Sign in to use this feature.

Years

Between: -

Subjects

remove_circle_outline
remove_circle_outline
remove_circle_outline
remove_circle_outline
remove_circle_outline

Journals

Article Types

Countries / Regions

Search Results (4)

Search Parameters:
Keywords = grinding force tracking and compensation

Order results
Result details
Results per page
Select all
Export citation of selected articles as:
15 pages, 2061 KB  
Article
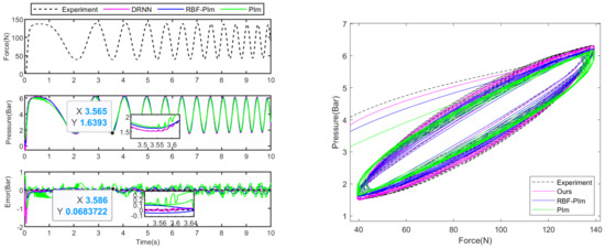
Proxy-Based Sliding Mode Force Control for Compliant Grinding via Diagonal Recurrent Neural Network and Prandtl-Ishlinskii Hysteresis Compensation Model
by Zhiyuan Li, Lei Sun, Jidong Liu, Yanding Qin, Ning Sun and Lu Zhou
Actuators 2024, 13(3), 83; https://doi.org/10.3390/act13030083 - 21 Feb 2024
Cited by 3 | Viewed by 1859
Abstract
Traditional industrial robots often face challenges in achieving a perfectly polished surface on a workpiece because of their high mechanical rigidity. The active compliance force control device installed at the robotic arm’s end enables high-precision contact force control between the grinding tool and [...] Read more.
Traditional industrial robots often face challenges in achieving a perfectly polished surface on a workpiece because of their high mechanical rigidity. The active compliance force control device installed at the robotic arm’s end enables high-precision contact force control between the grinding tool and the workpiece. However, the complex hysteresis nonlinearity between cylinder air pressure and output force, as well as various random disturbances during the grinding process, can affect the accuracy of the contact force and potentially impact the grinding effect of the workpiece, even causing irreversible damage to the surface of the workpiece. Given the complex random variation of cylinder output force in the actual grinding process, a rate-dependent hysteresis model based on diagonal recurrent neural network and Pradtl–Ishlinskii models named dRNN-PI is designed to compensate for the complex nonlinear hysteresis of the cylinder and calculate the desired air pressure to maintain a steady contact force on the workpiece. The proxy-based sliding mode control (PSMC) is utilized to quickly track the desired air pressure without overshooting. This paper also proves the controller’s stability using the Lyapunov-based methods. Finally, the accuracy of the proposed hysteresis compensation model and the effectiveness and robustness of the PSMC are verified by experiment results. Full article
(This article belongs to the Section Control Systems)
Show Figures

Figure 1

21 pages, 21604 KB  
Article
Research on a Method of Robot Grinding Force Tracking and Compensation Based on Deep Genetic Algorithm
by Minghui Meng, Chuande Zhou, Zhongliang Lv, Lingbo Zheng, Wei Feng, Ting Wu and Xuewei Zhang
Machines 2023, 11(12), 1075; https://doi.org/10.3390/machines11121075 - 8 Dec 2023
Cited by 5 | Viewed by 2739
Abstract
In the grinding process of complex-shaped cast workpieces, discrepancies between the workpiece’s contours and their corresponding three-dimensional models frequently lead to deviations in the machining trajectory, resulting in instances of under-grinding or over-grinding. Addressing this challenge, this study introduces an advanced robotic grinding [...] Read more.
In the grinding process of complex-shaped cast workpieces, discrepancies between the workpiece’s contours and their corresponding three-dimensional models frequently lead to deviations in the machining trajectory, resulting in instances of under-grinding or over-grinding. Addressing this challenge, this study introduces an advanced robotic grinding force automatic tracking technique, leveraging a combination of deep neural networks and genetic algorithms. Harnessing the capability of force sensing, our method dynamically recalibrates the grinding path, epitomizing truly flexible grinding. Initially, in line with the prerequisites for force and pose tracking, an impedance control strategy was developed, integrating pose deviations with force dynamics. Subsequently, to enhance steady-state force tracking, we employed a genetic algorithm to compensate for force discrepancies caused by positional errors. This was built upon the foundational concepts of the three-dimensional model, impedance control, and environmental parameter estimation, leading to an optimized grinding trajectory. Following tracking tests, it was observed that the grinding’s normal force was consistently controlled within the bracket of 20 ± 2.5 N. To further substantiate our methodology, a specialized experimental platform was established for grinding complex-shaped castings. Optimized strategies were employed under anticipated forces of 5 N, 10 N, and 15 N for the grinding tests. The results indicated that the contact forces during the grinding process remained stable at 5 ± 1 N, 10 ± 1.5 N, and 15 ± 2 N. When juxtaposed with conventional teaching grinding methods, our approach manifested a reduction in grinding forces by 71.4%, 70%, and 75%, respectively. Post-grinding, the workpieces presented a pronounced enhancement in surface texture, exhibiting a marked increase in surface uniformity. Surface roughness metrics, originally recorded at 17.5 μm, 17.1 μm, and 18.7 μm, saw significant reductions to 1.5 μm, 1.6 μm, and 1.4 μm, respectively, indicating reductions by 76%, 73%, and 78%. Such outcomes not only meet the surface finishing standards for complex-shaped castings but also offer an efficacious strategy for robot-assisted flexible grinding. Full article
(This article belongs to the Topic Robotic Intelligent Machining System)
Show Figures

Figure 1

21 pages, 12481 KB  
Article
Dual PID Adaptive Variable Impedance Constant Force Control for Grinding Robot
by Chong Wu, Kai Guo and Jie Sun
Appl. Sci. 2023, 13(21), 11635; https://doi.org/10.3390/app132111635 - 24 Oct 2023
Cited by 9 | Viewed by 3924
Abstract
High-precision and low-overshoot force control are important to guarantee the material removal rate and surface quality of robot grinding. However, traditional force control methods are subjected to positional disturbance, stiffness disturbance, contact process nonlinearity, and force-position coupling, leading to difficulties in robot constant [...] Read more.
High-precision and low-overshoot force control are important to guarantee the material removal rate and surface quality of robot grinding. However, traditional force control methods are subjected to positional disturbance, stiffness disturbance, contact process nonlinearity, and force-position coupling, leading to difficulties in robot constant force control. Therefore, how to achieve smooth, stable, and high-precision constant force control is an urgent problem. To address this problem, a dual PID adaptive variable impedance control is established (DPAVIC). Firstly, PD control is used to compensate for the force error, and PID is used to update the damping parameters to compensate for the disturbance. Secondly, a nonlinear tracking differentiator is used to smooth the desired force and reduce the contact force overshoot. Then, the stability, convergence, and effectiveness of the force control algorithm are verified via theoretical analysis, simulations, and experiments. The force tracking error and overshoot of a conventional impedance controller (CIC), adaptive variable impedance control (AVIC), and DPAVIC are analyzed. Finally, the algorithm is used in grinding experiments on a thin-walled workpiece. The force tracking error is controlled within ±0.2 N, and the surface roughness of the workpiece is improved to Ra 0.218 μm. Full article
(This article belongs to the Special Issue Advances in Modeling, Identification, and Control of Robotics)
Show Figures

Figure 1

20 pages, 5968 KB  
Article
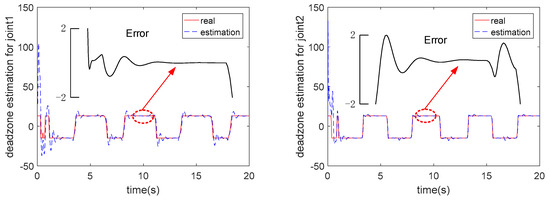
A Robust Adaptive Trajectory Tracking Algorithm Using SMC and Machine Learning for FFSGRs with Actuator Dead Zones
by Lin Jia, Yaonan Wang, Changfan Zhang, Kaihui Zhao, Li Liu and Xuan Quynh Nguyen
Appl. Sci. 2019, 9(18), 3837; https://doi.org/10.3390/app9183837 - 12 Sep 2019
Cited by 6 | Viewed by 2817
Abstract
The actuator dead zone of free-form surface grinding robots (FFSGRs) is very common in the grinding process and has a great impact on the grinding quality of a workpiece. In this paper, an improved trajectory tracking algorithm for an FFSGR with an asymmetric [...] Read more.
The actuator dead zone of free-form surface grinding robots (FFSGRs) is very common in the grinding process and has a great impact on the grinding quality of a workpiece. In this paper, an improved trajectory tracking algorithm for an FFSGR with an asymmetric actuator dead zone was proposed with consideration of friction forces, model uncertainties, and external disturbances. The presented control algorithm was based on the machine learning and sliding mode control (SMC) methods. The control compensator used neural networks to estimate the actuator’s dead zone and eliminate its effects. The robust SMC compensator acted as an auxiliary controller to guarantee the system’s stability and robustness under circumstances with model uncertainties, approximation errors, and friction forces. The stability of the closed-loop system and the asymptotic convergence of tracking errors were evaluated using Lyapunov theory. The simulation results showed that the dead zone’s non-linearity can be estimated correctly, and satisfactory trajectory tracking performance can be obtained in this way, since the influences of the actuator’s dead zone were eliminated. The convergence time of the system was reduced from 1.1 to 0.8 s, and the maximum steady-state error was reduced from 0.06 to 0.015 rad. In the grinding experiment, the joint steady-state error decreased by 21%, which proves the feasibility and effectiveness of the proposed control method. Full article
(This article belongs to the Section Applied Industrial Technologies)
Show Figures

Figure 1

Back to TopTop