Sign in to use this feature.

Years

Between: -

Subjects

remove_circle_outline
remove_circle_outline
remove_circle_outline
remove_circle_outline

Journals

Article Types

Countries / Regions

Search Results (14)

Search Parameters:
Keywords = gut–cancer axes

Order results
Result details
Results per page
Select all
Export citation of selected articles as:
15 pages, 435 KB  
Review
The Molecular Landscape of Inflammation in Inflammatory Bowel Disease (IBD): Targets for Precision Medicine
by Loris Riccardo Lopetuso, Marco Murgiano, Elisabetta Mantuano, Vincenzo Schiavone, Alessandro Costa, Gianluca Mascianà, Valentino Bezzerri and Gianluca Costa
Biomedicines 2025, 13(11), 2738; https://doi.org/10.3390/biomedicines13112738 - 9 Nov 2025
Viewed by 1693
Abstract
Inflammatory bowel diseases (IBDs), including Crohn’s disease (CD) and ulcerative colitis (UC), are chronic immune-mediated disorders characterized by mucosal injury, cycles of inflammation and repair, and tissue damage. Persistent inflammation accelerates epithelial turnover, generates oxidative and replication stress, and remodels the stromal niche, [...] Read more.
Inflammatory bowel diseases (IBDs), including Crohn’s disease (CD) and ulcerative colitis (UC), are chronic immune-mediated disorders characterized by mucosal injury, cycles of inflammation and repair, and tissue damage. Persistent inflammation accelerates epithelial turnover, generates oxidative and replication stress, and remodels the stromal niche, contributing to the risk of colorectal cancer (CRC). Systematic dysplasia surveillance remains essential. Cellular senescence has emerged as a unifying mechanism linking inflammation, impaired epithelial repair, fibrosis, and neoplasia. In UC, p16/p21 upregulation, telomere erosion, and loss of lamin B1 accumulate and adopt a senescence-associated secretory phenotype (SASP) that perpetuates barrier dysfunction. In CD, senescence within stem and stromal compartments limits regeneration, promotes pro-fibrotic remodeling, and sustains cycles of injury and repair via chronic SASP signaling. IBD prevalence continues to rise from environmental factors, dietary changes, antibiotic exposures, and gut microbiota alterations. Pathogenesis integrates genetic factors (e.g., NOD2, IL23R, HLA, and ATG16L1 mutations), environmental modifiers, dysbiosis characterized by loss of short-chain fatty-acid-producing Gram-positive bacteria and expansion of Proteobacteria, and a dysregulated immune system. Therapeutic strategies have shifted toward targeted biologics and small molecules to promote mucosal healing. In this review, we recapitulate the mechanistic axes of inflammation, oxidative stress, and senescence in IBD and then critically evaluate emerging targeted therapies. Topics include anti-TNFα, integrin blockade, IL-12/23 and IL-23 inhibition, JAK inhibitors, S1P receptor modulators, microRNA modulation, senomorphics, mesenchymal cell therapy, and microbiome interventions. We endorse biomarker-guided therapy and propose future directions to break the SASP-driven inflammatory loop and mitigate long-term carcinogenic risk. Full article
Show Figures

Graphical abstract

23 pages, 2556 KB  
Review
Immunometabolic Interactions in Obesity: Implications for Therapeutic Strategies
by Qin Fei, Jueru Huang, Yi He, Yufeng Zhang, Xiaojun Zhang, Jing Wang and Qiang Fu
Biomedicines 2025, 13(6), 1429; https://doi.org/10.3390/biomedicines13061429 - 10 Jun 2025
Cited by 3 | Viewed by 2972
Abstract
Obesity is characterized by excessive fat accumulation that triggers chronic low-grade inflammation and systemic immune dysregulation, significantly increasing the risk of metabolic disorders including insulin resistance, type 2 diabetes, and cardiovascular disease. This review examines the bidirectional relationship between obesity and immune dysfunction, [...] Read more.
Obesity is characterized by excessive fat accumulation that triggers chronic low-grade inflammation and systemic immune dysregulation, significantly increasing the risk of metabolic disorders including insulin resistance, type 2 diabetes, and cardiovascular disease. This review examines the bidirectional relationship between obesity and immune dysfunction, focusing on how immune cell infiltration in adipose tissue drives inflammatory processes. We highlight the phenotypic shifts in key immune populations—macrophages polarized toward proinflammatory M1 phenotypes, T cell exhaustion occurrs, and alterations appear in B cells, natural killer (NK) cells, and dendritic cells—that collectively contribute to metabolic deterioration. The gut microbiome emerged as a critical mediator in this relationship, influencing both immune responses and metabolic regulation through gut–liver and gut–brain axes. We explore emerging immunomodulatory therapeutic strategies, including anti-inflammatory agents, microbiota interventions, and targeted immune therapies such as innovative nanomedicine approaches. The review also addresses the challenges of immunotherapy in obesity, particularly the paradoxical effects observed in cancer immunotherapy outcomes and the need for personalized treatment approaches. Artificial intelligence is highlighted as a potential tool to enhance patient stratification and treatment optimization in future immunomodulatory interventions. Understanding these immunometabolic interactions provides a foundation for developing more effective therapeutic strategies that could transform obesity management and reduce the burden of obesity-related metabolic diseases. Full article
(This article belongs to the Section Endocrinology and Metabolism Research)
Show Figures

Figure 1

12 pages, 1530 KB  
Brief Report
Vat-Mediated Mucus Penetration Enables Genotoxic Activity of pks+ Escherichia coli
by Héloïse Chat, Léa Girondier, Guillaume Dalmasso, Caroline Vachias, Laurent Guillouard, Virginie Bonnin, Devon Kavanaugh, Aurélien Birer, Mathilde Bonnet, Nicolas Barnich, Richard Bonnet and Julien Delmas
Int. J. Mol. Sci. 2025, 26(11), 5353; https://doi.org/10.3390/ijms26115353 - 3 Jun 2025
Cited by 1 | Viewed by 1317
Abstract
Colibactin toxin-producing Escherichia coli (pks+ E. coli) strains are associated with the occurrence of colorectal cancer in humans. These strains induce DNA damage when in close contact with the cells of the intestinal epithelium. Therefore, maintaining the integrity of the mucus [...] Read more.
Colibactin toxin-producing Escherichia coli (pks+ E. coli) strains are associated with the occurrence of colorectal cancer in humans. These strains induce DNA damage when in close contact with the cells of the intestinal epithelium. Therefore, maintaining the integrity of the mucus layer that covers the intestinal epithelial mucosa is crucial for counteracting the effects of colibactin. The Vat protein is a mucin protease capable of degrading MUC2 mucus proteins that was previously described in adherent and invasive Escherichia coli strains. Our work shows that the vat gene is found in the genome of all pks+ E. coli strains isolated from patients with colon cancer. In mucus-producing HT29-16E cells, we demonstrated that the Vat protein of E. coli pks+ allows bacteria to penetrate mucus and to reach the epithelial cells. Cells infected with the E. coli pks + vat- strain show a reduction in γ-H2AX staining, a marker of DNA damage. Infection of ApcMin/+ mice with the E. coli pks + vat+ strain or the E. coli pks + vat- mutant revealed that Vat enhances the ability of pks+ E. coli strains to colonize the intestinal mucosa and, in turn, their pro-carcinogenic effects. This study reveals that Vat promotes crossing of the intestinal mucus layer, gut colonization, and the carcinogenicity of pks+ E. coli. Full article
(This article belongs to the Special Issue Molecular Mechanisms and Therapies of Colorectal Cancer: 4th Edition)
Show Figures

Figure 1

44 pages, 2568 KB  
Review
Matrix Dynamics and Microbiome Crosstalk: Matrix Metalloproteinases as Key Players in Disease and Therapy
by Paraskevi Ioannou, Elias Katsoulieris and Nikolaos A. Afratis
Int. J. Mol. Sci. 2025, 26(8), 3621; https://doi.org/10.3390/ijms26083621 - 11 Apr 2025
Cited by 6 | Viewed by 3211
Abstract
Matrix metalloproteinases (MMPs) are key enzymes involved in extracellular matrix (ECM) remodeling, regulating a wide range of cellular and immune processes in both homeostatic and pathological conditions. Host–microbiota interactions play a critical role in maintaining ECM balance; however, during dysbiosis, this regulation is [...] Read more.
Matrix metalloproteinases (MMPs) are key enzymes involved in extracellular matrix (ECM) remodeling, regulating a wide range of cellular and immune processes in both homeostatic and pathological conditions. Host–microbiota interactions play a critical role in maintaining ECM balance; however, during dysbiosis, this regulation is disrupted, leading to compromised barrier integrity, pathogen translocation into circulation, and the development of systemic diseases and cancer. This review highlights the bidirectional relationship between MMP expression/activity and microbiota dysbiosis, emphasizing tissue-specific alterations in MMP activity that contribute to disease progression. In addition, it integrates interdisciplinary evidence to illustrate the MMP-dependent mechanisms underlying various pathologies associated with oral and gut microbiome dysbiosis, including long-range effects through the gut–skin and gut–brain axes. Thus, this review introduces the emerging field of MatrixBiome, which explores the complex interactions between the ECM, microbiota, and host tissues. Finally, it also outlines therapeutic strategies to modulate MMP levels, either indirectly through microbiome-targeted approaches (e.g., prebiotics, probiotics, and postbiotics) or directly using MMP inhibitors, offering promising avenues for future clinical interventions. Full article
(This article belongs to the Special Issue The Biology and Therapeutic Potential of Metalloproteases)
Show Figures

Figure 1

23 pages, 8488 KB  
Article
Pan-Cancer Insights: A Study of Microbial Metabolite Receptors in Malignancy Dynamics
by Nikolas Dovrolis, Michail Spathakis, Alexandra R. Collins, Varun Kumar Pandey, Muhammad Ikhtear Uddin, Donald D. Anderson, Tetiana Kaminska, Vasilis Paspaliaris and George Kolios
Cancers 2024, 16(24), 4178; https://doi.org/10.3390/cancers16244178 - 15 Dec 2024
Cited by 1 | Viewed by 2593
Abstract
Background/Objectives: The role of the gut microbiome in cancer biology has become an increasingly prominent area of research, particularly regarding the role of microbial metabolites and their receptors (MMRs). These metabolites, through the various gut–organ axes, have been proven to influence several pathogenetic [...] Read more.
Background/Objectives: The role of the gut microbiome in cancer biology has become an increasingly prominent area of research, particularly regarding the role of microbial metabolites and their receptors (MMRs). These metabolites, through the various gut–organ axes, have been proven to influence several pathogenetic mechanisms. This study conducted a comprehensive pan-cancer analysis of MMR transcriptomic profiles across twenty-three cancer types, exploring the mechanisms through which they can influence cancer development and progression. Methods: Utilizing both cancer cell lines from CCLE (Cancer Cell Line Encyclopedia) and human tumor samples from TCGA (The Cancer Gene Atlas), we analyzed 107 MMRs interacting with microbial metabolites such as short-chain fatty acids, bile acids, indole derivatives, and others while studying their interactions with key known cancer genes. Results: Our results revealed that certain MMRs, such as GPR84 and serotonin receptors, are consistently upregulated in various malignancies, while others, like ADRA1A, are frequently downregulated, suggesting diverse roles in cancer pathophysiology. Furthermore, we identified significant correlations between MMR expression and cancer hallmark genes and pathways, including immune evasion, proliferation, and metastasis. Conclusions: These findings suggest that the interactions between microbial metabolites and MMRs may serve as potential biomarkers for cancer diagnosis, prognosis, and therapy, highlighting their therapeutic potential. This study underscores the significance of the microbiota–cancer axis and provides novel insights into microbiome-based strategies for cancer treatment. Full article
(This article belongs to the Special Issue Human Microbiome, Diet and Cancerogenesis)
Show Figures

Graphical abstract

21 pages, 984 KB  
Review
The Effects of Artificial Sweeteners on Intestinal Nutrient-Sensing Receptors: Dr. Jekyll or Mr. Hyde?
by Edit Posta, Istvan Fekete, Eva Gyarmati, László Stündl, Eva Zold and Zsolt Barta
Life 2024, 14(1), 10; https://doi.org/10.3390/life14010010 - 20 Dec 2023
Cited by 8 | Viewed by 15319
Abstract
The consumption of artificial and low-calorie sweeteners (ASs, LCSs) is an important component of the Western diet. ASs play a role in the pathogenesis of metabolic syndrome, dysbiosis, inflammatory bowel diseases (IBDs), and various inflammatory conditions. Intestinal nutrient-sensing receptors act as a crosstalk [...] Read more.
The consumption of artificial and low-calorie sweeteners (ASs, LCSs) is an important component of the Western diet. ASs play a role in the pathogenesis of metabolic syndrome, dysbiosis, inflammatory bowel diseases (IBDs), and various inflammatory conditions. Intestinal nutrient-sensing receptors act as a crosstalk between dietary components, the gut microbiota, and the regulation of immune, endocrinological, and neurological responses. This narrative review aimed to summarize the possible effects of ASs and LCSs on intestinal nutrient-sensing receptors and their related functions. Based on the findings of various studies, long-term AS consumption has effects on the gut microbiota and intestinal nutrient-sensing receptors in modulating incretin hormones, antimicrobial peptides, and cytokine secretion. These effects contribute to the regulation of glucose metabolism, ion transport, gut permeability, and inflammation and modulate the gut–brain, and gut–kidney axes. Based on the conflicting findings of several in vitro, in vivo, and randomized and controlled studies, artificial sweeteners may have a role in the pathogenesis of IBDs, functional bowel diseases, metabolic syndrome, and cancers via the modulation of nutrient-sensing receptors. Further studies are needed to explore the exact mechanisms underlying their effects to decide the risk/benefit ratio of sugar intake reduction via AS and LCS consumption. Full article
(This article belongs to the Section Physiology and Pathology)
Show Figures

Graphical abstract

33 pages, 3544 KB  
Review
Role of Mitochondria in Inflammatory Bowel Diseases: A Systematic Review
by María José Sánchez-Quintero, Cristina Rodríguez-Díaz, Francisco J. Rodríguez-González, Alejandra Fernández-Castañer, Eduardo García-Fuentes and Carlos López-Gómez
Int. J. Mol. Sci. 2023, 24(23), 17124; https://doi.org/10.3390/ijms242317124 - 4 Dec 2023
Cited by 22 | Viewed by 7792
Abstract
Mitochondria are key cellular organelles whose main function is maintaining cell bioenergetics by producing ATP through oxidative phosphorylation. However, mitochondria are involved in a much higher number of cellular processes. Mitochondria are the home of key metabolic pathways like the tricarboxylic acid cycle [...] Read more.
Mitochondria are key cellular organelles whose main function is maintaining cell bioenergetics by producing ATP through oxidative phosphorylation. However, mitochondria are involved in a much higher number of cellular processes. Mitochondria are the home of key metabolic pathways like the tricarboxylic acid cycle and β-oxidation of fatty acids, as well as biosynthetic pathways of key products like nucleotides and amino acids, the control of the redox balance of the cell and detoxifying the cell from H2S and NH3. This plethora of critical functions within the cell is the reason mitochondrial function is involved in several complex disorders (apart from pure mitochondrial disorders), among them inflammatory bowel diseases (IBD). IBD are a group of chronic, inflammatory disorders of the gut, mainly composed of ulcerative colitis and Crohn’s disease. In this review, we present the current knowledge regarding the impact of mitochondrial dysfunction in the context of IBD. The role of mitochondria in both intestinal mucosa and immune cell populations are discussed, as well as the role of mitochondrial function in mechanisms like mucosal repair, the microbiota– and brain–gut axes and the development of colitis-associated colorectal cancer. Full article
Show Figures

Figure 1

22 pages, 44333 KB  
Article
Cell Surface Fibroblast Activation Protein-2 (Fap2) of Fusobacterium nucleatum as a Vaccine Candidate for Therapeutic Intervention of Human Colorectal Cancer: An Immunoinformatics Approach
by Somrita Padma, Ritwik Patra, Parth Sarthi Sen Gupta, Saroj Kumar Panda, Malay Kumar Rana and Suprabhat Mukherjee
Vaccines 2023, 11(3), 525; https://doi.org/10.3390/vaccines11030525 - 23 Feb 2023
Cited by 39 | Viewed by 5997
Abstract
Colorectal cancer (CRC) is one of the most common cancers and is the second-highest in cancer-related deaths worldwide. The changes in gut homeostasis and microbial dysbiosis lead to the initiation of the tumorigenesis process. Several pathogenic gram-negative bacteria including Fusobacterium nucleatum are the [...] Read more.
Colorectal cancer (CRC) is one of the most common cancers and is the second-highest in cancer-related deaths worldwide. The changes in gut homeostasis and microbial dysbiosis lead to the initiation of the tumorigenesis process. Several pathogenic gram-negative bacteria including Fusobacterium nucleatum are the principal contributors to the induction and pathogenesis of CRC. Thus, inhibiting the growth and survival of these pathogens can be a useful intervention strategy. Fibroblast activation protein-2 (Fap2) is an essential membrane protein of F. nucleatum that promotes the adherence of the bacterium to the colon cells, recruitment of immune cells, and induction of tumorigenesis. The present study depicts the design of an in silico vaccine candidate comprising the B-cell and T-cell epitopes of Fap2 for improving cell-mediated and humoral immune responses against CRC. Notably, this vaccine participates in significant protein–protein interactions with human Toll-like receptors, especially with TLR6 reveals, which is most likely to be correlated with its efficacy in eliciting potential immune responses. The immunogenic trait of the designed vaccine was verified by immune simulation approach. The cDNA of the vaccine construct was cloned in silico within the expression vector pET30ax for protein expression. Collectively, the proposed vaccine construct may serve as a promising therapeutic in intervening F. nucleatum-induced human CRC. Full article
(This article belongs to the Special Issue The 10th Anniversary of Vaccines—Cancer Vaccines and Immunotherapy)
Show Figures

Figure 1

32 pages, 2099 KB  
Review
Akkermansia muciniphila as a Next-Generation Probiotic in Modulating Human Metabolic Homeostasis and Disease Progression: A Role Mediated by Gut–Liver–Brain Axes?
by Huafeng Jian, Yating Liu, Xiaoming Wang, Xinyang Dong and Xiaoting Zou
Int. J. Mol. Sci. 2023, 24(4), 3900; https://doi.org/10.3390/ijms24043900 - 15 Feb 2023
Cited by 124 | Viewed by 28981
Abstract
Appreciation of the importance of Akkermansia muciniphila is growing, and it is becoming increasingly relevant to identify preventive and/or therapeutic solutions targeting gut–liver–brain axes for multiple diseases via Akkermansia muciniphila. In recent years, Akkermansia muciniphila and its components such as outer membrane [...] Read more.
Appreciation of the importance of Akkermansia muciniphila is growing, and it is becoming increasingly relevant to identify preventive and/or therapeutic solutions targeting gut–liver–brain axes for multiple diseases via Akkermansia muciniphila. In recent years, Akkermansia muciniphila and its components such as outer membrane proteins and extracellular vesicles have been known to ameliorate host metabolic health and intestinal homeostasis. However, the impacts of Akkermansia muciniphila on host health and disease are complex, as both potentially beneficial and adverse effects are mediated by Akkermansia muciniphila and its derivatives, and in some cases, these effects are dependent upon the host physiology microenvironment and the forms, genotypes, and strain sources of Akkermansia muciniphila. Therefore, this review aims to summarize the current knowledge of how Akkermansia muciniphila interacts with the host and influences host metabolic homeostasis and disease progression. Details of Akkermansia muciniphila will be discussed including its biological and genetic characteristics; biological functions including anti-obesity, anti-diabetes, anti-metabolic-syndrome, anti-inflammation, anti-aging, anti-neurodegenerative disease, and anti-cancer therapy functions; and strategies to elevate its abundance. Key events will be referred to in some specific disease states, and this knowledge should facilitate the identification of Akkermansia muciniphila-based probiotic therapy targeting multiple diseases via gut–liver–brain axes. Full article
(This article belongs to the Section Molecular Endocrinology and Metabolism)
Show Figures

Figure 1

18 pages, 2304 KB  
Article
Increase in Akkermansiaceae in Gut Microbiota of Prostate Cancer-Bearing Mice
by Pin-Yu Huang, Yu-Chih Yang, Chun-I Wang, Pei-Wen Hsiao, Hsin-I Chiang and Ting-Wen Chen
Int. J. Mol. Sci. 2021, 22(17), 9626; https://doi.org/10.3390/ijms22179626 - 6 Sep 2021
Cited by 23 | Viewed by 5097
Abstract
Gut microbiota are reported to be associated with many diseases, including cancers. Several bacterial taxa have been shown to be associated with cancer development or response to treatment. However, longitudinal microbiota alterations during the development of cancers are relatively unexplored. To better understand [...] Read more.
Gut microbiota are reported to be associated with many diseases, including cancers. Several bacterial taxa have been shown to be associated with cancer development or response to treatment. However, longitudinal microbiota alterations during the development of cancers are relatively unexplored. To better understand how microbiota changes, we profiled the gut microbiota composition from prostate cancer-bearing mice and control mice at five different time points. Distinct gut microbiota differences were found between cancer-bearing mice and control mice. Akkermansiaceae was found to be significantly higher in the first three weeks in cancer-bearing mice, which implies its role in the early stage of cancer colonization. We also found that Bifidobacteriaceae and Enterococcaceae were more abundant in the second and last sampling week, respectively. The increments of Akkermansiaceae, Bifidobacteriaceae and Enterococcaceae were previously found to be associated with responses to immunotherapy, which suggests links between these bacteria families and cancers. Additionally, our function analysis showed that the bacterial taxa carrying steroid biosynthesis and butirosin and neomycin biosynthesis were increased, whereas those carrying naphthalene degradation decreased in cancer-bearing mice. Our work identified the bacteria taxa altered during prostate cancer progression and provided a resource of longitudinal microbiota profiles during cancer development in a mouse model. Full article
(This article belongs to the Special Issue Microbiota and Cancer 2.0)
Show Figures

Figure 1

20 pages, 6329 KB  
Article
A Metabolic Model of Intestinal Secretions: The Link between Human Microbiota and Colorectal Cancer Progression
by Pejman Salahshouri, Modjtaba Emadi-Baygi, Mahdi Jalili, Faiz M. Khan, Olaf Wolkenhauer and Ali Salehzadeh-Yazdi
Metabolites 2021, 11(7), 456; https://doi.org/10.3390/metabo11070456 - 15 Jul 2021
Cited by 17 | Viewed by 6350
Abstract
The human gut microbiota plays a dual key role in maintaining human health or inducing disorders, for example, obesity, type 2 diabetes, and cancers such as colorectal cancer (CRC). High-throughput data analysis, such as metagenomics and metabolomics, have shown the diverse effects of [...] Read more.
The human gut microbiota plays a dual key role in maintaining human health or inducing disorders, for example, obesity, type 2 diabetes, and cancers such as colorectal cancer (CRC). High-throughput data analysis, such as metagenomics and metabolomics, have shown the diverse effects of alterations in dynamic bacterial populations on the initiation and progression of colorectal cancer. However, it is well established that microbiome and human cells constantly influence each other, so it is not appropriate to study them independently. Genome-scale metabolic modeling is a well-established mathematical framework that describes the dynamic behavior of these two axes at the system level. In this study, we created community microbiome models of three conditions during colorectal cancer progression, including carcinoma, adenoma and health status, and showed how changes in the microbial population influence intestinal secretions. Conclusively, our findings showed that alterations in the gut microbiome might provoke mutations and transform adenomas into carcinomas. These alterations include the secretion of mutagenic metabolites such as H2S, NO compounds, spermidine and TMA (trimethylamine), as well as the reduction of butyrate. Furthermore, we found that the colorectal cancer microbiome can promote inflammation, cancer progression (e.g., angiogenesis) and cancer prevention (e.g., apoptosis) by increasing and decreasing certain metabolites such as histamine, glutamine and pyruvate. Thus, modulating the gut microbiome could be a promising strategy for the prevention and treatment of CRC. Full article
(This article belongs to the Special Issue Host-Microbe-Metabolite Interaction in Intestinal Health)
Show Figures

Figure 1

14 pages, 311 KB  
Review
Immunotherapy in Solid Tumors and Gut Microbiota: The Correlation—A Special Reference to Colorectal Cancer
by Asimina Koulouridi, Ippokratis Messaritakis, Nikolaos Gouvas, John Tsiaoussis and John Souglakos
Cancers 2021, 13(1), 43; https://doi.org/10.3390/cancers13010043 - 25 Dec 2020
Cited by 18 | Viewed by 4450
Abstract
Over the last few years, immunotherapy has been considered as a key player in the treatment of solid tumors. Immune checkpoint inhibitors (ICIs) have become the breakthrough treatment, with prolonged responses and improved survival results. ICIs use the immune system to defeat cancer [...] Read more.
Over the last few years, immunotherapy has been considered as a key player in the treatment of solid tumors. Immune checkpoint inhibitors (ICIs) have become the breakthrough treatment, with prolonged responses and improved survival results. ICIs use the immune system to defeat cancer by breaking the axes that allow tumors to escape immune surveillance. Innate and adaptive immunity are involved in mechanisms against tumor growth. The gut microbiome and its role in such mechanisms is a relatively new study field. The presence of a high microbial variation in the gut seems to be remarkably important for the efficacy of immunotherapy, interfering with innate immunity. Metabolic and immunity pathways are related with specific gut microbiota composition. Various studies have explored the composition of gut microbiota in correlation with the effectiveness of immunotherapy. Colorectal cancer (CRC) patients have gained little benefit from immunotherapy until now. Only mismatch repair-deficient/microsatellite-unstable tumors seem to respond positively to immunotherapy. However, gut microbiota could be the key to expanding the use of immunotherapy to a greater range of CRC patients. Full article
(This article belongs to the Special Issue Breakthroughs in Cancer-Related Immunotherapy)
Show Figures

Graphical abstract

16 pages, 4028 KB  
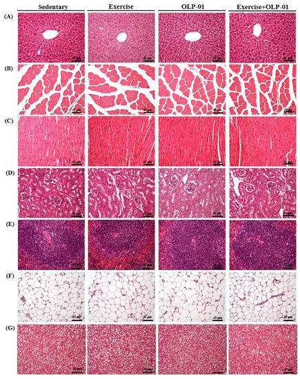
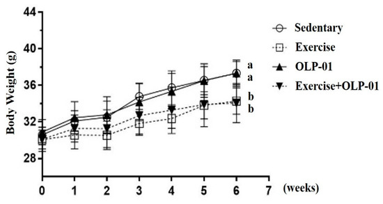
Article
Exercise Training Combined with Bifidobacterium longum OLP-01 Supplementation Improves Exercise Physiological Adaption and Performance
by Wen-Ching Huang, Yi-Ju Hsu, Chi-Chang Huang, Hsuan-Chen Liu and Mon-Chien Lee
Nutrients 2020, 12(4), 1145; https://doi.org/10.3390/nu12041145 - 19 Apr 2020
Cited by 48 | Viewed by 8998
Abstract
Probiotics exert multiple health benefits, including gastrointestinal health, immunoregulation, and metabolic disease improvement, by modulating microbiota to maintain eubiosis via the hypothalamic–pituitary–adrenal (HPA) and brain–gut–microbiome axes. Physiological fatigue, mental stress, and gastrointestinal discomfort under the demands of athletic performance as well as immunosuppression [...] Read more.
Probiotics exert multiple health benefits, including gastrointestinal health, immunoregulation, and metabolic disease improvement, by modulating microbiota to maintain eubiosis via the hypothalamic–pituitary–adrenal (HPA) and brain–gut–microbiome axes. Physiological fatigue, mental stress, and gastrointestinal discomfort under the demands of athletic performance as well as immunosuppression are common during endurance training and competition. Limited studies investigated the functional effects of probiotic supplementation on endurance training. Bifidobacterium longum subsp. Longum OLP-01 (OLP-01), isolated from an elite Olympic athlete, was combined with a six-week exercise training program with gradually increasing intensity. In this study, Institute of Cancer Research (ICR) mice were assigned to sedentary, exercise, OLP-01, or exercise + OLP-01 groups and administered probiotic and/or treadmill exercise training for six weeks to assess exercise performance, physiological adaption, and related metabolites. The exercise + OLP-01 group demonstrated higher performance in terms of endurance and grip strength, as well as improved fatigue-associated indexes (lactate, ammonia, creatine kinase (CK), lactate dehydrogenase (LDH), and glycogen content), compared with the other groups. OLP-01 supplementation significantly ameliorated inflammation and injury indexes (platelet/lymphocyte ratio (PLR), aminotransferase (AST), and CK) caused by prolonged endurance exercise test. Moreover, acetate, propionate, and butyrate levels were significantly higher in the exercise + OLP-01 group than in the sedentary and OLP-01 groups. Athletes often experience psychological and physiological stress caused by programed intensive exercise, competition, and off-site training, often leading to poor exercise performance and gastrointestinal issues. Functional OLP-01 probiotics are considered to be a nutritional strategy for improving physiological adaption, oxidative stress, inflammation, and energy balance to ensure high physical performance. Based on these results, probiotics combined with exercise training is a potential strategy for ensuring high physical performance of athletes, which should be further investigated through microbiota validation. Full article
(This article belongs to the Section Sports Nutrition)
Show Figures

Figure 1

40 pages, 604 KB  
Review
Gut Microbiome: Profound Implications for Diet and Disease
by Ronald D. Hills, Benjamin A. Pontefract, Hillary R. Mishcon, Cody A. Black, Steven C. Sutton and Cory R. Theberge
Nutrients 2019, 11(7), 1613; https://doi.org/10.3390/nu11071613 - 16 Jul 2019
Cited by 905 | Viewed by 103475
Abstract
The gut microbiome plays an important role in human health and influences the development of chronic diseases ranging from metabolic disease to gastrointestinal disorders and colorectal cancer. Of increasing prevalence in Western societies, these conditions carry a high burden of care. Dietary patterns [...] Read more.
The gut microbiome plays an important role in human health and influences the development of chronic diseases ranging from metabolic disease to gastrointestinal disorders and colorectal cancer. Of increasing prevalence in Western societies, these conditions carry a high burden of care. Dietary patterns and environmental factors have a profound effect on shaping gut microbiota in real time. Diverse populations of intestinal bacteria mediate their beneficial effects through the fermentation of dietary fiber to produce short-chain fatty acids, endogenous signals with important roles in lipid homeostasis and reducing inflammation. Recent progress shows that an individual’s starting microbial profile is a key determinant in predicting their response to intervention with live probiotics. The gut microbiota is complex and challenging to characterize. Enterotypes have been proposed using metrics such as alpha species diversity, the ratio of Firmicutes to Bacteroidetes phyla, and the relative abundance of beneficial genera (e.g., Bifidobacterium, Akkermansia) versus facultative anaerobes (E. coli), pro-inflammatory Ruminococcus, or nonbacterial microbes. Microbiota composition and relative populations of bacterial species are linked to physiologic health along different axes. We review the role of diet quality, carbohydrate intake, fermentable FODMAPs, and prebiotic fiber in maintaining healthy gut flora. The implications are discussed for various conditions including obesity, diabetes, irritable bowel syndrome, inflammatory bowel disease, depression, and cardiovascular disease. Full article
(This article belongs to the Special Issue Nutrition, Microbiota and Noncommunicable Diseases)
Show Figures

Graphical abstract

Back to TopTop