Sign in to use this feature.

Years

Between: -

Subjects

remove_circle_outline
remove_circle_outline
remove_circle_outline
remove_circle_outline
remove_circle_outline
remove_circle_outline
remove_circle_outline

Journals

Article Types

Countries / Regions

Search Results (50)

Search Parameters:
Keywords = hyperspectral image (HSI) denoising

Order results
Result details
Results per page
Select all
Export citation of selected articles as:
25 pages, 8239 KB  
Article
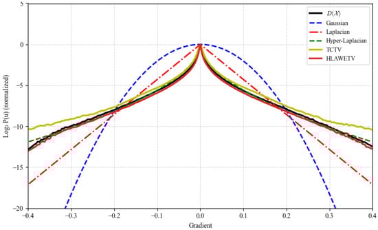
Weighted Total Variation for Hyperspectral Image Denoising Based on Hyper-Laplacian Scale Mixture Distribution
by Xiaoyu Yu, Jianli Zhao, Sheng Fang, Tianheng Zhang, Liang Li and Xinyue Huang
Remote Sens. 2026, 18(1), 135; https://doi.org/10.3390/rs18010135 - 31 Dec 2025
Abstract
Conventional total variation (TV) regularization methods based on Laplacian or fixed-scale Hyper-Laplacian priors impose uniform sparsity penalties on gradients. These uniform penalties fail to capture the heterogeneous sparsity characteristics across different regions and directions, often leading to the over-smoothing of edges and loss [...] Read more.
Conventional total variation (TV) regularization methods based on Laplacian or fixed-scale Hyper-Laplacian priors impose uniform sparsity penalties on gradients. These uniform penalties fail to capture the heterogeneous sparsity characteristics across different regions and directions, often leading to the over-smoothing of edges and loss of fine details. To address this limitation, we propose a novel regularization Hyper-Laplacian Adaptive Weighted Total Variation (HLAWTV). The proposed regularization employs a proportional mixture of Hyper-Laplacian distributions to dynamically adapt the sparsity decay rate based on image structure. Simultaneously, the adaptive weights can be adjusted based on local gradient statistics and exhibit strong robustness in texture preservation when facing different datasets and noise. Then, we propose an hyperspectral image (HSI) denoising method based on the HLAWTV regularizer. Extensive experiments on both synthetic and real hyperspectral datasets demonstrate that our denoising method consistently outperforms state-of-the-art methods in terms of quantitative metrics and visual quality. Moreover, incorporating our adaptive weighting mechanism into existing TV-based models yields significant performance gains, confirming the generality and robustness of the proposed approach. Full article
Show Figures

Figure 1

23 pages, 7039 KB  
Article
Background Suppression by Multivariate Gaussian Denoising Diffusion Model for Hyperspectral Target Detection
by Weile Han, Yuteng Huang, Jiaqi Feng, Rongting Zhang and Guangyun Zhang
Remote Sens. 2026, 18(1), 64; https://doi.org/10.3390/rs18010064 - 25 Dec 2025
Viewed by 184
Abstract
Hyperspectral image (HSI) target detection plays a critical role in both military and civilian applications, including military reconnaissance, environmental monitoring, and precision agriculture. However, the complex background of the scene severely restricts the further improvement of hyperspectral target detection performance. To address this [...] Read more.
Hyperspectral image (HSI) target detection plays a critical role in both military and civilian applications, including military reconnaissance, environmental monitoring, and precision agriculture. However, the complex background of the scene severely restricts the further improvement of hyperspectral target detection performance. To address this challenge, we propose a diffusion model hyperspectral target detection method based on multivariate Gaussian background noise. The method constructs multivariate Gaussian-distributed background noise samples and introduces them into the forward diffusion process of the diffusion model. Subsequently, the denoising network is trained, the conditional probability distribution is parameterised, and a designed loss function is used to optimise the denoising performance and achieve effective suppression of the background, thus improving the detection performance. Moreover, in order to obtain accurate background noise, we propose a background noise extraction strategy based on spatial–spectral centre weighting. This strategy combines with the superpixel segmentation technique to effectively fuse the local spatial neighbourhood information of HSI. Experiments conducted on four publicly available HSI datasets demonstrate that the proposed method achieves state-of-the-art background suppression and competitive detection performance. The evaluation using ROC curves and AUC-family metrics demonstrates the effectiveness of the proposed background-suppression-guided diffusion framework. Full article
Show Figures

Figure 1

29 pages, 6701 KB  
Article
IFADiff: Training-Free Hyperspectral Image Generation via Integer–Fractional Alternating Diffusion Sampling
by Yang Yang, Xixi Jia, Wenyang Wei, Wenhang Song, Hailong Zhu and Zhe Jiao
Remote Sens. 2025, 17(23), 3867; https://doi.org/10.3390/rs17233867 - 28 Nov 2025
Viewed by 412
Abstract
Hyperspectral images (HSIs) provide rich spectral–spatial information and support applications in remote sensing, agriculture, and medicine, yet their development is hindered by data scarcity and costly acquisition. Diffusion models have enabled synthetic HSI generation, but conventional integer-order solvers such as Denoising Diffusion Implicit [...] Read more.
Hyperspectral images (HSIs) provide rich spectral–spatial information and support applications in remote sensing, agriculture, and medicine, yet their development is hindered by data scarcity and costly acquisition. Diffusion models have enabled synthetic HSI generation, but conventional integer-order solvers such as Denoising Diffusion Implicit Models (DDIM) and Pseudo Linear Multi-Step method (PLMS) require many steps and rely mainly on local information, causing error accumulation, spectral distortion, and inefficiency. To address these challenges, we propose Integer–Fractional Alternating Diffusion Sampling (IFADiff), a training-free inference-stage enhancement method based on an integer–fractional alternating time-stepping strategy. IFADiff combines integer-order prediction, which provides stable progression, with fractional-order correction that incorporates historical states through decaying weights to capture long-range dependencies and enhance spatial detail. This design suppresses noise accumulation, reduces spectral drift, and preserves texture fidelity. Experiments on hyperspectral synthesis datasets show that IFADiff consistently improves both reference-based and no-reference metrics across solvers without retraining. Ablation studies further demonstrate that the fractional order α acts as a controllable parameter: larger values enhance fine-grained textures, whereas smaller values yield smoother results. Overall, IFADiff provides an efficient, generalizable, and controllable framework for high-quality HSI generation, with strong potential for large-scale and real-time applications. Full article
Show Figures

Figure 1

18 pages, 11883 KB  
Article
Hyperspectral Image Denoising via Quasi-Recursive Spectral Attention and Cross-Layer Feature Fusion
by Yanhua Xiao, Huayan Zhou, Wenfeng Li, Long Yang and Ke Wang
Sensors 2025, 25(22), 6955; https://doi.org/10.3390/s25226955 - 14 Nov 2025
Viewed by 570
Abstract
Hyperspectral images (HSIs) contain rich spatial–spectral information but are highly susceptible to various types of noise during the imaging process, which significantly degrades image quality and undermines the reliability of subsequent applications. To address this issue, we propose a novel end-to-end denoising framework, [...] Read more.
Hyperspectral images (HSIs) contain rich spatial–spectral information but are highly susceptible to various types of noise during the imaging process, which significantly degrades image quality and undermines the reliability of subsequent applications. To address this issue, we propose a novel end-to-end denoising framework, termed Quasi-Recursive Spectral Attention Network (QRSAN), which aims to design a feature extraction module that leverages the intrinsic characteristics of hyperspectral noise while preserving high-quality spatial and spectral information. Specifically, QRSAN introduces a Quasi-Recursive Attention Unit (QRAU) to jointly model inherent spatial–spectral dependencies, where 2D convolutions are employed for spatial feature extraction and frequency pooling is utilized for spectral representation. In addition, we develop a multi-head spectral attention mechanism to effectively capture inter-band correlations and suppress spectrally dependent noise. To further preserve fine-grained spatial structures and spectral fidelity, we design an adaptive cross-layer skip connection strategy that integrates channel-wise concatenation and transition blocks, enabling efficient feature propagation and fusion within an asymmetric encoder–decoder architecture. Extensive experiments on both synthetic and real HSI datasets demonstrate that QRSAN consistently outperforms existing methods in terms of visual quality and objective evaluation metrics, achieving superior denoising performance and generalization ability while maintaining high spatial–spectral fidelity. Full article
Show Figures

Figure 1

29 pages, 13908 KB  
Article
SS3L: Self-Supervised Spectral–Spatial Subspace Learning for Hyperspectral Image Denoising
by Yinhu Wu, Dongyang Liu and Junping Zhang
Remote Sens. 2025, 17(19), 3348; https://doi.org/10.3390/rs17193348 - 1 Oct 2025
Viewed by 1071
Abstract
Hyperspectral imaging (HSI) systems often suffer from complex noise degradation during the imaging process, significantly impacting downstream applications. Deep learning-based methods, though effective, rely on impractical paired training data, while traditional model-based methods require manually tuned hyperparameters and lack generalization. To address these [...] Read more.
Hyperspectral imaging (HSI) systems often suffer from complex noise degradation during the imaging process, significantly impacting downstream applications. Deep learning-based methods, though effective, rely on impractical paired training data, while traditional model-based methods require manually tuned hyperparameters and lack generalization. To address these issues, we propose SS3L (Self-Supervised Spectral-Spatial Subspace Learning), a novel HSI denoising framework that requires neither paired data nor manual tuning. Specifically, we introduce a self-supervised spectral–spatial paradigm that learns noisy features from noisy data, rather than paired training data, based on spatial geometric symmetry and spectral local consistency constraints. To avoid manual hyperparameter tuning, we propose an adaptive rank subspace representation and a loss function designed based on the collaborative integration of spectral and spatial losses via noise-aware spectral-spatial weighting, guided by the estimated noise intensity. These components jointly enable a dynamic trade-off between detail preservation and noise reduction under varying noise levels. The proposed SS3L embeds noise-adaptive subspace representations into the dynamic spectral–spatial hybrid loss-constrained network, enabling cross-sensor denoising through prior-informed self-supervision. Experimental results demonstrate that SS3L effectively removes noise while preserving both structural fidelity and spectral accuracy under diverse noise conditions. Full article
Show Figures

Figure 1

20 pages, 5077 KB  
Article
Hybrid-Domain Synergistic Transformer for Hyperspectral Image Denoising
by Haoyue Li and Di Wu
Appl. Sci. 2025, 15(17), 9735; https://doi.org/10.3390/app15179735 - 4 Sep 2025
Viewed by 1091
Abstract
Hyperspectral image (HSI) denoising is challenged by complex spatial-spectral noise coupling. Existing deep learning methods, primarily designed for RGB images, fail to address HSI-specific noise distributions and spectral correlations. This paper proposes a Hybrid-Domain Synergistic Transformer (HDST) integrating frequency-domain enhancement and multiscale modeling. [...] Read more.
Hyperspectral image (HSI) denoising is challenged by complex spatial-spectral noise coupling. Existing deep learning methods, primarily designed for RGB images, fail to address HSI-specific noise distributions and spectral correlations. This paper proposes a Hybrid-Domain Synergistic Transformer (HDST) integrating frequency-domain enhancement and multiscale modeling. Key contributions include (1) a Fourier-based preprocessing module decoupling spectral noise; (2) a dynamic cross-domain attention mechanism adaptively fusing spatial-frequency features; and (3) a hierarchical architecture combining global noise modeling and detail recovery. Experiments on realistic and synthetic datasets show HDST outperforms state-of-the-art methods in PSNR, with fewer parameters. Visual results confirm effective noise suppression without spectral distortion. The framework provides a robust solution for HSI denoising, demonstrating potential for high-dimensional visual data processing. Full article
Show Figures

Figure 1

20 pages, 13547 KB  
Article
Hyperspectral Image Denoising via Low-Rank Tucker Decomposition with Subspace Implicit Neural Representation
by Cheng Cheng, Dezhi Sun, Yaoyuan Yang, Zhoucheng Guo and Jiangjun Peng
Remote Sens. 2025, 17(16), 2867; https://doi.org/10.3390/rs17162867 - 18 Aug 2025
Viewed by 1976
Abstract
Hyperspectral image (HSI) denoising is an important preprocessing step for downstream applications. Fully characterizing the spatial-spectral priors of HSI is crucial for denoising tasks. In recent years, denoising methods based on low-rank subspaces have garnered widespread attention. In the low-rank matrix factorization framework, [...] Read more.
Hyperspectral image (HSI) denoising is an important preprocessing step for downstream applications. Fully characterizing the spatial-spectral priors of HSI is crucial for denoising tasks. In recent years, denoising methods based on low-rank subspaces have garnered widespread attention. In the low-rank matrix factorization framework, the restoration of HSI can be formulated as a task of recovering two subspace factors. However, hyperspectral images are inherently three-dimensional tensors, and transforming the tensor into a matrix for operations inevitably disrupts the spatial structure of the data. To address this issue and better capture the spatial-spectral priors of HSI, this paper proposes a modeling approach named low-rank Tucker decomposition with subspace implicit neural representation (LRTSINR). This data-driven and model-driven joint modeling mechanism has the following two advantages: (1) Tucker decomposition allows for the characterization of the low-rank properties across multiple dimensions of the HSI, leading to a more accurate representation of spectral priors; (2) Implicit neural representation enables the adaptive and precise characterization of the subspace factor continuity under Tucker decomposition. Extensive experiments demonstrate that our method outperforms a series of competing methods. Full article
(This article belongs to the Section Remote Sensing Image Processing)
Show Figures

Graphical abstract

22 pages, 4169 KB  
Article
Multi-Scale Differentiated Network with Spatial–Spectral Co-Operative Attention for Hyperspectral Image Denoising
by Xueli Chang, Xiaodong Wang, Xiaoyu Huang, Meng Yan and Luxiao Cheng
Appl. Sci. 2025, 15(15), 8648; https://doi.org/10.3390/app15158648 - 5 Aug 2025
Cited by 1 | Viewed by 859
Abstract
Hyperspectral image (HSI) denoising is a crucial step in image preprocessing as its effectiveness has a direct impact on the accuracy of subsequent tasks such as land cover classification, target recognition, and change detection. However, existing methods suffer from limitations in effectively integrating [...] Read more.
Hyperspectral image (HSI) denoising is a crucial step in image preprocessing as its effectiveness has a direct impact on the accuracy of subsequent tasks such as land cover classification, target recognition, and change detection. However, existing methods suffer from limitations in effectively integrating multi-scale features and adaptively modeling complex noise distributions, making it difficult to construct effective spatial–spectral joint representations. This often leads to issues like detail loss and spectral distortion, especially when dealing with complex mixed noise. To address these challenges, this paper proposes a multi-scale differentiated denoising network based on spatial–spectral cooperative attention (MDSSANet). The network first constructs a multi-scale image pyramid using three downsampling operations and independently models the features at each scale to better capture noise characteristics at different levels. Additionally, a spatial–spectral cooperative attention module (SSCA) and a differentiated multi-scale feature fusion module (DMF) are introduced. The SSCA module effectively captures cross-spectral dependencies and spatial feature interactions through parallel spectral channel and spatial attention mechanisms. The DMF module adopts a multi-branch parallel structure with differentiated processing to dynamically fuse multi-scale spatial–spectral features and incorporates a cross-scale feature compensation strategy to improve feature representation and mitigate information loss. The experimental results show that the proposed method outperforms state-of-the-art methods across several public datasets, exhibiting greater robustness and superior visual performance in tasks such as handling complex noise and recovering small targets. Full article
(This article belongs to the Special Issue Remote Sensing Image Processing and Application, 2nd Edition)
Show Figures

Figure 1

25 pages, 26404 KB  
Review
Review of Deep Learning Applications for Detecting Special Components in Agricultural Products
by Yifeng Zhao and Qingqing Xie
Computers 2025, 14(8), 309; https://doi.org/10.3390/computers14080309 - 30 Jul 2025
Cited by 2 | Viewed by 1589
Abstract
The rapid evolution of deep learning (DL) has fundamentally transformed the paradigm for detecting special components in agricultural products, addressing critical challenges in food safety, quality control, and precision agriculture. This comprehensive review systematically analyzes many seminal studies to evaluate cutting-edge DL applications [...] Read more.
The rapid evolution of deep learning (DL) has fundamentally transformed the paradigm for detecting special components in agricultural products, addressing critical challenges in food safety, quality control, and precision agriculture. This comprehensive review systematically analyzes many seminal studies to evaluate cutting-edge DL applications across three core domains: contaminant surveillance (heavy metals, pesticides, and mycotoxins), nutritional component quantification (soluble solids, polyphenols, and pigments), and structural/biomarker assessment (disease symptoms, gel properties, and physiological traits). Emerging hybrid architectures—including attention-enhanced convolutional neural networks (CNNs) for lesion localization, wavelet-coupled autoencoders for spectral denoising, and multi-task learning frameworks for joint parameter prediction—demonstrate unprecedented accuracy in decoding complex agricultural matrices. Particularly noteworthy are sensor fusion strategies integrating hyperspectral imaging (HSI), Raman spectroscopy, and microwave detection with deep feature extraction, achieving industrial-grade performance (RPD > 3.0) while reducing detection time by 30–100× versus conventional methods. Nevertheless, persistent barriers in the “black-box” nature of complex models, severe lack of standardized data and protocols, computational inefficiency, and poor field robustness hinder the reliable deployment and adoption of DL for detecting special components in agricultural products. This review provides an essential foundation and roadmap for future research to bridge the gap between laboratory DL models and their effective, trusted application in real-world agricultural settings. Full article
(This article belongs to the Special Issue Deep Learning and Explainable Artificial Intelligence)
Show Figures

Figure 1

24 pages, 12113 KB  
Article
Hyperspectral Image Mixed Denoising via Robust Representation Coefficient Image Guidance and Nonlocal Low-Rank Approximation
by Jiawei Song, Baolong Guo, Zhe Yuan, Chao Wang, Fangliang He and Cheng Li
Remote Sens. 2025, 17(6), 1021; https://doi.org/10.3390/rs17061021 - 14 Mar 2025
Viewed by 1069
Abstract
Recently, hyperspectral image (HSI) mixed denoising methods based on nonlocal subspace representation (NSR) have achieved significant success. However, most of these methods focus on optimizing the denoiser for representation coefficient images (RCIs) without considering how to construct RCIs that better inherit the spatial [...] Read more.
Recently, hyperspectral image (HSI) mixed denoising methods based on nonlocal subspace representation (NSR) have achieved significant success. However, most of these methods focus on optimizing the denoiser for representation coefficient images (RCIs) without considering how to construct RCIs that better inherit the spatial structure of the clean HSI, thereby affecting subsequent denoising performance. Although existing works have constructed RCIs from the perspective of sparse principal component analysis (SPCA), the refinement of RCIs in mixed noise conditions still leaves much to be desired. To address the aforementioned challenges, in this paper, we reconstructed robust RCIs based on SPCA in mixed noise circumstances to better preserve the spatial structure of the clean HSI. Furthermore, we propose to utilize the robust RCIs as prior information and perform iterative denoising in the denoiser that incorporates low-rank approximation. Extensive experiments conducted on both simulated and real HSI datasets demonstrate that the proposed robust RCIs guidance and low-rank approximation method, denoted as RRGNLA, exhibits competitive performance in terms of mixed denoising accuracy and computational efficiency. For instance, on the Washington DC Mall (WDC) dataset in Case 3, the denoising quantitative metrics of the mean peak signal-to-noise ratio (MPSNR), mean structural similarity index (MSSIM), and spectral angle mean (SAM) are 36.06 dB, 0.963, and 3.449, respectively, with a running time of 35.24 s. On the Pavia University (PaU) dataset in Case 4, the denoising quantitative metrics of MPSNR, MSSIM, and SAM are 34.34 dB, 0.924, and 5.505, respectively, with a running time of 32.79 s. Full article
Show Figures

Figure 1

29 pages, 10253 KB  
Article
Hyperspectral Image Denoising and Compression Using Optimized Bidirectional Gated Recurrent Unit
by Divya Mohan, Aravinth J and Sankaran Rajendran
Remote Sens. 2024, 16(17), 3258; https://doi.org/10.3390/rs16173258 - 2 Sep 2024
Cited by 2 | Viewed by 3228
Abstract
The availability of a higher resolution fine spectral bandwidth in hyperspectral images (HSI) makes it easier to identify objects of interest in them. The inclusion of noise into the resulting collection of images is a limitation of HSI and has an adverse effect [...] Read more.
The availability of a higher resolution fine spectral bandwidth in hyperspectral images (HSI) makes it easier to identify objects of interest in them. The inclusion of noise into the resulting collection of images is a limitation of HSI and has an adverse effect on post-processing and data interpretation. Denoising HSI data is thus necessary for the effective execution of post-processing activities like image categorization and spectral unmixing. Most of the existing models cannot handle many forms of noise simultaneously. When it comes to compression, available compression models face the problems of increased processing time and lower accuracy. To overcome the existing limitations, an image denoising model using an adaptive fusion network is proposed. The denoised output is then processed through a compression model which uses an optimized deep learning technique called "chaotic Chebyshev artificial hummingbird optimization algorithm-based bidirectional gated recurrent unit" (CCAO-BiGRU). All the proposed models were tested in Python and evaluated using the Indian Pines, Washington DC Mall and CAVE datasets. The proposed model underwent qualitative and quantitative analysis and showed a PSNR value of 82 in the case of Indian Pines and 78.4 for the Washington DC Mall dataset at a compression rate of 10. The study proved that the proposed model provides the knowledge about complex nonlinear mapping between noise-free and noisy HSI for obtaining the denoised images and also results in high-quality compressed output. Full article
Show Figures

Figure 1

19 pages, 2523 KB  
Article
Hyperspectral Image Denoising by Pixel-Wise Noise Modeling and TV-Oriented Deep Image Prior
by Lixuan Yi, Qian Zhao and Zongben Xu
Remote Sens. 2024, 16(15), 2694; https://doi.org/10.3390/rs16152694 - 23 Jul 2024
Cited by 4 | Viewed by 3248
Abstract
Model-based hyperspectral image (HSI) denoising methods have attracted continuous attention in the past decades, due to their effectiveness and interpretability. In this work, we aim at advancing model-based HSI denoising, through sophisticated investigation for both the fidelity and regularization terms, or correspondingly noise [...] Read more.
Model-based hyperspectral image (HSI) denoising methods have attracted continuous attention in the past decades, due to their effectiveness and interpretability. In this work, we aim at advancing model-based HSI denoising, through sophisticated investigation for both the fidelity and regularization terms, or correspondingly noise and prior, by virtue of several recently developed techniques. Specifically, we formulate a novel unified probabilistic model for the HSI denoising task, within which the noise is assumed as pixel-wise non-independent and identically distributed (non-i.i.d) Gaussian predicted by a pre-trained neural network, and the prior for the HSI image is designed by incorporating the deep image prior (DIP) with total variation (TV) and spatio-spectral TV. To solve the resulted maximum a posteriori (MAP) estimation problem, we design a Monte Carlo Expectation–Maximization (MCEM) algorithm, in which the stochastic gradient Langevin dynamics (SGLD) method is used for computing the E-step, and the alternative direction method of multipliers (ADMM) is adopted for solving the optimization in the M-step. Experiments on both synthetic and real noisy HSI datasets have been conducted to verify the effectiveness of the proposed method. Full article
Show Figures

Figure 1

21 pages, 22540 KB  
Article
JointNet: Multitask Learning Framework for Denoising and Detecting Anomalies in Hyperspectral Remote Sensing
by Yingzhao Shao, Shuhan Li, Pengfei Yang, Fei Cheng, Yueli Ding and Jianguo Sun
Remote Sens. 2024, 16(14), 2619; https://doi.org/10.3390/rs16142619 - 17 Jul 2024
Cited by 3 | Viewed by 1963
Abstract
One of the significant challenges with traditional single-task learning-based anomaly detection using noisy hyperspectral images (HSIs) is the loss of anomaly targets during denoising, especially when the noise and anomaly targets are similar. This issue significantly affects the detection accuracy. To address this [...] Read more.
One of the significant challenges with traditional single-task learning-based anomaly detection using noisy hyperspectral images (HSIs) is the loss of anomaly targets during denoising, especially when the noise and anomaly targets are similar. This issue significantly affects the detection accuracy. To address this problem, this paper proposes a multitask learning (MTL)-based method for detecting anomalies in noisy HSIs. Firstly, a preliminary detection approach based on the JointNet model, which decomposes the noisy HSI into a pure background and a noise–anomaly target mixing component, is introduced. This approach integrates the minimum noise fraction rotation (MNF) algorithm into an autoencoder (AE), effectively isolating the noise while retaining critical features for anomaly detection. Building upon this, the JointNet model is further optimized to ensure that the noise information is shared between the denoising and anomaly detection subtasks, preserving the integrity of the training data during the anomaly detection process and resolving the issue of losing anomaly targets during denoising. A novel loss function is designed to enable the joint learning of both subtasks under the multitask learning model. In addition, a noise score evaluation metric is introduced to calculate the probability of a pixel being an anomaly target, allowing for a clear distinction between noise and anomaly targets, thus providing the final anomaly detection results. The effectiveness of the proposed model and method is validated via testing on the HYDICE and San Diego datasets. The denoising metric results of the PSNR, SSIM, and SAM are 41.79, 0.91, and 4.350 and 42.83, 0.93, and 3.558 on the HYDICE and San Diego datasets, respectively. The anomaly detection ACU is 0.943 and 0.959, respectively. The proposed method outperforms the other algorithms, demonstrating that the reconstructed images using this method exhibited lower noise levels and more complete image information, and the JointNet model outperforms the mainstream HSI anomaly detection algorithms in both the quantitative evaluation and visual effect, showcasing its improved detection capabilities. Full article
Show Figures

Figure 1

22 pages, 11538 KB  
Article
A Hierarchical Low-Rank Denoising Model for Remote Sensing Images Based on Deep Unfolding
by Fanqi Shao, Xiaolin Feng, Sirui Tian and Tianyi Zhang
Sensors 2024, 24(14), 4574; https://doi.org/10.3390/s24144574 - 15 Jul 2024
Cited by 2 | Viewed by 2340
Abstract
Recently, the low-rank representation (LRR) model has been widely used in the field of remote sensing image denoising due to its excellent noise suppression capability. However, those low-rank-based methods always discard important edge details as residuals, leading to a common issue of blurred [...] Read more.
Recently, the low-rank representation (LRR) model has been widely used in the field of remote sensing image denoising due to its excellent noise suppression capability. However, those low-rank-based methods always discard important edge details as residuals, leading to a common issue of blurred edges in denoised results. To address this problem, we take a new look at low-rank residuals and try to extract edge information from them. Therefore, a hierarchical denoising framework was combined with a low-rank model to extract edge information from low-rank residuals within the edge subspace. A prior knowledge matrix was designed to enable the model to learn necessary structural information rather than noise. Also, such traditional model-driven approaches require multiple iterations, and the solutions may be very complex and computationally intensive. To further enhance the noise suppression performance and computing efficiency, a hierarchical low-rank denoising model based on deep unrolling (HLR-DUR) was proposed, integrating deep neural networks into the hierarchical low-rank denoising framework to expand the information capture and representation capabilities of the proposed shallow model. Sufficient experiments on optical images, hyperspectral images (HSI), and synthetic aperture radar (SAR) images showed that HLR-DUR achieved state-of-the-art (SOTA) denoising results. Full article
(This article belongs to the Section Remote Sensors)
Show Figures

Figure 1

23 pages, 4053 KB  
Article
Hyperspectral Image Denoising Based on Deep and Total Variation Priors
by Peng Wang, Tianman Sun, Yiming Chen, Lihua Ge, Xiaoyi Wang and Liguo Wang
Remote Sens. 2024, 16(12), 2071; https://doi.org/10.3390/rs16122071 - 7 Jun 2024
Cited by 5 | Viewed by 4155
Abstract
To address the problems of noise interference and image blurring in hyperspectral imaging (HSI), this paper proposes a denoising method for HSI based on deep learning and a total variation (TV) prior. The method minimizes the first-order moment distance between the deep prior [...] Read more.
To address the problems of noise interference and image blurring in hyperspectral imaging (HSI), this paper proposes a denoising method for HSI based on deep learning and a total variation (TV) prior. The method minimizes the first-order moment distance between the deep prior of a Fast and Flexible Denoising Convolutional Neural Network (FFDNet) and the Enhanced 3D TV (E3DTV) prior, obtaining dual priors that complement and reinforce each other’s advantages. Specifically, the original HSI is initially processed with a random binary sparse observation matrix to achieve a sparse representation. Subsequently, the plug-and-play (PnP) algorithm is employed within the framework of generalized alternating projection (GAP) to denoise the sparsely represented HSI. Experimental results demonstrate that, compared to existing methods, this method shows significant advantages in both quantitative and qualitative assessments, effectively enhancing the quality of HSIs. Full article
Show Figures

Figure 1

Back to TopTop