Sign in to use this feature.

Years

Between: -

Subjects

remove_circle_outline
remove_circle_outline
remove_circle_outline
remove_circle_outline
remove_circle_outline
remove_circle_outline
remove_circle_outline

Journals

Article Types

Countries / Regions

Search Results (12)

Search Parameters:
Keywords = immediately downstream of the dam

Order results
Result details
Results per page
Select all
Export citation of selected articles as:
24 pages, 13424 KB  
Article
Utilizing Deep Learning and Object-Based Image Analysis to Search for Low-Head Dams in Indiana, USA
by Brian M. Crookston and Caitlin R. Arnold
Water 2025, 17(6), 876; https://doi.org/10.3390/w17060876 - 18 Mar 2025
Viewed by 1525
Abstract
Although low-head dams in the USA provide water supply, irrigation, and recreation opportunities, many are unknown by regulators. Unfortunately, hundreds of drownings occur each decade at these dams from an entrapment current that can form immediately downstream. To explore the ability of deep [...] Read more.
Although low-head dams in the USA provide water supply, irrigation, and recreation opportunities, many are unknown by regulators. Unfortunately, hundreds of drownings occur each decade at these dams from an entrapment current that can form immediately downstream. To explore the ability of deep learning to scan large areas of terrain to identify the locations of low-head dams, ArcGIS Pro and embedded deep learning models for object-based image analysis were investigated. The State of Indiana low-head dam dataset was selected for model training and validation. Aerial imagery (leaf-off conditions) captured from 2016 to 2018 for the nearly 94,000 km2 area had a minimum resolution of 304.8 mm. A new Python code was developed that automated the generation of training images and searching was limited to 100 m wide river corridors. Due to bank vegetation, all low-head dams were assigned a visibility score to aid in training and performance analysis. A total of 19 backbone models were considered with single shot detection and options for RetinaNet, Faster R-CNN, and batch normalization. Additional identification classes were incorporated to overcome identification of visually similar objects. After four training iterations, the final trained model was a ResNet RetinaNet backbone model featuring 101 layers with an 83% recall rate for dams with high visibility and a 17% recall rate for those with moderate visibility. Full article
Show Figures

Figure 1

25 pages, 3584 KB  
Article
A Metapopulation Model to Assess Water Management Impacts on the Threatened Australian Lungfish, Neoceratodus forsteri
by Charles R. Todd, Andrew J. McDougall, Scott M. C. Raymond, Robin Hale, Timothy R. Brown, John D. Koehn, Henry F. Wootton, Steven G. Brooks, Adrian M. Kitchingman, Tom Espinoza, Benjamin G. Fanson, Peter K. Kind, Sharon M. Marshall and David T. Roberts
Fishes 2025, 10(1), 22; https://doi.org/10.3390/fishes10010022 - 7 Jan 2025
Viewed by 1734
Abstract
The Australian lungfish, Neoceratodus forsteri, is one of the world’s oldest vertebrate lineages, with a slow life-history and threatened status, requiring immediate conservation efforts. The main threats to lungfish populations are degradation and availability of key macrophyte habitats, water regulation and flow [...] Read more.
The Australian lungfish, Neoceratodus forsteri, is one of the world’s oldest vertebrate lineages, with a slow life-history and threatened status, requiring immediate conservation efforts. The main threats to lungfish populations are degradation and availability of key macrophyte habitats, water regulation and flow modification. As this long-lived species (at least 77 years) has delayed maturity (mature at 10 years), field monitoring alone will not be enough to inform the challenge of ensuring sustainable populations. A stochastic metapopulation model was developed for the Burnett River (Southeast Queensland, Australia), an important habitat for the lungfish that is a highly regulated system with extensive water infrastructure. The model consists of three interacting populations, where the ecology and biology of the species were translated into an 80-year-class population projection matrix for each population, each with post-development streamflow, habitat and movement rules. The model highlights the longer-term interaction between dams and stream flows on habitat availability and subsequent recruitment. Through a pre-development streamflow, we quantify the impact of high regulation and development on the lungfish population in the Burnett River: a minor decline in the upstream population (e.g., 9.8% decline), a large decline in the middle population (64.2% decline), virtually no change in the downstream population (e.g., 1.2% decline) and a moderate decline in the overall metapopulation (e.g., 22.3% decline). The loss of spawning and feeding habitat remains the main reason for population decline, with implications that the loss will lead to greater pressure on remaining downstream habitat due to combined flow and dam effects and, in turn, to extended periods of recovery of spawning habitat. Our modeling approach substantially advances conservation management of this species, as it can be adapted to suit other populations in other river systems and used to test sensitivity to recovery actions. Full article
(This article belongs to the Section Biology and Ecology)
Show Figures

Graphical abstract

23 pages, 4196 KB  
Article
Riverbed Adjustments in Gravel–Sand Reaches Immediately Downstream of Large Reservoirs
by Sixuan Li, Lingling Zhu, Jing Yuan, Bingjiang Dong, Chaonan Lv and Chenggang Yang
Sustainability 2024, 16(24), 11245; https://doi.org/10.3390/su162411245 - 21 Dec 2024
Cited by 2 | Viewed by 1612
Abstract
The operation of large reservoirs significantly modifies flow–sediment regimes, and the reaches immediately downstream of the dams are the first to undergo responsive channel adjustments. Considering that the geomorphological responses are directly related to the flood control safety, channel stability and other sustainable [...] Read more.
The operation of large reservoirs significantly modifies flow–sediment regimes, and the reaches immediately downstream of the dams are the first to undergo responsive channel adjustments. Considering that the geomorphological responses are directly related to the flood control safety, channel stability and other sustainable functions of rivers, this paper explores the similarities and dissimilarities of the channel adjustments in the two reaches with gravel–sand beds immediately downstream of the Xiangjiaba reservoir and the Three Gorges Dam, respectively. The results show that major erosion primarily occurred during the initial years of reservoir impoundment. And then with the prominent reduction in washable sediment on the riverbed, the erosion intensity further weakened. It takes 6 to 13 years for the two reaches to reach a new state of relative equilibrium. In comparison, after the equilibrium state has been achieved, the reach with significant tributary sediment inflows exhibits alternating erosion and deposition dynamics, while the other remains relatively stable. The tributaries that transport a large amount of sediment during floods are the main sources of sediment deposition in the downstream reaches of the Xiangjiaba reservoir. However, the tributary inflow of the Qing River with low sediment concentrations has little impact on the riverbed evolution of the reaches from Yichang to Zhicheng immediately downstream of the Three Gorges Dam. These findings contribute to a deeper understanding of geomorphic adjustments near dams in response to upstream damming. Full article
(This article belongs to the Special Issue Sediment Movement, Sustainable Water Conservancy and Water Transport)
Show Figures

Figure 1

20 pages, 10679 KB  
Article
Long-Term Water Quality Monitoring: Using Satellite Images for Temporal and Spatial Monitoring of Thermal Pollution in Water Resources
by Reza Naimaee, Abbas Kiani, Sina Jarahizadeh, Seyed Babak Haji Seyed Asadollah, Pablo Melgarejo and Antonio Jodar-Abellan
Sustainability 2024, 16(2), 646; https://doi.org/10.3390/su16020646 - 11 Jan 2024
Cited by 26 | Viewed by 5541
Abstract
Thermal pollution reduces water quality through any process that leads to a change in the water’s ambient temperature. Karun is one of the most relevant sources of water supply in Iran, and its pollution, created by industrial, urban, and agricultural issues, has been [...] Read more.
Thermal pollution reduces water quality through any process that leads to a change in the water’s ambient temperature. Karun is one of the most relevant sources of water supply in Iran, and its pollution, created by industrial, urban, and agricultural issues, has been one of the most critical challenges throughout the last few years. As the water temperature rises, the amount of dissolved oxygen in it decreases, thereby affecting the entire ecosystem associated with it. Drainage of urban and industrial runoff into surface water sources can increase the water temperature. Dams also constitute a significant part, modifying spatial patterns of temperature along river routes and causing thermal contamination. In this paper, the thermal pollution of the Karun River was assessed, and regions along this river with unusually raised water temperatures were identified and compared over 20 years. By analyzing the results, it can be found that the thermal pollution from dams has a significant impact on the downstream river environment and ecology that is considerably relevant during summer periods, showing average decreases of 3 degrees Celsius immediately beyond the dams’ locations (from 41 degrees Celsius upstream dams to 38 degrees Celsius beyond them) or even bigger (reductions of 13 degrees Celsius in one of the studied dams). Hence, our results showed that water temperature is colder downstream in the hot seasons of the year than upstream of the dams. The results suggest that the usage of remote sensing data effectively could complement collected data from ground-based sensors to estimate water temperature and to identify pollution areas. It provides experts with spatially extensive and highly synchronized data. Full article
Show Figures

Figure 1

34 pages, 11722 KB  
Article
Mapping Prospects for Artificial Groundwater Recharge Utilizing Remote Sensing and GIS Methods
by Dheeraj Mohan Gururani, Yogendra Kumar, Salwan Ali Abed, Vinod Kumar, Dinesh Kumar Vishwakarma, Nadhir Al-Ansari, Kanwarpreet Singh, Alban Kuriqi and Mohamed A. Mattar
Water 2023, 15(22), 3904; https://doi.org/10.3390/w15223904 - 8 Nov 2023
Cited by 13 | Viewed by 6730
Abstract
The indiscriminate use of groundwater and its overexploitation has led to a significant decline in groundwater resources in India, making it essential to identify potential recharge zones for aquifer recharge. A study was conducted to determine such potential recharge zones in the Nandhour-Kailash [...] Read more.
The indiscriminate use of groundwater and its overexploitation has led to a significant decline in groundwater resources in India, making it essential to identify potential recharge zones for aquifer recharge. A study was conducted to determine such potential recharge zones in the Nandhour-Kailash River watershed. The study area included 1481 streams divided into 12 sub-basins (SWS). The results show that the downstream Saraunj sub-basins (SWS-11) and Odra sub-basins (SWS-12) were high priority and required immediate soil and water conservation attention. Sub catchments Lobchla West (SWS-4), Deotar (SWS-5), Balot South (SWS-8), Nandhour (SWS-9), and Nakoliy (SWS-10) had medium priority and were designated for moderate soil erosion and degradation. In contrast, sub-catchments Aligad (SWS-1), Kundal (SWS-2), Lowarnala North (SWS-3), Bhalseni (SWS-6), and Uparla Gauniyarao (SWS-7) had low priority, indicating a low risk of soil erosion and degradation. Using the existing groundwater level data, the potential map of groundwater was validated to confirm its validity. According to the guidelines provided by the Integrated Mission for Sustainable Development (IMSD), the results of the groundwater potential zones for good to very good zones have been integrated at the slope and stream order. In a 120.94 km2 area with a slope of 0–5% in first-order streams, 36 ponds were proposed, and in a 218.03 km2 area with a slope of 15% in first- to fourth-order streams, 105 retention dams were proposed and recognized as possible sites for artificial groundwater recharge. The proposed water harvesting structure may aid in continuously recharging these zones and benefit water resource managers and planners. Thus, various governmental organizations can use the results to identify possible future recharge areas. Full article
(This article belongs to the Special Issue Novel Applications of Surface Water–Groundwater Modeling)
Show Figures

Figure 1

18 pages, 4862 KB  
Article
Environmental and Health Risk Assessment Due to Potentially Toxic Elements in Soil near Former Antimony Mine in Western Serbia
by Snežana Belanović Simić, Predrag Miljković, Aleksandar Baumgertel, Sara Lukić, Janko Ljubičić and Dragan Čakmak
Land 2023, 12(2), 421; https://doi.org/10.3390/land12020421 - 6 Feb 2023
Cited by 15 | Viewed by 3980
Abstract
Background: Anthropogenic activities have clearly affected the environment, with irreversible and destructive consequences. Mining activities have a significant negative impact, primarily on soil, and then on human health. The negative impact of the first mining activities is represented even today in the soils [...] Read more.
Background: Anthropogenic activities have clearly affected the environment, with irreversible and destructive consequences. Mining activities have a significant negative impact, primarily on soil, and then on human health. The negative impact of the first mining activities is represented even today in the soils of those localities. Research shows that, for different types of mines, the concentrations of potentially toxic elements (PTEs) are high, especially in antimony, multi-metal and lead–zinc mines, which have adverse effects on the environment and then on human health and the economy. A large flood in 2014 in Western Serbia resulted in the breaking of the dam of the processed antimony ore dump of the former antimony mine, causing toxic tailings to spill and pollute the downstream area. Due to this accident, tailings material flooded the area downstream of the dump, and severely affected the local agriculture and population. Methods: Potentially toxic elements content, pollution indices and health indices were determined in soil samples from the flooded area, using referenced methodologies. The sources and routes of pollutants and risks were determined and quantified using statistical principal component analysis, positive matrix factorisation, and a Monte Carlo simulation. Results: The main source of As, Cd, Hg, Pb, Sb and Zn in the upper part of the study area was the tailing material. Based on the pollution indices, about 72% of the studied samples show a high risk of contamination and are mainly distributed immediately downstream of the tailings dump that was spilled due to heavy rainfall. Conclusions: Although the content of the PTEs is high, there is no non-carcinogenic risk for any PTEs except As, for which a threshold risk was determined. There is no carcinogenic risk in the study area. Full article
Show Figures

Figure 1

2 pages, 201 KB  
Abstract
Fish Community Size Structure as an Indicator for the Bioassessment of Weir Impact
by Rosa Gurí, Ignasi Arranz, Lluís Benejam and Marc Ordeix
Biol. Life Sci. Forum 2022, 13(1), 72; https://doi.org/10.3390/blsf2022013072 - 9 Jun 2022
Viewed by 1154
Abstract
The ecological impacts of large dams on stream fish communities have been largely documented, but there is less research on the impacts of small hydropower plants (hereafter called weirs). Most of the studies that evaluate the impact of weirs have been focused on [...] Read more.
The ecological impacts of large dams on stream fish communities have been largely documented, but there is less research on the impacts of small hydropower plants (hereafter called weirs). Most of the studies that evaluate the impact of weirs have been focused on taxonomical approaches such as species richness or diversity. Size-based indicators can be used as alternative tools to evaluate the effects of several environmental changes and anthropogenic perturbations on riverine ecosystems because of the key role of body size in fish physiological rates (i.e., growth, reproduction, respiration). This work investigated the impact of 16 weirs of the upper Ter River basin (NE Iberian Peninsula) on fish community body size structure, comparing control reaches (distant from a weir) with reaches impacted by weirs (immediately downstream). We also controlled for the influence of environmental factors including altitudinal gradients, spatial connectivity, and stream depth. Additionally, we tested the usage of multiple size-based approaches under different sampling intensities from one pass to four passes with an electrofishing sampling design. The results revealed strong evidence that weirs have a negative effect on basic size metrics such as average length and median length: fish communities located in impacted sites showed smaller average and median body sizes than fish communities distant from weirs. In contrast, the size spectrum parameters and functional size diversity metrics showed weak responses to the impact of weirs. The results also showed that all size-based metrics exhibited consistent results under different sampling efforts, suggesting that one sampling pass provided a good representation of the community size structure. The results suggested that only basic size metrics such as average and median length could be useful indicators for the bioassessment of river flow alterations. Finally, size-based metrics can provide an alternative approach to characterize community fish structures by reducing the costs of fish surveys in management plans. Full article
(This article belongs to the Proceedings of The IX Iberian Congress of Ichthyology)
17 pages, 9039 KB  
Article
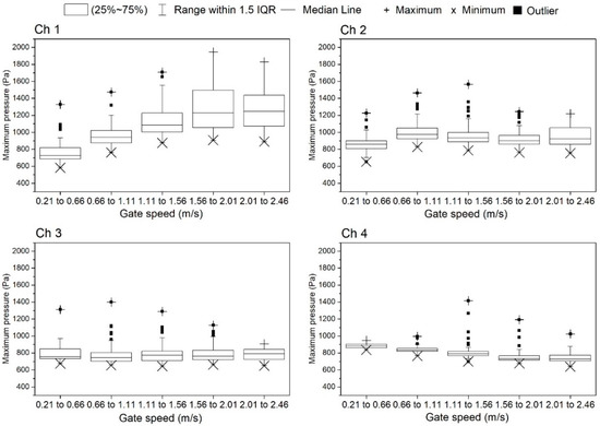
Stochastic Uncertainty in a Dam-Break Experiment with Varying Gate Speeds
by Hiroshi Takagi and Fumitaka Furukawa
J. Mar. Sci. Eng. 2021, 9(1), 67; https://doi.org/10.3390/jmse9010067 - 11 Jan 2021
Cited by 6 | Viewed by 3114
Abstract
Uncertainties inherent in gate-opening speeds are rarely studied in dam-break flow experiments due to the laborious experimental procedures required. For the stochastic analysis of these mechanisms, this study involved 290 flow tests performed in a dam-break flume via varying gate speeds between 0.20 [...] Read more.
Uncertainties inherent in gate-opening speeds are rarely studied in dam-break flow experiments due to the laborious experimental procedures required. For the stochastic analysis of these mechanisms, this study involved 290 flow tests performed in a dam-break flume via varying gate speeds between 0.20 and 2.50 m/s; four pressure sensors embedded in the flume bed recorded high-frequency bottom pressures. The obtained data were processed to determine the statistical relationships between gate speed and maximum pressure. The correlations between them were found to be particularly significant at the sensors nearest to the gate (Ch1) and farthest from the gate (Ch4), with a Pearson’s coefficient r of 0.671 and −0.524, respectively. The interquartile range (IQR) suggests that the statistical variability of maximum pressure is the largest at Ch1 and smallest at Ch4. When the gate is opened faster, a higher pressure with greater uncertainty occurs near the gate. However, both the pressure magnitude and the uncertainty decrease as the dam-break flow propagates downstream. The maximum pressure appears within long-period surge-pressure phases; however, instances considered as statistical outliers appear within short and impulsive pressure phases. A few unique phenomena, which could cause significant bottom pressure variability, were also identified through visual analyses using high-speed camera images. For example, an explosive water jet increases the vertical acceleration immediately after the gate is lifted, thereby retarding dam-break flow propagation. Owing to the existence of sidewalls, two edge waves were generated, which behaved similarly to ship wakes, causing a strong horizontal mixture of the water flow. Full article
(This article belongs to the Section Ocean Engineering)
Show Figures

Figure 1

16 pages, 17592 KB  
Article
Effects of Sediment Released from a Check Dam on Sediment Deposits and Fish and Macroinvertebrate Communities in a Small Stream
by Rei Itsukushima, Kazuaki Ohtsuki, Tatsuro Sato, Yuichi Kano, Hiroshi Takata and Hiroaki Yoshikawa
Water 2019, 11(4), 716; https://doi.org/10.3390/w11040716 - 6 Apr 2019
Cited by 8 | Viewed by 5598
Abstract
Dam removal is typically intended for river restoration or as a countermeasure for aging dams. The influence of dam removal has mainly been studied in large rivers. This study is intended to investigate the influence of the sediment supplied after opening a check [...] Read more.
Dam removal is typically intended for river restoration or as a countermeasure for aging dams. The influence of dam removal has mainly been studied in large rivers. This study is intended to investigate the influence of the sediment supplied after opening a check dam drain in a small steep stream to contribute to the establishment of sediment release technology form check dam by accumulating the basic knowledge about the influence of sediment release. Deposited sediment in the impoundment was rapidly discharged immediately after opening the drain outlet, and a moderate sediment discharge followed. The water course of the sediments deposited by repeated channel widening and riverbed degradation tended to stop longitudinal topographic changes from downstream. In addition, the turbidity during a flood was high in the first year and tended to decrease in the second year. As for the ecosystem response, changes in the benthic macroinvertebrate community were confirmed in downstream sites, and net-spinning species especially deceased immediately after the sediment supply began. Our monitoring results suggest that the increasing turbidity was suppressed during the flood because sediment release was conducted from the small-scale facility. As a result, a negative impact on the aquatic ecosystem seemed to be reduced. Full article
(This article belongs to the Section Water Quality and Contamination)
Show Figures

Figure 1

16 pages, 36496 KB  
Article
Integrated Application of Remote Sensing, GIS and Hydrological Modeling to Estimate the Potential Impact Area of Earthquake-Induced Dammed Lakes
by Bo Cao, Shengmei Yang and Song Ye
Water 2017, 9(10), 777; https://doi.org/10.3390/w9100777 - 12 Oct 2017
Cited by 3 | Viewed by 5164
Abstract
Dammed lakes are an important secondary hazard caused by earthquakes. They can induce further damage to nearby humans. Current hydrology calculation research on dammed lakes usually lacks spatial expressive ability and cannot accurately conduct impact assessment without the support of remote sensing, which [...] Read more.
Dammed lakes are an important secondary hazard caused by earthquakes. They can induce further damage to nearby humans. Current hydrology calculation research on dammed lakes usually lacks spatial expressive ability and cannot accurately conduct impact assessment without the support of remote sensing, which obtains important characteristic information of dammed lakes. The current study aims to address the issues of the potential impact area estimate of earthquake-induced dammed lakes by combining remote sensing (RS), a geographic information system (GIS), and hydrological modeling. The Tangjiashan dammed lake induced by the Wenchuan earthquake was selected as the case for study. The elevation-versus-reservoir capacity curve was first calculated using the seed-growing algorithm based on digital elevation model (DEM) data. The simulated annealing algorithm was applied to train the hydrological modeling parameters according to the historical hydrologic data. Then, the downstream water elevation variational process under different collapse capacity conditions was performed based on the obtained parameters. Finally, the downstream potential impact area was estimated by the highest water elevation values at different hydrologic sections. Results show that a flood with a collapse elevation of at least 680 m will impact the entire downstream region of Beichuan town. We conclude that spatial information technology combined with hydrological modeling can accurately predict and demonstrate the potential impact area with limited data resources. This paper provides a better guide for future immediate responses to dammed lake hazard mitigation. Full article
Show Figures

Figure 1

18 pages, 1851 KB  
Article
Putting Flow–Ecology Relationships into Practice: A Decision-Support System to Assess Fish Community Response to Water-Management Scenarios
by Jennifer Cartwright, Casey Caldwell, Steven Nebiker and Rodney Knight
Water 2017, 9(3), 196; https://doi.org/10.3390/w9030196 - 8 Mar 2017
Cited by 27 | Viewed by 7541
Abstract
This paper presents a conceptual framework to operationalize flow–ecology relationships into decision-support systems of practical use to water-resource managers, who are commonly tasked with balancing multiple competing socioeconomic and environmental priorities. We illustrate this framework with a case study, whereby fish community responses [...] Read more.
This paper presents a conceptual framework to operationalize flow–ecology relationships into decision-support systems of practical use to water-resource managers, who are commonly tasked with balancing multiple competing socioeconomic and environmental priorities. We illustrate this framework with a case study, whereby fish community responses to various water-management scenarios were predicted in a partially regulated river system at a local watershed scale. This case study simulates management scenarios based on interactive effects of dam operation protocols, withdrawals for municipal water supply, effluent discharges from wastewater treatment, and inter-basin water transfers. Modeled streamflow was integrated with flow–ecology relationships relating hydrologic departure from reference conditions to fish species richness, stratified by trophic, reproductive, and habitat characteristics. Adding a hypothetical new water-withdrawal site was predicted to increase the frequency of low-flow conditions with adverse effects for several fish groups. Imposition of new reservoir release requirements was predicted to enhance flow and fish species richness immediately downstream of the reservoir, but these effects were dissipated further downstream. The framework presented here can be used to translate flow–ecology relationships into evidence-based management by developing decision-support systems for conservation of riverine biodiversity while optimizing water availability for human use. Full article
Show Figures

Graphical abstract

25 pages, 3481 KB  
Article
Potential Impact of Climate Changes on the Inundation Risk Levels in a Dam Break Scenario
by Sudha Yerramilli
ISPRS Int. J. Geo-Inf. 2013, 2(1), 110-134; https://doi.org/10.3390/ijgi2010110 - 4 Mar 2013
Cited by 10 | Viewed by 9872
Abstract
The overall objective of the study is to generate information for an enhanced land use planning with respect to flood hazards. The study assesses the potential impact of climate change by simulating a dam break scenario in a high intensity rainfall event and [...] Read more.
The overall objective of the study is to generate information for an enhanced land use planning with respect to flood hazards. The study assesses the potential impact of climate change by simulating a dam break scenario in a high intensity rainfall event and evaluates the vulnerability risk in the downstream region by integrating ArcGIS and Hydrologic Engineering Centers River Analysis System (HEC-RAS) technologies. In the past century, the evidence of climate changes are observed in terms of increase in high intensity rainfall events. These events are of high concern, as increased inflow rates may increase the probability of a dam failure, leading to higher magnitude flooding events involving multiple consequences. The 100 year historical rainfall data for the central Mississippi region reveals an increased trend in the intensity of rainfall rates after the 1970s. With more than 10% of high hazard dams in the central region, the damage can be far accumulative. The study determines occurrence of the high intensity rainfall event in the past 100 years for central Mississippi and simulates a Ross Barnett Reservoir dam break scenario and evaluates the vulnerability risks due to inundation in the immediate downstream region, which happens to be the State Capital. The results indicate that the inundation due to a Ross Barnett Reservoir failure under high intensity rainfall event is comparable to a catastrophic flood event experienced by the region in 1979, which almost equals a 200-year flood magnitude. The results indicate that the extent and depth of flood waters poses a significant destructive threat to the state capital, inundating various infrastructural and transportation networks. Full article
(This article belongs to the Special Issue Space-Based Technologies for Disaster Risk Management)
Show Figures

Figure 1

Back to TopTop