Sign in to use this feature.

Years

Between: -

Subjects

remove_circle_outline
remove_circle_outline
remove_circle_outline
remove_circle_outline
remove_circle_outline
remove_circle_outline
remove_circle_outline

Journals

Article Types

Countries / Regions

Search Results (63)

Search Parameters:
Keywords = image-derived phenotyping features

Order results
Result details
Results per page
Select all
Export citation of selected articles as:
17 pages, 2078 KB  
Article
A Pathophysiology-Oriented Imaging Phenotype Framework for Nonobstructive Coronary Artery Disease
by Hongqun Du, Wenyue Chen, Hao Tian, Hong Huang, Yong Wu, Jun Liu and Hongyan Qiao
J. Cardiovasc. Dev. Dis. 2026, 13(4), 171; https://doi.org/10.3390/jcdd13040171 - 18 Apr 2026
Viewed by 152
Abstract
Nonobstructive coronary artery disease (NOCAD) is increasingly recognized as a heterogeneous condition characterized by diverse pathophysiological mechanisms despite the absence of flow-limiting stenosis. We sought to establish a rule-based dominant imaging phenotype framework integrating functional, structural, and inflammatory dimensions derived from multiparametric coronary [...] Read more.
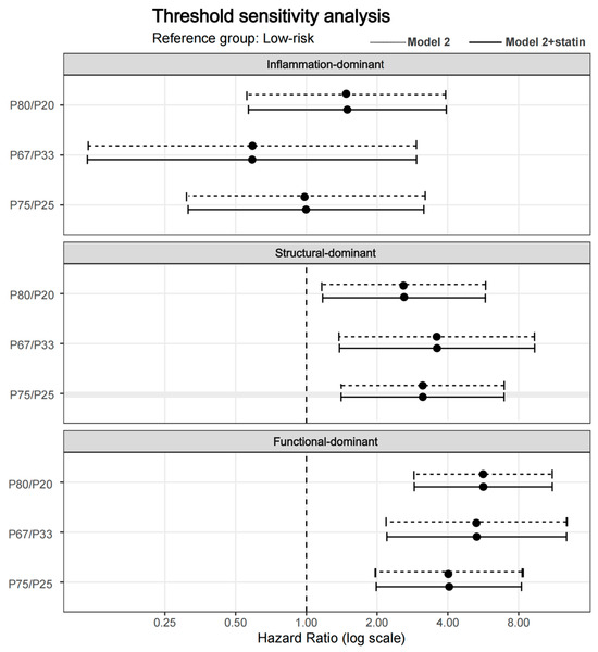
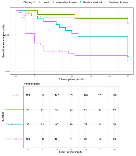
Nonobstructive coronary artery disease (NOCAD) is increasingly recognized as a heterogeneous condition characterized by diverse pathophysiological mechanisms despite the absence of flow-limiting stenosis. We sought to establish a rule-based dominant imaging phenotype framework integrating functional, structural, and inflammatory dimensions derived from multiparametric coronary computed tomography angiography (CCTA). In this retrospective cohort of 485 patients with NOCAD, CT-derived fractional flow reserve (CT-FFR), quantitative plaque burden and high-risk plaque features, and perivascular fat attenuation index (FAI) were assessed. Using predefined percentile thresholds and hierarchical rules, patients were categorized into function-, structure-, inflammation-dominant, or low-risk phenotypes. During a median follow-up of 36 months, 56 patients (11.5%) experienced major adverse cardiovascular events (MACE). After multivariable adjustment, function dominance was associated with the highest risk (hazard ratio [HR] 4.054, 95% confidence interval [CI] 1.984–8.281; p < 0.001), followed by structure dominance (HR 3.129, 95% CI 1.410–6.944; p = 0.005), whereas isolated inflammation dominance did not show a statistically significant independent association with events, with wide confidence intervals indicating limited precision. These findings suggest a graded pattern of prognostic associations across functional and structural abnormalities in NOCAD and support a phenotype-oriented interpretation of CCTA metrics reflecting distinct biological axes of coronary pathology. Full article
(This article belongs to the Section Cardiovascular Clinical Research)
Show Figures

Figure 1

17 pages, 573 KB  
Review
Imaging-Driven Risk Stratification and Endovascular Decision Pathways in Acute Pulmonary Embolism
by Fabio Corvino, Francesco Giurazza, Massimo Galia, Antonio Corvino, Pierleone Lucatelli, Antonio Basile, Marcello Andrea Tipaldi, Cristina Mosconi and Raffaella Niola
Diagnostics 2026, 16(8), 1200; https://doi.org/10.3390/diagnostics16081200 - 17 Apr 2026
Viewed by 468
Abstract
Acute pulmonary embolism (PE) is increasingly managed as a dynamic risk continuum in which imaging findings guide therapeutic escalation rather than merely confirm diagnosis. The principal challenge still remains normotensive patients with intermediate–high-risk features, where early right ventricular (RV) dysfunction may precede overt [...] Read more.
Acute pulmonary embolism (PE) is increasingly managed as a dynamic risk continuum in which imaging findings guide therapeutic escalation rather than merely confirm diagnosis. The principal challenge still remains normotensive patients with intermediate–high-risk features, where early right ventricular (RV) dysfunction may precede overt hemodynamic collapse. New trends focus on a trajectory-based model by integrating clinical, laboratory, and standardized imaging parameters into severity categorization. This review critically examines how imaging-derived markers influence risk stratification, escalation timing, and endovascular decision pathways in contemporary PE management. A structured narrative review was conducted focusing on the literature published between January 2020 and January 2026. PubMed/MEDLINE, Scopus, and Web of Science were searched for studies addressing imaging-based risk assessment, catheter-based reperfusion strategies, randomized trials, prospective registries, and guideline documents. Contemporary data consistently demonstrate that catheter directed therapies (CDTs) lead to rapid improvement in RV imaging surrogates and hemodynamic parameters. However, short-term mortality differences are uncommon in predominantly normotensive cohorts. Clinically meaningful signals instead emerge in the reduction in early clinical deterioration, the need for rescue escalation, bleeding optimization, and healthcare resource utilization. Imaging, as standardized reporting of RV strain on computed tomography pulmonary angiography and echocardiography, should be further embedded into escalation algorithms. In modern PE care, imaging functions as a trigger for escalation within multidisciplinary pathways rather than as a passive prognostic marker. CDTs should be interpreted as tools for trajectory modulation in selected intermediate-risk patients rather than mortality-reduction strategies. Future research should integrate imaging phenotyping, dynamic reassessment models, and organizational variables to refine patient selection and optimize outcome-relevant endpoints. Full article
Show Figures

Figure 1

23 pages, 3201 KB  
Review
Multimodal Radiogenomic Imaging in Oropharyngeal Squamous Cell Carcinoma: Implications for Dentomaxillofacial Radiology
by Elaine Dinardi Barioni, Kaan Orhan, Ana Cristina Borges-Oliveira, Sérgio Lúcio Pereira de Castro Lopes and Andre Luiz Ferreira Costa
Med. Sci. 2026, 14(2), 174; https://doi.org/10.3390/medsci14020174 - 31 Mar 2026
Viewed by 534
Abstract
Radiogenomics examines associations between imaging phenotypes and underlying biological characteristics across cancer types. This structured narrative review focuses on oropharyngeal squamous cell carcinoma (OPSCC) and evaluates how genomic programs characteristic of HPV-positive and HPV-negative tumors have been investigated across computed tomography (CT), magnetic [...] Read more.
Radiogenomics examines associations between imaging phenotypes and underlying biological characteristics across cancer types. This structured narrative review focuses on oropharyngeal squamous cell carcinoma (OPSCC) and evaluates how genomic programs characteristic of HPV-positive and HPV-negative tumors have been investigated across computed tomography (CT), magnetic resonance imaging (MRI) and positron emission tomography/computed tomography (PET/CT) as variations in heterogeneity, diffusion patterns, perfusion and metabolic activity. A structured literature search was conducted in PubMed/MEDLINE, Scopus and Web of Science to identify studies on radiomics and radiogenomics in OPSCC and related head and neck cancers. After screening and eligibility assessment, 81 studies were included in the narrative synthesis. The reviewed literature indicates that imaging-derived features have been associated with HPV status, hypoxia-related signatures, extranodal extension and treatment outcomes. However, the current evidence base remains heterogeneous and is largely composed of retrospective, single-institution studies with relatively small cohorts. Methodological challenges, including variability in imaging acquisition, segmentation and feature harmonization, limit reproducibility and generalizability. Although cone-beam computed tomography (CBCT) is not used for primary OPSCC staging and no CBCT-based radiogenomic studies in OPSCC have been reported, existing radiomics research in dentomaxillofacial imaging suggests its potential as a hypothesis-generating modality for future investigation. Overall, current evidence supports the biological plausibility of radiogenomic imaging signatures in OPSCC, while emphasizing the need for larger multicenter datasets, standardized imaging protocols and prospective validation before clinical implementation. Full article
(This article belongs to the Special Issue Feature Papers in Section “Cancer and Cancer-Related Research”)
Show Figures

Figure 1

15 pages, 2233 KB  
Article
From Patient Liver Tissue to Organoids: Establishment of a Translational Platform Using Healthy, Steatotic, and Cirrhotic Tissue Sources
by Robert F. Pohlberger, Katharina S. Hardt, Mark P. Kühnel, Julian Palzer, Johanna Luisa Reinhardt, Oliver Beetz, Felix Oldhafer, Franziska A. Meister, Katja S. Just, Sarah K. Schröder-Lange, Danny Jonigk, Florian W. R. Vondran, Ralf Weiskirchen, Thomas Stiehl and Anjali A. Roeth
Cells 2026, 15(5), 432; https://doi.org/10.3390/cells15050432 - 28 Feb 2026
Viewed by 752
Abstract
Metabolic dysfunction-associated steatotic liver disease (MASLD) and its consequences represent a growing global health burden that urgently requires physiologically relevant in vitro models beyond conventional 2D culture systems. In this study, we report the successful establishment of 45 patient-derived liver organoid lines. These [...] Read more.
Metabolic dysfunction-associated steatotic liver disease (MASLD) and its consequences represent a growing global health burden that urgently requires physiologically relevant in vitro models beyond conventional 2D culture systems. In this study, we report the successful establishment of 45 patient-derived liver organoid lines. These organoids were generated from healthy, steatotic and cirrhotic tissues collected from 207 liver surgeries at RWTH University Hospital Aachen, with an initiation success rate of 82%. The organoids were propagated for at least six passages using an optimized protocol. Multiplex immunofluorescence analysis revealed highly proliferative structures with approximately 40% Ki-67-positive cells expressing hepatocyte (Albumin and HNF4α) and cholangiocyte (CK19) markers. Intermittent LGR5 staining suggested the presence of liver progenitor cell features. Quantitative PCR results confirmed variable HNF4α expression, indicating inter-patient heterogeneity in differentiation status. Time-lapse imaging combined with mathematical modeling uncovered a biphasic growth dynamic with an initial linear expansion in the first 15 h, followed by exponential growth (doubling time ≈ 20.6 h) between 30 and 72 h. Overall, our workflow produced genetically and phenotypically stable liver organoids that recapitulate essential features of various hepatic conditions. This provides a solid foundation for disease modeling, potential drug testing, and quantitative systems biology. Full article
(This article belongs to the Section Tissues and Organs)
Show Figures

Figure 1

15 pages, 1465 KB  
Article
Dynamic Contrast-Enhanced MRI Kinetic Curve-Driven Parametric Radiomics for Predicting Breast Cancer Molecular Subtypes: A Multicenter and Interpretable Study
by Ting Wang, Jing Gong, Simin Wang, Shiyun Sun, Jiayin Zhou, Luyi Lin, Dandan Zhang, Chao You and Yajia Gu
Tomography 2026, 12(2), 27; https://doi.org/10.3390/tomography12020027 - 22 Feb 2026
Viewed by 667
Abstract
Background/Objectives: To investigate and develop a non-invasive parametric radiomics model derived from dynamic contrast-enhanced MRI (DCE-MRI) time-intensity curve (TIC) kinetics for predicting breast cancer molecular subtypes (HR+/HER2−, HER2+ and triple-negative breast cancer). Methods: This multicenter retrospective study enrolled 935 female patients [...] Read more.
Background/Objectives: To investigate and develop a non-invasive parametric radiomics model derived from dynamic contrast-enhanced MRI (DCE-MRI) time-intensity curve (TIC) kinetics for predicting breast cancer molecular subtypes (HR+/HER2−, HER2+ and triple-negative breast cancer). Methods: This multicenter retrospective study enrolled 935 female patients with histologically confirmed breast cancer who underwent pretreatment breast DCE-MRI from August 2017 to July 2022. Based on the wash-in rate (WIR) and the area under the TIC, the original multiphase DCE-MRI images were converted into two types of parametric images. Radiomics features were extracted from TIC-WIR and TIC-Area images and analyzed using low variance filtering, the elimination of highly correlated features, and the least absolute shrinkage and selection operator regression. The categorical boosting algorithm was employed to develop multiclass prediction models for breast cancer molecular subtyping. A TIC-Combined model was further established by integrating the calibrated probability outputs of the TIC-WIR and TIC-Area models using a decision-level fusion strategy. The discrimination, calibration, and interpretability of the models were evaluated in the study datasets. Results: The TIC-Combined model achieved superior predictive performance in both the internal validation set (micro-average AUC: 0.79, macro-average AUC: 0.77) and the external validation set (micro-average AUC: 0.77, macro-average AUC: 0.75). For subtype-specific classification by the TIC-Combined model, the highest one-vs-rest AUCs were 0.81 for triple-negative breast cancer in the internal validation set and 0.76 for HER2+ breast cancer in the external validation set. The TIC-Combined model also showed good calibration and high interpretability which ensured reliable predictions and provided clear insights into feature importance. Conclusions: Interpretable parametric radiomics from TIC-derived parametric maps links kinetic features to molecular phenotypes, enabling accurate and non-invasive classification of breast cancer molecular subtypes. Full article
(This article belongs to the Special Issue Imaging in Cancer Diagnosis)
Show Figures

Figure 1

29 pages, 5291 KB  
Article
Frequency Ranking of Imaging Biomarkers for Lung Cancer Risk Stratification Using a Hybrid Elastic Net Method
by Mohamed Jaber, Emmy Stevens and Nezamoddin N. Kachouie
Cancers 2026, 18(4), 582; https://doi.org/10.3390/cancers18040582 - 10 Feb 2026
Cited by 1 | Viewed by 509
Abstract
Lung cancer remains the leading cause of cancer-related mortality worldwide, emphasizing the critical need for novel and robust biomarkers to improve prognostication and guide precision oncology. While traditional clinical variables such as tumor stage, age, and sex are routinely used for survival prediction, [...] Read more.
Lung cancer remains the leading cause of cancer-related mortality worldwide, emphasizing the critical need for novel and robust biomarkers to improve prognostication and guide precision oncology. While traditional clinical variables such as tumor stage, age, and sex are routinely used for survival prediction, their prognostic performance is limited. Imaging biomarkers derived from radiomic analysis of advanced medical imaging have emerged as a promising class of noninvasive cancer biomarkers, enabling quantitative characterization of tumor phenotypes. In this study, we investigated the prognostic utility of radiomic imaging biomarkers, with a particular focus on the texture-based feature Busyness, and compared their performance against conventional clinical factors. Survival analyses demonstrated that Busyness achieved significantly stronger discrimination of survival outcomes than stage, age, or sex. Stratified analyses further showed that Busyness consistently remained a dominant predictor of survival across age and sex subgroups, whereas tumor stage alone provided limited prognostic separation. To address class imbalance and enhance model robustness, the Synthetic Minority Over-sampling Technique (SMOTE) was applied, further supporting the stability of the imaging biomarker findings. These results highlight the potential of radiomic imaging biomarkers as powerful prognostic tools in lung cancer and support their integration into clinical workflows. This work contributes to the growing landscape of new cancer biomarkers and provides a foundation for future studies integrating imaging biomarkers with molecular and genomic markers to achieve improved prognostic accuracy. Full article
(This article belongs to the Special Issue New Biomarkers in Cancers 2nd Edition)
Show Figures

Figure 1

30 pages, 1988 KB  
Systematic Review
MRI-Based Radiomics for Non-Invasive Prediction of Molecular Biomarkers in Gliomas
by Edoardo Agosti, Karen Mapelli, Gianluca Grimod, Amedeo Piazza, Marco Maria Fontanella and Pier Paolo Panciani
Cancers 2026, 18(3), 491; https://doi.org/10.3390/cancers18030491 - 2 Feb 2026
Cited by 2 | Viewed by 943
Abstract
Background: Radiomics has emerged as a promising approach to non-invasively characterize the molecular landscape of gliomas, providing quantitative, high-dimensional data derived from routine MRI. Given the recent shift toward molecularly driven classification, radiomics may support precision oncology by predicting key genomic, epigenetic, and [...] Read more.
Background: Radiomics has emerged as a promising approach to non-invasively characterize the molecular landscape of gliomas, providing quantitative, high-dimensional data derived from routine MRI. Given the recent shift toward molecularly driven classification, radiomics may support precision oncology by predicting key genomic, epigenetic, and phenotypic alterations without the need for invasive tissue sampling. This systematic review aimed to synthesize current radiomics applications for the non-invasive prediction of molecular biomarkers in gliomas, evaluating methodological trends, performance metrics, and translational readiness. Methods: This review followed the PRISMA 2020 guidelines. A systematic search was conducted in PubMed, Ovid MEDLINE, and Scopus on 10 January 2025, and updated on 1 February 2025, using predefined MeSH terms and keywords related to glioma, radiomics, machine learning, deep learning, and molecular biomarkers. Eligible studies included original research using MRI-based radiomics to predict molecular alterations in human gliomas, with reported performance metrics. Data extraction covered study design, cohort size, MRI sequences, segmentation approaches, feature extraction software, computational methods, biomarkers assessed, and diagnostic performance. Methodological quality was evaluated using the Radiomics Quality Score (RQS), Image Biomarker Standardization Initiative (IBSI) criteria, and Newcastle–Ottawa Scale (NOS). Due to heterogeneity, no meta-analysis was performed. Results: Of 744 screened records, 70 studies met the inclusion criteria. A total of 10,324 patients were included across all studies (mean 140 patients/study, range 23–628). The most frequently employed MRI sequences were T2-weighted (59 studies, 84.3%), contrast-enhanced T1WI (53 studies, 75.7%), T1WI (50 studies, 71.4%), and FLAIR (48 studies, 68.6%); diffusion-weighted imaging was used in only 7 studies (12.8%). Manual segmentation predominated (52 studies, 74.3%), whereas automated approaches were used in 13 studies (18.6%). Common feature extraction platforms included 3D Slicer (20 studies, 28.6%) and MATLAB-based tools (17 studies, 24.3%). Machine learning methods were applied in 47 studies (67.1%), with support vector machines used in 29 studies (41.4%); deep learning models were implemented in 27 studies (38.6%), primarily convolutional neural networks (20 studies, 28.6%). IDH mutation was the most frequently predicted biomarker (49 studies, 70%), followed by ATRX (27 studies, 38.6%), MGMT methylation (8 studies, 11,4%), and 1p/19q codeletion (7 studies, 10%). Reported AUC values ranged from 0.80 to 0.99 for IDH, approximately 0.71–0.953 for 1p/19q, 0.72–0.93 for MGMT, and 0.76–0.97 for ATRX, with deep learning or hybrid pipelines generally achieving the highest performance. RQS values highlighted substantial methodological variability, and IBSI adherence was inconsistent. NOS scores indicated high-quality methodology in a limited subset of studies. Conclusions: Radiomics demonstrates strong potential for the non-invasive prediction of key glioma molecular biomarkers, achieving high diagnostic performance across diverse computational approaches. However, widespread clinical translation remains hindered by heterogeneous imaging protocols, limited standardization, insufficient external validation, and variable methodological rigor. Full article
(This article belongs to the Special Issue Radiomics and Molecular Biology in Glioma: A Synergistic Approach)
Show Figures

Figure 1

9 pages, 1100 KB  
Case Report
A New Case of PITX1-Related Mandibular–Pelvic–Patellar (MPP) Syndrome
by Evgeniya Melnik, Ekaterina Petrova, Tatiana Markova, Ksenya Zabudskaya and Elena Dadali
Clin. Pract. 2026, 16(2), 31; https://doi.org/10.3390/clinpract16020031 - 29 Jan 2026
Viewed by 457
Abstract
Background: The PITX1 gene encodes a transcription factor that plays a crucial role in the development of the lower limbs, pelvis, and structures derived from the first branchial arch. Pathogenic variants in PITX1 are associated with a limited spectrum of rare disorders, [...] Read more.
Background: The PITX1 gene encodes a transcription factor that plays a crucial role in the development of the lower limbs, pelvis, and structures derived from the first branchial arch. Pathogenic variants in PITX1 are associated with a limited spectrum of rare disorders, including congenital talipes equinovarus with or without long bone anomalies and/or mirror-image polydactyly, and Liebenberg syndrome. In 2020, a novel clinical phenotype, Mandibular–Pelvic–Patellar (MPP) syndrome, resulting PITX1 missense variants, was proposed. Case presentation: We report the fourth documented case of MPP syndrome worldwide, identified in a 17-year-old female patient presenting with congenital lower limb deformities, patellar aplasia, and micrognathia. Whole-genome sequencing revealed a heterozygous PITX1 missense variant NM_002653.5: c.412A>C, p.(Lys138Gln). The clinical phenotype included knee flexion contractures and severe equinovarus and planovalgus foot deformities requiring multiple staged reconstructive surgical procedures. Conclusions: This case supports recognition of MPP syndrome as a clinically and genetically distinct PITX1-related disorder. Our findings expand the phenotypic spectrum of MPP syndrome and suggest that severe congenital foot deformities represent a consistent and clinically relevant feature of this condition. Full article
Show Figures

Figure 1

41 pages, 5796 KB  
Article
Comparative Analysis of R-CNN and YOLOv8 Segmentation Features for Tomato Ripening Stage Classification and Quality Estimation
by Ali Ahmad, Jaime Lloret, Lorena Parra, Sandra Sendra and Francesco Di Gioia
Horticulturae 2026, 12(2), 127; https://doi.org/10.3390/horticulturae12020127 - 23 Jan 2026
Cited by 1 | Viewed by 792
Abstract
Accurate classification of tomato ripening stages and quality estimation is pivotal for optimizing post-harvest management and ensuring market value. This study presents a rigorous comparative analysis of morphological and colorimetric features extracted via two state-of-the-art deep learning-based instance segmentation frameworks—Mask R-CNN and YOLOv8n-seg—and [...] Read more.
Accurate classification of tomato ripening stages and quality estimation is pivotal for optimizing post-harvest management and ensuring market value. This study presents a rigorous comparative analysis of morphological and colorimetric features extracted via two state-of-the-art deep learning-based instance segmentation frameworks—Mask R-CNN and YOLOv8n-seg—and their efficacy in machine learning-driven ripening stage classification and quality prediction. Using 216 fresh-market tomato fruits across four defined ripening stages, we extracted 27 image-derived features per model, alongside 12 laboratory-measured physio-morphological traits. Multivariate analyses revealed that R-CNN features capture nuanced colorimetric and structural variations, while YOLOv8 emphasizes morphological characteristics. Machine learning classifiers trained with stratified 10-fold cross-validation achieved up to 95.3% F1-score when combining both feature sets, with R-CNN and YOLOv8 alone attaining 96.9% and 90.8% accuracy, respectively. These findings highlight a trade-off between the superior precision of R-CNN and the real-time scalability of YOLOv8. Our results demonstrate the potential of integrating complementary segmentation-derived features with laboratory metrics to enable robust, non-destructive phenotyping. This work advances the application of vision-based machine learning in precision agriculture, facilitating automated, scalable, and accurate monitoring of fruit maturity and quality. Full article
(This article belongs to the Special Issue Sustainable Practices in Smart Greenhouses)
Show Figures

Graphical abstract

23 pages, 3032 KB  
Article
Contrast-Enhanced Mammography and Deep Learning-Derived Malignancy Scoring in Breast Cancer Molecular Subtype Assessment
by Antonia O. Ferenčaba, Dora Galić, Gordana Ivanac, Kristina Kralik, Martina Smolić, Justinija Steiner, Ivo Pedišić and Kristina Bojanic
Medicina 2026, 62(1), 115; https://doi.org/10.3390/medicina62010115 - 5 Jan 2026
Viewed by 971
Abstract
Background and Objectives: Contrast-enhanced mammography (CEM) provides both morphological and functional information and may reflect breast cancer biology similarly to Magnetic Resonance Imaging (MRI). Materials and Methods: This single-center retrospective study included 399 women with Breast Imaging Reporting and Data System (BI-RADS) category [...] Read more.
Background and Objectives: Contrast-enhanced mammography (CEM) provides both morphological and functional information and may reflect breast cancer biology similarly to Magnetic Resonance Imaging (MRI). Materials and Methods: This single-center retrospective study included 399 women with Breast Imaging Reporting and Data System (BI-RADS) category 0 screening mammograms who subsequently underwent CEM. A total of 76 malignant lesions (68 invasive cancers, 8 ductal carcinoma in situ (DCIS)) with complete imaging and pathology data were analyzed. Invasive cancers were classified into luminal A, luminal B, luminal B/Human Epidermal Growth Factor Receptor 2 (HER2)-positive, HER2-enriched, and triple-negative, and grouped as luminal (Group 1) versus HER2-positive/triple-negative (Group 2). Results: Luminal subtypes predominated (47 of 68, 69%), while 21 of 68 (31%) were HER2-positive or triple-negative. Most cancers appeared as masses with spiculated margins and heterogeneous enhancement. Significant differences were observed in mass shape (p = 0.03) and internal enhancement (p = 0.01). Luminal tumors were more often irregular and spiculated with heterogeneous enhancement, whereas the HER2-positive/triple-negative tumors more frequently appeared round with rim or homogeneous enhancement. Deep learning-derived malignancy scores (iCAD ProFound AI®) demonstrated good diagnostic performance (area under the curve (AUC) = 0.744, 95% confidence interval (CI) 0.654–0.821, p < 0.001). The median AI score was significantly higher in malignant compared with benign lesions (70% [interquartile range (IQR) 47–93] vs. 38% [IQR 25–61]; Mann–Whitney U test, p < 0.001). Among malignant lesions, iCAD scores varied across molecular subtypes, with higher median values observed in Group 1 versus Group 2 (87% vs. 55%), although the difference was not statistically significant (Mann–Whitney U test, p = 0.35). Conclusions: CEM features mirrored subtype-specific phenotypes previously described with MRI, supporting its role as a practical tool for enhanced tumor characterization. Although certain imaging and AI-derived parameters differed descriptively across subtypes, no statistically significant differences were observed. As deep-learning models continue to evolve, the integration of AI-enhanced CEM into clinical workflows holds strong potential to improve lesion characterization and risk stratification in personalized breast cancer diagnostics. Full article
(This article belongs to the Special Issue AI in Imaging—New Perspectives, 2nd Edition)
Show Figures

Figure 1

29 pages, 6257 KB  
Article
WGMG-Net: A Wavelet-Guided Real-Time Instance Segmentation Framework for Automated Post-Harvest Grape Quality Assessment
by Haoyuan Hao, Lvhan Zhuang, Yi Yang, Chongchong Yu, Xinting Yang and Jiangbo Li
Agriculture 2026, 16(1), 121; https://doi.org/10.3390/agriculture16010121 - 2 Jan 2026
Viewed by 543
Abstract
Grading of table grapes depends on reliable berry-level phenotyping, yet manual inspection is subjective and slow. A wavelet-guided instance segmentation network named WGMG-Net is introduced for automated assessment of post-harvest grape clusters. A multi-scale feature merging module based on discrete wavelet transform is [...] Read more.
Grading of table grapes depends on reliable berry-level phenotyping, yet manual inspection is subjective and slow. A wavelet-guided instance segmentation network named WGMG-Net is introduced for automated assessment of post-harvest grape clusters. A multi-scale feature merging module based on discrete wavelet transform is used to preserve edges under dense occlusion, and a bivariate fusion enhanced attention mechanism is used to strengthen channel and spatial cues. Instance masks are produced for all berries, a regression head estimates the total berry count, and a mask-derived compactness index assigns clusters to three tightness grades. On a Shine Muscat dataset with 252 cluster images acquired on a simulated sorting line, the WGMG-Net variant attains a mean average precision at Intersection over Union (IoU) 0.5 of 98.98 percent and at IoU 0.5 to 0.95 of 87.76 percent, outperforming Mask R-CNN, PointRend and YOLO models with fewer parameters. For berry counting, a mean absolute error of 1.10 berries, root mean square error of 1.48 berries, mean absolute percentage error of 2.82 percent, accuracy within two berries of 92.86 percent and Pearson correlation of 0.986 are achieved. Compactness grading reaches Top-1 accuracy of 98.04 percent and Top-2 accuracy of 100 percent, supporting the use of WGMG-Net for grape quality evaluation. Full article
(This article belongs to the Section Artificial Intelligence and Digital Agriculture)
Show Figures

Figure 1

24 pages, 20297 KB  
Review
Artificial Intelligence-Aided Microfluidic Cell Culture Systems
by Muhammad Sohail Ibrahim and Minseok Kim
Biosensors 2026, 16(1), 16; https://doi.org/10.3390/bios16010016 - 24 Dec 2025
Viewed by 1781
Abstract
Microfluidic cell culture systems and organ-on-a-chip platforms provide powerful tools for modeling physiological processes, disease progression, and drug responses under controlled microenvironmental conditions. These technologies rely on diverse cell culture methodologies, including 2D and 3D culture formats, spheroids, scaffold-based systems, hydrogels, and organoid [...] Read more.
Microfluidic cell culture systems and organ-on-a-chip platforms provide powerful tools for modeling physiological processes, disease progression, and drug responses under controlled microenvironmental conditions. These technologies rely on diverse cell culture methodologies, including 2D and 3D culture formats, spheroids, scaffold-based systems, hydrogels, and organoid models, to recapitulate tissue-level functions and generate rich, multiparametric datasets through high-resolution imaging, integrated sensors, and biochemical assays. The heterogeneity and volume of these data introduce substantial challenges in pre-processing, feature extraction, multimodal integration, and biological interpretation. Artificial intelligence (AI), particularly machine learning and deep learning, offers solutions to these analytical bottlenecks by enabling automated phenotyping, predictive modeling, and real-time control of microfluidic environments. Recent advances also highlight the importance of technical frameworks such as dimensionality reduction, explainable feature selection, spectral pre-processing, lightweight on-chip inference models, and privacy-preserving approaches that support robust and deployable AI–microfluidic workflows. AI-enabled microfluidic and organ-on-a-chip systems now span a broad application spectrum, including cancer biology, drug screening, toxicity testing, microbial and environmental monitoring, pathogen detection, angiogenesis studies, nerve-on-a-chip models, and exosome-based diagnostics. These platforms also hold increasing potential for precision medicine, where AI can support individualized therapeutic prediction using patient-derived cells and organoids. As the field moves toward more interpretable and autonomous systems, explainable AI will be essential for ensuring transparency, regulatory acceptance, and biological insight. Recent AI-enabled applications in cancer modeling, drug screening, etc., highlight how deep learning can enable precise detection of phenotypic shifts, classify therapeutic responses with high accuracy, and support closed-loop regulation of microfluidic environments. These studies demonstrate that AI can transform microfluidic systems from static culture platforms into adaptive, data-driven experimental tools capable of enhancing assay reproducibility, accelerating drug discovery, and supporting personalized therapeutic decision-making. This narrative review synthesizes current progress, technical challenges, and future opportunities at the intersection of AI, microfluidic cell culture platforms, and advanced organ-on-a-chip systems, highlighting their emerging role in precision health and next-generation biomedical research. Full article
(This article belongs to the Collection Microsystems for Cell Cultures)
Show Figures

Figure 1

25 pages, 12181 KB  
Article
Characterizing Growth and Estimating Yield in Winter Wheat Breeding Lines and Registered Varieties Using Multi-Temporal UAV Data
by Liwei Liu, Xinxing Zhou, Tao Liu, Dongtao Liu, Jing Liu, Jing Wang, Yuan Yi, Xuecheng Zhu, Na Zhang, Huiyun Zhang, Guohua Feng and Hongbo Ma
Agriculture 2025, 15(24), 2554; https://doi.org/10.3390/agriculture15242554 - 10 Dec 2025
Cited by 1 | Viewed by 779
Abstract
Grain yield is one of the most critical indicators for evaluating the performance of wheat breeding. However, the assessment process, from early-stage breeding lines to officially registered varieties that have passed the DUS (Distinctness, Uniformity, and Stability) test, is often time-consuming and labor-intensive. [...] Read more.
Grain yield is one of the most critical indicators for evaluating the performance of wheat breeding. However, the assessment process, from early-stage breeding lines to officially registered varieties that have passed the DUS (Distinctness, Uniformity, and Stability) test, is often time-consuming and labor-intensive. Multispectral remote sensing based on unmanned aerial vehicles (UAVs) has demonstrated significant potential in crop phenotyping and yield estimation due to its high throughput, non-destructive nature, and ability to rapidly collect large-scale, multi-temporal data. In this study, multi-temporal UAV-based multispectral imagery, RGB images, and canopy height data were collected throughout the entire wheat growth stage (2023–2024) in Xuzhou, Jiangsu Province, China, to characterize the dynamic growth patterns of both breeding lines and registered cultivars. Vegetation indices (VIs), texture parameters (Tes), and a time-series crop height model (CHM), including the logistic-derived growth rate (GR) and the projected area (PA), were extracted to construct a comprehensive multi-source feature set. Four machine learning algorithms, namely a random forest (RF), support vector machine regression (SVR), extreme gradient boosting (XGBoost), and partial least squares regression (PLSR), were employed to model and estimate yield. The results demonstrated that spectral, texture, and canopy height features derived from multi-temporal UAV data effectively captured phenotypic differences among wheat types and contributed to yield estimation. Features obtained from later growth stages generally led to higher estimation accuracy. The integration of vegetation indices and texture features outperformed models using single-feature types. Furthermore, the integration of time-series features and feature selection further improved predictive accuracy, with XGBoost incorporating VIs, Tes, GR, and PA yielding the best performance (R2 = 0.714, RMSE = 0.516 t/ha, rRMSE = 5.96%). Overall, the proposed multi-source modeling framework offers a practical and efficient solution for yield estimation in early-stage wheat breeding and can support breeders and growers by enabling earlier, more accurate selection and management decisions in real-world production environments. Full article
Show Figures

Figure 1

32 pages, 9392 KB  
Article
Proteomic Validation of MEG-01-Derived Extracellular Vesicles as Representative Models for Megakaryocyte- and Platelet-Derived Extracellular Vesicles
by Jose Manuel Sanchez-Manas, Sonia Perales, Gonzalo Martinez-Navajas, Jorge Ceron-Hernandez, Cristina M. Lopez, Angela Peralbo-Molina, Juan R. Delgado, Joaquina Martinez-Galan, Veronica Ramos-Mejia, Eduardo Chicano-Galvez, Maria Hernandez-Valladares, Francisco M. Ortuno, Carolina Torres and Pedro J. Real
Biomolecules 2025, 15(12), 1698; https://doi.org/10.3390/biom15121698 - 5 Dec 2025
Viewed by 2791
Abstract
Platelets and their extracellular vesicles (EVs) have emerged as promising liquid biopsy biosources for cancer detection and monitoring. The megakaryoblastic MEG-01 cell line offers a controlled system for generating platelet-like particles (PLPs) and EVs through valproic-acid-induced differentiation. Here, we performed comprehensive characterization and [...] Read more.
Platelets and their extracellular vesicles (EVs) have emerged as promising liquid biopsy biosources for cancer detection and monitoring. The megakaryoblastic MEG-01 cell line offers a controlled system for generating platelet-like particles (PLPs) and EVs through valproic-acid-induced differentiation. Here, we performed comprehensive characterization and proteomic validation of MEG-01-derived populations, native human platelets, and their EVs using nanoparticle tracking analysis, transmission electron microscopy, imaging flow cytometry and quantitative proteomics. MEG-01 megakaryocytic differentiation is characterized by polylobulated nuclei, proplatelet formation, and elevated CD41/CD42a expression. PLPs predominantly exhibit an activated-like phenotype (CD62P+, degranulated morphology), while microvesicles (100–500 nm) and exosomes (50–250 nm) displayed size distributions and phenotypic markers consistent with native platelet-derived EVs. Proteomics identified substantial core proteomes shared across fractions and fraction-specific patterns consistent with selective cargo partitioning during EV biogenesis. Functional enrichment indicated that MEG-01-derived vesicles preserve key hemostatic, cytoskeletal, and immune pathways commonly associated with platelet EV biology. Ingenuity Pathway Analysis showed that PLPs exhibit proliferative transcriptional programs (elevated MYC/RB1/TEAD1, reduced GATA1), while plasma exosomes display minimal differential pathway activation compared to MEG-01 exosomes. Overall, these findings suggest that MEG-01-derived EVs approximate certain aspects of megakaryocyte-lineage exosomes and activated platelet-like states, although they do not fully replicate native platelet biology. Notably, plasma exosomes show strong proteomic convergence with MEG-01 exosomes, whereas platelet exosomes retain distinct activation-related features. Full article
Show Figures

Figure 1

31 pages, 2851 KB  
Review
Genetic, Clinical and Neuroradiological Spectrum of MED-Related Disorders: An Updated Review
by Alessandro Fazio, Roberta Leonardi, Lorenzo Aliotta, Manuela Lo Bianco, Gennaro Anastasio, Giuseppe Messina, Corrado Spatola, Pietro Valerio Foti, Stefano Palmucci, Antonio Basile, Martino Ruggieri and Emanuele David
Genes 2025, 16(12), 1444; https://doi.org/10.3390/genes16121444 - 2 Dec 2025
Viewed by 1821
Abstract
Background/Objectives: The Mediator (MED) complex is an essential regulator of RNA polymerase II transcription. There is increasing evidence that pathogenic variants in several MED subunits are the cause of neurodegenerative and neurodevelopmental phenotypes, collectively referred to as “MEDopathies”. This review aims to summarize [...] Read more.
Background/Objectives: The Mediator (MED) complex is an essential regulator of RNA polymerase II transcription. There is increasing evidence that pathogenic variants in several MED subunits are the cause of neurodegenerative and neurodevelopmental phenotypes, collectively referred to as “MEDopathies”. This review aims to summarize current knowledge on the genetic basis, clinical manifestations, and neuroradiological features of MED-related disorders. Methods: We undertook a narrative synthesis of the literature focusing on the MED subunits most commonly associated with neurological disorders, including MED1, MED8, MED11, MED12/MED12L, MED13/MED13L, MED14, MED17, MED20, MED23, MED25, MED27, and CDK8. Sources included peer-reviewed genetic, clinical, and imaging studies, supplemented by relevant case reports and cohort analyses. In addition, representative facial phenotypes associated with selected MED variants (MED11, MED12, MED13, MED13L, MED25) were visualized for educational purposes using artificial intelligence-based image generation derived from standardized clinical descriptors. Results: All MEDopathies show converging clinical patterns: global developmental delay/intellectual disability, hypotonia, epilepsy, speech disorders, and behavioral comorbidity. Non-neurological involvement, such as craniofacial or cardiac anomalies, is subunit-specific. Neuroradiological features include callosal abnormalities (agenesis, thinning, dysmorphia), delayed or hypomyelination, progressive cerebral and cerebellar atrophy, basal ganglia signaling changes, pontine hypoplasia, and, in MED27 deficiency, a “hot cross bun” sign. Gene-specific constellations emphasize catastrophic infantile progression (MED11), X-linked syndromes with callosal defects (MED12/MED12L), language-dominant phenotypes (MED13), and syndromic intellectual disability with systemic features (MED13L). Conclusions: The growing spectrum of MEDopathies argues for their recognition as a unified nosological group with overlapping clinical and radiological signatures. Characteristic MRI constellations may serve as diagnostic clues and guide targeted molecular testing. Future directions include longitudinal imaging to describe disease progression and the integration of genomic data with curated clinical radiological datasets to refine genotype-phenotype correlations. Full article
Show Figures

Figure 1

Back to TopTop