Next Article in Journal
Unlocking the Cashless Shift: Retailers’ Adoption of Digital Payment Systems in Emerging Markets
Previous Article in Journal
Convergence of Corporate Digital Innovation: Herding Behavior or Peer Effects?
 
 
Font Type:
Arial Georgia Verdana
Font Size:
Aa Aa Aa
Line Spacing:
Column Width:
Background:
Article

Does Cross-Border E-Commerce Broaden the Innovation Boundaries of Firms? Evidence from a Quasi-Natural Experiment in China

1
Northeast Asian Studies College, Jilin University, Changchun 130012, China
2
Northeast Asian Research Center, Jilin University, Changchun 130012, China
*
Author to whom correspondence should be addressed.
J. Theor. Appl. Electron. Commer. Res. 2025, 20(4), 358; https://doi.org/10.3390/jtaer20040358
Submission received: 7 November 2025 / Revised: 30 November 2025 / Accepted: 5 December 2025 / Published: 11 December 2025

Abstract

Cross-border e-commerce (CBEC) is a driving force behind international trade and corporate upgrading in the era of global digital transformation. This research aims to investigate the extent to which the establishment of China’s Cross-Border E-Commerce Comprehensive Pilot Zones (CBECPZs) expands the innovation boundaries of firms. We employ a multi-period difference-in-differences (DID) model to analyse panel data for Chinese A-share listed companies from 2010 to 2023, viewing the phased introduction of CBECPZs as a quasi-natural experiment. The empirical results indicate that the establishment of CBECPZs substantially expands the innovation boundaries of firms, as evidenced by an increase in patent applications in new technological domains. This finding is confirmed by parallel-trend checks, propensity-score-matching DID, placebo testing, and double-machine-learning calculations. The mechanism analysis shows that CBEC mainly fosters innovation by improving enterprises’ digital-marketing capacities, reducing information asymmetry, promoting technology spillovers, and encouraging human-capital investment. In addition, the strategy promotes innovation more effectively for eastern Chinese companies, high-technology firms, and non-state-owned enterprises. This study provides micro-level evidence from China regarding the innovative effects of cross-border e-commerce and clarifies how digital trade redefines organisational innovation parameters. In doing so, it offers both theoretical and practical insights for policymakers refining CBEC regulations and businesses leveraging digital platforms for innovation advancement.

1. Introduction

In the evolving global economy, the digital revolution now serves as a key factor in transforming both international economic structures and operational business frameworks [1]. Recent developments in information technology, particularly the rapid expansion of e-commerce, big data analytics, and cloud computing platforms, have greatly changed the way firms operate, create value, and compete in the market [2]. Within this broader context, the field of international trade has also undergone a profound digital transformation, and one of the most notable recent developments has been the rapid rise of cross-border e-commerce (CBEC). CBEC, as an innovative international commerce model, enables companies in different nations or regions to directly engage in online transactions, payment settlements, and cross-border logistical delivery using the Internet and digital platforms [3]. It is not only a manifestation of the deep integration between the digital and real economies but also a key driver of global trade growth and an important engine for restructuring global value chains.
Compared with traditional international trade models, one of the most distinctive features of CBEC is its ability to overcome the constraints of geography and physical distance. Digital technologies have provided firms, particularly small and medium-sized enterprises (SMEs), with an unprecedented ability to reach global markets. Through e-commerce platforms, firms can operate around the clock, employ online advertising and social media for targeted marketing, and take advantage of increasingly sophisticated global logistics networks to simplify product distribution [4]. This transformation has not only lowered the barriers to international trade but also significantly facilitated the free flow of capital, information, and goods worldwide [2]. The application of emerging technologies such as blockchain has further enhanced the transparency and efficiency of cross-border e-commerce supply chains [5]. Therefore, cross-border e-commerce is no longer merely a channel innovation but has evolved into a disruptive force profoundly reshaping firms’ strategies, organisational structures, and operating models [6].
In the increasingly challenging and uncertain global market environment, innovation has become a key driver of firms’ long-term competitiveness and sustainable development. However, firms’ innovation activities are not random or unconstrained; rather, they are bounded by their existing knowledge bases, technological capabilities, and cognitive frameworks—collectively referred to as the “innovation boundary” [7,8]. The innovation boundary can be understood as the scope within which a firm engages in innovative exploration, particularly reflecting its ability and willingness to extend into new technological or knowledge domains. Limiting business operations to existing technological trajectories and knowledge domains through incremental or exploitative innovation may reduce short-term risks, but in the long run, it tends to cause technological lock-in and core capability rigidity, leaving firms vulnerable to disruptive technological shocks. In contrast, continuously breaking through and expanding the innovation boundary to engage in exploratory innovation across new technological domains is crucial for firms to discover new growth opportunities, build dynamic capabilities, and enhance environmental adaptability and organisational resilience [9,10].
However, expanding the innovation boundary represents a major challenge for firms. It requires companies to overcome cognitive limitations and organisational inertia, and to effectively acquire, integrate, and leverage heterogeneous external knowledge and resources. This issue lies at the heart of the organisational theory literature on “boundary spanning,” which examines how firms connect and exchange knowledge across internal and external boundaries [11]. A growing body of research has shown that effectively spanning knowledge boundaries within and across organisations is a key driver of innovation [12,13]. Firms therefore need to establish connections with diverse external actors—such as customers, suppliers, competitors, and research institutions—to access new knowledge, ideas, and technologies [14]. However, many firms face an “innovation dilemma” in practice, struggling to balance the refinement of existing business strategies with the exploration of new opportunities. This dilemma often results in the rigidification of innovation boundaries [15].
Here a key question arises: can cross-border e-commerce, as a business practice deeply embedded in the ongoing waves of globalisation and digitalisation, help firms overcome their internal knowledge and technological barriers and effectively expand their innovation boundaries? Although a considerable body of literature has examined the effects of CBEC on firms’ export performance [16], supply-chain management [17], and market-entry strategies [18], the internal link between CBEC and the expansion of firms’ innovation boundaries—particularly the underlying mechanisms through which CBEC affects such expansion—has not yet been adequately theorised or rigorously tested empirically.
China, as the world’s largest e-commerce market and a major manufacturing power, has witnessed particularly rapid growth in CBEC, which has attracted significant attention and policy support from the national government. Since 2015, the Chinese government has successively established a series of Cross-Border E-Commerce Comprehensive Pilot Zones (CBECPZs). These pilot zones are designed to promote institutional, managerial, and service innovations that create a more facilitative and regulated policy environment for the development of cross-border e-commerce. Specific measures include simplifying customs clearance procedures through a “single window” system, offering tax incentives, and improving logistics and payment infrastructures. The implementation of these policies has substantially reduced the institutional and operational barriers faced by firms engaging in cross-border e-commerce within the pilot zones, thereby providing an excellent quasi-natural experimental setting for observing the deeper impacts of CBEC on firm behaviour.
This paper, using the establishment of CBECPZs in China as a quasi-natural experiment, employs panel data from Chinese A-share listed firms spanning 2010 to 2023 to construct a multi-period difference-in-differences (DID) model, thereby examining the policy’s impact through a rigorous empirical framework. The study is designed to tackle three core issues: (1) whether the establishment of CBEC Pilot Zones has substantially stimulated innovation activities among firms located within these zones; (2) if there is a positive impact, what fundamental mechanisms enable CBEC to drive firms’ innovation; and (3) whether this promotive effect, if confirmed, demonstrates heterogeneity across different firms and regions.
This study aims to make several contributions to the existing literature by systematically addressing the aforementioned questions. First, at the theoretical level, this study extends the research perspective on CBEC beyond traditional trade performance indicators—such as export volume and export resilience—to the deeper dimension of firms’ innovative behaviour, particularly the expansion of innovation boundaries. This not only enriches the literature on the economic consequences of CBEC but also offers a new theoretical explanation for how international trade influences firm innovation in the digital economy era. Moreover, the study contributes to the literature on innovation boundaries by identifying a new driving force—policy-driven digital trade practices—as an important external mechanism that enables firms to overcome knowledge barriers and pursue exploratory innovation. Second, at the empirical level, by exploiting the quasi-natural experiment of the Comprehensive Cross-Border E-commerce Pilot Zones and employing a multi-period DID model, this study provides a more accurate identification of the causal effect of CBEC development on firms’ innovation-boundary expansion. The findings demonstrate robust causal efficacy and reveal substantial policy implications, while overcoming potential issues of sample selection bias and reverse causality that may have affected previous studies. Third, at the practical level, the findings of this study provide important implications for both government policymaking and corporate strategy. For policymakers, the results offer empirical evidence for assessing the innovation effects of CBEC-related policies, suggesting that promoting CBEC development is not only a way to stabilise foreign trade but also an effective means of stimulating firms’ innovation vitality and facilitating industrial upgrading. For business managers, this study reveals that the strategic value of CBEC extends far beyond the expansion of sales channels. Firms should leverage CBEC as a strategic platform for gaining global market insights, learning cutting-edge technologies, and upgrading human capital, thereby systematically enhancing their innovation capability and long-term competitiveness.

2. Literature Review and Research Hypotheses

2.1. Literature Review

2.1.1. Cross-Border E-Commerce and Firm Behaviour

CBEC has become a central concern in scholarly discourse, signifying a substantial convergence of digital technology and international trade. Initial studies predominantly concentrated on the developmental models, motivating factors, and obstacles associated with CBEC [19,20]. As research in this area has progressed, increasing attention has been paid to the impact of CBEC on firms’ micro-level behaviours. A number of empirical studies have confirmed that CBEC can significantly enhance firms’ export scale, scope, and resilience [16]; reduce the barriers to entering international markets [4]; and improve supply chain management and logistics efficiency [17,21]. Recent evidence also suggests that CBEC facilitates product and process innovation by enabling firms to access global market information and real-time consumer feedback through online platforms [22,23]. However, most of these studies have tended to focus on incremental or adaptive innovation within existing product lines, with relatively little attention paid to whether CBEC can drive more fundamental, technology-crossing innovation [24].

2.1.2. Firms’ Innovation Boundaries

The concept of the “innovation boundary” originates from organisational learning and innovation management theory and describes the range and diversity of a firm’s knowledge base [25]. According to this line of research, firms’ innovation activities tend to exhibit strong path dependence, with a preference for exploitative innovation within existing technological trajectories. In contrast, exploratory innovation, which involves venturing into entirely new technological domains, is characterised by greater uncertainty and risk and requires firms to transcend their existing knowledge boundaries [26]. Expanding the innovation boundary is crucial for firms’ long-term development, as it enables them to escape technological lock-in and seize opportunities arising from emerging technological paradigms [15].
Contributions to the literature have identified multiple factors influencing the expansion of firms’ innovation boundaries, including internal elements such as R&D strategy, organisational structure, and absorptive capacity, as well as external conditions such as knowledge networks, university–industry collaborations, and market environments [12,14]. More recently, digital transformation has been increasingly recognised as an important driver of innovation-boundary expansion [7]. As a concrete manifestation of digitalisation in the domain of international trade, CBEC provides a valuable context for investigating how digital trade practices may influence firms’ innovation boundaries.

2.2. Research Hypotheses

CBEC is essentially a profound form of boundary-spanning practice. It not only transcends geographical boundaries by enabling firms to offer products and services to global markets but also crosses organisational and cultural boundaries, allowing firms to interact directly with consumers, suppliers, and partners worldwide. We argue that such boundary-spanning characteristics can expand firms’ innovation boundaries through multiple mechanisms, which are grounded in relevant theoretical frameworks.
First, CBEC generates globally diversified market-demand information. Compared with traditional export models, CBEC enables firms to directly access end consumers and to obtain rich, real-time, and low-cost information on product preferences, usage scenarios, and latent needs through online reviews, social media interactions, and sales data analytics. As noted in the literature, heterogeneous demand from different cultural and market environments serves as an important stimulus for new-idea generation and product improvement, ultimately broadening firms’ market and product innovation boundaries. This process is underpinned by Boundary Spanning Theory, which explains how firms engage with diverse external environments, such as global markets, to stimulate inno-vation [27]. Second, CBEC intensifies global competition pressures [28]. Firms engaged in CBEC compete not only with domestic peers but also with international counterparts. This intensified competition forces firms to continuously upgrade technologies and innovate business models in order to sustain product differentiation and market attractiveness. Such processes of learning by doing and learning from competing encourage firms to seek technological breakthroughs and to extend their technological innovation boundaries [29]. Third, CBEC promotes open innovation. In operating CBEC activities, firms are required to collaborate with multiple types of external partners, such as digital platforms, international logistics providers, overseas warehouse operators, and digital marketing agencies. These cross-organisational collaboration networks provide firms with valuable channels to acquire external knowledge and technologies [30]. For example, through cooperation with technology platforms, firms can access advanced data analytics tools; through collaboration with marketing agencies, they can learn the latest digital marketing strategies. The inflow of such external knowledge helps to break internal knowledge barriers and expand firms’ organisational innovation boundaries [31].
Therefore, we put forward the following hypothesis (H1): The establishment of Comprehensive Cross-Border E-commerce Pilot Zones significantly expands the innovation boundaries of firms within the zones.
The establishment of CBECPZs provides a valuable institutional setting for exploring the mechanisms through which CBEC influences firms’ innovation boundaries. We identify four key mediating mechanisms—digital marketing capability, information transparency, technology spillover, and human capital investment—through which CBEC may facilitate firms’ innovation boundary expansion.
First, CBEC enhances firms’ digital marketing capabilities, which constitute a core component of cross-border operations [18]. Digital marketing strategies, such as search engine marketing, social media marketing, and content marketing, facilitate precise targeting, permit real-time engagement, and offer measurable effectiveness, capabilities that traditional marketing methods frequently fail to attain. Through continuous engagement in digital marketing, firms generate and analyse large volumes of user-behaviour data that reveal consumer preferences, pain points, and latent needs across markets [32]. As noted in previous studies, these data-driven insights provide firms with concrete evidence for product improvement and innovation. Consequently, CBEC indirectly promotes innovation-boundary expansion by compelling firms to strengthen their digital marketing capabilities and leverage data analytics for innovation. Therefore, we propose the following hypothesis:
H1a. 
Digital marketing capability mediates the relationship between the establishment of Comprehensive Cross-Border E-commerce Pilot Zones and firms’ innovation boundary expansion.
Second, CBEC reduces information asymmetry, a major obstacle to international trade [20]. CBEC platforms improve transparency by providing detailed product information, buyer reviews, and transaction records, thereby narrowing information gaps between buyers and sellers. For firms, this improvement extends beyond customer interactions to include a better understanding of global markets, enabling them to access information on market size, competitor dynamics, technological trends, and regulatory developments. Emerging technologies such as blockchain, as previously noted, mitigate information barriers and significantly improve supply-chain transparency and traceability [5]. This reduction in information asymmetry is in line with the Information Economics Theory, which highlights the importance of reducing uncertainty and improving decision-making capabilities. The decrease in information collection costs and the improvement in information quality allow firms to make better-informed innovation decisions and identify new prospects for innovation. Consequently, we suggest the following hypothesis:
H1b. 
The reduction in information asymmetry mediates the relationship between the establishment of Comprehensive Cross-Border E-commerce Pilot Zones and firms’ innovation boundary expansion.
Third, CBECPZs facilitate technological spillovers among enterprises operating within the zones. The pilot zones attract a varied range of cross-border e-commerce stakeholders, including trading firms, logistics providers, digital platforms, and technology companies, thereby creating an interconnected industrial ecosystem that promotes regular interactions and facilitates knowledge exchange. According to industrial cluster theory, such spatial proximity and industrial interconnection create favourable conditions for technology diffusion and collective innovation. Within this environment, firms can acquire and assimilate advanced technologies through both formal channels—such as joint R&D projects, strategic alliances, and supply-chain collaborations—and informal mechanisms, including inter-firm learning, labor mobility, and professional networking [33]. As emphasised in previous studies, leading firms in these ecosystems often act as technological anchors whose innovations generate externalities that spill over to surrounding firms through demonstration, imitation, and reverse engineering. These spillover processes facilitate the transfer of tacit knowledge, enhance firms’ technological learning capabilities, and accelerate cumulative innovation. Consequently, CBECPZs enhance technological spillovers that enable firms to overcome internal knowledge constraints and extend their innovation boundaries. Therefore, we propose the following hypothesis.
H1c. 
Technological spillovers mediate the relationship between the establishment of Comprehensive Cross-Border E-commerce Pilot Zones and firms’ innovation boundary expansion.
Fourth, CBEC drives firms to increase investment in human capital. The successful operation of CBEC requires employees to possess diverse skill sets, including foreign language proficiency, digital marketing competence, data analytics ability, and international legal knowledge. To meet these demands, firms must recruit skilled professionals and provide training to existing staff. As emphasised in the literature, human capital development forms the foundation of firms’ absorptive capacity and innovation capability [34]. Highly qualified employees are more capable of understanding complex global information, using advanced digital tools, and generating creative solutions. Therefore, CBEC encourages firms to build a strong talent base that supports broad and deep innovation activities, ultimately contributing to the expansion of their innovation boundaries. Accordingly, we propose the following hypothesis.
H1d. 
Human capital investment mediates the relationship between the establishment of Comprehensive Cross-Border E-commerce Pilot Zones and firms’ innovation boundary expansion.

3. Materials and Methods

3.1. Model Specification

China’s Comprehensive CBECPZs were constructed in numerous batches across years and cities, making a multi-period DID approach ideal for identifying policy effects in staggered implementation settings. The baseline model follows the empirical methodology in the literature [10]:
I n n o B o u n d i , j , t = β 0 + β 1 T r e a t i i , j × P e r i o d t + X i , t θ + μ i + λ t + ε j , t
where i denotes the firm, j the city, and t the year. I n n o B o u n d i , j , t represents the measure of a firm’s innovation boundary expansion. T r e a t i i , j is a treatment-group dummy variable that equals 1 if firm i is located in a city that was designated as a CBECPZS during the sample period, and 0 otherwise. P e r i o d t is a post-policy dummy variable that takes the value 1 for the years following the establishment of a CBECPZS in city j, and 0 otherwise. The interaction term ( T r e a t i i , j × P e r i o d t ) effectively captures the treatment effect of the CBECPZS policy. The coefficient represents the key parameter. The CBECPZS policy’s net impact on businesses’ innovation boundary expansion is estimated. To support Hypothesis H1, a significant positive β 1 indicates that CBECPZs expand firms’ innovation boundaries. The vector of firm-level control variables X i , t , including observable characteristics, μ i and λ t represent firm and year fixed effects, respectively, and ε j , t is the random error term. This DID specification provides a rigorous identification framework by limiting time-invariant firm heterogeneity and common macroeconomic shocks across years, allowing a comprehensive examination of the CBECPZS policy’s causal implications on business innovation performance.

3.2. Variable Selection

3.2.1. Dependent Variable

To identify the extent of firms’ technological diversification in patent applications, this study follows the approach adopted in previous research and uses the number of patents filed in new technological fields as a measure of firms’ innovation boundary expansion [7]. The calculation proceeds as follows. First, the International Patent Classification (IPC) is employed to define technological fields. For each firm, all four-digit IPC codes from patents filed up to year t are accumulated to construct a “technological stock.” Second, based on whether the IPC code of a newly filed patent appears in the firm’s existing technological stock, patents are categorized into new-field patents and existing-field patents. Specifically, if none of the IPC codes associated with a newly filed patent have appeared in the firm’s prior technological stock, the patent is identified as a new technological field patent (InnoBound); otherwise, it is classified as an existing-field patent. This approach provides a systematic and replicable way to measure firms’ expansion into new technological domains.

3.2.2. Independent Variable

The policy variable is constructed based on the official approval documents of the State Council regarding the establishment of CBECPZs. A list of all pilot cities and their respective approval years up to 2023 was manually compiled. If a firm is registered in a city that became a CBECPZS in year t, it is regarded as part of the treatment group (Treat = 1) from that year onward, with the corresponding post-policy indicator taking the value Post = 1. The interaction term Treat × Post thus captures the exposure of a firm to the CBECPZS policy and serves as the key explanatory variable in the DID estimation.

3.2.3. Control Variables

This study uses firm-level control variables often used in the literature [9,35] to reduce confounding factors’ effects on regression findings. Firms’ fundamental traits, financial performance, and governance structure are captured by these variables, which may greatly impact innovation behavior. AGE is the natural logarithm of one plus the temporal difference between the statistical year and the firm’s founding year. The natural logarithm of total assets determines business size. Leverage ratio (LEV) is the ratio of total liabilities to total assets, while ROE is net profit divided by shareholders’ equity. Book-to-market ratio (BM) is book value divided by market value. As the aggregate of the shareholding proportions of the second to fifth largest shareholders divided by that of the largest shareholder, the ownership balance (BALANCE) indicates equity limitation. The cash flow ratio (CASHFLOW) measures net cash flow from operating activities compared to total assets, while the annual growth rate of operating revenue measures firm growth (GROWTH). These variables control firm-specific attribute heterogeneity and strengthen empirical findings.

3.3. Data Sources

This analysis includes all listed A-share corporations on the Shanghai and Shenzhen Stock Exchanges in China from 2010 to 2023. The Comprehensive Cross-Border E-commerce Pilot Zones’ establishment and approval years were obtained from Chinese Government statements on their website. The CSMAR (China Stock Market & Accounting Research) database and the China National Research Data Service Platform (CNRDS) provided firm-level financial and patent data for robust research. The China City Statistical Yearbook presented city-level economic indicators. To assure data dependability and consistency, the initial sample was processed according to these criteria. The investigation initially excluded financial organizations due to their unique accounting standards and regulatory contexts. Second, ST and *ST firms were intentionally excluded from the sample to eliminate organizations with aberrant financial position. Third, severe missing data observations were dropped. All continuous variables were winsorized at the 1st and 99th percentiles to reduce outliers. After these operations, the balanced panel dataset has 4435 firms and 26,300 firm-year observations over 14 years.
Table 1 shows descriptive statistics for this research’s main variables. Table 1 shows that Chinese listed companies’ innovation boundaries average 0.393 and have a standard deviation of 0.251, indicating significant heterogeneity in technical innovation. As with prior studies’ summary statistics, the remaining variables show that this paper’s dataset is representative and comparable to empirical research.

4. Results

4.1. Benchmark Regression Results

Table 2 shows the benchmark regression results on CBECPZs and the firm’s innovation boundary. Column (1) contains only firm and year fixed effects without control variables. Column (2) keeps these fixed effects and adds firm- and year-level controls. Column (3) also controls city and industry fixed effects to reduce bias from unobserved time-invariant components at these levels. According to Table 2, the computed coefficients are all significantly positive at the 1% level, demonstrating that CBECPZs enhance the number of patents awarded to enterprises in new technical domains, widening their innovation limits. Table 2 shows that CBECPZs have promoted enterprises’ technological innovation and innovation frontiers, supporting Hypothesis H1.

4.2. Robustness Tests

To ensure the reliability of the baseline results, a series of robustness checks were conducted.

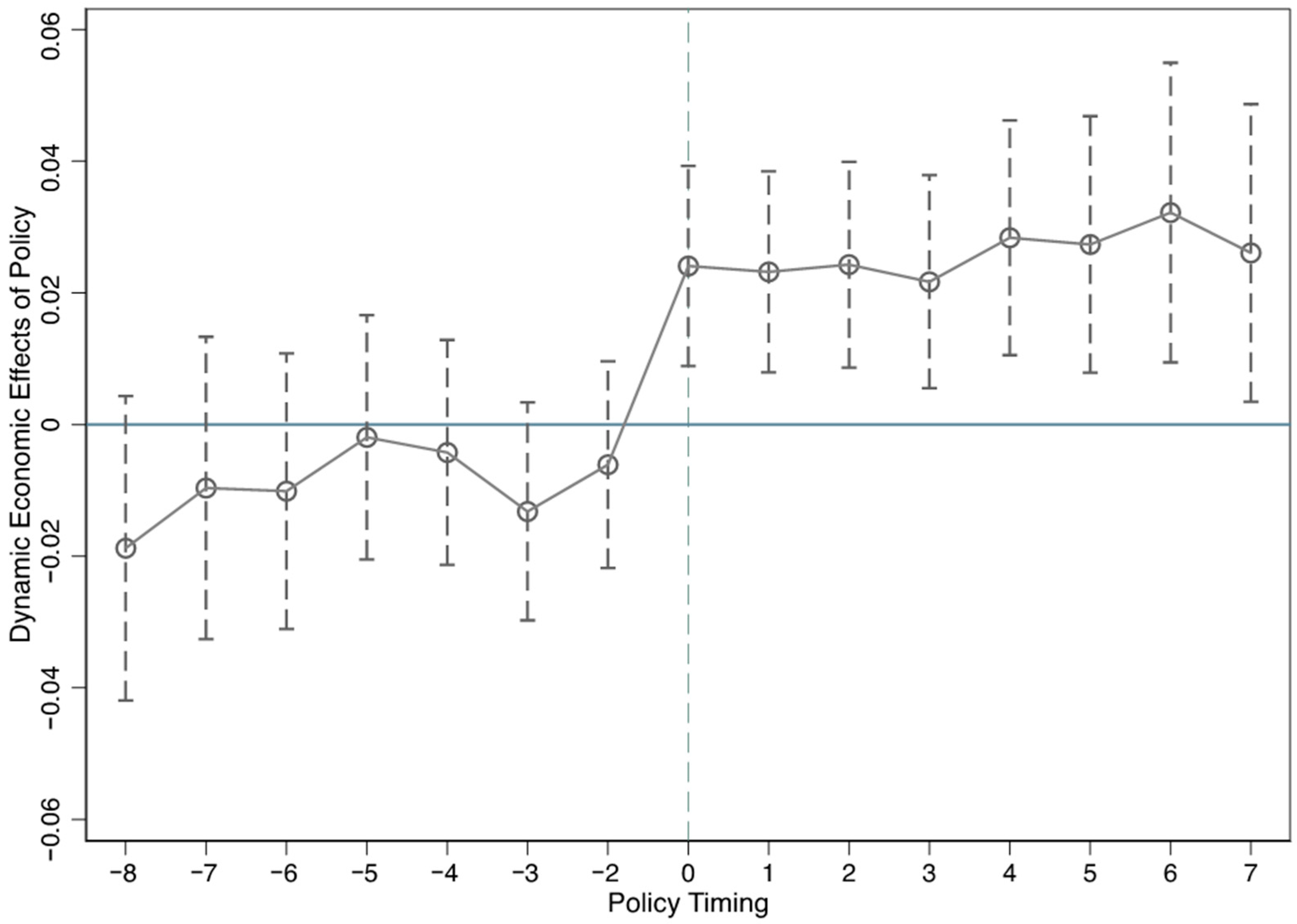
4.2.1. Parallel Trend Test

Before policy implementation, the treatment and control groups must have identical outcomes to ensure the validity of the DID model. This study uses an event-study strategy to test the parallel trend assumption, following Jacobson et al. [36].
Figure 1 shows calculated coefficients and 95% confidence ranges for each period before and after policy adoption. The coefficients for pre-policy periods (t < 0) show insignificance and are close to zero, indicating no significant difference in innovation trends between treatment and control groups before CBECPZs were established, supporting the parallel trend assumption. After the policy was implemented (t ≥ 0), the coefficients showed a significant positive trend and increased over time, indicating that the policy had a positive impact not only after the CBECPZs were established but also in subsequent years.

4.2.2. Placebo Test

Following earlier studies [37], we conducted a placebo test to rule out the possibility that the CBECPZS policy’s innovation-promoting effect was due to omitted variables or random shocks. The CBECPZS implementation schedule and list of treated firms were randomly reassigned to create “false” treatment groups. The DID model was re-estimated and placebo coefficients recorded for each random assignment. With careful attention, this technique was performed 1000 times to assess the empirical placebo coefficient distribution.
Figure 2 shows that these placebo replications yield symmetric coefficients around zero that closely match a normal distribution. Instead, the baseline regression-derived coefficient (0.025) is at the far right tail of this distribution. This shows that the baseline results’ considerable positive effect was unlikely to have arisen fortuitously, confirming the policy’s innovation-stimulating influence.

4.2.3. PSM-DID Model

This study creates a control group with characteristics identical to the treatment firms using Propensity Score Matching (PSM). To reduce sample selection bias, the DID model is re-estimated using the matched sample. Following previous studies, radius matching is used to perform annual regressions for the control group to ensure that the treatment and control groups share a common support assumption [38]. In Column (1) of Table 3, the core explanatory variable co-efficient is positive, validating baseline regression. This supports the crucial result that the CBECPZS policy’s positive effect on firms’ innovation boundary expansion is not related to firm characteristics.

4.2.4. Double Machine Learning

This study uses Double Machine Learning (DML) to strengthen causal estimation. This method overcomes the “curse of dimensionality” in linear regression models by including many control variables, resulting in more accurate causal effect estimates.
The estimated coefficient of the policy variable in Column (2) of Table 3 is strongly positive, confirming the baseline regression results and demonstrating robustness across model parameters. The CBECPZS policy’s innovation-promoting effect is resilient across model specifications, supporting the fundamental conclusion.

4.2.5. Controlling for High-Dimensional Fixed Effects

We also use industry-year interaction fixed effects to control for cross-industry heterogeneity and omitted variable bias because industry-specific attributes may affect firms’ innovation boundaries. As seen in Column (3) of Table 3, the policy variable’s coefficient remains positive, supporting the original findings with additional empirical evidence. After controlling for high-dimensional unobserved heterogeneity, the CBECPZS policy’s beneficial effect on businesses’ innovation boundary expansion remains statistically significant and robust.

4.3. Endogeneity Test

To address the potential endogeneity issue arising from reverse causality in empirical studies, and drawing on existing research [39], this paper employs an interaction term between the number of telephone calls per 100 people in 1984 and the number of Internet broadband users in the previous year for each city as an Instrumental Variable (IV). Table 4 reports the two-stage least squares (2SLS) estimates using the IV method. The results support the validity of the instrumental variable: the Kleibergen–Paap rk LM statistic for the underidentification test is significant at the 1% level, rejecting the null hypothesis of underidentification; the weak instrument test shows that the Cragg–Donald Wald F statistic exceeds the critical value at the 10% level, thus rejecting the null hypothesis of weak instruments. Column (1) presents the first-stage regression results, where the IV is significantly and positively correlated with the cross-border e-commerce pilot, and the F-statistic is well above the critical value of 10, indicating that the IV satisfies the relevance condition. Column (2) shows the second-stage regression results, which indicate that, after addressing the endogeneity issue, cross-border e-commerce continues to have a significant positive effect on the innovation boundary of enterprises.

4.4. Mechanism Analysis

To empirically test the four proposed mediating mechanisms—digital marketing capability, information asymmetry reduction, technological spillovers, and human capital investment—this study constructs the following mediation models, following prior research [40]:
M e d j , t = β 0 + β 1 T r e a t i i , j P e r i o d t + X j , t θ + μ t + η j + ε j , t
I n n o B o u n d i , j , t = β 0 + β 1 T r e a t i i , j P e r i o d t + β 2 M e d j , t + X j , t θ + μ t + η j + ε j , t
where M e d j , t represents the mediating variable, including digital marketing (lnDMS), information asymmetry (InfoAsym), technological spillovers (SpillTech), and human capital investment (HCInvest). The empirical results are presented as follows.

4.4.1. Digital Marketing Channel

Following prior studies, we construct a composite index to measure firms’ digital marketing capability, where a higher index indicates stronger proficiency in digital marketing. As shown in Column (1) of Table 5, the establishment of CBECPZs significantly enhances firms’ digital marketing capabilities. When digital marketing intensity and the DID interaction term are jointly included in the regression (Column 2), the coefficient of digital marketing remains significantly positive, while that of the interaction term decreases in magnitude compared with the baseline regression. These findings suggest that digital marketing serves as a partial mediating channel through which CBECPZs expand firms’ innovation boundaries, validating Hypothesis H1a. This implies that firms strengthen their digital marketing capabilities to adapt to CBEC operations, enabling more precise market targeting and broader innovation boundary expansion.

4.4.2. Information Asymmetry Channel

We create an index to measure information asymmetry, with larger values indicating more asymmetry [41]. Table 5’s Column (3) shows a substantial negative coefficient for the interaction term (Treat × Post), indicating that CBECPZs considerably reduce information asymmetry among enterprises. After including information asymmetry into the model (Column 4), the coefficient of Treat × Post stays positive but decreases in size, whereas the coefficient of information asymmetry is markedly negative. This supports Hypothesis H1b by showing that CBECPZs increase enterprises’ innovation boundary expansion by reducing information asymmetry.

4.4.3. Technological Spillover Channel

Following existing research [42,43], we measure technological spillovers by calculating the knowledge stock generated by firms’ industry peers. The positive coefficient of Treat × Post in Table 6 indicates that CBECPZS considerably enhances enterprises’ exposure to technology spillovers (Column (1)). Despite a drop in Treat × Post compared to baseline regression, both SpillTech and Treat × Post coefficients remain significant in Column (2). This suggests that technological spillovers somewhat mediate the impact of CBECPZs on innovation boundary expansion, supporting Hypothesis H1c. Regional digital commerce ecosystems promote technical upgrading and boundary extension by facilitating inter-firm learning and knowledge transfer.

4.4.4. Human Capital Investment Channel

Drawing upon previous studies [44], we employ a principal component analysis (PCA) approach to construct a composite index of human capital investment, integrating four indicators: the proportion of highly educated employees, R&D personnel ratio, technical staff ratio, and revenue per employee. Column (3) of Table 6 shows that CBECPZs significantly increase firms’ investment in human capital. When both Treat × Post and the human capital index are included in the model (Column 4), their coefficients remain significantly positive, while the magnitude of Treat × Post decreases relative to the baseline. This finding confirms that human capital investment acts as an important mediating channel through which CBECPZs promote firms’ innovation boundary expansion, providing strong empirical support for Hypothesis H1d.

4.5. Heterogeneity Analysis

The innovation effect of the CBECPZS policy may vary across firms depending on their ownership structure, industry characteristics, and regional context.

4.5.1. Ownership Type

To examine this heterogeneity, we first classify the sample firms into state-owned enterprises (SOEs) and non-state-owned enterprises (non-SOEs) and re-estimate the DID model for each subgroup.
As shown in Table 7, the coefficient of the DID interaction term is larger and more significant for non-SOEs than for SOEs. This suggests that the innovation-promoting effect of CBECPZs is more pronounced among non-state-owned firms. A possible explanation is that non-SOEs are generally more responsive to market dynamics and exhibit stronger incentives to innovate, allowing them to more effectively seize the opportunities brought by cross-border e-commerce. In contrast, SOEs may face more complex decision-making processes and exhibit greater organizational inertia, which can dampen their innovation responsiveness. This finding is consistent with previous studies [45], which also highlight that ownership structure plays a moderating role in shaping firms’ innovation behavior under policy shocks.

4.5.2. Technological Characteristics

To examine technological heterogeneity across firms, the sample was further divided into high-technology and non-high-technology enterprises. The results presented in Table 8 indicate that the CBECPZ policy exerts a markedly stronger positive effect on innovation for high-technology firms than for their non-high-technology counterparts. This outcome aligns with expectations, as high-tech enterprises generally possess a stronger knowledge base, advanced R&D capacity, and higher absorptive capability, enabling them to better transform the technological, informational, and market opportunities brought by cross-border e-commerce into tangible innovation outcomes [46].

4.5.3. Geographical Characteristics

To investigate regional heterogeneity, the firms were grouped according to their registered locations in eastern, central, and western China. As shown in Table 9, the estimated policy effect is most significant for firms located in the eastern region, while the coefficients for the central and western regions are statistically insignificant. This regional disparity may be attributed to differences in digital infrastructure, human-capital endowment, marketization level, and industrial ecosystems [47]. The eastern region, with its more mature e-commerce environment and better supporting institutions, provides a fertile ground for policy implementation and the diffusion of innovation benefits generated by cross-border e-commerce.

5. Discussion

This study takes the establishment of China’s Cross-Border E-Commerce Comprehensive Pilot Zones as a quasi-natural experiment to systematically examine how the development of cross-border e-commerce influences the expansion of firms’ innovation boundaries and to uncover the underlying mechanisms of this influence. The empirical results show that the creation of CBECPZs significantly promotes the broadening of corporate innovation boundaries, and this finding remains robust across multiple specification and robustness checks. Further mechanism analysis indicates that cross-border e-commerce contributes to innovation-boundary expansion primarily through four channels: enhancing firms’ digital-marketing capabilities, reducing information asymmetry, facilitating technological spillovers, and stimulating human-capital investment. Collectively, these findings advance our understanding of the economic effects of cross-border e-commerce and provide valuable theoretical and policy implications for fostering corporate innovation in the era of the digital economy.

5.1. Theoretical Contributions

First, this study extends the scope of research on the economic consequences of cross-border e-commerce. Previous studies have primarily focused on the effects of cross-border e-commerce on export performance [6,29], supply chain management [5,17], and consumer behaviour [48,49], emphasising its complex implications within these areas. There is limited research on how cross-border e-commerce stimulates significant organisational transformation in innovation, particularly with the extension of enterprises’ innovation boundaries. The present findings provide empirical evidence that cross-border e-commerce is a new kind of international trade and acts as a substantial driver of innovation. CBEC assists companies in shifting from traditional internal R&D models to more open and varied innovation frameworks by transcending geographical and organisational limitations. This discovery offers a novel theoretical perspective on how international trade within the digital economy alters enterprises’ fundamental competitiveness and innovation dynamics.
Second, this study enriches the literature on innovation-boundary theory. Traditionally, innovation-boundary theory has focused on how organisations cross internal and external boundaries to acquire knowledge and resources for innovation [11,12,14]. In recent years, scholars have increasingly examined how digital transformation reshapes firms’ innovation boundaries [7,15]. Building on this line of research, the present study contextualises this broader theoretical trend within the specific setting of cross-border e-commerce, demonstrating that as a concrete manifestation of digital trade, cross-border e-commerce serves as an effective pathway for firms to expand their innovation boundaries. This finding provides micro-level empirical evidence on how firms in the digital era leverage external environmental changes to drive internal innovation transformation, thereby responding to and extending ongoing discussions on open and permeable innovation boundaries [30,31].
Finally, this study deepens our understanding of how cross-border e-commerce expands firms’ innovation boundaries by identifying and empirically testing four key mediating mechanisms, thus opening the “black box” of this relationship. First, with regard to digital marketing, the analysis confirms that cross-border e-commerce compels firms to adopt advanced digital marketing strategies [50]. This enables them to capture diverse and real-time feedback from global consumers, and such large-scale, instantaneous market information becomes an important external knowledge source for product iteration and service innovation. Second, in terms of information asymmetry, cross-border e-commerce platforms act as information intermediaries that significantly reduce the informational barriers between firms and foreign markets [2]. As a result, firms gain more direct and cost-effective access to frontier technologies, design concepts, and business models, thereby stimulating cross-domain knowledge integration and innovation. Third, regarding technological spillovers, firms participating in the cross-border e-commerce ecosystem—encompassing platforms, logistics, payment systems, and marketing channels—are exposed to and able to absorb advanced technologies and managerial practices from their partners, resulting in substantial technological spillover effects. Fourth, in relation to human capital, operating complex cross-border e-commerce activities requires employees with multifaceted skills in areas such as digital technology, international trade, and data analytics. This requirement compels firms to increase investment in human capital, thereby enhancing their absorptive capacity and innovation potential. This finding also underscores the challenges that small and medium-sized enterprises face in building human resources during digital transformation [51]. Taken together, these results provide a more granular explanation of the internal mechanisms through which cross-border e-commerce stimulates corporate innovation, advancing research on the micro-foundations of digital trade and innovation.

5.2. Practical Implications

The findings of this study offer important practical implications for both policymakers and business managers. First, the findings provide strong empirical support for policymakers to persistently advocate for and enhance China’s Comprehensive Cross-Border E-Commerce Pilot Zones program. Our results suggest that the progression of cross-border e-commerce serves as both a temporary technique for stabilising foreign trade and a long-term systematic method for fostering industrial enhancement and innovation-driven growth via sustainable development pathways. Consequently, it is essential for the government to augment its support for cross-border e-commerce by improving “hard” infrastructures, such as logistics and payment systems, while also cultivating a complementary “soft” environment that includes digital talent development, data security measures, and data-sharing frameworks [52]. Moreover, policymakers should encourage the formation of an open and collaborative innovation ecosystem within the pilot zones, promoting knowledge sharing and technological cooperation among platform firms, manufacturing enterprises, and service providers. This will help maximise the technological spillover effects of the policy and, importantly, enable small and medium-sized enterprises to leverage digital tools to enhance their cross-border e-commerce performance.
Second, for business managers, the key implication of this study is that cross-border e-commerce should be regarded as a strategic engine for innovation rather than merely a new sales channel. Firms should establish data-driven innovation processes, systematically leveraging the vast amount of data generated from digital marketing activities and customer interactions to identify global market trends and consumer pain points, and to quickly feed this knowledge back into product development and design. In addition, enterprises need to break down internal organisational barriers and build cross-departmental coordination mechanisms to ensure that knowledge and information acquired from international markets can flow smoothly and be effectively absorbed within the organisation. Finally, firms must elevate human-capital investment to a strategic priority by recruiting, training, and motivating employees with both technological and business expertise. Building a multidisciplinary workforce capable of integrating digital tools with global market understanding is essential for competing in the era of globalisation and digital transformation [51].

5.3. Limitations and Future Research

This study offers significant contributions; nonetheless, it is crucial to acknowledge certain shortcomings that indicate potential directions for further research. First, we acknowledge that the geographic clustering of pilot zones may introduce sample biases, as these regions have distinct characteristics such as infrastructure, regulatory support, and industry clusters. Future research could examine how these regional factors influence firm-level innovation and whether similar effects are found in other regions or countries. Second, there are limitations in our measurement of innovation boundaries themselves. The current study primarily relies on patent-based indicators—such as the breadth of International Patent Classification (IPC) codes—to capture technological innovation boundaries. However, innovation boundaries are inherently multidimensional, encompassing not only technological but also market and organisational dimensions. Future studies could therefore adopt case studies or survey-based approaches to capture these broader aspects, for instance by examining whether firms enter new market segments or adopt novel business models. Third, caution must be applied when attempting to generalise these findings beyond the Chinese context. Given that cross-border e-commerce may exhibit unique traits and impacts across different institutional and developmental contexts [18], it is imperative to critically assess the generalizability of the findings when applied to developed economies or other emerging markets. Thus, in future research on how cross-border e-commerce affects enterprises’ innovation processes, comparative studies should examine the moderating impacts of institutional environments, cultural contexts, and levels of digital infrastructure.

6. Conclusions

In the context of global, digitally enabled changes in economic activity, cross-border e-commerce has emerged as a crucial driver of innovation in international trade. This study seeks to examine the degree to which—and the mechanisms by which—the creation of China’s Cross-Border E-Commerce Pilot Zones fosters innovation at the company level. The empirical results, obtained from a multi-period difference-in-differences model and data on Chinese publicly listed companies, indicate that the establishment of CBECPZs significantly increases the number of patents filed by firms in emerging technological sectors, thereby expanding their innovation frontiers. Subsequent analysis reveals that this beneficial effect operates primarily through four mechanisms: enhancing enterprises’ digital marketing competencies, reducing information asymmetry, promoting technical spillovers, and stimulating investment in human capital. The CBECPZ strategy significantly enhances innovation, especially among non-state-owned enterprises, high-technology firms, and those located in China’s eastern cities.

Author Contributions

Conceptualization, Y.H.; Methodology, Y.H.; Formal analysis, Y.H.; software, Y.H.; validation, Y.H.; Investigation, Y.Z.; Writing—original draft preparation, Y.H.; Writing—review and editing, Y.H.; visualization, Y.Z. and Y.H.; Supervision, Y.H. All authors have read and agreed to the published version of the manuscript.

Funding

This research was funded by National Natural Science Foundation of China (grant number: 72074095).

Institutional Review Board Statement

Not applicable.

Informed Consent Statement

Not applicable.

Data Availability Statement

The original contributions presented in this study are included in the article. Further inquiries can be directed to the corresponding author.

Conflicts of Interest

The authors declare no conflict of interest.

References

  1. Angelopoulos, S.; Bendoly, E.; Fransoo, J.; Hoberg, K.; Ou, C.; Tenhiälä, A. Digital Transformation in Operations Management: Fundamental Change through Agency Reversal. J. Oper. Manag. 2023, 69, 876–889. [Google Scholar] [CrossRef]
  2. Samia, S.; Abdellah, D.; Nassima, T. Mechanisms to Combat Internet Money-Laundering under the United Nations Convention against Organized Crime. Lex Localis—J. Local Self-Gov. 2025, 23, 516–524. [Google Scholar] [CrossRef]
  3. Liu, A.; Osewe, M.; Shi, Y.; Zhen, X.; Wu, Y. Cross-Border e-Commerce Development and Challenges in China: A Systematic Literature Review. J. Theor. Appl. Electron. Commer. Res. 2021, 17, 69–88. [Google Scholar] [CrossRef]
  4. Qi, X.; Chan, J.H.; Hu, J.; Li, Y. Motivations for Selecting Cross-Border e-Commerce as a Foreign Market Entry Mode. Ind. Mark. Manag. 2020, 89, 50–60. [Google Scholar] [CrossRef]
  5. Liu, Z.; Li, Z. A Blockchain-Based Framework of Cross-Border e-Commerce Supply Chain. Int. J. Inf. Manag. 2020, 52, 102059. [Google Scholar] [CrossRef]
  6. Elia, S.; Giuffrida, M.; Mariani, M.M.; Bresciani, S. Resources and Digital Export: An RBV Perspective on the Role of Digital Technologies and Capabilities in Cross-Border e-Commerce. J. Bus. Res. 2021, 132, 158–169. [Google Scholar] [CrossRef]
  7. Li, P.; Guo, X.; Wang, F.; Zhang, Q. Digital Transformation and Corporate Innovation Boundaries: Role of Supply Chain Concentration and Transparency. Int. Rev. Financ. Anal. 2025, 98, 103922. [Google Scholar] [CrossRef]
  8. Huang, J.; Guo, C.; Yan, S. The Integration of Technology and Finance and Corporate Innovation Boundary. Financ. Res. Lett. 2025, 78, 107135. [Google Scholar] [CrossRef]
  9. Zhang, X.; Yang, X.; Fu, Q. Digital Economy, Dynamic Capabilities, and Corporate Innovation Boundary. Financ. Res. Lett. 2025, 73, 106675. [Google Scholar] [CrossRef]
  10. Long, L.; Wang, H. Evaluating the Impact of Green Manufacturing on Corporate Resilience: A Quasi-Natural Experiment Based on Chinese Green Factories. Sustainability 2025, 17, 6281. [Google Scholar] [CrossRef]
  11. Tushman, M.L. Special Boundary Roles in the Innovation Process. Adm. Sci. Q. 1977, 22, 587. [Google Scholar] [CrossRef]
  12. Tortoriello, M.; Krackhardt, D. Activating Cross-Boundary Knowledge: The Role of Simmelian Ties in the Generation of Innovations. Acad. Manag. J. 2010, 53, 167–181. [Google Scholar] [CrossRef]
  13. Fleming, L.; Waguespack, D.M. Brokerage, Boundary Spanning, and Leadership in Open Innovation Communities. Organ. Sci. 2007, 18, 165–180. [Google Scholar] [CrossRef]
  14. Kaufmann, A.; Tödtling, F. Science–Industry Interaction in the Process of Innovation: The Importance of Boundary-Crossing between Systems. Res. Policy 2001, 30, 791–804. [Google Scholar] [CrossRef]
  15. Zhuo, C.; Chen, J. Can Digital Transformation Overcome the Enterprise Innovation Dilemma: Effect, Mechanism and Effective Boundary. Technol. Forecast. Soc. Change 2023, 190, 122378. [Google Scholar] [CrossRef]
  16. Wu, H.; Qiao, Y.; Luo, C. Cross-Border e-Commerce, Trade Digitisation and Enterprise Export Resilience. Financ. Res. Lett. 2024, 65, 105513. [Google Scholar] [CrossRef]
  17. Hua, L.; Wu, Y. Strategic Analysis of Vertical Integration in Cross-Border e-Commerce Logistics Service Supply Chains. Transp. Res. Part E Logist. Transp. Rev. 2024, 188, 103626. [Google Scholar] [CrossRef]
  18. Goldman, S.P.; van Herk, H.; Verhagen, T.; Weltevreden, J.W. Strategic Orientations and Digital Marketing Tactics in Cross-Border e-Commerce: Comparing Developed and Emerging Markets. Int. Small Bus. J. Res. Entrep. 2020, 39, 350–371. [Google Scholar] [CrossRef]
  19. Valarezo, Á.; Pérez-Amaral, T.; Garín-Muñoz, T.; Herguera García, I.; López, R. Drivers and Barriers to Cross-Border e-Commerce: Evidence from Spanish Individual Behavior. Telecommun. Policy 2018, 42, 464–473. [Google Scholar] [CrossRef]
  20. Gomez-Herrera, E.; Martens, B.; Turlea, G. The Drivers and Impediments for Cross-Border e-Commerce in the EU. Inf. Econ. Policy 2014, 28, 83–96. [Google Scholar] [CrossRef]
  21. Hsiao, Y.-H.; Chen, M.-C.; Liao, W.-C. Logistics Service Design for Cross-Border E-Commerce Using Kansei Engineering with Text-Mining-Based Online Content Analysis. Telemat. Inform. 2017, 34, 284–302. [Google Scholar] [CrossRef]
  22. Raji, M.A.; Olodo, H.B.; Oke, T.T.; Addy, W.A.; Ofodile, O.C.; Oyewole, A.T. Real-Time Data Analytics in Retail: A Review of USA and Global Practices. GSC Adv. Res. Rev. 2024, 18, 059–065. [Google Scholar] [CrossRef]
  23. Li, Y. Cross Border E-Commerce and Enterprise Internationalization: Current Situation, Influencing Factors and Development Trend. Lect. Notes Educ. Psychol. Public Media 2025, 97, 71–78. [Google Scholar] [CrossRef]
  24. Ritala, P.; Hurmelinna-Laukkanen, P. Incremental and Radical Innovation in Coopetition—The Role of Absorptive Capacity and Appropriability. J. Prod. Innov. Manag. 2013, 30, 154–169. [Google Scholar] [CrossRef]
  25. Walsh, V. Design, Innovation and the Boundaries of the Firm. Res. Policy 1996, 25, 509–529. [Google Scholar] [CrossRef]
  26. Dougherty, D.; Dunne, D.D. Digital Science and Knowledge Boundaries in Complex Innovation. Organ. Sci. 2012, 23, 1467–1484. [Google Scholar] [CrossRef]
  27. Li, X.; Peng, Z.; Li, K. Impact of Boundary-Spanning Search on Firm Innovation Performance: A Strategic Knowledge Integration Perspective. J. Knowl. Manag. 2024, 28, 3075–3103. [Google Scholar] [CrossRef]
  28. Hu, P.; Dhelim, S.; Ning, H.; Qiu, T. Survey on Fog Computing: Architecture, Key Technologies, Applications and Open Issues. J. Netw. Comput. Appl. 2017, 98, 27–42. [Google Scholar] [CrossRef]
  29. Tolstoy, D.; Melén Hånell, S.; Özbek, N. Effectual Market Creation in the Cross-Border e-Commerce of Small-and Medium-Sized Enterprises. Int. Small Bus. J. Res. Entrep. 2022, 41, 35–54. [Google Scholar] [CrossRef]
  30. Saura, J.R.; Palacios-Marqués, D.; Ribeiro-Soriano, D. Exploring the Boundaries of Open Innovation: Evidence from Social Media Mining. Technovation 2023, 119, 102447. [Google Scholar] [CrossRef]
  31. Lifshitz-Assaf, H. Dismantling Knowledge Boundaries at NASA: The Critical Role of Professional Identity in Open Innovation. Adm. Sci. Q. 2017, 63, 746–782. [Google Scholar] [CrossRef]
  32. Lee, H.S.; Yalcinkaya, G.; Griffith, D.A. Examining the Relationship of Country-Level Digital Ad Spend and Cross-Border e-Commerce Buyers under Cultural and Political Globalization. Int. Mark. Rev. 2024, 41, 1102–1117. [Google Scholar] [CrossRef]
  33. Kaygalak, I.; Reid, N. Innovation and Knowledge Spillovers in Turkey: The Role of Geographic and Organizational Proximity. Reg. Sci. Policy Pract. 2016, 8, 45–61. [Google Scholar] [CrossRef]
  34. Griffith, R.; Redding, S.; Reenen, J.V. Mapping the Two Faces of R&D: Productivity Growth in a Panel of OECD Industries. Rev. Econ. Stat. 2004, 86, 883–895. [Google Scholar] [CrossRef]
  35. Li, T.; Wen, J.; Zeng, D.; Liu, K. Has Enterprise Digital Transformation Improved the Efficiency of Enterprise Technological Innovation? A Case Study on Chinese Listed Companies. Math. Biosci. Eng. 2022, 19, 12632–12654. [Google Scholar] [CrossRef] [PubMed]
  36. Jacobson, L.S.; LaLonde, R.J.; Sullivan, D.G. Earnings Losses of Displaced Workers; W.E. Upjohn Institute: Kalamazoo, MI, USA, 1992. [Google Scholar]
  37. Chetty, R.; Looney, A.; Kroft, K. Salience and Taxation: Theory and Evidence. Am. Econ. Rev. 2009, 99, 1145–1177. [Google Scholar] [CrossRef]
  38. Pan, X.; Zhou, C. The Impact of E-commerce City Pilot on the Spatial Agglomeration of High-end Service Industry in China. Int. Stud. Econ. 2022, 18, 326–350. [Google Scholar] [CrossRef]
  39. Xue, F. Driving Economic Transition: The Impact of Cross-Border e-Commerce Policy on the Upgrading of Service Industry Structure. Econ. Anal. Policy 2024, 84, 941–956. [Google Scholar] [CrossRef]
  40. Baron, R.M.; Kenny, D.A. The Moderator-Mediator Variable Distinction in Social Psychological Research: Conceptual, Strategic, and Statistical Considerations. J. Personal. Soc. Psychol. 1986, 51, 1173–1182. [Google Scholar] [CrossRef]
  41. Cao, F.; Li, H.; Zhang, X.; Zou, H. Preventive Regulatory Enforcement and Access to Trade Credit: Evidence from a Quasi-Natural Experiment. J. Corp. Financ. 2026, 96, 102855. [Google Scholar] [CrossRef]
  42. You, L.; Zhang, Z.; Wang, W.; Zhao, X. Learning from Innovation Award Winners? Technology Spillovers and Firm Innovation. Int. Rev. Financ. Anal. 2024, 92, 103053. [Google Scholar] [CrossRef]
  43. Qiu, J.; Wan, C. Technology Spillovers and Corporate Cash Holdings. J. Financ. Econ. 2015, 115, 558–573. [Google Scholar] [CrossRef]
  44. Wu, L.; Fang, J. How Higher Education Affects Corporate Human Capital Investment: Based on Upper Echelons Theory. Financ. Res. Lett. 2024, 69, 106019. [Google Scholar] [CrossRef]
  45. Chen, K.; Luo, S.; Kin Tong, D.Y. Cross Border E-Commerce Development and Enterprise Digital Technology Innovation—Empirical Evidence from Listed Companies in China. Heliyon 2024, 10, e34744. [Google Scholar] [CrossRef]
  46. Zhao, Y.; Zhu, Z.; Gao, Z.; Hao, Y. The More Open, the Greener: The Effect of Cross-Border Ecommerce Pilot Zones on Corporate Sustainability. Technol. Anal. Strateg. Manag. 2025, 1–15. [Google Scholar] [CrossRef]
  47. Tian, Y. Measurement of the Development Level of Cross-Border e-Commerce in China’s Provinces. J. Soc. Sci. Econ. 2023, 2, 82–90. [Google Scholar] [CrossRef]
  48. Wang, C.; Liu, T.; Zhu, Y.; Wang, H.; Wang, X.; Zhao, S. The Influence of Consumer Perception on Purchase Intention: Evidence from Cross-Border E-Commerce Platforms. Heliyon 2023, 9, e21617. [Google Scholar] [CrossRef] [PubMed]
  49. Guo, J.; Li, Y.; Xu, Y.; Zeng, K. How Live Streaming Features Impact Consumers’ Purchase Intention in the Context of Cross-Border e-Commerce? A Research Based on SOR Theory. Front. Psychol. 2021, 12, 767876. [Google Scholar] [CrossRef] [PubMed]
  50. Wei, Y. Analysis of Brand Marketing of Cross Border E-Commerce Enterprises under the Background of Digital Economy. In Proceedings of the 2024 2nd International Conference on Economic Management, Financial Innovation and Public Service (EMFIPS 2024), Cangzhou, China, 28–29 December 2024; Atlantis Press International BV: Dordrecht, The Netherlands, 2025; pp. 563–572. ISBN 978-94-6463-706-9. [Google Scholar]
  51. Fodouop Kouam, A.W. Toward Digital Transformation: Insights into Chinese Cross-Border e-Commerce Smes during the COVID-19 Pandemic and the Post-Pandemic Era. Sage Open 2025, 15, 21582440251318792. [Google Scholar] [CrossRef]
  52. Chin, M.Y.; Foo, L.P.; Falahat, M. Digital Free Trade Zone in Facilitating Small Medium Enterprises for Globalisation: A Perspective from Malaysia Small and Medium Enterprises. Bus. Econ. Res. 2023, 13, 40. [Google Scholar] [CrossRef]
Figure 1. Parallel trend test results.
Figure 1. Parallel trend test results.
Jtaer 20 00358 g001
Figure 2. Placebo test results.
Figure 2. Placebo test results.
Jtaer 20 00358 g002
Table 1. Descriptive statistics.
Table 1. Descriptive statistics.
VariableObsMeanStd.MinMax
InnoBound26,3000.3930.25101
Treat × Post26,3000.5210.50001
AGE26,3002.9050.3351.0993.638
SIZE26,30022.161.26419.8526.51
ROE26,3000.05550.135−1.4120.375
LEV26,3000.4000.1950.03050.896
BM26,3000.6130.2390.09391.231
BALANCE26,3000.7820.6180.01783.100
GROWTH26,3000.1490.316−0.5692.609
CASHFLOW26,3000.04890.0655−0.1690.267
Table 2. Benchmark regression results.
Table 2. Benchmark regression results.
(1)(2)(3)
InnoBoundInnoBoundInnoBound
Treat × Post0.026 ***0.025 ***0.025 ***
(5.264)(5.143)(4.031)
AGE −0.034−0.031
(−1.518)(−1.507)
SIZE 0.023 ***0.023 ***
(5.501)(4.085)
ROE 0.0050.005
(0.399)(0.405)
LEV −0.030 **−0.030 *
(−1.965)(−1.689)
BM 0.0040.004
(0.348)(0.275)
BALANCE 0.0030.002
(0.546)(0.499)
GROWTH 0.0040.004
(0.873)(0.769)
CASHFLOW −0.025−0.026
(−0.954)(−0.891)
Constant0.381 ***−0.014−0.019
(136.841)(−0.138)(−0.140)
Id FEYESYESYES
Year FEYESYESYES
N25,72325,72325,711
R20.5080.5090.509
Note: *, **, *** indicate significance at the 10%, 5%, and 1% levels, respectively.
Table 3. Robustness tests.
Table 3. Robustness tests.
(1)(2)(3)
PSM-DIDDouble Machine LearningHigh-Dimensional Fixed Effects
Treat × Post0.032 ***0.026 ***0.012 ***
(4.818)(5.273)(3.890)
Constant0.059−0.030−0.034
(0.274)(−0.287)(−0.256)
N14,31325,72326,300
R20.5620.5100.510
Note: *, **, *** indicate significance at the 10%, 5%, and 1% levels, respectively.
Table 4. Endogeneity Analysis.
Table 4. Endogeneity Analysis.
(1)(2)
Treat × Post InnoBound
IV0.000 ***
(7.919)
Treat × Post 0.271 ***
(2.760)
Id FEYESYES
Year FEYESYES
N21,84521,845
Adj R2 0.272
Kleibergen–Paap rk LM62.575 ***
Cragg–Donald Wald F62.712 [16.38]
Note: *, **, *** indicate significance at the 10%, 5%, and 1% levels, respectively.
Table 5. Mechanism Test: Digital Marketing and Information Asymmetry.
Table 5. Mechanism Test: Digital Marketing and Information Asymmetry.
(1)(2)(3)(4)
lnDMSInnoBoundInfoAsymInnoBound
Treat × Post0.047 ***0.026 ***−0.119 ***0.030 ***
(3.295)(5.302)(−2.597)(5.148)
lnDMS 0.008 ***
(3.415)
InfoAsym −0.002 **
(−2.259)
Constant−0.178−0.0570.411−0.007
(−0.602)(−0.557)(0.422)(−0.059)
Id FEYESYESYESYES
Year FEYESYESYESYES
N25,25025,25017,69017,690
R20.7320.5110.3270.553
Note: *, **, *** indicate significance at the 10%, 5%, and 1% levels, respectively.
Table 6. Mechanism Test: Technological Spillover and Human Capital Investment.
Table 6. Mechanism Test: Technological Spillover and Human Capital Investment.
(1)(2)(3)(4)
SpillTechInnoBoundHCInvestInnoBound
Treat × Post0.041 ***0.024 ***0.030 ***0.024 ***
(2.690)(4.979)(2.834)(4.849)
SpillTech 0.011 ***
(4.909)
HCInvest 0.011 ***
(3.424)
Constant20.668 ***−0.298 ***1.816 ***−0.018
(63.821)(−2.622)(7.977)(−0.173)
Id FEYESYESYESYES
Year FEYESYESYESYES
N24,36924,36925,41225,412
R20.8880.5180.8310.511
Note: *, **, *** indicate significance at the 10%, 5%, and 1% levels, respectively.
Table 7. Heterogeneity Analysis by Ownership Type.
Table 7. Heterogeneity Analysis by Ownership Type.
(1)(2)
InnoBound (SOEs)InnoBound (non-SOEs)
Treat × Post0.0170.027 ***
(1.611)(4.110)
Constant0.178−0.210
(0.671)(−1.436)
Id FEYESYES
Year FEYESYES
N730718,992
R20.0430.021
Note: *, **, *** indicate significance at the 10%, 5%, and 1% levels, respectively.
Table 8. Heterogeneity Analysis by Technological Characteristics.
Table 8. Heterogeneity Analysis by Technological Characteristics.
(1)(2)
InnoBound (Non-High-Technology)InnoBound (High-Technology)
Treat × Post0.023 **0.025 ***
(2.086)(5.089)
Constant−0.009−0.323 ***
(−0.036)(−2.895)
Id FEYESYES
Year FEYESYES
N831717,928
R20.0330.019
Note: *, **, *** indicate significance at the 10%, 5%, and 1% levels, respectively.
Table 9. Heterogeneity Analysis by Geographic Region.
Table 9. Heterogeneity Analysis by Geographic Region.
(1)(2)(3)
InnoBound (Eastern City)InnoBound (Central City)InnoBound (Western City)
Treat × Post0.029 ***0.0200.007
(4.491)(1.359)(0.393)
Constant−0.2180.1400.738 **
(−1.540)(0.479)(2.133)
Id FEYESYESYES
Year FEYESYESYES
N19,35140812851
R20.0250.0250.039
Note: *, **, *** indicate significance at the 10%, 5%, and 1% levels, respectively.
Disclaimer/Publisher’s Note: The statements, opinions and data contained in all publications are solely those of the individual author(s) and contributor(s) and not of MDPI and/or the editor(s). MDPI and/or the editor(s) disclaim responsibility for any injury to people or property resulting from any ideas, methods, instructions or products referred to in the content.

Share and Cite

MDPI and ACS Style

Zhang, Y.; Han, Y. Does Cross-Border E-Commerce Broaden the Innovation Boundaries of Firms? Evidence from a Quasi-Natural Experiment in China. J. Theor. Appl. Electron. Commer. Res. 2025, 20, 358. https://doi.org/10.3390/jtaer20040358

AMA Style

Zhang Y, Han Y. Does Cross-Border E-Commerce Broaden the Innovation Boundaries of Firms? Evidence from a Quasi-Natural Experiment in China. Journal of Theoretical and Applied Electronic Commerce Research. 2025; 20(4):358. https://doi.org/10.3390/jtaer20040358

Chicago/Turabian Style

Zhang, Yanzhe, and Yushun Han. 2025. "Does Cross-Border E-Commerce Broaden the Innovation Boundaries of Firms? Evidence from a Quasi-Natural Experiment in China" Journal of Theoretical and Applied Electronic Commerce Research 20, no. 4: 358. https://doi.org/10.3390/jtaer20040358

APA Style

Zhang, Y., & Han, Y. (2025). Does Cross-Border E-Commerce Broaden the Innovation Boundaries of Firms? Evidence from a Quasi-Natural Experiment in China. Journal of Theoretical and Applied Electronic Commerce Research, 20(4), 358. https://doi.org/10.3390/jtaer20040358

Article Metrics

Back to TopTop