Stepped Leader Progression and Speed Evolution in a Thunderstorm: Theoretical Model †
Abstract
1. Introduction
- The stepped leader starts from an initial zone, called streamer zone. That is a region where the electrical field is equal or higher than 300 . The leader advances following always the maximum potential gradient direction (between the streamer zone and the leader tip).The linear density of charge (), in Coulombs per meter (), can be expressed as a function of the peak intensity (), in kA:
- When the electrical field on the ground (or building, or structure) is equal or higher than the critical value of rupture (about 500 ), the upward streamer appears and goes to meet the leader. The upward streamer also follows the direction of the maximum potential gradient.
- In 1956, Scholand (South Africa) found speeds near to at a height from the ground of 2 to 3 km.
- In 1961, Isikawa (Japan) measured seeps of .
- In 1966, Berger and Vogelsanger (Switzerland) got speeds of to at a height of approximately 1.3 km.
- In 1982, Overville and Idone (Florida) noticed the leader speed increased near the ground, measuring speeds of at a height of 166 m.
- In 1990, Rakov and Uman found a mean measure of .
- In 1999, Chen et al. (Australia) determined to at heights between 367 and 1620 m.
- In 2006, Becerra and Cooray [12] obtained leader speeds of to , and observed that leader velocity increases before the final step.
- In 2015, Wang et al. [19] measured speeds of to in China.
- In 2016, Wang et al. [18] observed an average leader speed of about , a decrease in the downward propagation speed.
- In 2018, Shah et al. [15] measured experimental speeds of to .
2. Mathematical Model of the Leader Progression
2.1. Problem Statement
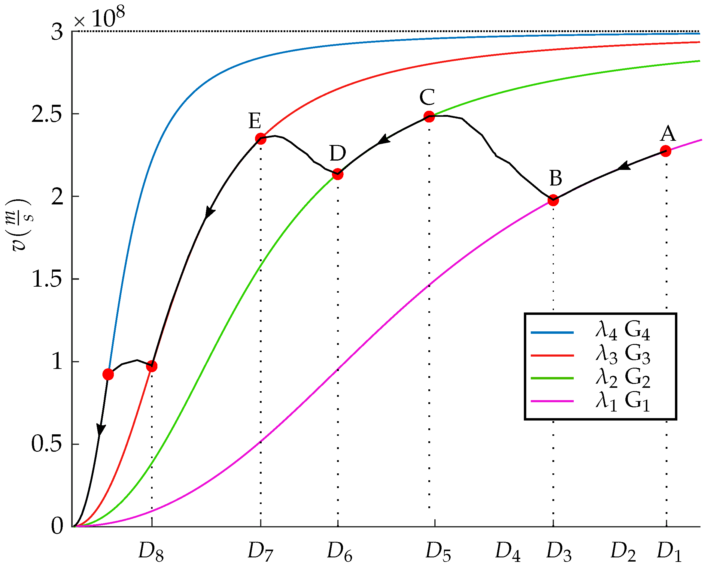
2.2. Description of the Stepped Leader Trajectory
- (1)
- The leader meets an upward streamer. Together, they give rise to several subsequent discharges until the thundercloud charge is canceled (it disappears).
- (2)
- The leader carries all the remaining charge in its last step, . In this case, the third diameter is zero . The length of the last step is computed as:
3. Mathematical Model for the Leader Speed
3.1. Problem Statement
- The first one has to do with Lorentz–Fitzgerald contraction that establishes that the length of an element in movement is lower than in rest. Without this contraction, it could happen that the leader reaches speeds higher than the speed of light, as proved below. This situation would be against the relativistic theory. The Lorentz–Fitzgerald contraction states that:where is the length of the element in rest, l is the length in movement, v is the speed of movement and is the speed of light.
- On the other hand, the resistivity can be expressed as a function of the environment dielectric strength and the material dielectric constant. To do so, the resistivity is obtained from Equation (24), multiplying and dividing by L as:The relationship is the environment dielectric strength , in (), while is the dielectric constant of the material , in . The new expression of is:
3.2. Analysis of the Leader Speed
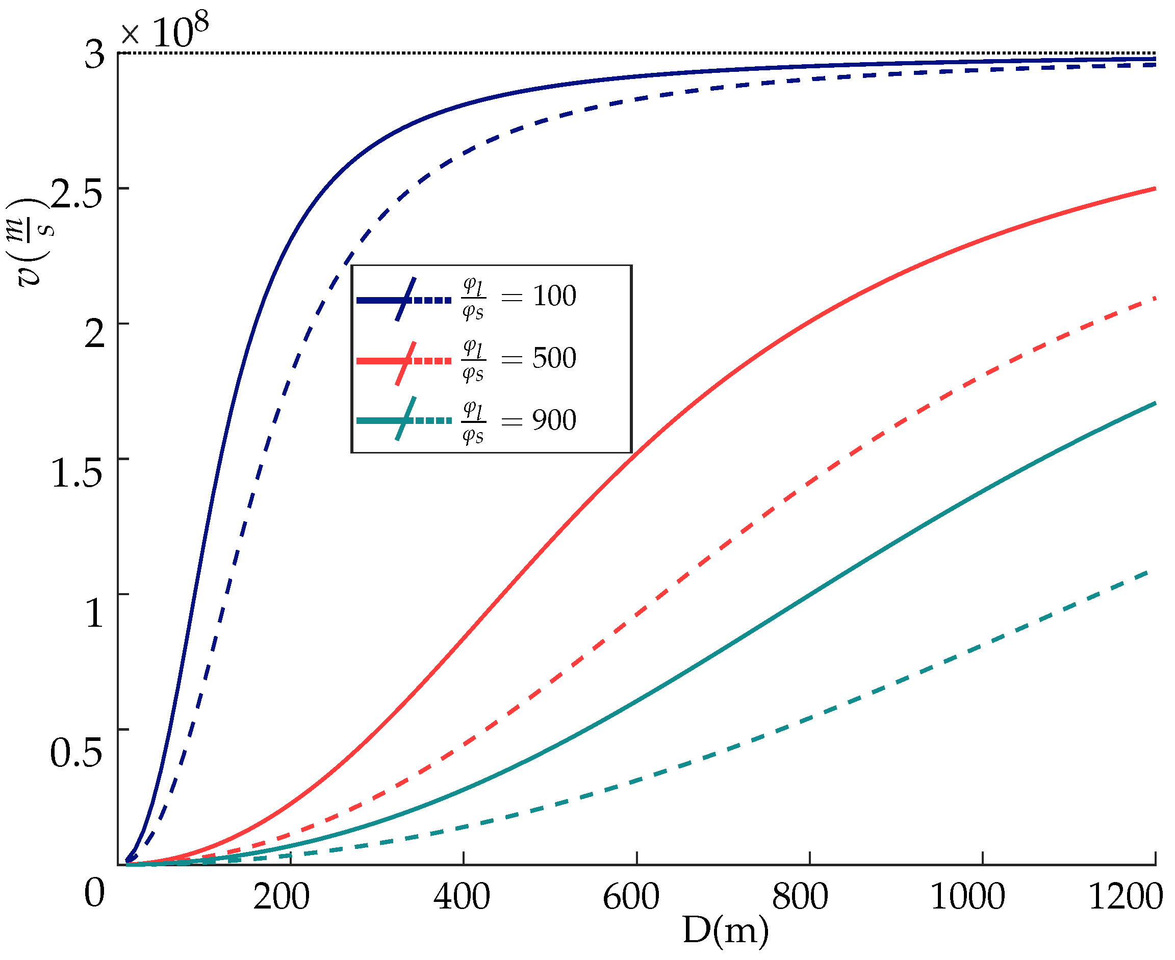
- When G tends to zero, the leader speed approaches the speed of light. This fact is due to a surface charge density, inside the cloud, much higher than the linear density of leader. This situation implies a fast discharge, forcing the leader to acquire a speed close to light, thus reducing the cloud load very quickly.
- When G is very high, the lightning speed tends to be small due to the large amount of load carried by the leader, forcing it to go slowly. In this case, the linear charge density is much higher than the surface charge density.
4. Comparison to Recent Studies
5. Conclusions
- parameter at a give time instant. It represents the variation of the leader length (l) with the plate diameter (D). As increases so does the leader speed.
- Ohmic resistance of the environment : The lower is the resistance, the faster is the speed. The maximum atmosphere resistance is determined by dividing the air dielectric strength by the dielectric constant (30,000 ).
- Parameter G. G represents the squared ratio, between the leader linear density of charge and the cloud surface density of charge. When G approaches zero, the linear density is very small compared to the surface density. In this case, it the leader speed approaches the speed of light, alleviating the cloud concentration of charges. Conversely, if G is very large, the leader tends to go slowly due to the large amount of charge transported.
Author Contributions
Funding
Conflicts of Interest
References
- Beroual, A.; Fofana, I. Discharge in Long Air Gaps; IOP Publishing: Bristol, UK, 2016; pp. 2053–2563. [Google Scholar] [CrossRef]
- Feynman, R.; Leighton, R.B.; Sands, M. The Feynman Lectures on Physics: Mainly Electromagnetism and Matter; Pearson Education: Upper Saddle River, NJ, USA, 1998; Volume 2. [Google Scholar]
- Seminario-Garcia, A.; Gonzalez-Moran, C.; Arboleya, P. Theoretical Model for the Progression of Leader Steppers in a Thundercloud. In Proceedings of the 2018 IEEE International Conference on Environment and Electrical Engineering and 2018 IEEE Industrial and Commercial Power Systems Europe (EEEIC/I CPS Europe), Palermo, Italy, 12–15 June 2018; pp. 1–4. [Google Scholar] [CrossRef]
- Williams, E.R. The Electrification of Thunderstorms. Sci. Am. 1988, 259, 88–99. [Google Scholar] [CrossRef]
- Torres-Sanchez, H. El rayo: Mitos, Leyendas, Ciencia y Tecnologia; Universidad Nacional de Colombia: Bogotá, Colombia, 2002. (In Spanish) [Google Scholar]
- Dwyer, J.R. El Rayo. In Investigacion y Ciencia (Spanish Edition of Scientific American); Prensa Cientifica S.A.: Barcelona, Spain, 2005; Volume 346. (In Spanish) [Google Scholar]
- Bernardi, M.; Dellera, L.; Garbagnati, E.; Sartorio, G. Leader Progression Model of the lightning: Updating of the Model on the Basis of Recent Test Results. In Proceedings of the International Conference on Lightning Protection, Florence, Italy, 23–27 September 1996; pp. 399–407. [Google Scholar]
- Dellera, L.; Garbagnati, E. Lightning stroke simulation by means of the leader progression model. I. Description of the model and evaluation of exposure of free-standing structures. IEEE Trans. Power Deliv. 1990, 5, 2009–2022. [Google Scholar] [CrossRef]
- Rizk, F.A.M. Modeling of transmission line exposure to direct lightning strokes. IEEE Trans. Power Deliv. 1990, 5, 1983–1997. [Google Scholar] [CrossRef]
- Bank Tavakoli, M.; Vahidi, B. Statistical analysis of the lightning performance of high voltage OHLs using dynamic simulation of lightning leaders movements. Int. J. Electr. Power Energy Syst. 2010, 32, 1024–1030. [Google Scholar] [CrossRef]
- Kumar, U.; Bokka, P.K.; Padhi, J. A macroscopic inception criterion for the upward leaders of natural lightning. IEEE Trans. Power Deliv. 2005, 20, 904–911. [Google Scholar] [CrossRef]
- Becerra, M.; Cooray, V. A self-consistent upward leader propagation model. J. Phys. D Appl. Phys. 2006, 39, 3708–3715. [Google Scholar] [CrossRef]
- Cooray, V.; Arevalo, L. Modeling the stepping process of negative lightning stepped leaders. Atmosphere 2017, 8, 245. [Google Scholar] [CrossRef]
- Campos, L.; Saba, M.; Warner, T.; Pinto, O.; Krider, E.; Orville, R. High-speed video observations of natural cloud-to-ground lightning leaders—A statistical analysis. Atmos. Res. 2014, 135–136, 285–305. [Google Scholar] [CrossRef]
- Shah, W.; He, H.; He, J.; Yang, Y. Continuous and discontinuous streamer leader propagation phenomena under slow front impulse voltages in a 10-meter rod-plane air gap. Energies 2018, 11, 2636. [Google Scholar] [CrossRef]
- Long, M.; Becerra, M.; Thottappillil, R. Modeling the Attachment of Lightning Dart and Dart-Stepped Leaders to Grounded Objects. IEEE Trans. Electromagn. Compat. 2017, 59, 128–136. [Google Scholar] [CrossRef]
- Nag, A.; Rakov, V. A unified engineering model of the first stroke in downward negative lightning. J. Geophys. Res. 2016, 121, 2188–2204. [Google Scholar] [CrossRef]
- Wang, D.; Takagi, N.; Uman, M.; Jordan, D. Luminosity progression in dart-stepped leader step formation. J. Geophys. Res. 2016, 121, 14612–14620. [Google Scholar] [CrossRef]
- Wang, Y.; Qie, X.; Wang, D.; Liu, M.; Su, D.; Wang, Z.; Liu, D.; Wu, Z.; Sun, Z.; Tian, Y. Beijing Lightning Network (BLNET) and the observation on preliminary breakdown processes. Atmos. Res. 2016, 171, 121–132. [Google Scholar] [CrossRef]
- Zhu, Y.; Rakov, V.; Tran, M. A study of preliminary breakdown and return stroke processes in high-intensity negative lightning discharges. Atmosphere 2016, 7, 130. [Google Scholar] [CrossRef]
- Rakov, V.A.; Uman, M.A. Lightning: Physics and Effects; Cambridge University Press: Cambridge, UK, 2003. [Google Scholar]
- Golde, R.H. Lightning Protection; Chemical Publishing Company: New York, NY, USA, 1975. [Google Scholar]
- Golde, R.H. Lightning, Volume 1: Physics of Lightning; Academic Press: New York, NY, USA, 1978. [Google Scholar]
- Berger, K. Novel observations on lightning discharges: Results of research on Mount San Salvatore. J. Frankl. Inst. 1967, 283, 478–525. [Google Scholar] [CrossRef]
- Hutzler, B. Notes Bibliographiques Concernat la Simulation en Laboratoire des Points d’Impact de la Foudre; Technical Report, Note Technique EDF, Ref. HM80-1173; Electricite de France: Paris, France, 1988. (In French) [Google Scholar]







| References | Progression Model | Progression Parameters | Speed Model | Speed Parameters |
|---|---|---|---|---|
| [12,16] | Attachment of dart and dart-stepped leaders to ground objects | Derivative of charge with linear density of charge | Complex function with several parameters | Input energy, time constant, temperature |
| [15] | Experimental | Voltage, time | Experimental | Voltage, time |
| [10] | Cloud as ring charges. Leader in steps. | Peak current, cloud and leader heights, charge density | – | – |
| [13] | Leader in steps | Length, current | Function of some parameters | Peak current, height to the tip |
| This work | The cloud transfers charge to the leader. As the leader advances the cloud diameter decreases. | Charge densities. Maximum and minimum diameters | The couple cloud-ground is a capacitor that discharges through a resistive circuit | Cloud diameter, air resistance, , G |
© 2019 by the authors. Licensee MDPI, Basel, Switzerland. This article is an open access article distributed under the terms and conditions of the Creative Commons Attribution (CC BY) license (http://creativecommons.org/licenses/by/4.0/).
Share and Cite
Seminario-García, A.; González-Morán, C.; Arboleya, P. Stepped Leader Progression and Speed Evolution in a Thunderstorm: Theoretical Model. Energies 2019, 12, 2507. https://doi.org/10.3390/en12132507
Seminario-García A, González-Morán C, Arboleya P. Stepped Leader Progression and Speed Evolution in a Thunderstorm: Theoretical Model. Energies. 2019; 12(13):2507. https://doi.org/10.3390/en12132507
Chicago/Turabian StyleSeminario-García, Aníbal, Cristina González-Morán, and Pablo Arboleya. 2019. "Stepped Leader Progression and Speed Evolution in a Thunderstorm: Theoretical Model" Energies 12, no. 13: 2507. https://doi.org/10.3390/en12132507
APA StyleSeminario-García, A., González-Morán, C., & Arboleya, P. (2019). Stepped Leader Progression and Speed Evolution in a Thunderstorm: Theoretical Model. Energies, 12(13), 2507. https://doi.org/10.3390/en12132507

