Sign in to use this feature.

Years

Between: -

Subjects

remove_circle_outline
remove_circle_outline
remove_circle_outline
remove_circle_outline
remove_circle_outline
remove_circle_outline
remove_circle_outline
remove_circle_outline
remove_circle_outline

Journals

remove_circle_outline
remove_circle_outline
remove_circle_outline
remove_circle_outline
remove_circle_outline
remove_circle_outline
remove_circle_outline
remove_circle_outline
remove_circle_outline
remove_circle_outline
remove_circle_outline
remove_circle_outline
remove_circle_outline

Article Types

Countries / Regions

remove_circle_outline
remove_circle_outline
remove_circle_outline
remove_circle_outline

Search Results (376)

Search Parameters:
Keywords = human pilot model

Order results
Result details
Results per page
Select all
Export citation of selected articles as:
14 pages, 535 KB  
Review
Harnessing Medical Bioethics Mediation to Advance One Health Governance
by Olympia Lioupi, Polychronis Kostoulas, Gustavo Monti, Konstadina Griva, Charalambos Billinis and Costas Tsiamis
Vet. Sci. 2026, 13(1), 8; https://doi.org/10.3390/vetsci13010008 (registering DOI) - 20 Dec 2025
Viewed by 44
Abstract
One Health envisions integrated governance across human, animal, and environmental systems to prevent and respond to complex health threats. Despite its global endorsement, One Health implementation often falters due to institutional fragmentation, power asymmetries, and ethical tensions that erode trust and cooperation. This [...] Read more.
One Health envisions integrated governance across human, animal, and environmental systems to prevent and respond to complex health threats. Despite its global endorsement, One Health implementation often falters due to institutional fragmentation, power asymmetries, and ethical tensions that erode trust and cooperation. This paper proposes the integration of medical-bioethics mediation within One Health governance as a structured, relational mechanism to manage conflict, foster ethical deliberation, and strengthen trust between sectors and communities. We develop a conceptual framework to apply the mediation principles of neutrality, confidentiality, respect, and shared problem-solving beyond clinical ethics toward multisectoral One Health contexts. The framework is illustrated through domain-specific examples from zoonotic disease control, antimicrobial resistance, and environmental health. Medical bioethics mediation can advance conflict transformation, ethical reflection, participatory decision-making, and policy alignment, thereby supporting transparent negotiation of values and institutionalized dialogue of different One Health actors. Future research should pilot mediation-based governance models and assess their effects on intersectoral trust, collaborative capacity, and integrated health outcomes. Full article
Show Figures

Figure 1

20 pages, 3765 KB  
Article
A Pilot Study on Motion Intention Mapping and Direct Myoelectric Control Method for Prosthetic Knee Based on LSTM Network and Human-Machine Coupling Model
by Xiaoming Wang, Yuanhua Li, Xiaoying Xu and Hongliu Yu
Sensors 2025, 25(24), 7618; https://doi.org/10.3390/s25247618 - 16 Dec 2025
Viewed by 187
Abstract
To enhance the adaptability and human-machine coordination of intelligent prosthetic knees, this study proposes a motion intention mapping direct myoelectric control method based on an LSTM network and a human-machine coupling model. Multichannel surface electromyography (sEMG) and knee joint angle data were collected [...] Read more.
To enhance the adaptability and human-machine coordination of intelligent prosthetic knees, this study proposes a motion intention mapping direct myoelectric control method based on an LSTM network and a human-machine coupling model. Multichannel surface electromyography (sEMG) and knee joint angle data were collected during level-ground walking. Time-domain features were extracted to construct an LSTM prediction model, enabling temporal mapping between muscle activity and joint kinematics. Experimental results show that the LSTM model outperforms traditional neural networks in terms of prediction accuracy and temporal consistency. Furthermore, by integrating the human-machine coupling dynamics model with a hydraulic actuation system, a direct myoelectric control framework for a variable-damping prosthetic knee was established, achieving continuous damping adjustment and smooth gait transition. The results verify the feasibility and effectiveness of the proposed method in human-machine coordinated control. Full article
(This article belongs to the Section Sensor Networks)
Show Figures

Figure 1

20 pages, 718 KB  
Article
Does Cross-Border E-Commerce Broaden the Innovation Boundaries of Firms? Evidence from a Quasi-Natural Experiment in China
by Yanzhe Zhang and Yushun Han
J. Theor. Appl. Electron. Commer. Res. 2025, 20(4), 358; https://doi.org/10.3390/jtaer20040358 - 11 Dec 2025
Viewed by 396
Abstract
Cross-border e-commerce (CBEC) is a driving force behind international trade and corporate upgrading in the era of global digital transformation. This research aims to investigate the extent to which the establishment of China’s Cross-Border E-Commerce Comprehensive Pilot Zones (CBECPZs) expands the innovation boundaries [...] Read more.
Cross-border e-commerce (CBEC) is a driving force behind international trade and corporate upgrading in the era of global digital transformation. This research aims to investigate the extent to which the establishment of China’s Cross-Border E-Commerce Comprehensive Pilot Zones (CBECPZs) expands the innovation boundaries of firms. We employ a multi-period difference-in-differences (DID) model to analyse panel data for Chinese A-share listed companies from 2010 to 2023, viewing the phased introduction of CBECPZs as a quasi-natural experiment. The empirical results indicate that the establishment of CBECPZs substantially expands the innovation boundaries of firms, as evidenced by an increase in patent applications in new technological domains. This finding is confirmed by parallel-trend checks, propensity-score-matching DID, placebo testing, and double-machine-learning calculations. The mechanism analysis shows that CBEC mainly fosters innovation by improving enterprises’ digital-marketing capacities, reducing information asymmetry, promoting technology spillovers, and encouraging human-capital investment. In addition, the strategy promotes innovation more effectively for eastern Chinese companies, high-technology firms, and non-state-owned enterprises. This study provides micro-level evidence from China regarding the innovative effects of cross-border e-commerce and clarifies how digital trade redefines organisational innovation parameters. In doing so, it offers both theoretical and practical insights for policymakers refining CBEC regulations and businesses leveraging digital platforms for innovation advancement. Full article
Show Figures

Figure 1

18 pages, 1606 KB  
Article
Remaining Track Miles Estimation: Evaluating Current Operation and AI Assistance Potential
by Jonas Spoor, Ole Bunde, Ricardo Reinke, Alexander Heise and Peter Hecker
Aerospace 2025, 12(12), 1098; https://doi.org/10.3390/aerospace12121098 - 10 Dec 2025
Viewed by 214
Abstract
In commercial aviation, accurate estimation of the remaining track miles (RTM) during descent is essential for energy-efficient trajectory management. Currently, pilots often rely on heuristics and experience due to the lack of consistent RTM information, which can result in suboptimal decisions. This study [...] Read more.
In commercial aviation, accurate estimation of the remaining track miles (RTM) during descent is essential for energy-efficient trajectory management. Currently, pilots often rely on heuristics and experience due to the lack of consistent RTM information, which can result in suboptimal decisions. This study investigates the accuracy of RTM estimations made by commercial pilots through a structured survey involving scenario-based assessments across seven European airports. Results show a consistent underestimation bias, with a root mean square error (RMSE) of 9.69 NM. To quantify the potential of data-driven alternatives, a machine learning model based on gradient boosting was developed using ADS-B surveillance and weather data. The model achieved significantly lower prediction errors, with an RMSE of 5.43 NM, particularly outperforming pilots in early descent segments. Feature importance analysis revealed that spatial and trajectory-related variables were key to accurate predictions. The findings suggest that integrating predictive models into flight management systems or pilot decision support tools could improve descent planning and operational efficiency. This study provides an empirical comparison between human and AI-based RTM estimations, highlighting the potential for machine learning to complement pilot expertise in future air traffic operations. Full article
(This article belongs to the Section Aeronautics)
Show Figures

Figure 1

18 pages, 1001 KB  
Article
Artificial Intelligence Physician Avatars for Patient Education: A Pilot Study
by Syed Ali Haider, Srinivasagam Prabha, Cesar Abraham Gomez-Cabello, Ariana Genovese, Bernardo Collaco, Nadia Wood, Mark A. Lifson, Sanjay Bagaria, Cui Tao and Antonio Jorge Forte
J. Clin. Med. 2025, 14(23), 8595; https://doi.org/10.3390/jcm14238595 - 4 Dec 2025
Viewed by 590
Abstract
Background: Generative AI and synthetic media have enabled realistic human Embodied Conversational Agents (ECAs) or avatars. A subset of this technology replicates faces and voices to create realistic likenesses. When combined with avatars, these methods enable the creation of “digital twins” of physicians, [...] Read more.
Background: Generative AI and synthetic media have enabled realistic human Embodied Conversational Agents (ECAs) or avatars. A subset of this technology replicates faces and voices to create realistic likenesses. When combined with avatars, these methods enable the creation of “digital twins” of physicians, offering patients scalable, 24/7 clinical communication outside the immediate clinical environment. This study evaluated surgical patient perceptions of an AI-generated surgeon avatar for postoperative education. Methods: We conducted a pilot feasibility study with 30 plastic surgery patients at Mayo Clinic, USA (July–August 2025). A bespoke interactive surgeon avatar was developed in Python using the HeyGen IV model to reproduce the surgeon’s likeness. Patients interacted with the avatar through natural voice queries, which were mapped to predetermined, pre-recorded video responses covering ten common postoperative topics. Patient perceptions were assessed using validated scales of usability, engagement, trust, eeriness, and realism, supplemented by qualitative feedback. Results: The avatar system reliably answered 297 of 300 patient queries (99%). Usability was excellent (mean System Usability Scale score = 87.7 ± 11.5) and engagement high (mean 4.27 ± 0.23). Trust was the highest-rated domain, with all participants (100%) finding the avatar trustworthy and its information believable. Eeriness was minimal (mean = 1.57 ± 0.48), and 96.7% found the avatar visually pleasing. Most participants (86.6%) recognized the avatar as their surgeon, although many still identified it as artificial; voice resemblance was less convincing (70%). Interestingly, participants with prior exposure to deepfakes demonstrated consistently higher acceptance, rating usability, trust, and engagement 5–10% higher than those without prior exposure. Qualitative feedback highlighted clarity, efficiency, and convenience, while noting limitations in realism and conversational scope. Conclusions: The AI-generated physician avatar achieved high patient acceptance without triggering uncanny valley effects. Transparency about the synthetic nature of the technology enhanced, rather than diminished, trust. Familiarity with the physician and institutional credibility likely played a key role in the high trust scores observed. When implemented transparently and with appropriate safeguards, synthetic physician avatars may offer a scalable solution for postoperative education while preserving trust in clinical relationships. Full article
Show Figures

Figure 1

17 pages, 7634 KB  
Article
CLSM-Guided Imaging to Visualize the Depth of Effective Disinfection in Endodontics
by Rebecca Mattern, Sarah Böcher, Gerhard Müller-Newen, Georg Conrads, Johannes-Simon Wenzler and Andreas Braun
Antibiotics 2025, 14(12), 1201; https://doi.org/10.3390/antibiotics14121201 - 1 Dec 2025
Viewed by 306
Abstract
Background/Objectives: Important goals of endodontic treatment procedures are to effectively eliminate microorganisms from the root canal system and prevent reinfection. Despite advances in techniques, these goals continue to be difficult to achieve due to the complex anatomy of the root canal system and [...] Read more.
Background/Objectives: Important goals of endodontic treatment procedures are to effectively eliminate microorganisms from the root canal system and prevent reinfection. Despite advances in techniques, these goals continue to be difficult to achieve due to the complex anatomy of the root canal system and bacterial invasion into the dentinal tubules of the surrounding root dentin. This pilot study aimed to refine a confocal laser scanning microscopy (CLSM) model with LIVE/DEAD staining to quantitatively assess the depth of effective disinfection by endodontic disinfection measures. Methods: Thirty caries-free human teeth underwent standardized chemo-mechanical root canal preparation and were inoculated with Enterococcus faecalis. Following treatment, CLSM-guided imaging with LIVE/DEAD staining allowed for differentiation between vital and dead bacteria and quantification of the depth of effective disinfection. Results: An average depth of bacterial eradication of 450 µm for conventional and 520 µm for sonically activated irrigation (EDDY) could be observed with significant differences (p < 0.05) in the coronal and medial positions. Conclusions: The results indicated that sonically activated irrigation (EDDY) provided a more homogeneous (omnidirectional) irrigation pattern compared to conventional irrigation. The study highlights the importance of effective disinfection strategies in endodontics, emphasizing the need for further research on the depth of effective disinfection of endodontic disinfection measures and the optimization of disinfection protocols. Full article
Show Figures

Figure 1

20 pages, 1188 KB  
Article
Effects of a 6-Month Exercise Intervention on Primitive Reflexes in Children with Developmental Language Disorder—A Case for Multisensory and Sensorimotor Integration
by Brigitta Tele-Heri, Krisztina Csapo, Janos Szabo, Csaba Papp, Rudolf Gesztelyi and Judit Zsuga
Children 2025, 12(12), 1616; https://doi.org/10.3390/children12121616 - 27 Nov 2025
Viewed by 631
Abstract
Objectives: Language is one of the core attributes of human development. Impaired or delayed language development (i.e., developmental language disorder: DLD) is a highly prevalent condition; however, its underlying etiopathogenetic causes are not fully elucidated. The possible role of multisensory integration (MSI) [...] Read more.
Objectives: Language is one of the core attributes of human development. Impaired or delayed language development (i.e., developmental language disorder: DLD) is a highly prevalent condition; however, its underlying etiopathogenetic causes are not fully elucidated. The possible role of multisensory integration (MSI) may be proposed. The aim of this pilot interventional study was to assess the effect of an individualized vestibular exercise training program regarding the processes that rely on multisensory integration in DLD. Methods: Children aged between 5 and 12 years with DLD and their age-matched neurotypical controls were included. Following informed consent, a baseline assessment (primitive reflexes, postural control, receptive language performance) was conducted. Next, a 26 week-long exercise program rich in vestibular stimuli was implemented in the DLD group. At 26-week follow-up, both groups were reassessed. Results: Compared to baseline, the primitive reflex profile significantly improved in the DLD group. Scores for dynamic postural control also improved (score of 0.25 IQR 0–1 at baseline vs. 2 IQR 1–2 at follow-up; p < 0.001). Age-standardized scores for receptive grammar (score of 79.5 IQR 71.5–89.5 at baseline, 87 IQR 66–103 at follow-up; p = 0.03) were also improved. When two-way comparisons using the mixed-effects models were made, improvement in the DLD group was evident when compared to baseline levels and to the control group at follow-up. Conclusions: Based on these results, the possible interplay between multisensory and sensorimotor integration and integration of primitive reflexes is proposed, with vestibular stimulation contributing to the cortical input that may underlie the maturation of the areas dedicated to multisensory processes. Full article
(This article belongs to the Section Pediatric Neurology & Neurodevelopmental Disorders)
Show Figures

Figure 1

37 pages, 2456 KB  
Review
Ethical Integration of AI in Healthcare Project Management: Islamic and Cultural Perspectives
by Hazem Mathker S. Alotaibi, Wamadeva Balachandran and Ziad Hunaiti
AI 2025, 6(12), 307; https://doi.org/10.3390/ai6120307 - 26 Nov 2025
Viewed by 892
Abstract
Artificial intelligence is reshaping healthcare project management in Saudi Arabia, yet most deployments lack culturally grounded ethics. This paper synthesises global AI-ethics guidance and Islamic bioethics, then proposes a maqāṣid-al-sharīʿah-aligned conceptual framework for ANN-based decision support. Ethical signals derived from the preservation of [...] Read more.
Artificial intelligence is reshaping healthcare project management in Saudi Arabia, yet most deployments lack culturally grounded ethics. This paper synthesises global AI-ethics guidance and Islamic bioethics, then proposes a maqāṣid-al-sharīʿah-aligned conceptual framework for ANN-based decision support. Ethical signals derived from the preservation of life, dignity, justice, faith, and intellect are embedded as logic-gate filters on ANN outputs. The framework specifies a dual-metric evaluation that reports predictive performance (e.g., accuracy, MAE, AUC) alongside ethical compliance, with auditable thresholds for fairness (δ = 0.1) and confidence (α = 0.8) calibrated through stakeholder workshops. It incorporates a co-design protocol with clinicians, patients, Islamic scholars, and policymakers to ensure cultural and clinical legitimacy. Unlike UNESCO and EU frameworks, which remain principle-oriented, this study introduces a measurable dual-layer assessment that combines technical accuracy with ethical compliance, supported by audit artefacts such as model cards, traceability logs, and human override records. The framework yields technically efficient and Shariah-compliant recommendations and sets a roadmap for empirical pilots under Vision 2030. The paper moves beyond a general review by formalising an Islamic-values-driven conceptual framework that operationalises ethical constraints inside ANN–DSS pipelines and defines auditable compliance metrics. This paper combines a critical review of AI in healthcare project management with the development of a maqāṣid-aligned conceptual framework, thereby bridging systematic synthesis with an implementable proposal for ethical AI. Full article
Show Figures

Figure 1

23 pages, 2707 KB  
Article
Beyond Industry 5.0: Leadership 5.0—Driving Future-Ready Organizations
by Gillian Warner-Søderholm and Miika Kuoppamäki
Businesses 2025, 5(4), 56; https://doi.org/10.3390/businesses5040056 - 26 Nov 2025
Viewed by 686
Abstract
The aim of this paper is to fill the identified gap in the literature regarding mapping key values within Leadership 5.0. Our study indicates that Leadership 5.0 (L5.0) shows a transformative shift in leadership, demanding innovative leaders to adopt agile and digital mindsets, [...] Read more.
The aim of this paper is to fill the identified gap in the literature regarding mapping key values within Leadership 5.0. Our study indicates that Leadership 5.0 (L5.0) shows a transformative shift in leadership, demanding innovative leaders to adopt agile and digital mindsets, hence fostering innovation whilst balancing human and technological needs in Industry 5.0 settings. Developing people-centric leadership skills is critical in order to build collaborative innovation between humans and machines. In this way, human expertise is integrated with technology, to drive future-ready organizations. Findings show that L5.0 prioritizes continuous learning environments to adapt to rapidly evolving challenges. This ensures that organizations are agile, resilient, and ready for the future. L5.0 recognizes that intellectual capital—driven by human creativity, emotional intelligence, and collaboration—is essential for sustainable innovation in the digital shift. This paper’s theoretical contribution is a conceptual analysis of L5.0. We present a comprehensive and actionable conceptual model for mapping L5.0. We identify five key L5.0 pillars from the literature: human-centric leadership, future readiness and adaptability, a sustainability and ethics focus, collaboration and inclusion values and an innovation and experimentation approach to leadership. We develop a 30-item L5.0 survey instrument, anchored in the literature, and we conduct initial pilot testing for item clarification. The survey instrument application can provide valuable management insights: a road map for assessing the presence and maturity level of L5.0 in organizations. Full article
Show Figures

Figure 1

20 pages, 1914 KB  
Article
Digital Technologies for Sustainable Management of Visitor Carrying Capacity in Heritage Enclosed/Confined Spaces
by María José Viñals, Penélope Teruel-Recio, Karim Smaha and José Manuel Gandía-Romero
Sustainability 2025, 17(23), 10534; https://doi.org/10.3390/su172310534 - 24 Nov 2025
Viewed by 499
Abstract
Cultural tourism has become an increasingly significant phenomenon in urban areas, especially in cities rich in heritage sites. However, when the number of visitors exceeds sustainable capacity thresholds, both the physical and psychological comfort and safety of individuals may be compromised. A higher [...] Read more.
Cultural tourism has become an increasingly significant phenomenon in urban areas, especially in cities rich in heritage sites. However, when the number of visitors exceeds sustainable capacity thresholds, both the physical and psychological comfort and safety of individuals may be compromised. A higher number of visitors inside historic buildings leads to elevated concentrations of carbon dioxide (CO2), particularly in poorly ventilated enclosed or confined spaces, primarily as a result of human respiration. Such conditions not only accelerate the deterioration processes affecting heritage materials but also introduce potential health risks for visitors. Parameters such as CO2 concentration, indoor air temperature, and relative humidity represent key measurable parameters for assessing environmental Indoor Air Quality (IAQ) within heritage buildings. Digital real-time monitoring of these parameters plays a crucial role in preventive heritage conservation, sustainable site management, and in ensuring visitors’ comfort and well-being. This paper presents a procedure and methodology that use digital technological tools to efficiently estimate and monitor the Visitor Carrying Capacity (VCC) of enclosed/confined heritage spaces, especially Heritage Building Information Modelling (HBIM) and Sensor Technology. These kinds of spaces require particular attention due to their spatial characteristics. In order to do so, it is necessary to know the geometry of the site, and to consider IAQ conditions. This study also considers the number of People at One Time (PAOT) and Visitor Occupancy (VO). The results focus on the procedural development of the analysis and emphasise the role of digital tools not only due to their efficiency and accuracy in spatial analysis for estimating VCC, but especially for the real-time monitoring of visitors and surveying specific environmental parameters. The experimental phase of this study uses the Chapel of the Holy Chalice of the Valencia Cathedral (Spain) as a pilot case. Monitoring this space reveals how quickly high CO2 levels are reached with continuous visitor presence, and how long it takes for them to decay in absence of people and under passive ventilation conditions. The outcome of this research is a detailed methodological framework designed to assess and monitor Visitor Carrying Capacity (VCC) in enclosed/confined heritage sites by integrating digital technologies, thereby enhancing sustainable management, planning and decision-making processes. Full article
Show Figures

Figure 1

17 pages, 1440 KB  
Article
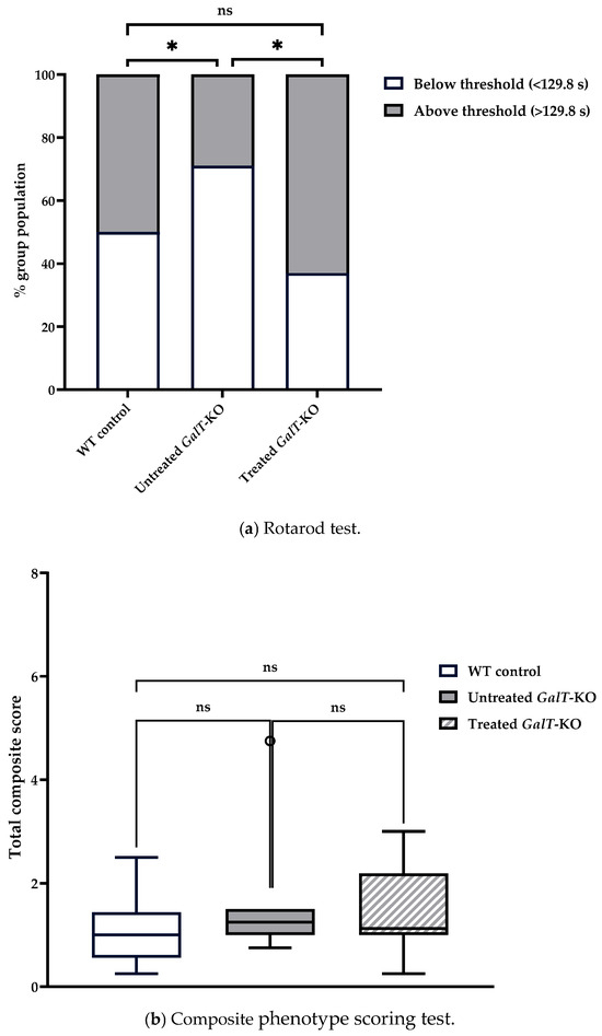
Experimental Galactose-1-Phosphate Uridylyltransferase (GALT) mRNA Therapy Improves Motor-Related Phenotypes in a Mouse Model of Classic Galactosemia—A Pilot Study
by Olivia Bellagamba, Aaron J. Guo, Xinhua Yan, Joe Sarkis, Bijina Balakrishnan and Kent Lai
Biomedicines 2025, 13(12), 2848; https://doi.org/10.3390/biomedicines13122848 - 21 Nov 2025
Viewed by 546
Abstract
Background: Despite life-saving newborn screening programs and a life-long galactose-restricted diet, many patients with classic galactosemia continue to develop long-term debilitating neurological deficits, speech dyspraxia, and primary ovarian insufficiency (POI). In an earlier study, we showed that administration of an experimental human GALT [...] Read more.
Background: Despite life-saving newborn screening programs and a life-long galactose-restricted diet, many patients with classic galactosemia continue to develop long-term debilitating neurological deficits, speech dyspraxia, and primary ovarian insufficiency (POI). In an earlier study, we showed that administration of an experimental human GALT mRNA predominantly expressed in the liver of the GalT gene-trapped mouse model augmented the expression of hepatic GALT activity, which reduced build-up of galactose and its toxic metabolites not only in the liver but also in the peripheral tissues. Moreover, we showed that the administration of GALT mRNA in the mutant mice restored whole-body galactose oxidation (WBGO), which is a functional biomarker. Methods: In this pilot study, we extended our proof-of-concept efficacy studies to a disease-relevant phenotype: motor impairment. GalT-KO mice aged 3 and 6 weeks old administered biweekly intravenous injections of 100 µL GALT mRNA at a dose of 2 mg/kg for 2 months. Motor performance was assessed using rotarod testing and composite phenotype scoring, 3 and 9 weeks following the dosing regimen. Results: Preliminary results showed that a biweekly dosing at 2 mg/kg for 2 months improved the motor performance of the animals in rotarod and composite phenotype scoring tests in a short-term experiment. Conclusions: Despite being a small-scale study, our findings suggest that when treated early in life, the experimental GALT mRNA is effective in improving the motor-related phenotypes in GalT-KO mice using the specified dosing regimen. These findings highlight the potential of mRNA-based therapies for mitigating neurological symptoms in Classic galactosemia. Full article
(This article belongs to the Section Molecular Genetics and Genetic Diseases)
Show Figures

Figure 1

12 pages, 742 KB  
Brief Report
Raman Spectroscopy of Cell-Free Cervicovaginal Lavage for HPV Lesion Diagnosis: A Pilot Study
by Elena Rimskaya, Alexey Gorevoy, Anastasia Devyatkina, Niso Nazarova, Natalia Starodubtseva, Patimat Abakarova, Anna Mgeryan, Sergey Kudryashov, Vera Prilepskaya and Gennady Sukhikh
Int. J. Mol. Sci. 2025, 26(22), 11064; https://doi.org/10.3390/ijms262211064 - 15 Nov 2025
Viewed by 379
Abstract
High-risk human papillomavirus (HPV) is the leading etiological factor in cervical cancer, creating a pressing need for less invasive and more objective diagnostic tools. This pilot study pioneers the application of Raman spectroscopy to cell-free cervicovaginal lavage (CVL) for distinguishing between low-grade and [...] Read more.
High-risk human papillomavirus (HPV) is the leading etiological factor in cervical cancer, creating a pressing need for less invasive and more objective diagnostic tools. This pilot study pioneers the application of Raman spectroscopy to cell-free cervicovaginal lavage (CVL) for distinguishing between low-grade and high-grade squamous intraepithelial lesions (LSIL and HSIL) in HPV-positive patients. Raman spectra were acquired at 532-nm excitation from cell-free CVL samples of 20 patients with histologically confirmed LSIL (n = 9) or HSIL (n = 11). Comparative analysis of Raman bands revealed a significant biochemical shift in HSIL, presumably characterized by reduced glycogen and lactate/lactic acid levels alongside substantially elevated heme proteins. A diagnostic model based on key spectral intensity ratios achieved differentiation between LSIL and HSIL with 80% sensitivity and 86% specificity. These findings demonstrate that Raman spectroscopy of cell-free CVL effectively captures profound metabolic and microvascular alterations characteristic of neoplastic progression, showcasing its strong potential as a rapid, cost-effective, non-invasive, and objective tool for cervical lesion risk stratification. Full article
(This article belongs to the Special Issue Spectroscopic Techniques in Molecular Sciences)
Show Figures

Figure 1

16 pages, 1543 KB  
Article
Inferring Mental States via Linear and Non-Linear Body Movement Dynamics: A Pilot Study
by Tad T. Brunyé, Kana Okano, James McIntyre, Madelyn K. Sandone, Lisa N. Townsend, Marissa Marko Lee, Marisa Smith and Gregory I. Hughes
Sensors 2025, 25(22), 6990; https://doi.org/10.3390/s25226990 - 15 Nov 2025
Viewed by 583
Abstract
Stress, workload, and uncertainty characterize occupational tasks across sports, healthcare, military, and transportation domains. Emerging theory and empirical research suggest that coordinated whole-body movements may reflect these transient mental states. Wearable sensors and optical motion capture offer opportunities to quantify such movement dynamics [...] Read more.
Stress, workload, and uncertainty characterize occupational tasks across sports, healthcare, military, and transportation domains. Emerging theory and empirical research suggest that coordinated whole-body movements may reflect these transient mental states. Wearable sensors and optical motion capture offer opportunities to quantify such movement dynamics and classify mental states that influence occupational performance and human–machine interaction. We tested this possibility in a small pilot study (N = 10) designed to test feasibility and identify preliminary movement features linked to mental states. Participants performed a perceptual decision-making task involving facial emotion recognition (i.e., deciding whether depicted faces were happy versus angry) with variable levels of stress (via a risk of electric shock), workload (via time pressure), and uncertainty (via visual degradation of task stimuli). The time series of movement trajectories was analyzed both holistically (full trajectory) and by phase: lowered (early), raising (middle), aiming (late), and face-to-face (sequential). For each epoch, up to 3844 linear and non-linear features were extracted across temporal, spectral, probability, divergence, and fractal domains. Features were entered into a repeated 10-fold cross-validation procedure using 80/20 train/test splits. Feature selection was conducted with the T-Rex Selector, and selected features were used to train a scikit-learn pipeline with a Robust Scaler and a Logistic Regression classifier. Models achieved mean ROC AUC scores as high as 0.76 for stress classification, with the highest sensitivity during the full movement trajectory and middle (raise) phases. Classification of workload and uncertainty states was less successful. These findings demonstrate the potential of movement-based sensing to infer stress states in applied settings and inform future human–machine interface development. Full article
(This article belongs to the Special Issue Sensors and Data Analysis for Biomechanics and Physical Activity)
Show Figures

Figure 1

22 pages, 2262 KB  
Article
BEACH-Gaze: Supporting Descriptive and Predictive Gaze Analytics in the Era of Artificial Intelligence and Advanced Data Science
by Bo Fu, Kayla Chu, Angelo Ryan Soriano, Peter Gatsby, Nicolas Guardado Guardado, Ashley Jones and Matthew Halderman
J. Eye Mov. Res. 2025, 18(6), 67; https://doi.org/10.3390/jemr18060067 - 12 Nov 2025
Viewed by 425
Abstract
Recent breakthroughs in machine learning, artificial intelligence, and the emergence of large datasets have made the integration of eye tracking increasingly feasible not only in computing but also in many other disciplines to accelerate innovation and scientific discovery. These transformative changes often depend [...] Read more.
Recent breakthroughs in machine learning, artificial intelligence, and the emergence of large datasets have made the integration of eye tracking increasingly feasible not only in computing but also in many other disciplines to accelerate innovation and scientific discovery. These transformative changes often depend on intelligently analyzing and interpreting gaze data, which demand a substantial technical background. Overcoming these technical barriers has remained an obstacle to the broader adoption of eye tracking technologies in certain communities. In an effort to increase accessibility that potentially empowers a broader community of researchers and practitioners to leverage eye tracking, this paper presents an open-source software platform: Beach Environment for the Analytics of Human Gaze (BEACH-Gaze), designed to offer comprehensive descriptive and predictive analytical support. Firstly, BEACH-Gaze provides sequential gaze analytics through window segmentation in its data processing and analysis pipeline, which can be used to achieve simulations of real-time gaze-based systems. Secondly, it integrates a range of established machine learning models, allowing researchers from diverse disciplines to generate gaze-enabled predictions without advanced technical expertise. The overall goal is to simplify technical details and to aid the broader community interested in eye tracking research and applications in data interpretation, and to leverage knowledge gained from eye gaze in the development of machine intelligence. As such, we further demonstrate three use cases that apply descriptive and predictive gaze analytics to support individuals with autism spectrum disorder during technology-assisted exercises, to dynamically tailor visual cues for an individual user via physiologically adaptive visualizations, and to predict pilots’ performance in flight maneuvers to enhance aviation safety. Full article
Show Figures

Figure 1

20 pages, 3180 KB  
Article
Hierarchical Bayesian Modeling for Physiological Data in Small-N Aviation Human Factors Research
by Ainsley Kyle, Brock Rouser, Ryan C. Paul and Katherina A. Jurewicz
Aerospace 2025, 12(11), 1004; https://doi.org/10.3390/aerospace12111004 - 11 Nov 2025
Viewed by 710
Abstract
Monitoring pilot cognitive state in real time is becoming increasingly important as automation plays a larger role in aviation. Traditional workload assessments, such as questionnaires or task-based performance metrics, provide useful insights but can be limited in rapidly changing flight environments. Physiological measures, [...] Read more.
Monitoring pilot cognitive state in real time is becoming increasingly important as automation plays a larger role in aviation. Traditional workload assessments, such as questionnaires or task-based performance metrics, provide useful insights but can be limited in rapidly changing flight environments. Physiological measures, including heart rate, respiration, and electroencephalogram (EEG), offer continuous data streams, yet their variability and complexity present challenges for analysis. This study explores the use of a hierarchical Bayesian framework to quantify patterns from physiological signals recorded during high-fidelity flight simulations. Five certified pilots flew scenarios that varied in automation level and working memory demand while heart rate, respiration rate, and EEG-derived workload estimates were monitored. The model generated individualized and condition-specific estimates, quantified uncertainty, and remained stable with a small participant pool. Heart rate appeared to be the most consistent indicator, followed by EEG-derived workload, while respiration rate was less reliable across conditions. These results suggest that Bayesian inference may provide a promising way to interpret physiological data in aviation settings and could support the development of adaptive automation that responds to pilot workload. The approach emphasizes transparency and efficiency, offering complementary value to existing modeling techniques for aerospace human factors and flight deck applications. Full article
(This article belongs to the Section Aeronautics)
Show Figures

Figure 1

Back to TopTop