Sign in to use this feature.

Years

Between: -

Subjects

remove_circle_outline
remove_circle_outline
remove_circle_outline
remove_circle_outline
remove_circle_outline

Journals

Article Types

Countries / Regions

Search Results (9)

Search Parameters:
Keywords = guided streamers

Order results
Result details
Results per page
Select all
Export citation of selected articles as:
31 pages, 2192 KB  
Article
How Can AI Virtual Streamers Gain Consumer Trust to Influence Purchase Intention in Live-Streaming E-Commerce?
by Xinru Shui, Shilong Bian and Peng Zhang
J. Theor. Appl. Electron. Commer. Res. 2025, 20(4), 325; https://doi.org/10.3390/jtaer20040325 - 19 Nov 2025
Cited by 2 | Viewed by 3790
Abstract
Within the domain of live-streaming e-commerce, the application of artificial intelligence (AI) technologies presents novel growth opportunities. Live-streaming sales by AI streamers have attracted widespread attention as a new form. To promote the application of AI streamers in live-streaming e-commerce, this paper mainly [...] Read more.
Within the domain of live-streaming e-commerce, the application of artificial intelligence (AI) technologies presents novel growth opportunities. Live-streaming sales by AI streamers have attracted widespread attention as a new form. To promote the application of AI streamers in live-streaming e-commerce, this paper mainly addresses the following question: How do AI streamers in live-streaming e-commerce influence consumer trust and purchase intention? Based on this, guided by the stimulus–organism–response (SOR) theory, we construct a research model to study the impact of AI streamers’ characteristics and scenario fit on purchase intention through trust mediation. Subsequently, 410 valid samples of consumers who watch AI streamers promoting products are collected through an online questionnaire. Structural equation modeling (SEM) and fuzzy-set qualitative comparative analysis (fsQCA) are integrated to investigate both the influence mechanisms and configurational pathways affecting purchase intention. This study reveals that AI streamers’ image characteristics (cuteness, vitality) and scenario fit are positively associated with purchase intention. However, AI streamers’ ability characteristics (professionalism, responsiveness) are not positively associated with purchase intention. In addition, consumer trust partially mediates the relationship between these key factors and purchase intention. Further, consumer innovativeness significantly negatively moderates the effect of AI streamers’ characteristics and scenario fit on consumer trust. Moreover, the influence mechanisms diverge substantially between incremental and breakthrough products. Full article
(This article belongs to the Special Issue Emerging Technologies and Marketing Innovation)
Show Figures

Figure 1

17 pages, 8561 KB  
Article
Penetration of a Pulsed Guided Streamer Discharge into Micrometer-Sized Capillary Tubes
by Samyak Jain and Peter J. Bruggeman
Plasma 2023, 6(4), 663-679; https://doi.org/10.3390/plasma6040046 - 1 Nov 2023
Cited by 2 | Viewed by 2802
Abstract
The penetration and propagation of streamers in capillary tubes is critical for applications involving the plasma-enabled disinfection of medical devices like catheters and plasma catalysis. In this study, a guided streamer is generated in a pulsed plasma jet operating in helium and impinged [...] Read more.
The penetration and propagation of streamers in capillary tubes is critical for applications involving the plasma-enabled disinfection of medical devices like catheters and plasma catalysis. In this study, a guided streamer is generated in a pulsed plasma jet operating in helium and impinged downstream onto a capillary tube with an inner diameter between 75 and 500 µm. The threshold voltage required to start the penetration of the guided streamer into the capillary was determined for both positive and negative polarities, and we observed a time delay between the streamer striking the top of the capillary and its penetration, which was found to be larger for the positive than the negative streamer. The observed differences can be explained by the need to sustain an electric field large enough to generate a sufficient seed electron density in the capillary to launch the streamer. The reported results suggest that the electric field at the capillary inlet is likely reduced by the formation of strong surface ionization waves for positive streamers. Nonetheless, in the case of positive streamers, the formation of surface streamers along the outside of the capillary wall can enhance streamer penetration into the capillary and the streamer propagation speed. Full article
(This article belongs to the Special Issue Feature Papers in Plasma Sciences 2023)
Show Figures

Graphical abstract

18 pages, 563 KB  
Article
The Role of Influencers in Live Streaming E-Commerce: Influencer Trust, Attachment, and Consumer Purchase Intention
by Nan Chen and Yunpeng Yang
J. Theor. Appl. Electron. Commer. Res. 2023, 18(3), 1601-1618; https://doi.org/10.3390/jtaer18030081 - 12 Sep 2023
Cited by 114 | Viewed by 45760
Abstract
Live streaming e-commerce has emerged as a novel online marketing model. Drawing upon influencer marketing theory, this study examines the mechanisms through which influencers (live streamers) promote consumers’ purchase intention in the context of live streaming e-commerce. A sample of 449 valid questionnaires [...] Read more.
Live streaming e-commerce has emerged as a novel online marketing model. Drawing upon influencer marketing theory, this study examines the mechanisms through which influencers (live streamers) promote consumers’ purchase intention in the context of live streaming e-commerce. A sample of 449 valid questionnaires was utilized to test the proposed theoretical framework. The empirical research findings reveal that customer experience significantly and positively impacts both influencer trust and influencer attachment. Furthermore, trust and attachment established with live streamers are identified as two effective mechanisms influencing consumer decision-making. Notably, influencer attachment exhibits a stronger influence on consumer purchase intention compared to influencer trust. By comparing the effects of Taobao and Douyin live streamers on stimulating consumption and purchase intention, the study demonstrates that live streamers play a crucial mediating role between customer experience and consumer purchase intention. Specifically, the results indicate that consumer purchase intention influenced by top Taobao streamers is stronger than that of Douyin streamers, whereas influencer attachment for Taobao streamers is relatively weaker than that for Douyin streamers. These findings provide theoretical and managerial implications for platforms and live streamers seeking to stimulate robust purchase intentions among consumers by fostering attachment relationships. The establishment of an emotional connection between the live streamer and the audience proves particularly valuable in increasing purchase intention. This research contributes to the understanding of the underlying mechanisms driving consumer behavior in the context of live streaming e-commerce. It emphasizes the significance of customer experience, influencer trust, and influencer attachment as key drivers of consumer purchase intention. The findings offer valuable insights for platforms and live streamers to optimize their strategies and enrich user data labels in order to enhance consumer engagement and stimulate purchase intentions. Ultimately, this research contributes to the advancement of the live streaming e-commerce field, strengthens the application of data elements in live streaming e-commerce marketing, and guides effective decision-making by industry practitioners. Full article
(This article belongs to the Section Digital Marketing and the Evolving Consumer Experience)
Show Figures

Figure 1

23 pages, 3147 KB  
Article
Research on Spatial Patterns and Mechanisms of Live Streaming Commerce in China Based on Geolocation Data
by Yiwen Zhu, Xumin Zhang, Simin Yan and Lin Zou
ISPRS Int. J. Geo-Inf. 2023, 12(6), 229; https://doi.org/10.3390/ijgi12060229 - 2 Jun 2023
Cited by 10 | Viewed by 8209
Abstract
Live streaming commerce (LSC) effectively combines the traditional real economy and e-commerce. Based on more than half a million unique GIS data values on LSC activities sourced via Taobao (Alibaba), we traced the spatial distribution of different players along the supply chain and [...] Read more.
Live streaming commerce (LSC) effectively combines the traditional real economy and e-commerce. Based on more than half a million unique GIS data values on LSC activities sourced via Taobao (Alibaba), we traced the spatial distribution of different players along the supply chain and further highlighted the intermediary role of streamers in developing the inter-regional industry. This study guides industrial planning in a diversified regional context, especially in economically peripheral regions. Our results show the following outcomes: (1) in contrast to dispersed suppliers, streamers and consumers are highly clustered. This trend proves that streamers are rooted in a specific urban context while playing the role of an intermediary in inter-regional supply chains, effectively extending geographic interactivity between suppliers and (potential) customers. (2) LSC primarily promotes regional light industry, especially in economically peripheral and rural areas, and provides opportunities for rapid development in cities with skilled handicraft providers. (3) China’s LSC streams have a pyramid structure, and the top group is highly clustered in metropolitan regions, such as the Yangtze River Delta (YRD) and the Pearl River Delta (PRD). This clustering makes it easier for streamers to work with large, well-known brands. The bottom group is mainly in charge of expanding the supply chain within the region and relies more on the local industrial base. It is diversified due to the different types of businesses or products. Ultimately, we draw attention to adaptive spatial planning and resource allocation in the context of the economic and geographic reforms brought by this growing industry, and discuss the policy implications based on the relationships between the supply of and demand for live streamers from a broader regional perspective. Full article
Show Figures

Figure 1

27 pages, 6355 KB  
Article
From Repeatability to Self-Organization of Guided Streamers Propagating in a Jet of Cold Plasma
by Henri Decauchy and Thierry Dufour
Plasma 2023, 6(2), 250-276; https://doi.org/10.3390/plasma6020019 - 5 May 2023
Cited by 2 | Viewed by 3733
Abstract
In this work, a jet of cold plasma is generated in a device supplied in helium and powered with a high-voltage nanopulse power supply, hence generating guided streamers. We focus on the interaction between these guided streamers and two targets placed in a [...] Read more.
In this work, a jet of cold plasma is generated in a device supplied in helium and powered with a high-voltage nanopulse power supply, hence generating guided streamers. We focus on the interaction between these guided streamers and two targets placed in a series: a metal mesh target (MM) at floating potential followed by a metal plate target (MP) grounded by a 1500 Ω resistor. We demonstrate that such an experimental setup allows to shift from a physics of streamer repeatability to a physics of streamer self-organization, i.e., from the repetition of guided streamers that exhibit fixed spatiotemporal constants to the emergence of self-organized guided streamers, each of which is generated on the rising edge of a high-voltage pulse. Up to five positive guided streamers can be self-organized one after the other, all distinct in space and time. While self-organization occurs in the capillary and up to the MM target, we also demonstrate the existence of transient emissive phenomena in the inter-target region, especially a filamentary discharge whose generation is directly correlated with complexity order Ω. The mechanisms of the self-organized guided streamers are deciphered by correlating their optical and electrical properties measured by fast ICCD camera and current-voltage probes, respectively. For the sake of clarity, special attention is paid to the case where three self-organized guided streamers (α, β and γ) propagate at vα = 75.7 km·s–1, vβ = 66.5 km·s–1 and vγ = 58.2 km·s–1), before being accelerated in the vicinity of the MM target. Full article
(This article belongs to the Special Issue Feature Papers in Plasma Sciences 2023)
Show Figures

Figure 1

16 pages, 4162 KB  
Article
Automatic Optimization of Gas Insulated Components Based on the Streamer Inception Criterion
by Francesco Lucchini, Nicolò Marconato and Paolo Bettini
Electronics 2021, 10(18), 2280; https://doi.org/10.3390/electronics10182280 - 17 Sep 2021
Cited by 5 | Viewed by 3251
Abstract
Gas insulated transmission lines (GILs) are used in electrical systems mainly for power transmission and High Voltage substation interconnection. In this paper, we focus on the development of complex numerical tools for the optimization of gas insulated HVDC components by the estimation of [...] Read more.
Gas insulated transmission lines (GILs) are used in electrical systems mainly for power transmission and High Voltage substation interconnection. In this paper, we focus on the development of complex numerical tools for the optimization of gas insulated HVDC components by the estimation of realistic electric field distribution and the voltage holding of the designed geometry. In particular, the paper aims at describing the correct modelling approach suitable to study high voltage components in DC, considering the nonlinear behaviour characterizing the electrical conductivity of solid and gas insulators. The simulated field distribution is then adopted to estimate the voltage holding of the dielectric gas, with a convenient engineering technique, based on the streamer criterion. These two tools are integrated in an automatic optimization package developed in COMSOL® and MATLAB®, with the purpose of adjusting the critical geometry features, suffering from excessive electrical stress and possibly giving rise to electrical breakdown, in order to guide the designer towards a robust solution. Full article
Show Figures

Figure 1

16 pages, 892 KB  
Article
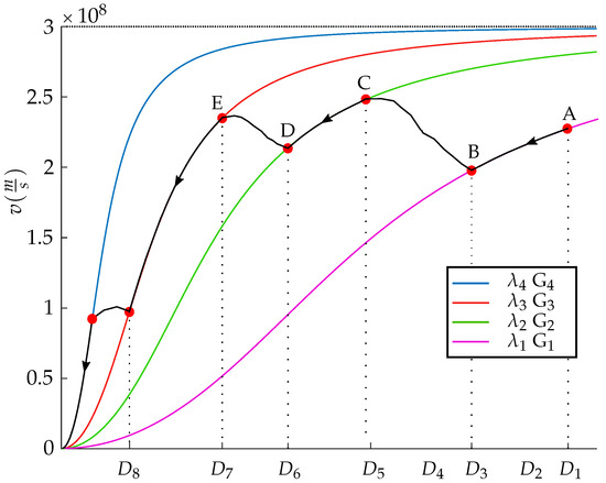
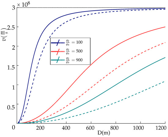
Stepped Leader Progression and Speed Evolution in a Thunderstorm: Theoretical Model
by Aníbal Seminario-García, Cristina González-Morán and Pablo Arboleya
Energies 2019, 12(13), 2507; https://doi.org/10.3390/en12132507 - 28 Jun 2019
Cited by 2 | Viewed by 4265
Abstract
This paper presents a theoretical model to describe the progression of leading (falling) lightnings in storms (stepped leaders). Stepped leaders move down from the thundercloud base to the encounter point with an upward streamer. First, the existing models, related to the advance of [...] Read more.
This paper presents a theoretical model to describe the progression of leading (falling) lightnings in storms (stepped leaders). Stepped leaders move down from the thundercloud base to the encounter point with an upward streamer. First, the existing models, related to the advance of leading lightnings, are analyzed. Then, a novel theory is presented. The proposed model describes both the leader progression and speed. It aims at explaining the leader progression as a succession of several steps, or branches, that form the well-known tree-like shape. The speed of advance per step is described as a function of various parameters: the charge concentration surface diameter and the step length, among others. The derived formulas include two new parameter named ( χ ) and G. χ is the ratio between the guide beam length ( L ) and the diameter of the circle, inside the cloud, where the charges are concentrated ( D ) . G relates density of charges, as explained herein. Full article
(This article belongs to the Section B: Energy and Environment)
Show Figures

Graphical abstract

22 pages, 6658 KB  
Article
Electrical, Thermal and Optical Parametric Study of Guided Ionization Waves Produced with a Compact μs-Pulsed DBD-Based Reactor
by Kristaq Gazeli, Le Thanh Doanh, Bernard Held and Franck Clément
Plasma 2018, 1(1), 23-44; https://doi.org/10.3390/plasma1010003 - 25 Dec 2017
Cited by 13 | Viewed by 5684
Abstract
Atmospheric pressure guided ionization waves (GIWs) that are driven by ns/μs-pulsed high voltages, are promising tools in the biomedical field allowing for the effective production of reactive species and metastables without thermal damages of the specimens that are exposed. In most cases, plasma [...] Read more.
Atmospheric pressure guided ionization waves (GIWs) that are driven by ns/μs-pulsed high voltages, are promising tools in the biomedical field allowing for the effective production of reactive species and metastables without thermal damages of the specimens that are exposed. In most cases, plasma is produced in noble gases using dielectric barrier discharge (DBD) devices of more-or-less sophisticated geometries. In this study, a compact low-cost DBD reactor of very simple geometry is presented. It is fed with pure helium and driven by positive μs-pulsed high voltage (amplitude: 4.5–8 kV, pulse width: 1–10 μs) of audio frequencies (5–20 kHz), while it operates consistently for long time periods in a wide range of conditions. The produced plasma exhibits propagation lengths up to 4 cm and rich chemical reactivity is established outside the reactor, depending on the device’s experimental parameters. Besides, the dielectric tube’s temperature during plasma operation is an important factor, which is linked to the plasma characteristics. This temperature and its variations are thoroughly investigated herein, along with GIWs electrical features versus the electrical parameters of the pulsed power supply. Accordingly, it is demonstrated that not all of the operational windows are adequate for thermal-free operation and suitable operating conditions of this system are proposed for diverse applications, such as biomedical (low gas temperature is a prerequisite) and surface treatments of solid materials (low temperatures are not required). Full article
Show Figures

Figure 1

26 pages, 1015 KB  
Article
An Assisted Workflow for the Early Design of Nearly Zero Emission Healthcare Buildings
by Hassan A. Sleiman, Steffen Hempel, Roberto Traversari and Sander Bruinenberg
Energies 2017, 10(7), 993; https://doi.org/10.3390/en10070993 - 13 Jul 2017
Cited by 19 | Viewed by 6795
Abstract
Energy efficiency in buildings is one of the main goals of many governmental policies due to their high impact on the carbon dioxide emissions in Europe. One of these targets is to reduce the energy consumption in healthcare buildings, which are known to [...] Read more.
Energy efficiency in buildings is one of the main goals of many governmental policies due to their high impact on the carbon dioxide emissions in Europe. One of these targets is to reduce the energy consumption in healthcare buildings, which are known to be among the most energy-demanding building types. Although design decisions made at early design phases have a significant impact on the energy performance of the realized buildings, only a small portion of possible early designs is analyzed, which does not ensure an optimal building design. We propose an automated early design support workflow, accompanied by a set of tools, for achieving nearly zero emission healthcare buildings. It is intended to be used by decision makers during the early design phase. It starts with the user-defined brief and the design rules, which are the input for the Early Design Configurator (EDC). The EDC generates multiple design alternatives following an evolutionary algorithm while trying to satisfy user requirements and geometric constraints. The generated alternatives are then validated by means of an Early Design Validator (EDV), and then, early energy and cost assessments are made using two early assessment tools. A user-friendly dashboard is used to guide the user and to illustrate the workflow results, whereas the chosen alternative at the end of the workflow is considered as the starting point for the next design phases. Our proposal has been implemented using Building Information Models (BIM) and validated by means of a case study on a healthcare building and several real demonstrations from different countries in the context of the European project STREAMER. Full article
(This article belongs to the Special Issue Zero-Carbon Buildings)
Show Figures

Graphical abstract

Back to TopTop