 5304. [Google Scholar] [CrossRef]
- Çağlayan, D.; Koçak, M.Z.; Geredeli, Ç.; Tatlı, A.M.; Göksu, S.S.; Eryılmaz, M.K.; Araz, M.; Artaç, M. The Effect of Concomitant Use of Proton Pump Inhibitors with CDK4/6 Inhibitors on Survival in Metastatic Breast Cancer. Eur. J. Clin. Pharmacol. 2023, 79, 243–248. [Google Scholar] [CrossRef]
- Buti, S.; Tommasi, C.; Scartabellati, G.; Basso, U.; Massari, F.; Santoni, M.; Bracarda, S.; Porta, C.; Procopio, G.; De Giorgi, U.; et al. The Impact of Proton Pump Inhibitors Administered with Tyrosine Kinase Inhibitors in Metastatic Renal Cell Carcinoma. Anticancer Drugs 2023, 34, 178–186. [Google Scholar] [CrossRef]
- Kichenadasse, G.; Miners, J.O.; Mangoni, A.A.; Karapetis, C.S.; Hopkins, A.M.; Sorich, M.J. Proton Pump Inhibitors and Survival in Patients with Colorectal Cancer Receiving Fluoropyrimidine-Based Chemotherapy. J. Natl. Compr. Canc. Netw. 2021, 19, 1037–1044. [Google Scholar] [CrossRef]
- Pinato, D.J.; Howlett, S.; Ottaviani, D.; Urus, H.; Patel, A.; Mineo, T.; Brock, C.; Power, D.; Horgan, A.; Fessas, P.; et al. Association of Prior Antibiotic Treatment with Survival and Response to Immune Checkpoint Inhibitor Therapy in Patients with Cancer. JAMA Oncol. 2019, 5, 1774–1778. [Google Scholar] [CrossRef]
- Derosa, L.; Hellmann, M.D.; Spaziano, M.; Halpenny, D.; Fidelle, M.; Rizvi, H.; Long, N.; Plodkowski, A.J.; Arbour, K.C.; Chaft, J.E.; et al. Negative Association of Antibiotics on Clinical Activity of Immune Checkpoint Inhibitors in Patients with Advanced Renal Cell and Non–Small-Cell Lung Cancer. Ann. Oncol. 2018, 29, 1437–1444. [Google Scholar] [CrossRef]
- Gopalakrishnan, V.; Spencer, C.N.; Nezi, L.; Reuben, A.; Andrews, M.C.; Karpinets, T.V.; Prieto, P.A.; Vicente, D.; Hoffman, K.; Wei, S.C.; et al. Gut Microbiome Modulates Response to Anti–PD-1 Immunotherapy in Melanoma Patients. Science 2018, 359, 97–104. [Google Scholar] [CrossRef]
- Hojo, M.; Asahara, T.; Nagahara, A.; Takeda, T.; Matsumoto, K.; Ueyama, H.; Matsumoto, K.; Asaoka, D.; Takahashi, T.; Nomoto, K.; et al. Gut Microbiota Composition Before and After Use of Proton Pump Inhibitors. Dig. Dis. Sci. 2018, 63, 2940–2949. [Google Scholar] [CrossRef]
- Smith, P.M.; Howitt, M.R.; Panikov, N.; Michaud, M.; Gallini, C.A.; Bohlooly-Y, M.; Glickman, J.N.; Garrett, W.S.; Gordon, J.I.; Honda, K.; et al. The Microbial Metabolites, Short-Chain Fatty Acids, Regulate Colonic Treg Cell Homeostasis. Science 2013, 341, 569–573. [Google Scholar] [CrossRef]
- Austin, G.L.; Weiskopf, J.R.; Czwornog, J.L. Association of Proton Pump Inhibitor Use with Serum Biomarkers of Inflammation, Insulin Resistance, Cardiovascular Risk, and Renal Function. J. Clin. Gastroenterol. 2018, 52, 691–695. [Google Scholar] [CrossRef] [PubMed]
- Tomisaki, I.; Harada, M.; Minato, A.; Nagata, Y.; Kimura, R.; Higashijima, K.; Harada, K.; Fujimoto, N. Impact of the Use of Proton Pump Inhibitors on Pembrolizumab Effectiveness for Advanced Urothelial Carcinoma. Anticancer Res. 2022, 42, 1629–1634. [Google Scholar] [CrossRef] [PubMed]
- Uğraklı, M.; Koçak, M.Z.; Dinç, G.; Genç, T.B.; Çağlayan, M.; Uğraklı, S.; Hendem, E.; Muhiddin, M.; Çağlayan, D.; Karakurt Eryılmaz, M.; et al. The effect of concomitant proton pump inhibitor use on survival outcomes of nivolumab-treated renal cell carcinoma patients: A multicenter study. J. Cancer Res. Clin. Oncol. 2023, 149, 9183–9189. [Google Scholar] [CrossRef]
- Peng, K.; Chen, K.; Teply, B.A.; Yee, G.C.; Farazi, P.A.; Lyden, E.R. Impact of Proton Pump Inhibitor Use on the Effectiveness of Immune Checkpoint Inhibitors in Advanced Cancer Patients. Ann. Pharmacother. 2022, 56, 377–386. [Google Scholar] [CrossRef]
- Rassy, E.; Dalban, C.; Colomba, E.; Derosa, L.; Alves Costa Silva, C.; Negrier, S.; Chevreau, C.; Gravis, G.; Oudard, S.; Laguerre, B.; et al. Efficacy and Safety of Concomitant Proton Pump Inhibitor and Nivolumab in Renal Cell Carcinoma: Results of the GETUG-AFU 26 NIVOREN Multicenter Phase II Study. Clin. Genitourin. Cancer 2022, 20, 488–494. [Google Scholar] [CrossRef] [PubMed]
- Korkmaz, M.; Karakurt Eryılmaz, M.; Koçak, M.Z.; Er, M.M.; Hendem, E.; Demirkıran, A.; Araz, M.; Artaç, M. The effect of concomitant beta-blocker use on survival in patients with metastatic renal cell carcinoma treated with vascular endothelial growth factor receptor inhibitors in the first line. Eur. J. Clin. Pharmacol. 2024, 80, 941–947. [Google Scholar] [CrossRef]
- Koçak, M.Z.; Er, M.M.; Uğraklı, M.; Hendem, E.; Araz, M.; Karakurt Eryılmaz, M.; Artaç, M. Could the concomitant use of beta blockers with bevacizumab improve survival in metastatic colon cancer? Eur. J. Clin. Pharmacol. 2023, 79, 485–491. [Google Scholar] [CrossRef]
- Alkim, H.; Ünal, S.; Okur, H.; İmir, T. Omeprazole Inhibits Natural Killer Cell Function. Dig. Dis. Sci. 2008, 53, 347–351. [Google Scholar] [CrossRef]
- Liu, W.; Jakobs, J.; Rink, L.; Müller, M.; Schaller, T.; Schubert, K.; Hofmann, J.; Heise, M.; Schürmann, M.; Fiebig, L.; et al. Proton Pump Inhibitors Suppress T-Cell Response by Shifting Zinc Distribution. Int. J. Mol. Sci. 2023, 24, 1191. [Google Scholar] [CrossRef]
- Wada, A.; Enokida, T.; Okano, S.; Sato, M.; Tanaka, H.; Ueda, Y.; Fujisawa, T.; Takeshita, N.; Tanaka, N.; Tahara, M.; et al. Proton pump inhibitors and antibiotics adversely affect the efficacy of nivolumab in patients with recurrent or metastatic squamous cell carcinoma of the head and neck. Eur. J. Cancer 2023, 184, 30–38. [Google Scholar] [CrossRef]
- Giordan, Q.; Salleron, J.; Vallance, C.; Moriana, C.; Clement-Duchene, C. Impact of Antibiotics and Proton Pump Inhibitors on Efficacy and Tolerance of Anti-PD-1 Immune Checkpoint Inhibitors. Front. Immunol. 2021, 12, 716317. [Google Scholar] [CrossRef] [PubMed]
- Svaton, M.; Zemanova, M.; Zemanova, P.; Kultan, J.; Fischer, O.; Skrickova, J.; Jakubikova, L.; Cernovska, M.; Hrncir, Z.; Jirousek, M.; et al. Impact of Concomitant Medication Administered at the Time of Initiation of Nivolumab Therapy on Outcome in Non-Small Cell Lung Cancer. Anticancer Res. 2020, 40, 2209–2217. [Google Scholar] [CrossRef]
- Cantarelli, L.; Gutiérrez Nicolás, F.; García Gil, S.; Morales Barrios, J.A.; Oramas Rodriguez, J.; Nazco Casariego, G.J. Effect of Concomitant Use of Proton Pump Inhibitors on Immunotherapy Clinical Response in Advanced Cancer Patients: Real-Life Setting. J. Immunother. 2023. online ahead of print. [Google Scholar] [CrossRef] [PubMed]
- Chen, B.; Yang, C.; Dragomir, M.P.; Chi, D.; Chen, W.; Horst, D.; Calin, G.A.; Li, Q. Association of Proton Pump Inhibitor Use with Survival Outcomes in Cancer Patients Treated with Immune Checkpoint Inhibitors: A Systematic Review and Meta-Analysis. Ther. Adv. Med. Oncol. 2022, 14, 17588359221111703. [Google Scholar] [CrossRef] [PubMed]
- Qin, B.-D.; Jiao, X.-D.; Zhou, X.-C.; Shi, B.; Wang, J.; Liu, K.; Wu, Y.; Ling, Y.; Zang, Y.-S. Effects of Concomitant Proton Pump Inhibitor Use on Immune Checkpoint Inhibitor Efficacy among Patients with Advanced Cancer. Oncoimmunology 2021, 10, 1929727. [Google Scholar] [CrossRef]
- Hopkins, A.M.; Kichenadasse, G.; Karapetis, C.S.; Rowland, A.; Sorich, M.J. Concomitant Proton Pump Inhibitor Use and Survival in Urothelial Carcinoma Treated with Atezolizumab. Clin. Cancer Res. 2020, 26, 5487–5493. [Google Scholar] [CrossRef]
- Spigel, D.R.; McLeod, M.; Jotte, R.M.; Einhorn, L.; Horn, L.; Waterhouse, D.M.; Creelan, B.; Babu, S.; Leighl, N.B.; Chandler, J.C.; et al. Safety, Efficacy, and Patient-Reported Health-Related Quality of Life and Symptom Burden with Nivolumab in Patients with Advanced Non-Small Cell Lung Cancer, Including Patients Aged 70 Years or Older or with Poor Performance Status (CheckMate 153). J. Thorac. Oncol. 2019, 14, 1628–1639. [Google Scholar] [CrossRef]
- Wei, J.; Xiang, J.; Hao, Y.; Si, J.; Wang, W.; Li, F.; Song, Z. Baseline anemia predicts a poor prognosis in patients with non-small cell lung cancer with epidermal growth factor receptor mutations: A retrospective study. BMC Pulm. Med. 2022, 22, 381. [Google Scholar] [CrossRef] [PubMed]



| Characteristics (n) | Concurrent Proton Pump Inhibitor Usage with Nivolumab | |||
|---|---|---|---|---|
| No | Yes | p | ||
| Age | <65 | 54 (63.5%) | 45 (57%) | 0.39 |
| ≥65 | 31 (36.5%) | 34 (43%) | ||
| Gender | Female | 13 (15.3%) | 14 (17.7%) | 0.67 |
| Male | 72 (84.7%) | 65 (82.3%) | ||
| Body Mass Index | <25 kg/m2 | 49 (57.6%) | 47 (59.5%) | 0.81 |
| ≥25 kg/m2 | 36 (42.4%) | 32 (40.5%) | ||
| Comorbidity | No | 43 (50.6%) | 37 (46.8%) | 0.63 |
| Yes | 42 (49.4%) | 42 (53.2%) | ||
| Smoking | No | 16 (18.8%) | 12 (15.2%) | 0.53 |
| Yes | 69 (81.2%) | 67 (84.8%) | ||
| PDL-1 | Unknown | 23 (27.1%) | 25 (31.6%) | 0.81 |
| <1% | 30 (35.3%) | 26 (32.9%) | ||
| ≥1% | 32 (37.6%) | 28 (35.4%) | ||
| ECOG-PS | 0 | 22 (25.9%) | 17 (21.5%) | 0.7 |
| 1 | 42 (49.4%) | 44 (55.7%) | ||
| 2 | 21 (24.7%) | 18 (22.8%) | ||
| Hemoglobin | <10 g/dL | 40 (47.1%) | 42 (53.2%) | 0.43 |
| ≥10 g/dL | 45 (52.9%) | 37 (46.8%) | ||
| Platelet | Normal | 76 (89.4%) | 70 (88.6%) | 0.86 |
| Thrombocytosis | 9 (10.6%) | 9 (11.4%) | ||
| Metastatic side | 1 | 36 (42.4%) | 30 (38%) | 0.56 |
| ≥2 | 49 (57.6%) | 49 (62%) | ||
| Any grade adverse event of nivolumab | No | 68 (80%) | 58 (73.4%) | 0.31 |
| Yes | 17 (20%) | 21 (26.6%) | ||
| Response rate | Complete | 1 (1.2%) | 0 (0%) | 0.2 |
| Partial | 28 (32.9%) | 16 (20.3%) | ||
| Stable | 35 (41.2%) | 37 (46.8%) | ||
| Progression | 21 (24.7%) | 26 (32.9%) | ||
| Progression Free Survival | Univariate Analyses | Multivariate Analyses | ||||
|---|---|---|---|---|---|---|
| Hazard Ratio | 95% Confidence Interval | p | Hazard Ratio | 95% Confidence Interval | p | |
| Age | ||||||
| <65 vs. ≥65 | 0.55 | 0.35–0.85 | 0.008 | 0.70 | 0.38–0.98 | 0.017 |
| Gender | ||||||
| Female vs. Male | 1.05 | 0.58–1.91 | 0.85 | - | - | - |
| Body mass index | ||||||
| <25 vs. ≥25 kg/m2 | 1.44 | 0.91–2.28 | 0.11 | - | - | - |
| Comorbidity | ||||||
| No vs. Yes | 0.98 | 0.63–1.51 | 0.92 | - | - | - |
| Smoking | ||||||
| No vs. Yes | 1.25 | 0.69–2.27 | 0.45 | - | - | - |
| PDL-1 | ||||||
| Unknown | Reference | 0.13 | - | - | - | |
| <1% | 0.62 | 0.37–1.06 | 0.08 | - | - | - |
| ≥1% | 0.63 | 0.37–1.07 | 0.09 | - | - | - |
| Hemoglobin | ||||||
| <10 vs. ≥10 g/dL | 2.04 | 1.31–3.19 | 0.002 | 1.48 | 0.93–2.38 | 0.09 |
| Platelet | ||||||
| Normal vs. t. cytosis | 0.77 | 038–1.55 | 0.46 | - | - | - |
| Metastatic side | ||||||
| 1 vs. ≥2 | 0.62 | 0.39–0.98 | 0.04 | 0.56 | 0.35–0.89 | 0.014 |
| C-Reactive protein | 1.03 | 0.99–1.10 | 0.1 | - | - | - |
| Neutrophil–lymphocyte ratio | ||||||
| ≤4.76 vs. >4.76 | 0.78 | 0.44–37 | 0.39 | - | - | - |
| Platelet–lymphocyte ratio | ||||||
| ≤232.1 vs. >232.1 | 0.58 | 0.33–1.02 | 0.06 | - | ||
| Best response | ||||||
| Complete | Reference | 0.1 | - | - | - | |
| Partial | 0.33 | 0.04–2.52 | 0.28 | - | - | - |
| Stable | 0.55 | 0.07–4.06 | 0.56 | - | - | - |
| Progression | 1.23 | 0.15–9.06 | 0.83 | - | - | - |
| Concurrent PPI using | ||||||
| No vs. Yes | 0.64 | 0.41–0.98 | 0.04 | 0.52 | 0.24–0.89 | 0.03 |
| Overall Survival | Univariate Analyses | Multivariate Analyses | ||||
|---|---|---|---|---|---|---|
| Hazard Ratio | 95% Confidence Interval | p | Hazard Ratio | 95% Confidence Interval | p | |
| Age | ||||||
| <65 vs. ≥65 | 0.53 | 0.34–0.81 | 0.004 | 0.78 | 0.13–0.80 | 0.013 |
| Gender | ||||||
| Female vs. Male | 1.30 | 0.74–2.28 | 0.35 | - | - | - |
| Body mass index | ||||||
| <25 vs. ≥25 kg/m2 | 1.26 | 0.81–1.95 | 0.29 | - | - | - |
| Comorbidity | ||||||
| No vs. Yes | 0.72 | 0.47–1.11 | 0.14 | - | - | - |
| Smoking | ||||||
| No vs. Yes | 0.83 | 0.45–1.51 | 0.54 | - | - | - |
| PDL-1 | ||||||
| Unknown | Reference | 0.96 | - | - | - | |
| <1% | 1.02 | 0.60–1.73 | 0.94 | - | - | - |
| ≥1% | 1.07 | 0.63–1.81 | 0.79 | - | - | - |
| Hemoglobin | ||||||
| <10 vs. ≥10 g/dL | 2.39 | 1.53–3.73 | <0.001 | 1.50 | 1.11–1.80 | 0.004 |
| Platelet | ||||||
| Normal vs. t. cytosis | 1.46 | 0.79–2.69 | 0.22 | - | - | - |
| Metastatic side | ||||||
| 1 vs. ≥2 | 0.68 | 0.43–1.07 | 0.09 | - | - | - |
| C-Reactive protein | 0.99 | 0.98–1.20 | 0.28 | - | - | - |
| Neutrophil-lymphocyte ratio | ||||||
| ≤4.76 vs. >4.76 | 0.79 | 0.39–1.60 | 0.52 | - | - | - |
| Platelet-lymphocyte ratio | ||||||
| ≤232.1 vs. >232.1 | 1.72 | 0.87–3.37 | 0.11 | - | - | - |
| Best response | ||||||
| Complete | Reference | 0.001 | Reference | 0.004 | ||
| Partial | 0.52 | 0.07–3.99 | 0.53 | 0.80 | 0.21–2.24 | 0.58 |
| Stable | 0.70 | 0.09–5.18 | 0.73 | 0.75 | 0.30–12.2 | 0.39 |
| Progression | 1.58 | 0.21–11.67 | 0.65 | 4.95 | 0.59–20.14 | 0.13 |
| Concurrent PPI using | ||||||
| No vs. Yes | 0.87 | 0.57–1.34 | 0.54 | 0.96 | 0.67–1.61 | 0.83 |
Disclaimer/Publisher’s Note: The statements, opinions and data contained in all publications are solely those of the individual author(s) and contributor(s) and not of MDPI and/or the editor(s). MDPI and/or the editor(s) disclaim responsibility for any injury to people or property resulting from any ideas, methods, instructions or products referred to in the content. |
© 2026 by the authors. Published by MDPI on behalf of the Lithuanian University of Health Sciences. Licensee MDPI, Basel, Switzerland. This article is an open access article distributed under the terms and conditions of the Creative Commons Attribution (CC BY) license.
Share and Cite
Hendem, E.; Koçak, M.Z.; Çetinkaya, A.M.; Dinç, G.; Çağlayan, M.; Uğraklı, M.; Çağlayan, D.; Araz, M.; Eryılmaz, M.K.; Sakin, A.; et al. The Impact of Concurrent Proton Pump Inhibitors on Nivolumab Response in Metastatic Non-Small Cell Lung Cancer: A Multicenter Real-Life Study. Medicina 2026, 62, 214. https://doi.org/10.3390/medicina62010214
Hendem E, Koçak MZ, Çetinkaya AM, Dinç G, Çağlayan M, Uğraklı M, Çağlayan D, Araz M, Eryılmaz MK, Sakin A, et al. The Impact of Concurrent Proton Pump Inhibitors on Nivolumab Response in Metastatic Non-Small Cell Lung Cancer: A Multicenter Real-Life Study. Medicina. 2026; 62(1):214. https://doi.org/10.3390/medicina62010214
Chicago/Turabian StyleHendem, Engin, Mehmet Zahid Koçak, Ayşegül Merç Çetinkaya, Gülhan Dinç, Melek Çağlayan, Muzaffer Uğraklı, Dilek Çağlayan, Murat Araz, Melek Karakurt Eryılmaz, Abdullah Sakin, and et al. 2026. "The Impact of Concurrent Proton Pump Inhibitors on Nivolumab Response in Metastatic Non-Small Cell Lung Cancer: A Multicenter Real-Life Study" Medicina 62, no. 1: 214. https://doi.org/10.3390/medicina62010214
APA StyleHendem, E., Koçak, M. Z., Çetinkaya, A. M., Dinç, G., Çağlayan, M., Uğraklı, M., Çağlayan, D., Araz, M., Eryılmaz, M. K., Sakin, A., Eren, O. Ö., Tatlı, A. M., Geredeli, Ç., & Artaç, M. (2026). The Impact of Concurrent Proton Pump Inhibitors on Nivolumab Response in Metastatic Non-Small Cell Lung Cancer: A Multicenter Real-Life Study. Medicina, 62(1), 214. https://doi.org/10.3390/medicina62010214

