Sign in to use this feature.

Years

Between: -

Subjects

remove_circle_outline
remove_circle_outline
remove_circle_outline
remove_circle_outline
remove_circle_outline
remove_circle_outline
remove_circle_outline
remove_circle_outline
remove_circle_outline

Journals

remove_circle_outline
remove_circle_outline
remove_circle_outline
remove_circle_outline
remove_circle_outline
remove_circle_outline
remove_circle_outline
remove_circle_outline
remove_circle_outline
remove_circle_outline
remove_circle_outline
remove_circle_outline
remove_circle_outline
remove_circle_outline
remove_circle_outline
remove_circle_outline
remove_circle_outline

Article Types

Countries / Regions

remove_circle_outline
remove_circle_outline
remove_circle_outline
remove_circle_outline
remove_circle_outline
remove_circle_outline

Search Results (735)

Search Parameters:
Keywords = groups collaborative learning

Order results
Result details
Results per page
Select all
Export citation of selected articles as:
41 pages, 84120 KB  
Article
DDS-over-TSN Framework for Time-Critical Applications in Industrial Metaverses
by Taemin Nam, Seongjin Yun and Won-Tae Kim
Appl. Sci. 2026, 16(8), 3641; https://doi.org/10.3390/app16083641 - 8 Apr 2026
Abstract
The industrial metaverse is a digital twin space that integrates the real world with virtual environments through bidirectional synchronization. It supports critical services, such as time-sensitive machine control and large-scale collaboration, which require Time-Sensitive Networking and scalable Data Distribution Services. DDS, developed by [...] Read more.
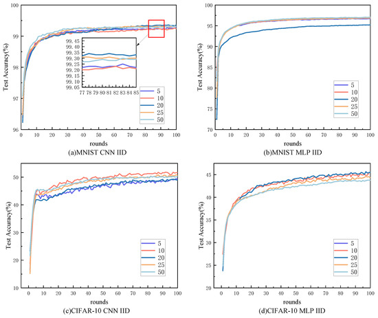
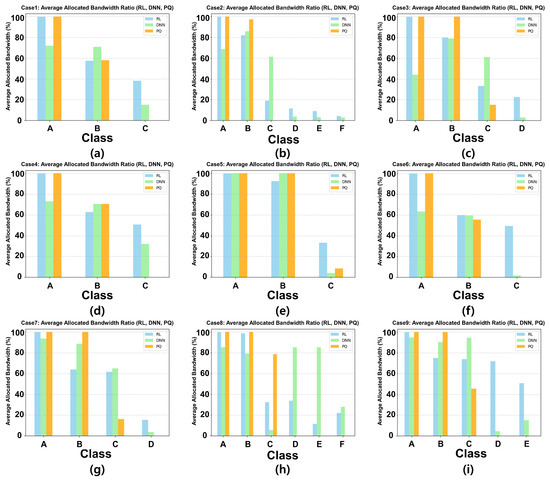
The industrial metaverse is a digital twin space that integrates the real world with virtual environments through bidirectional synchronization. It supports critical services, such as time-sensitive machine control and large-scale collaboration, which require Time-Sensitive Networking and scalable Data Distribution Services. DDS, developed by the Object Management Group, provides excellent scalability and diverse QoS policies but struggles to guarantee transmission delay and jitter for time-critical applications. TSN, based on IEEE 802.1 standards, addresses these challenges by ensuring time-criticality. However, current research lacks comprehensive integration mechanisms for DDS and TSN, particularly from the viewpoints of semantics and system framework. Additionally, there is no adaptive QoS mapping converting the abstract DDS QoS policies to the sophisticated TSN QoS parameters. This paper presents a novel DDS-over-TSN framework that incorporates three key functions to address these challenges. First, Cross-layer QoS Mapping automates correspondences between DDS and TSN parameters, deriving technical constraints from standard documentation through retrieval-augmented generation. Second, Semantic Priority Estimation extracts substantial priority levels by utilizing language model embedding vectors as high-dimensional feature extractors. Third, Adaptive Resource Allocation performs dynamic bandwidth distribution for each priority level through reinforcement learning. Simulation results reveal over 99% mapping accuracy and 97% consistency in priority extraction. The applied Deep Reinforcement Learning paradigm allocated 99% of required resources to high-priority classes and reduced resource wastage by 15% compared to conventional methods. This methodology meets industrial requirements by ensuring both deterministic real-time performance and efficient resource isolation. Full article
(This article belongs to the Special Issue Digital Twin and IoT, 2nd Edition)
Show Figures

Figure 1

13 pages, 1960 KB  
Article
Federated Graph Representation Learning for Online Student Performance Analysis
by Rasool Seyghaly, Jordi Garcia and Xavi Masip-Bruin
Electronics 2026, 15(7), 1495; https://doi.org/10.3390/electronics15071495 - 2 Apr 2026
Viewed by 172
Abstract
The rapid growth of online learning platforms has intensified the need for privacy-aware methods that can analyze learner behavior without centralizing sensitive activity logs. This study presents a Federated Learning-Based Graph Representation Learning (FL-GRL) framework for online student performance analysis in distributed learning [...] Read more.
The rapid growth of online learning platforms has intensified the need for privacy-aware methods that can analyze learner behavior without centralizing sensitive activity logs. This study presents a Federated Learning-Based Graph Representation Learning (FL-GRL) framework for online student performance analysis in distributed learning environments. Each learner is represented through a local Student Learning Knowledge Graph (SLKG) that captures typed interactions with courses, lessons, webinars, challenges, and forum activities. Graph Neural Networks (GNNs) are used to derive relation-aware embeddings from these local graphs, while federated learning supports collaborative model optimization without sharing raw data. A federated clustering stage is then used to identify soft learner groups with partially overlapping behavioral patterns that may support exploratory personalization and confidence-aware educational follow-up. The current experiments focus on the feasibility of privacy-aware graph-based analysis rather than on a complete supervised prediction benchmark. Results across the evaluated graph-based variants indicate that the proposed framework is operationally viable, preserves relational structure better than flat-feature formulations, and provides an interpretable basis for learner-group discovery in privacy-sensitive online education settings. Full article
(This article belongs to the Special Issue Deep Learning and Data Analytics Applications in Social Networks)
Show Figures

Figure 1

21 pages, 1153 KB  
Article
A Verifiable Chained Federated Learning Framework with Distance-Based Grouped Mechanism
by Yimin Xu, Ya Liu, Xianbei Liu and Bo Qu
Electronics 2026, 15(7), 1492; https://doi.org/10.3390/electronics15071492 - 2 Apr 2026
Viewed by 185
Abstract
In federated learning, multiple clients collaborate to train a global model without exchanging raw data, which addresses issues of data silos and the leakage of data privacy. However, existing federated learning schemes often suffer from high communication overhead and unreliable server-side aggregation. To [...] Read more.
In federated learning, multiple clients collaborate to train a global model without exchanging raw data, which addresses issues of data silos and the leakage of data privacy. However, existing federated learning schemes often suffer from high communication overhead and unreliable server-side aggregation. To address these limitations, this paper proposes a verifiable chained federated learning mechanism with Euclidean distance-based grouping, termed VDCG-FL. Grouping is used to improve communication efficiency, while verification ensures the accuracy of aggregated results. Unlike conventional approaches, VDCG-FL groups clients according to their Euclidean distance to the server, thereby reducing communication latency, avoiding long-distance transmissions, and enhancing the stability of model aggregation. Moreover, Lagrange interpolation is used for verification to ensure aggregation correctness while incurring significantly lower computational overhead than traditional cryptographic methods. Extensive experiments demonstrate that VDCG-FL improves aggregation stability under non-IID data distributions while simultaneously reducing communication overhead. Full article
(This article belongs to the Section Computer Science & Engineering)
Show Figures

Figure 1

26 pages, 2649 KB  
Article
Boundary Objects for Transdisciplinary Research: Conceptual Advances from Pesticide-Free Territories in Ecuador
by Tania I. González-Rivadeneira, Mayra Coro, Claire Nicklin and Olivier Dangles
Sustainability 2026, 18(7), 3415; https://doi.org/10.3390/su18073415 - 1 Apr 2026
Viewed by 262
Abstract
Transdisciplinary Research (TDR) leverages shared concepts to foster mutual learning among diverse stakeholders, relying on “boundary objects” to shape collective identities and visions. However, the existing literature often overlooks the critical roles of subjectivity and conflict in this process. This paper introduces an [...] Read more.
Transdisciplinary Research (TDR) leverages shared concepts to foster mutual learning among diverse stakeholders, relying on “boundary objects” to shape collective identities and visions. However, the existing literature often overlooks the critical roles of subjectivity and conflict in this process. This paper introduces an analytical framework to examine the construction of these objects, using the “Oasis Project” in the Ecuadorian Andes as a central case study. A research-action project on pesticide-free territories in Ecuador unearthed a question during its implementation on how to achieve collective action when key actors are in conflict with each other. Using TDR to find boundary objects where different viewpoints can find shared meaning, it was determined that there is not enough conceptual clarity in the literature around how conflict can actually help achieve coordination. Using a variety of qualitative methods, such as interviews, participatory observation, and analysis of WhatsApp group message texts, this study shows how the novel concepts of boundary entanglements and conflicts can help other researchers and practitioners facilitate impactful TDR. This study emphasizes three transformative lessons for sustainability science: first, boundary objects are inherently dynamic, evolving through continuous social negotiation rather than static definition; second, their successful consolidation requires deep integration into local knowledge systems, cultural norms, and governance structures; and third, and perhaps most critically, conflict and operational breakdowns are not indicators of failure; rather, they serve as vital diagnostic tools that unveil hidden power relations and epistemic boundaries, providing essential moments for critical reflection and the recalibration of collaborative sustainability strategies. Full article
Show Figures

Figure 1

24 pages, 413 KB  
Article
Cooperative Oral Reading in Foreign Language Education: A Pathway to Inclusive Intercultural Competence
by Francisco Zayas-Martínez, Ana Carrillo-Cepero and José Luis Estrada-Chichón
Educ. Sci. 2026, 16(4), 542; https://doi.org/10.3390/educsci16040542 - 1 Apr 2026
Viewed by 228
Abstract
This exploratory study analyzes the relationship between cooperative oral reading and intercultural competence within the field of teacher education (i.e., training of pre-service FL teachers in primary education) at the University of Cádiz (Spain), aiming to move beyond traditional, Eurocentric conceptions of interculturality, [...] Read more.
This exploratory study analyzes the relationship between cooperative oral reading and intercultural competence within the field of teacher education (i.e., training of pre-service FL teachers in primary education) at the University of Cádiz (Spain), aiming to move beyond traditional, Eurocentric conceptions of interculturality, by aligning the framework with the United Nations Sustainable Development Goals (SDGs), particularly SDGs 4, 5, 10, and 16. A mixed-methods design is adopted, combining quantitative and qualitative approaches through cooperative oral reading activities based on selected literary texts in English, French, and German addressing diversity, identity, inclusion, among others. Data are collected via recording forms administered to language assistants and two focus groups involving students and language assistants. The quantitative indicators of the study suggest that cooperative oral reading may contribute to foreign language learning, strengthen engagement between students and assistants, promote collaborative dialogue, and provide opportunities to challenge stereotypes, while interaction with native speakers (i.e., assistants) deepens understandings of cultural diversity and identity. Overall, the research proposes that cooperative oral reading is an illustrative pedagogical strategy for fostering inclusive intercultural competence and that linking classroom practices to the SDGs can contribute not only to language development but also to broader goals of equity, inclusion, and social justice. Full article
Show Figures

Figure 1

20 pages, 3452 KB  
Article
Effectiveness of Experience-Sharing Group Learning in Deep Reinforcement Learning
by Keita Muroya, Makoto Ikeda and Akira Notsu
Appl. Sci. 2026, 16(7), 3250; https://doi.org/10.3390/app16073250 - 27 Mar 2026
Viewed by 232
Abstract
Deep reinforcement learning faces a critical trade-off between computational cost and performance. This study proposes an experience-sharing group-learning framework in which multiple agents with different network sizes collaboratively learn a single task through a shared experience replay memory. Unlike conventional multi-agent approaches that [...] Read more.
Deep reinforcement learning faces a critical trade-off between computational cost and performance. This study proposes an experience-sharing group-learning framework in which multiple agents with different network sizes collaboratively learn a single task through a shared experience replay memory. Unlike conventional multi-agent approaches that assume homogeneous agents, our method enables agents with different computational capabilities to share experiences, allowing low-performance agents to benefit from high-performance agents’ quality experiences. The proposed method was evaluated in CartPole and Super Mario Bros environments. In CartPole two-agent experiments, the low-performance agent (Agent16, 404 parameters) achieved approximately 2× performance improvement (93.3 to 184.4 steps) through group learning, while the high-performance agent (Agent64, 4676 parameters) maintained comparable performance, though several group conditions fell below the solo 200-step result. Three-agent experiments further improved Agent16 to 196.5 steps with reduced variance. Under step-matched comparisons in Super Mario Bros, the low-capacity agent benefits from experience sharing beyond solo baselines that consume roughly twice as many steps, while the high-capacity agent remains broadly comparable between group and solo. Claims are limited to step-based normalisation. Q-value analysis revealed accelerated early learning, with Q-values increasing by +10.1 (Mario) and +7.7 (Luigi) at 1 million steps. These results demonstrate that experience-sharing group learning can improve learning efficiency for resource-constrained agents under a fixed environment-step budget. Full article
(This article belongs to the Special Issue Advances in Intelligent Systems—2nd edition)
Show Figures

Figure 1

15 pages, 285 KB  
Article
The Impact of Teacher-Mediated Cooperative Invented Spelling on Emergent Literacy in Preschool
by Liliana Salvador and Margarida Alves Martins
Educ. Sci. 2026, 16(4), 520; https://doi.org/10.3390/educsci16040520 - 27 Mar 2026
Viewed by 243
Abstract
Learning to write begins before formal schooling through everyday interactions where children construct ideas about print. Informed by socioconstructivist theory, this quasi-experimental study evaluated the impact of naturalistic, teacher-mediated cooperative invented spelling activities in Portuguese preschools. The participants were 88 five-year-olds from six [...] Read more.
Learning to write begins before formal schooling through everyday interactions where children construct ideas about print. Informed by socioconstructivist theory, this quasi-experimental study evaluated the impact of naturalistic, teacher-mediated cooperative invented spelling activities in Portuguese preschools. The participants were 88 five-year-olds from six classes in three schools. Classrooms were randomly assigned within schools to an intervention group (n = 43) or a comparison group (n = 45). For two months, the intervention group engaged in weekly spelling discussions integrated into regular activities, while the comparison group followed the standard curriculum. Pre- and post-intervention spelling assessments and classroom observations were conducted. The results showed a strong positive intervention effect. The intervention group demonstrated significantly greater improvement in representing sounds in their spelling than the comparison group. Observations revealed that when teachers scaffolded discussions with open questions, and children, with varying knowledge levels, helped each other by explaining their thinking. This transformed spelling into a shared problem-solving task. The study confirmed invented spelling as a valuable classroom activity that advances alphabetic understanding. It was demonstrated that early literacy can be effectively nurtured through structured dialogue and collaboration within the regular preschool day. These findings provided a practical, theory-aligned model for supporting literacy development through social interaction. Full article
(This article belongs to the Special Issue Pedagogy in Early Years Education)
28 pages, 477 KB  
Article
Parent Learning Groups in Alternative Provision: A Mixed-Methods Study of Psychoeducation, Mentalization, and Peer Support for Parents of Children with Neurodevelopmental and Conduct Difficulties
by Gali Chelouche-Dwek and Peter Fonagy
Children 2026, 13(3), 431; https://doi.org/10.3390/children13030431 - 21 Mar 2026
Viewed by 347
Abstract
Background: Parents of school-age children with neurodevelopmental and conduct difficulties face elevated stress, reduced self-efficacy and relational strain, yet evidence for scalable, school-embedded support remains limited. Drawing on mentalization theory—which emphasises parents’ capacity to understand behaviour in terms of underlying mental states—this mixed-methods [...] Read more.
Background: Parents of school-age children with neurodevelopmental and conduct difficulties face elevated stress, reduced self-efficacy and relational strain, yet evidence for scalable, school-embedded support remains limited. Drawing on mentalization theory—which emphasises parents’ capacity to understand behaviour in terms of underlying mental states—this mixed-methods study evaluated a weekly parent learning group integrating psychoeducation, mentalization-based practice and peer support, delivered within an alternative provision school. Methods: A group of twelve parents who attended at least six sessions completed retrospective pretest–posttest questionnaires assessing parental reflective functioning (PRFQ) and parenting self-efficacy (PSOC). Semi-structured interviews explored parents’ subjective experiences and perceived changes in parent–child interactions and parent–school relationships. Quantitative outcomes were analysed using paired t-tests and effect sizes; qualitative data underwent reflexive thematic analysis. Results: Quantitative analyses revealed statistically significant improvements in parental reflective functioning and self-efficacy. Pre-mentalizing scores decreased substantially (d = 1.34), indicating reductions in non-mentalizing, while interest and curiosity about children’s mental states increased markedly (d = 1.83). Parenting self-efficacy improved significantly (d = 1.61). Although a reduction in excessive certainty about mental states approached significance (d = 0.63, p = 0.053), trends suggested greater epistemic balance. Qualitative analysis identified six themes elucidating mechanisms of change, including enhanced mentalizing capacity, reduced parental stress, transformed parent–child interactions and facilitation style as a critical active ingredient. Integration of findings suggests that psychoeducational content provided conceptual grounding for understanding behaviour, facilitator modelling scaffolded reflective practice, and relational safety within the group enabled authentic engagement with challenging experiences. Conclusions: These preliminary findings indicate that a school-based parent learning group combining psychoeducation, mentalization-based practice and peer support is feasible and associated with meaningful improvements in parental reflective functioning and self-efficacy. Parent narratives of transformed relational practices and shifts from reactive to reflective engagement echo broader literature demonstrating that group-delivered mentalization-oriented programmes can enhance reflective capacities and caregiving quality in diverse family contexts. The school setting may extend the reach of such interventions to families not engaged with clinical services and support collaborative parent–school partnerships. Future research should employ larger, controlled designs, incorporate observational and child outcome measures, and explore scalability across educational contexts. Full article
(This article belongs to the Section Pediatric Mental Health)
Show Figures

Figure 1

33 pages, 3743 KB  
Article
Distributed Task Allocation Algorithm for Heterogeneous UAVs Based on Reinforcement Learning
by Peng Sun, Guangwei Yang, Xin Xu, Jieyong Zhang, Xida Deng, Yongzhuang Zhang and Jie Cui
Drones 2026, 10(3), 220; https://doi.org/10.3390/drones10030220 - 20 Mar 2026
Viewed by 304
Abstract
To address the challenges faced by heterogeneous Unmanned Aerial Vehicle (UAV) systems in complex task allocation, including over-reliance on centralized scheduling, training deadlock, inadequate capture of temporal collaboration, and unstable training under sparse reward conditions, this paper proposes a distributed task allocation algorithm [...] Read more.
To address the challenges faced by heterogeneous Unmanned Aerial Vehicle (UAV) systems in complex task allocation, including over-reliance on centralized scheduling, training deadlock, inadequate capture of temporal collaboration, and unstable training under sparse reward conditions, this paper proposes a distributed task allocation algorithm based on reinforcement learning. The algorithm adopts a decentralized decision-making architecture, which enables the autonomous formation of UAV collaborative groups without the need for a global scheduling center. A cascaded submission timeout mechanism is introduced to prevent training deadlock; the combination of Long Short-Term Memory (LSTM) and attention mechanism is employed to accurately model temporal correlations and collaborative dependencies; and the Proximal Policy Optimization (PPO) algorithm is leveraged to optimize the training stability under sparse reward conditions. Experimental results demonstrate that the proposed algorithm achieves a 100% task success rate in scenarios of different scales, and its key metrics, including makespan, time cost and waiting time, are significantly superior to those of mainstream baseline methods such as the Genetic Algorithm (GA) and the Hungarian Algorithm (HA). Moreover, the algorithm still maintains excellent robustness under the conditions of UAV failures, parameter variations, and dynamic task perturbations. This method supports zero-shot generalization for any number of UAVs and tasks and provides an efficient and reliable solution for the real-time collaborative scheduling of heterogeneous UAV systems. Full article
(This article belongs to the Section Artificial Intelligence in Drones (AID))
Show Figures

Figure 1

17 pages, 308 KB  
Article
Comics as a Tool for Advancing Inclusivity in the Physical Education Classroom
by Alex Cid-García and Antonia Ramírez-García
Educ. Sci. 2026, 16(3), 470; https://doi.org/10.3390/educsci16030470 - 19 Mar 2026
Viewed by 239
Abstract
Background: The study’s purpose was to determine the impact of a workshop using comics as an inclusive tool on the perception of fifth-grade students regarding teaching practices applied (“learning for all students”, “classroom climate”, “collaborative learning”, and “participation” dimensions) by physical education teachers, [...] Read more.
Background: The study’s purpose was to determine the impact of a workshop using comics as an inclusive tool on the perception of fifth-grade students regarding teaching practices applied (“learning for all students”, “classroom climate”, “collaborative learning”, and “participation” dimensions) by physical education teachers, because there is little scientific evidence. Particularly in this subject, a high level of cooperation, commitment, and teamwork is required among class participants to promote inclusion. Methods: A quantitative methodology was employed, utilizing a quasi-experimental, transversal design with pre- and post-test control group. The sample comprised 56 fifth-grade students in Chile (37.5% boys and 62.5% girls) and experimental group participated in an inclusive workshop using a comic. Results: The results show statistical differences between the control and experimental groups in “Participation” (p = 0.00) and in the total score (p = 0.001) after the intervention, favoring the experimental group. This group also showed statistical differences in the dimensions “Learning for all students” (p = 0.007), “Classroom climate” (p = 0.001), and “Total score” (p = 0.002) in pre and posttests. Conclusions: Comic had a positive effect on students in terms of overall results, learning for all students, and classroom climate. Full article
26 pages, 641 KB  
Article
From Desert Lands to Green Avenues: Understanding Sustainability Actions in the Saudi Arabian Tourism and Hospitality Sector Through Expert Perspectives
by Karam Zaki, Rashed Alotaibi and Alaa Raslan
Sustainability 2026, 18(6), 2982; https://doi.org/10.3390/su18062982 - 18 Mar 2026
Viewed by 384
Abstract
The tourism and hospitality sector in Saudi Arabia is undergoing rapid sustainability transformation under the strategic direction of Vision 2030. This study examines the maturity of Sustainability Actions (SAs), their key drivers, and implementation barriers, comparing the perceptions of industry practitioners and academic [...] Read more.
The tourism and hospitality sector in Saudi Arabia is undergoing rapid sustainability transformation under the strategic direction of Vision 2030. This study examines the maturity of Sustainability Actions (SAs), their key drivers, and implementation barriers, comparing the perceptions of industry practitioners and academic experts. Using a qualitative abductive research design based on 20 in-depth semi-structured interviews with industry and academic experts in Saudi Arabia, followed by thematic analysis using a machine learning Qualcoder 3.7 software, the findings reveal both convergence and divergence between the two groups. While both recognize Vision 2030 as the primary catalyst and acknowledge financial costs and knowledge gaps as major barriers, industry experts emphasize operational efficiency and short-term performance outcomes, whereas academics advocate systemic transformation grounded in circular economy principles and long-term socio-ecological regeneration. The results demonstrate that sustainability adoption in Saudi Arabia is shaped not only by market demand but also by a strong government-led institutional framework that accelerates sectoral change. The findings are structured across environmental, social, and economic sustainability dimensions, offering differentiated implications for industry practitioners and academic stakeholders within emerging tourism economies. The study contributes to sustainability and tourism and hospitality literature by offering a comparative multi-perspective analysis and by conceptualizing sustainability transition as a hybrid model combining policy direction, market incentives, and knowledge collaboration. Managerially, the findings highlight the need for regulatory clarity, targeted financial mechanisms, capacity building, and stronger industry–academia integration to institutionalize sustainability practices in emerging tourism economies. Full article
(This article belongs to the Special Issue Sustainable Innovation and Management for Green Hotels)
Show Figures

Figure 1

37 pages, 2981 KB  
Article
Signs, Shapes, and Spaces: A CAMIL-Informed Qualitative Study of Metaverse Geometry Learning for Deaf and Hard-of-Hearing Students
by Ai Peng Chong, Kung-Teck Wong, Kong Liang Soon Vestly and Kuppusamy Suresh Kumar
Soc. Sci. 2026, 15(3), 191; https://doi.org/10.3390/socsci15030191 - 16 Mar 2026
Viewed by 554
Abstract
Deaf and Hard-of-Hearing (DHH) students face persistent barriers in geometry education due to instructional approaches that inadequately support visual communication and embodied learning. This study examined DHH students’ experiences with GeoMETriA, a metaverse-based geometry learning platform integrating sign language instruction, three-dimensional visualization, and [...] Read more.
Deaf and Hard-of-Hearing (DHH) students face persistent barriers in geometry education due to instructional approaches that inadequately support visual communication and embodied learning. This study examined DHH students’ experiences with GeoMETriA, a metaverse-based geometry learning platform integrating sign language instruction, three-dimensional visualization, and avatar-mediated interaction. Guided by the Cognitive Affective Model of Immersive Learning (CAMIL), a multi-phase qualitative design was employed, including pre-workshop interviews with four special education teachers and post-workshop focus group discussions with seven DHH secondary students following a four-session learning workshop. The findings indicate that gamified activities and peer collaboration enhanced interest and sustained engagement, while avatar customization supported embodiment and a sense of presence. Students described progression from initial uncertainty to greater confidence through practice and scaffolded support. However, cognitive and usability challenges emerged, particularly concerning sign language video pacing, navigation complexity, and limited instructional scaffolding. The study contributes theoretically by extending CAMIL-informed interpretations to sign-supported metaverse learning, empirically by documenting how engagement, embodiment, and self-efficacy develop during immersive geometry learning, and practically by offering design implications including adjustable sign language delivery, structured scaffolding, and culturally responsive avatar options. These findings suggest that metaverse-based platforms hold promise for supporting DHH learners when accessibility and learner-centered principles are embedded as foundational design considerations. Full article
(This article belongs to the Special Issue Belt and Road Together Special Education 2025)
Show Figures

Figure 1

18 pages, 268 KB  
Article
How Can Pedagogical Strategies Empower Student-Coaches During a Sport Education Season? A Collaborative Action Research Study with Preservice Teachers
by Cristiana Bessa, Patrícia Coutinho and Isabel Mesquita
Educ. Sci. 2026, 16(3), 407; https://doi.org/10.3390/educsci16030407 - 7 Mar 2026
Viewed by 269
Abstract
This study examined how pedagogical strategies can support student-coaches’ (SCs) empowerment and promote preservice teachers’ (PSTs) professional learning within Sport Education (SE) seasons. Sixty-seven tenth-grade students (aged 15–18) participated in SE units taught by three PSTs (two males, one female, aged 22–25) enrolled [...] Read more.
This study examined how pedagogical strategies can support student-coaches’ (SCs) empowerment and promote preservice teachers’ (PSTs) professional learning within Sport Education (SE) seasons. Sixty-seven tenth-grade students (aged 15–18) participated in SE units taught by three PSTs (two males, one female, aged 22–25) enrolled in a master’s degree program in Teaching of Physical Education in Primary and Secondary Education in northern Portugal. Data were collected through participant observation, informal and focus group interviews, and PSTs’ reflective diaries within a Collaborative Action Research (CAR) framework and analyzed thematically. Three CAR cycles addressed key challenges: (1) encouraging SCs to assume responsibility for their role, (2) fostering inclusive and supportive team interactions, (3) strengthening SCs’ sport-specific and instructional knowledge. Guided by a facilitator, PSTs implemented strategies including pre-lesson meetings, structured communication routines, task-modification and feedback cards, accountability systems, and visual identification of SCs. Findings suggest that SCs’ empowerment was progressively constructed through interconnected psychological, relational and pedagogical processes, supported by structured mediation and iterative reflection. Simultaneously, engagement in CAR cycles enabled PSTs to develop adaptive instructional decision-making and mediation strategies. The study highlights how empowerment in SE is shaped through relational and pedagogical conditions and illustrates how CAR can foster reciprocal learning between SCs and PSTs in authentic teacher education contexts. Full article
27 pages, 2849 KB  
Systematic Review
Intrusion Detection in Fog Computing: A Systematic Review of Security Advances and Challenges
by Nyashadzashe Tamuka, Topside Ehleketani Mathonsi, Thomas Otieno Olwal, Solly Maswikaneng, Tonderai Muchenje and Tshimangadzo Mavin Tshilongamulenzhe
Computers 2026, 15(3), 169; https://doi.org/10.3390/computers15030169 - 5 Mar 2026
Viewed by 604
Abstract
Fog computing extends cloud services to the network edge to support low-latency IoT applications. However, since fog environments are distributed and resource-constrained, intrusion detection systems must be adapted to defend against cyberattacks while keeping computation and communication overhead minimal. This systematic review presents [...] Read more.
Fog computing extends cloud services to the network edge to support low-latency IoT applications. However, since fog environments are distributed and resource-constrained, intrusion detection systems must be adapted to defend against cyberattacks while keeping computation and communication overhead minimal. This systematic review presents research on intrusion detection systems (IDSs) for fog computing and synthesizes advances and research gaps. The study was guided by the “Preferred-Reporting-Items for-Systematic-Reviews-and-Meta-Analyses” (PRISMA) framework. Scopus and Web of Science were searched in the title field using TITLE/TI = (“intrusion detection” AND “fog computing”) for 2021–2025. The inclusion criteria were (i) 2021–2025 publications, (ii) journal or conference papers, (iii) English language, and (iv) open access availability; duplicates were removed programmatically using a DOI-first key with a title, year, and author alternative. The search identified 8560 records, of which 4905 were unique and included for qualitative grouping and bibliometric synthesis. Metadata (year, venue, authors, affiliations, keywords, and citations) were extracted and analyzed in Python to compute trends and collaboration. Intrusion detection systems in fog networks were categorized into traditional/signature-based, machine learning, deep learning, and hybrid/ensemble. Hybrid and DL approaches reported accuracy ranging from 95 to 99% on benchmark datasets (such as NSL-KDD, UNSW-NB15, CIC-IDS2017, KDD99, BoT-IoT). Notable bottlenecks included computational load relative to real-time latency on resource-constrained nodes, elevated false-positive rates for anomaly detection under concept drift, limited generalization to unseen attacks, privacy risks from centralizing data, and limited real-world validation. Bibliometric analyses highlighted the field’s concentration in fast-turnaround, open-access journals such as IEEE Access and Sensors, as well as a small number of highly collaborative author clusters, alongside dominant terms such as “learning,” “federated,” “ensemble,” “lightweight,” and “explainability.” Emerging directions include federated and distributed training to preserve privacy, as well as online/continual learning adaptation. Future work should consist of real-world evaluation of fog networks, ultra-lightweight yet adaptive hybrid IDS, self-learning, and secure cooperative frameworks. These insights help researchers select appropriate IDS models for fog networks. Full article
Show Figures

Figure 1

40 pages, 838 KB  
Article
The Role of Promoters in Organizational Learning Within the Digital Transformation of Schools
by Nina Carolin von Grumbkow, Amelie Sprenger, Cornelia Gräsel and Kathrin Fussangel
Systems 2026, 14(3), 266; https://doi.org/10.3390/systems14030266 - 2 Mar 2026
Viewed by 466
Abstract
Digital transformation demands schools to act as learning organizations in order to rethink and reform their structures and practices. Using a mixed-methods design (quantitative analysis of code co-occurrences within 60 semi-structured group interviews and qualitative structural content analysis), the study examines how teachers [...] Read more.
Digital transformation demands schools to act as learning organizations in order to rethink and reform their structures and practices. Using a mixed-methods design (quantitative analysis of code co-occurrences within 60 semi-structured group interviews and qualitative structural content analysis), the study examines how teachers who act as promoters for digital transformation facilitate organizational learning (OL) processes and how these processes can be described. While five OL processes emerge (collective sense making, knowledge creation and transfer, evaluation and feedback, experimentation and piloting, and external cooperation and knowledge import), each process is mainly shaped by a distinct promoter activity. Findings reveal that school-wide systematic structural conditions for OL processes, for instance formal evaluation and scheduled collaboration time for the whole teaching staff, are scarce, leaving many learning processes informal and project-based. The study concludes that sustainable digital transformation requires schools to institutionalize adequate structural conditions for OL activities and to empower promoters through both top-down mandates and bottom-up support, ensuring all OL processes become habituated routines. Full article
Show Figures

Figure 1

Back to TopTop